Photovoltaic Effect in Graphene/MoS2/Si Van der Waals Heterostructures
Abstract
:1. Introduction
2. Materials and Experiment
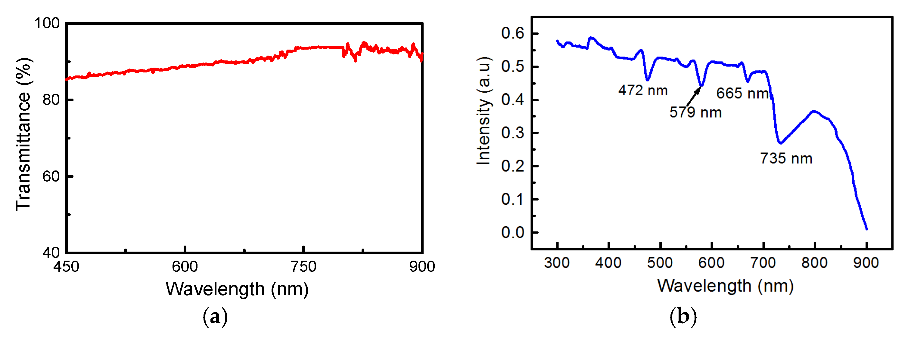
3. Result and Discussion
4. Conclusions
Acknowledgments
Author Contributions
Conflicts of Interest
References
- Shih, C.; Wang, Q.H.; Son, Y.; Jin, Z.; Blankschtein, D.; Strano, M.S. Tuning on-off current ratio and field-effect mobility in a MoS2-graphene heterostructurevia Schottky barrier modulation. ACS Nano 2014, 8, 5790–5798. [Google Scholar] [CrossRef] [PubMed]
- Kwak, J.Y.; Hwang, J.; Calderon, B.; Alsalman, H.; Munoz, N.; Schutter, B.; Spencer, M.G. Electrical characteristics of multilayer MoS2 FET’s with MoS2/graphene heterojunction contacts. Nano Lett. 2014, 14, 4511–4516. [Google Scholar] [CrossRef] [PubMed]
- Baugher, B.W.H.; Churchill, H.O.H.; Yang, Y.; Jarillo-herrero, P. Optoelectronic devices based on electrically tunable p–n diodes in a monolayer dichalcogenide. Nat. Nanotechnol. 2014, 9, 262–267. [Google Scholar] [CrossRef] [PubMed]
- Roy, K.; Padmanabhan, M.; Goswami, S.; Sai, T.P.; Ramalingam, G.; Raghavan, S.; Ghosh, A. Graphene–MoS2 hybrid structures for multifunctional photoresponsive memory devices. Nat. Nanotechnol. 2013, 8, 826–830. [Google Scholar] [CrossRef] [PubMed]
- Yu, W.J.; Li, Z.; Zhou, H.; Chen, Y.; Wang, Y.; Huang, Y.; Duan, X. Vertically stacked multi-heterostructures of layered materials for logic transistors and complementary inverters. Nat. Mater. 2013, 12, 246–252. [Google Scholar] [CrossRef] [PubMed]
- Ross, J.S.; Klement, P.; Jones, A.M.; Ghimire, N.J.; Yan, J.; Mandrus, D.G.; Taniguchi, T.; Watanabe, K.; Kitamura, K.; Yao, W.; et al. Electrically tunable excitonic light-emitting diodes based on monolayer WSe2 p–n junctions. Nat. Nanotechnol. 2014, 9, 268–272. [Google Scholar] [CrossRef] [PubMed]
- Lin, Y.F.; Li, W.; Li, S.L.; Xu, Y.; Aparecido-Ferreira, A.; Komatsu, K.; Sun, H.; Nakaharai, S.; Tsukagoshi, K. Barrier inhomogeneities at vertically stacked graphene-based heterostructures. Nanoscale 2014, 6, 795–799. [Google Scholar] [CrossRef] [PubMed]
- Sinha, D.; Lee, J.U. Ideal graphene/silicon schottky junction diodes. Nano Lett. 2014, 14, 4660–4664. [Google Scholar] [CrossRef] [PubMed]
- Das, S.; Gulotty, R.; Sumant, A.V.; Roelofs, A. All two-dimensional, flexible, transparent, and thinnest thin film transistor. Nano Lett. 2014, 14, 2861–2866. [Google Scholar] [CrossRef] [PubMed]
- Mueller, T.; Furchi, M.M.; Zechmeister, A.; Schuler, S.; Pospischil, A. Atomically-thin van der Waals heterostructure solar cells. In Proceedings of the 2015 Conference on Lasers and Electro-Optics (CLEO), San Jose, CA, USA, 10–15 May 2015. [Google Scholar]
- Gong, Y.; Lei, S.; Ye, G.; Li, B.; He, Y.; Keyshar, K.; Zhang, X.; Wang, Q.; Lou, J.; Liu, Z.; et al. Two-step growth of two-dimensional WSe2/MoSe2 heterostructures. Nano Lett. 2015, 15, 6135–6141. [Google Scholar] [CrossRef] [PubMed]
- Lee, E.W., II; Lee, C.H.; Paul, P.K.; Ma, L.; McCulloch, W.D.; Krishnamoorthy, S.; Wu, Y.; Arehart, A.R.; Rajan, S. Layer-transferred MoS2/GaN PN diodes. Appl. Phys. Lett. 2015, 107, 103505. [Google Scholar] [CrossRef]
- Gu, W.; Shen, J.; Ma, X. Fabrication and electrical properties of MoS2 nanodisc-based back-gated field effect transistors. Nano Res. Lett. 2014, 9, 100–104. [Google Scholar] [CrossRef] [PubMed]
- Ma, X.; Gu, W.; Shen, J.; Tang, Y. Investigation of electronic properties of graphene/Si field-effect transistor. Nano Res. Lett. 2012, 7, 677–681. [Google Scholar] [CrossRef] [PubMed]
- Ni, Z.H.; Wang, H.M.; Kasim, J.; Fan, H.M.; Yu, T.; Wu, Y.H.; Feng, Y.P.; Shen, Z.X. Graphene thickness determination using reflection and contrast spectroscopy. Nano Lett. 2007, 7, 2758–2763. [Google Scholar] [CrossRef] [PubMed]
- Lee, Y.H.; Zhang, X.Q.; Zhang, W.; Chang, M.T.; Lin, C.T.; Chang, K.D.; Yu, Y.C.; Wang, J.T.W.; Chang, C.S.; Li, L.J.; et al. Synthesis of large-area MoS2 atomic layers with chemical vapor deposition. Adv. Mater. 2012, 24, 2320–2325. [Google Scholar] [CrossRef] [PubMed]
- Arenal, R.; Ferrari, A.C.; Reich, S.; Wirtz, L.; Mevellec, J.Y.; Lefrant, S.; Rubio, A.; Loiseau, A. Raman spectroscopy of single-wall boron nitride nanotubes. Nano Lett. 2006, 6, 1812–1816. [Google Scholar] [CrossRef] [PubMed]
- Cravanzola, S.; Muscuso, L.; Cesano, F.; Agostini, G.; Damin, A.; Scarano, D.; Zecchina, A. MoS2 nanoparticles decorating titanate-nanotube surfaces: Combined microscopy, spectroscopy, and catalytic studies. Langmuir 2015, 31, 5469–5478. [Google Scholar] [CrossRef] [PubMed]
- Lee, C.; Yan, H.; Brus, L.E.; Heinz, T.F.; Hone, J.; Ryu, S. Anomalous lattice vibrations of single-and few-layer MoS2. ACS Nano 2010, 4, 2695–2700. [Google Scholar] [CrossRef] [PubMed]
- Nair, R.R.; Blake, P.; Grigorenko, A.N.; Novoselov, K.S.; Booth, T.J.; Stauber, T.; Peres, N.M.R.; Geim, A.K. Fine structure constant defines visual transparency of graphene. Science 2008, 320, 1308–1315. [Google Scholar] [CrossRef] [PubMed]
- Wang, S.J.; Geng, Y.; Zheng, Q.; Kim, J.K. Fabrication of highly conducting and transparent, graphene films. Carbon 2010, 48, 1815–1823. [Google Scholar] [CrossRef]
- Lu, C.P.; Li, G.; Watanabe, K.; Taniguchi, T.; Andrei, E.Y. MoS2: Choice substrate for accessing and tuning the electronic properties of grapheme. Phys. Rev. Lett. 2014, 113, 156804. [Google Scholar] [CrossRef] [PubMed]
- Xie, C.; Lv, P.; Nie, B.; Jie, J.S.; Zhang, X.W.; Wang, Z.; Jiang, P.; Hu, Z.Z.; Luo, L.B.; Zhu, Z.F.; et al. Quantitative measurement of scattering and extinction spectra of nanoparticles by darkfield microscopy. Appl. Phys. Lett. 2011, 99, 133113. [Google Scholar] [CrossRef]
- Giovannetti, G.; Khomyakov, P.A.; Brocks, G.; Karpan, V.M.; van den Brink, J.; Kelly, P.J. Doping graphene with metal contacts. Phys. Rev. Lett. 2008, 101, 026803. [Google Scholar] [CrossRef] [PubMed]






© 2017 by the authors. Licensee MDPI, Basel, Switzerland. This article is an open access article distributed under the terms and conditions of the Creative Commons Attribution (CC BY) license (http://creativecommons.org/licenses/by/4.0/).
Share and Cite
Shi, W.; Ma, X. Photovoltaic Effect in Graphene/MoS2/Si Van der Waals Heterostructures. Coatings 2018, 8, 2. https://doi.org/10.3390/coatings8010002
Shi W, Ma X. Photovoltaic Effect in Graphene/MoS2/Si Van der Waals Heterostructures. Coatings. 2018; 8(1):2. https://doi.org/10.3390/coatings8010002
Chicago/Turabian StyleShi, Weilin, and Xiying Ma. 2018. "Photovoltaic Effect in Graphene/MoS2/Si Van der Waals Heterostructures" Coatings 8, no. 1: 2. https://doi.org/10.3390/coatings8010002
APA StyleShi, W., & Ma, X. (2018). Photovoltaic Effect in Graphene/MoS2/Si Van der Waals Heterostructures. Coatings, 8(1), 2. https://doi.org/10.3390/coatings8010002
