The Electronic and Elastic Properties of Si Atom Doping in TiN: A First-Principles Calculation
Abstract
:1. Introduction
2. Details of the Calculations
3. Results and Discussion
3.1. The Elastic Properties of the Interfaces
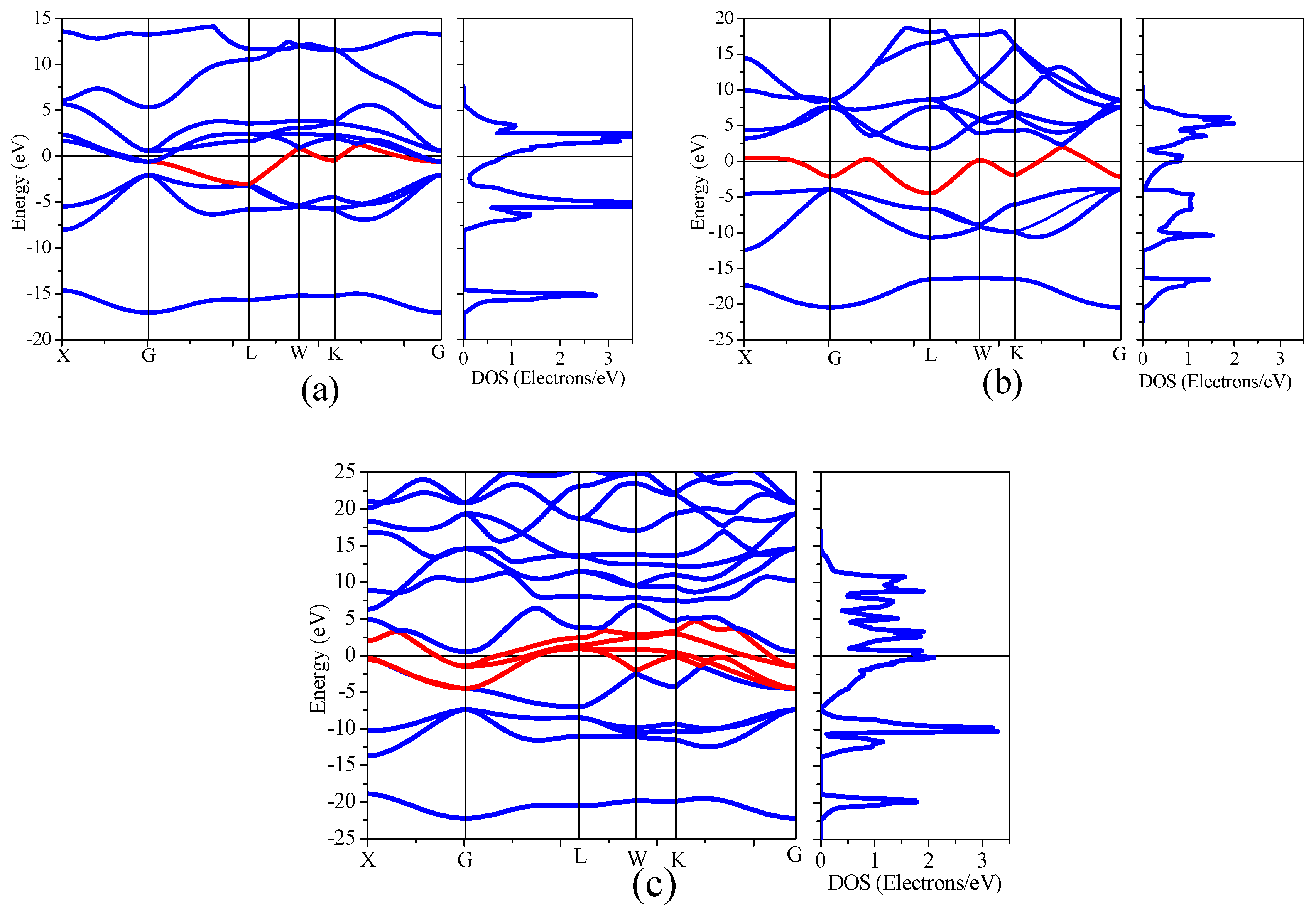
3.2. The Electronic Structure of the Interfaces
4. Conclusions
Supplementary Materials
Acknowledgments
Author Contributions
Conflicts of Interest
References
- Veprek, S.; Reiprich, S. A concept for the design of novel superhard coatings. Thin Solid Films 1995, 268, 64–71. [Google Scholar] [CrossRef]
- Veprek, S. The search for novel, superhard materials. J. Vac. Sci. Technol. A 1999, 17, 2401–2420. [Google Scholar] [CrossRef]
- Chen, X.; Xu, J.F.; Xiong, W.H.; Zhou, S.Q.; Chen, S. Mechanochemical synthesis of Ti(C,N) nanopowder from titaniumand melamine. Int. J. Refract. Met. Hard Mater. 2015, 50, 152–156. [Google Scholar] [CrossRef]
- Hao, S.; Delley, B.; Veprek, S.; Stampfl, C. Superhard nitride-based nanocomposites: Role of interfaces and effect of impurities. Phys. Rev. Lett. 2006, 97, 086102. [Google Scholar] [CrossRef] [PubMed]
- Hao, S.; Delley, B.; Stampfl, C. Role of oxygen in TiN(111)/SixNy/TiN(111) interfaces: Implications for superhard nanocrystalline nc-TiN/a-Si3N4 nanocomposites. Phys. Rev. B 2006, 74, 035424. [Google Scholar] [CrossRef]
- Hao, S.; Delley, B.; Stampfl, C. Structure and properties of TiN(111)/SixNy/TiN(111) interfaces in superhard nanocomposites: First-principles investigations. Phys. Rev. B 2006, 74, 035402. [Google Scholar] [CrossRef]
- Söderberg, H.; Odén, M.; Molina-Aldareguia, J.M.; Hultman, L. Nanostructure formation during deposition of TiN/SiNx nanomultilayer films by reactive dual magnetron sputtering. J. Appl. Phys. 2005, 97, 114327. [Google Scholar] [CrossRef]
- Söderberg, H.; Larsson, T.; Hultman, L.; Molina-Aldareguia, J.M.; Odén, M. Epitaxial stabilization of cubic-SiNx in TiN/SiNx multilayers. Appl. Phys. Lett. 2006, 88, 191902. [Google Scholar] [CrossRef]
- Söderberg, H.; Odén, M.; Flink, A.; Birch, J.; Persson, P.O.Å.; Beckers, M.; Hultman, L. Growth and characterization of TiN/SiN (001) superlattice films. J. Mater. Res. 2007, 22, 3255–3264. [Google Scholar] [CrossRef]
- Hultman, L.; Bareño, J.; Flink, A.; Söderberg, H.; Larsson, K.; Petrova, V.; Odén, M.; Greene, J.E.; Petrov, I. Interface structure in superhard TiN-SiN nanolaminates and nanocomposites: Film growth experiments and ab initio calculations. Phys. Rev. B 2007, 75, 155437. [Google Scholar] [CrossRef]
- Kong, M.; Zhao, W.; Wei, L.; Li, G. Investigations on the microstructure and hardening mechanism of TiN/Si3N4 nanocomposite coatings. J. Phys. D Appl. Phys. 2007, 40, 2858–2863. [Google Scholar] [CrossRef]
- Zhang, R.F.; Argon, A.S.; Veprek, S. Electronic structure, stability, and mechanism of the decohesion and shear of interfaces in superhard nanocomposites and heterostructures. Phys. Rev. B 2009, 79, 245426. [Google Scholar] [CrossRef]
- Zhang, R.F.; Argon, A.S.; Veprek, S. Understanding why the thinnest SiNx interface in transition-metal nitrides is stronger than the ideal bulk crystal. Phys. Rev. B 2010, 81, 245418. [Google Scholar] [CrossRef]
- Marten, T.; Isaev, E.I.; Alling, B.; Hultman, L.; Abrikosov, I.A. Single-monolayer SiNx embedded in TiN: A first-principles study. Phys. Rev. B 2010, 81, 212102. [Google Scholar] [CrossRef]
- Marten, T.; Alling, B.; Isaev, E.; Lind, H.; Tasnadi, F.; Hultman, L.; Abrikosov, I. First-principles study of the SiNx/TiN (001) interface. Phys. Rev. B 2012, 85, 104106. [Google Scholar] [CrossRef]
- Ivashchenko, V.I.; Veprek, S.; Turchi, P.E.A.; Shevchenko, V.I. Comparative first-principles study of TiN/SiNx/TiN interfaces. Phys. Rev. B 2012, 85, 195403. [Google Scholar] [CrossRef]
- Ivashchenko, V.I.; Veprek, S.; Turchi, P.E.A.; Shevchenko, V.I. First-principles study of TiN/SiC/TiN interfaces in superhard nanocomposites. Phys. Rev. B 2012, 86, 014110. [Google Scholar] [CrossRef]
- Kresse, G.; Hafner, J. Ab initio molecular dynamics for liquid metals. Phys. Rev. B 1993, 47, 558–561. [Google Scholar] [CrossRef]
- Kresse, G.; Furthmuller, J. Efficiency of ab-initio total energy calculations for metals and semiconductors using a plane-wave basis set. Comput. Mater. Sci. 1996, 6, 15–50. [Google Scholar] [CrossRef]
- Kresse, G.; Furthmuller, J. Efficient iterative schemes for ab initio total-energy calculations using a plane-wave basis set. Phys. Rev. B 1996, 54, 11169–11186. [Google Scholar] [CrossRef]
- Kresse, G.; Joubert, D. From ultrasoft pseudopotentials to the projector augmented-wave method. Phys. Rev. B 1999, 59, 1758–1775. [Google Scholar] [CrossRef]
- Liu, X.J.; Ren, Y.; Tan, X.; Sun, S.Y.; Westkaemper, E. The structure of Ti–Si–N superhard nanocomposite coatings: Ab initio study. Thin Solid Films 2011, 520, 876–880. [Google Scholar] [CrossRef]
- Brik, M.G.; Ma, C.-G. First-principles studies of the electronic and elastic properties of metal nitrides XN (X = Sc, Ti, V, Cr, Zr, Nb). Comput. Mater. Sci. 2012, 51, 380–388. [Google Scholar] [CrossRef]
- Kittel, C. Introduction to Solid State Physics, 8th ed.; John Wiley & Sons, Inc.: Hoboken, NJ, USA, 2005; p. 59. [Google Scholar]
- Yang, Y.; Lu, H.; Yu, C.; Chen, J.M. First-principles calculations of mechanical properties of TiC and TiN. J. Alloys Comp. 2009, 485, 542–547. [Google Scholar] [CrossRef]
- Kim, J.O.; Achenbach, J.D.; Mirkarimi, P.B.; Shinn, M.; Barnett, S.A. Elastic constants of single-crystal transition-metal nitride films measured by line-focus acoustic microscopy. J. Appl. Phys. 1992, 72, 1805. [Google Scholar] [CrossRef]
- Patil, S.K.R.; Khare, S.V.; Tuttle, B.R.; Bording, J.K.; Kodambaka, S. Mechanical stability of possible structures of PtN investigated using first-principles calculations. Phys. Rev. B 2006, 73, 104118. [Google Scholar] [CrossRef]
- Cheng, Y.H.; Browne, T.; Heckerman, B.; Meletis, E.I. Mechanical and tribological properties of nano composite TiSiN coatings. Surf. Coat. Technol. 2010, 204, 2123–2129. [Google Scholar] [CrossRef]





| TiN | C11 | C12 | C44 | B | G | E | |
|---|---|---|---|---|---|---|---|
| This work Calculation | 607.038 | 117.922 | 166.695 | 280.961 | 244.558 | 568.676 | |
| Other work | Calculation [25] | 579 | 129 | 180 | 279 | 197 | 477 |
| Experimentation [26] | 625 | 165 | 163 | 318 | 187 | 469 | |
| Interfaces | C11 | C12 | C44 | B | G | E | |
|---|---|---|---|---|---|---|---|
| Parallel | Perpendicular | ||||||
| Sub-Interface | 518.730 | 131.366 | 189.023 | 152.603 | 260.487 | 193.682 | 465.640 |
| Inter-Interface | 334.536 | 197.021 | 221.599 | 120.543 | 242.859 | 68.757 | 188.485 |
| Double-Interface | 347.1537 | 145.7505 | 215.2848 | 234.3611 | 212.885 | 100.702 | 260.958 |
© 2017 by the authors. Licensee MDPI, Basel, Switzerland. This article is an open access article distributed under the terms and conditions of the Creative Commons Attribution (CC BY) license (http://creativecommons.org/licenses/by/4.0/).
Share and Cite
Ren, Y.; Gao, X.; Zhang, C.; Liu, X.; Sun, S. The Electronic and Elastic Properties of Si Atom Doping in TiN: A First-Principles Calculation. Coatings 2018, 8, 4. https://doi.org/10.3390/coatings8010004
Ren Y, Gao X, Zhang C, Liu X, Sun S. The Electronic and Elastic Properties of Si Atom Doping in TiN: A First-Principles Calculation. Coatings. 2018; 8(1):4. https://doi.org/10.3390/coatings8010004
Chicago/Turabian StyleRen, Yuan, Xiangbao Gao, Chao Zhang, Xuejie Liu, and Shiyang Sun. 2018. "The Electronic and Elastic Properties of Si Atom Doping in TiN: A First-Principles Calculation" Coatings 8, no. 1: 4. https://doi.org/10.3390/coatings8010004
APA StyleRen, Y., Gao, X., Zhang, C., Liu, X., & Sun, S. (2018). The Electronic and Elastic Properties of Si Atom Doping in TiN: A First-Principles Calculation. Coatings, 8(1), 4. https://doi.org/10.3390/coatings8010004
