Vibration Characteristics and Damping Analysis of the Blisk-Deposited Hard Coating Using the Rayleigh-Ritz Method
Abstract
:1. Introduction
2. Analytical Investigation of the Blisk with Hard-Coating Blades
2.1. Description for the Analytical Model
2.2. Solution for the Equivalent Parameters of Hard-Coated Blades
2.3. Solution for Energy Equations of Blisk with Hard-Coated Blades
2.4. Solution for Orthogonal Polynomials of the Rayleigh-Ritz Method
2.5. Vibration Characteristics of the Blisk with Hard-Coated Blades
3. Numerical Results and Its Discussion
3.1. Description of the Blisk and Experimental Devices
3.2. Numerical Results and Experimental Verification
3.3. The Influence of Hard Coating on Vibration Characteristics
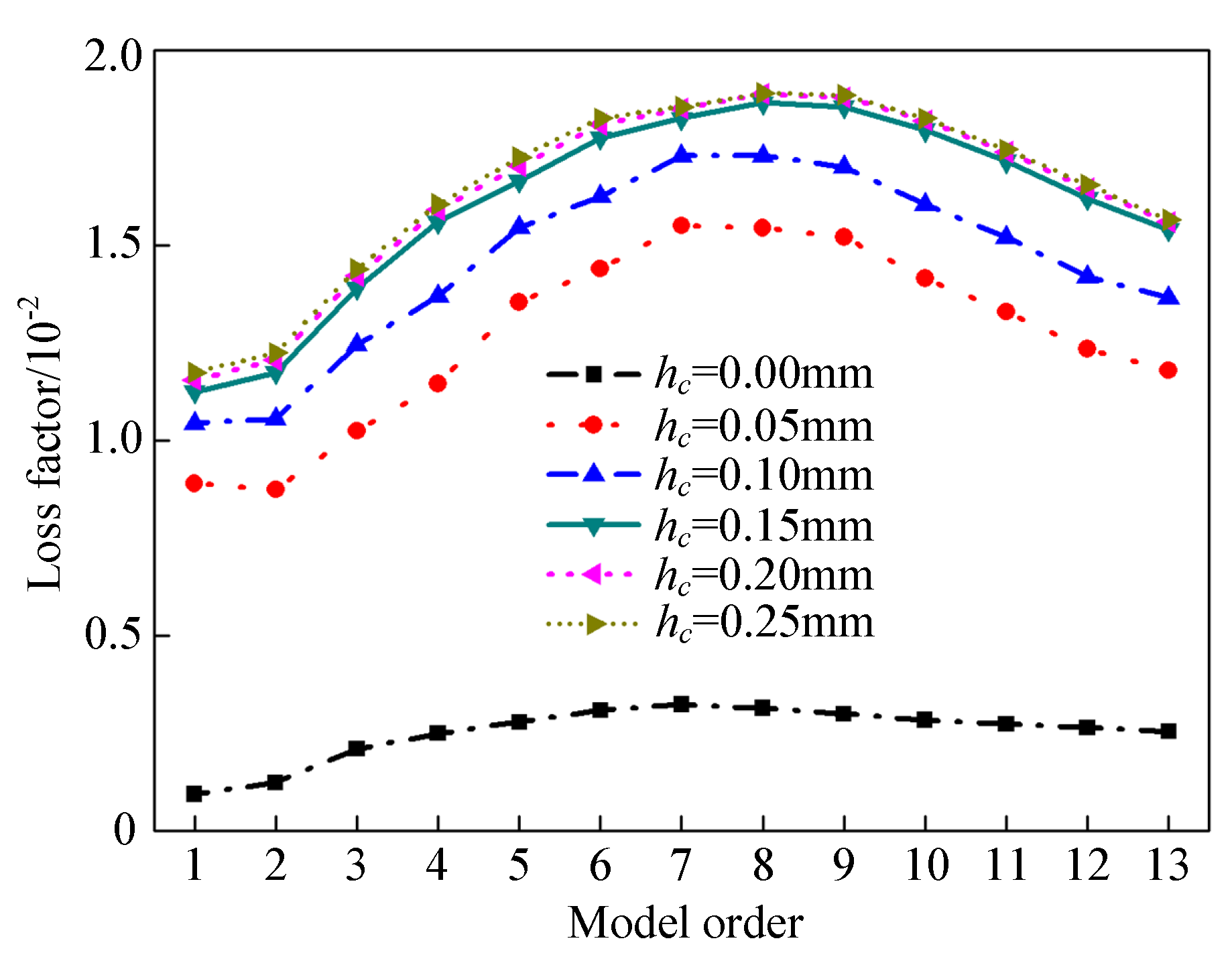
3.4. The Influence of Coating Thickness on Damping Capacity
4. Conclusions
Acknowledgments
Author Contributions
Conflicts of Interest
References
- Klocke, F.; Lung, D.; Arft, M.; Priarone, P.C.; Settineri, L. On high-speed turning of a third-generation gamma titanium aluminide. Int. J. Adv. Manuf. Technol. 2013, 65, 155–163. [Google Scholar] [CrossRef]
- Beranoagirre, A.; Olvera, D.; de Lacalle, L.N.L. Milling of gamma titanium-aluminum alloys. Int. J. Adv. Manuf. Technol. 2012, 62, 83–88. [Google Scholar] [CrossRef]
- Beranoagirre, A.; de Lacalle, L.N.L. Grinding of gamma TiAl intermetallic alloys. Procedia Eng. 2013, 63, 489–498. [Google Scholar] [CrossRef]
- Calleja, A.; Fernández, A.; Rodríguez, A.; de Lacalle, L.N.L.; Lamikiz, A. Turn-milling of blades in turning centres and multitasking machines controlling tool tilt angle. Proc. Inst. Mech. Eng. Part B J. Eng. Manuf. 2015, 229, 1324–1336. [Google Scholar] [CrossRef]
- Artetxe, E.; González, H.; Calleja, A.; Valdivielso, A.F.; Polvorosa, R.; Lamikiz, A.; de Lacalle, L.N.L. Optimised methodology for aircraft engine IBRs five-axis machining process. Int. J. Mechatron. Manuf. Syst. 2016, 9, 385–401. [Google Scholar] [CrossRef]
- Kosing, O.E.; Scharl, R.; Schmuhl, H.J. Design Improvements of the EJ 200 HP Compressor: From Design Verification Engine to a Future All Blisk Version. In Proceedings of the ASME Turbo Expo 2001 Power for Land, Sea, and Air, New Orleans, LA, USA, 4–7 June 2001; American Society of Mechanical Engineers: New York, NY, USA, 2001. [Google Scholar]
- Klinger, H.; Lazik, W.; Wunderlich, T. The engine 3E core engine. In Proceedings of the ASME Turbo Expo 2008: Power for Land, Sea, and Air, Berlin, Germany, 9–13 June 2008; American Society of Mechanical Engineers: New York, NY, USA, 2008; pp. 93–102. [Google Scholar]
- Younossi, O.; Arena, M.V.; Moore, R.M.; Lorell, M.; Mason, J. Military jet Engine Acquisition: Technology Basics and Cost-Estimating Methodology; RAND Corp.: Santa Monica, CA, USA, 2002. [Google Scholar]
- Klauke, T.; Kühhorn, A.; Beirow, B.; Golze, M. Numerical investigations of localized vibrations of mistuned blade integrated disks (blisks). J. Turbo-Mach. 2009, 131, 031002. [Google Scholar] [CrossRef]
- Sever, I.A.; Petrov, E.P.; Ewins, D.J. Experimental and numerical investigation of rotating bladed disk forced response using underplatform friction dampers. J. Eng. Gas Turbines Power 2008, 130, 042503. [Google Scholar] [CrossRef]
- Mbaye, M.; Soize, C.; Ousty, J.P.; Capiez-Lernout, E. Robust analysis of design in vibration of turbomachines. J. Turbomach. 2013, 135, 021008. [Google Scholar] [CrossRef]
- Mayorca, M.A.; Fransson, T.H.; Mårtensson, H. A new reduced order modeling for stability and forced response analysis of aero-coupled blades considering various mode families. J. Turbomach. 2012, 134, 051008. [Google Scholar] [CrossRef]
- Sinha, A. Computation of the statistics of forced response of a mistuned bladed disk assembly via polynomial chaos. J. Vib. Acoust. 2006, 128, 449–457. [Google Scholar] [CrossRef]
- Sayed, B.A.; Chatelet, E.; Baguet, S.; Jacquet-Richardet, G. Dissipated energy and boundary condition effects associated to dry friction on the dynamics of vibrating structures. Mech. Mach. Theory 2011, 46, 479–491. [Google Scholar] [CrossRef]
- Zhao, P.F.; Zhang, Q.; Wu, J.; Zhang, D. Experimental study of dynamic characteristics of dry friction damping of turbine blade steel. Adv. Mater. Res. 2013, 690, 1979–1982. [Google Scholar] [CrossRef]
- Li, G.; Zhang, Q.; Zhao, W.; Zhou, Q.; Xie, Y.H. Dynamic response analysis of blades with damping structures of shroud and snubber. In Proceedings of the First International Conference on Information Sciences, Machinery, Materials and Energy, Jinan, China, 15–16 October 2015; Atlantis Press: Amsterdam, The Netherlands, 2015. [Google Scholar]
- Sanliturk, K.Y.; Ewins, D.J.; Stanbridge, A.B. Underplatform dampers for turbine blades: Theoretical modelling, analysis and comparison with experimental data. J. Eng. Gas Turbines Power 2001, 123, 919–929. [Google Scholar] [CrossRef]
- Petrov, E.P.; Ewins, D.J. Advanced modeling of underplatform friction dampers for analysis of bladed disk vibration. J. Turbomach. 2007, 129, 143–150. [Google Scholar] [CrossRef]
- Pesaresi, L.; Salles, L.; Jones, A.; Green, J.S.; Schwingshackl, C.W. Modelling the nonlinear behaviour of an underplatform damper test rig for turbine applications. Mech. Syst. Signal Process. 2017, 85, 662–679. [Google Scholar] [CrossRef]
- Laxalde, D.; Thouverez, F.; Sinou, J.; Lombard, J.P. Qualitative analysis of forced response of blisks with friction ring dampers. Eur. J. Mech.-A/Solids 2007, 26, 676–687. [Google Scholar] [CrossRef]
- Laxalde, D.; Thouverez, F.; Lombard, J.P. Vibration control for integrally bladed disks using friction ring dampers. In Proceedings of the ASME Turbo Expo 2007: Power for Land, Sea, and Air, Montreal, QC, Canada, 14–17 May 2007; American Society of Mechanical Engineers: New York, NY, USA, 2007; pp. 255–265. [Google Scholar]
- Laxalde, D.; Gibert, C.; Thouverez, F. Experimental and numerical investigations of friction rings damping of blisks. In Proceedings of the ASME Turbo Expo 2008: Power for Land, Sea, and Air, Berlin, Germany, 9–13 June 2008; American Society of Mechanical Engineers: New York, NY, USA, 2008; pp. 469–479. [Google Scholar]
- Laxalde, D.; Thouverez, F.; Lombard, J.P. Forced response analysis of integrally bladed disks with friction ring dampers. J. Vib. Acoust. 2010, 132, 011013. [Google Scholar] [CrossRef]
- Wei, S.B.; Pei, X.H.; Shi, B.R.; Shao, T.M.; Li, T.; Li, Y.L.; Xie, Y. Wear resistance and anti-friction of expansion cone with hard coating. Pet. Explor. Dev. 2016, 43, 326–331. [Google Scholar] [CrossRef]
- Shubin, A.Y.; Potekaev, A.I.; Savostikov, V.M.; Galsanov, S.V.; Dmitriev, V.S.; Stepanov, I.B.; Kashkarov, E.B.; Dammer, V.H. Comparative physical-tribological properties of anti-friction ion-plasma Ti-C-Mo-S coating on VT6 alloy or 20X13 and 40X steels. In Proceedings of the IOP Conference Series: Materials Science and Engineering, Bangkok, Thailand, 20–21 April 2017; IOP Publishing: Bristol, UK, 2017. [Google Scholar]
- Stathopoulos, V.; Sadykov, V.; Pavlova, S.; Bespalko, Y.; Fedorova, Y.; Bobrova, L.; Salanov, A.; Ishchenko, A.; Stoyanovsky, V.; Larina, T. Design of functionally graded multilayer thermal barrier coatings for gas turbine application. Surf. Coat. Technol. 2016, 295, 20–28. [Google Scholar] [CrossRef]
- Zhu, W.; Wang, J.W.; Yang, L.; Zhou, Y.C.; Wei, Y.G.; Wu, R.T. Modeling and simulation of the temperature and stress fields in a 3D turbine blade coated with thermal barrier coatings. Surf. Coat. Technol. 2017, 315, 443–453. [Google Scholar] [CrossRef]
- Wojciechowski, J.; Szubert, K.; Peipmann, R.; Fritz, M.; Schmidt, U.; Bund, A.; Lota, G. Anti-corrosive properties of silane coatings deposited on anodised aluminium. Electrochim. Acta 2016, 220, 1–10. [Google Scholar] [CrossRef]
- Gao, Y.; Syed, J.A.; Lu, H.; Meng, X.K. Anti-corrosive performance of electropolymerized phosphomolybdic acid doped PANI coating on 304SS. Appl. Surf. Sci. 2016, 360, 389–397. [Google Scholar] [CrossRef]
- Yen, H.Y. New Analysis and Design Procedures for Ensuring Gas Turbine Blades and Adhesive Bonded Joints Structural Integrity and Durability. Ph.D. Thesis, Ohio State University, Columbus, OH, USA, 2000. [Google Scholar]
- Li, H.; Ying, L.; Sun, W. Analysis of nonlinear vibration of hard coating thin plate by finite element iteration method. Shock Vib. 2014, 2014. [Google Scholar] [CrossRef]
- Yang, Z.X.; Han, Q.K.; Jin, Z.H.; Qu, T. Solution of natural characteristics of a hard-coating plate based on Lindstedt-Poincaré perturbation method and its valedictions by FEM and measurement. Nonlinear Dyn. 2015, 81, 1207–1218. [Google Scholar] [CrossRef]
- Torvik, P.J.; Langley, B. Material properties of hard coatings developed for high damping. In Proceedings of the 51st AIAA/SAE/ASEE Joint Propulsion Conference, Orlando, FL, USA, 27–29 July 2015. [Google Scholar]
- Gounaris, G.D.; Antonakakis, E.; Papadopoulos, C.A. Hysteretic damping of structures vibrating at resonance: An iterative complex eigensolution method based on damping-stress relation. Comput. Struct. 2007, 85, 1858–1868. [Google Scholar] [CrossRef]
- Rouleau, L.; Deü, J.F.; Legay, A.; Sigrist, J.F. Vibro-acoustic study of a viscoelastic sandwich ring immersed in water. J. Sound Vib. 2012, 331, 522–539. [Google Scholar] [CrossRef]
- Alati, N.; Failla, G.; Santini, A. Complex modal analysis of rods with viscous damping devices. J. Sound Vib. 2014, 333, 2130–2163. [Google Scholar] [CrossRef]
- Arikoglu, A.; Ozkol, I. Vibration analysis of composite sandwich beams with viscoelastic core by using differential transform method. Compos. Struct. 2010, 92, 3031–3039. [Google Scholar] [CrossRef]
- Sun, W.; Li, H.; Han, Q. Identification of mechanical parameters of hard-coating materials with strain-dependence. J. Mech. Sci. Technol. 2014, 28, 81. [Google Scholar] [CrossRef]
- Sun, W.; Liu, Y.; Du, G. Analytical modeling of hard-coating cantilever composite plate considering the material nonlinearity of hard coating. Math. Probl. Eng. 2015, 2015. [Google Scholar] [CrossRef]
- Chakraverty, S.; Behera, L. Free vibration of non-uniform nanobeams using Rayleigh-Ritz method. Phys. E Low-Dimens. Syst. Nanostruct. 2015, 67, 38–46. [Google Scholar] [CrossRef]
- Milazzo, A.; Oliveri, V. Post-buckling analysis of cracked multilayered composite plates by pb-2 Rayleigh-Ritz method. Compos. Struct. 2015, 132, 75–86. [Google Scholar] [CrossRef]
- Wang, Y.; Wu, D. Free vibration of functionally graded porous cylindrical shell using a sinusoidal shear deformation theory. Aerosp. Sci. Technol. 2017, 66, 83–91. [Google Scholar] [CrossRef]
- Tomioka, T.; Kobayashi, Y.; Yamada, G. Analysis of free vibration of rotating disk-blade coupled systems by using artificial springs and orthogonal polynomials. J. Sound Vib. 1996, 191, 53–73. [Google Scholar] [CrossRef]
- Song, X.; Zhai, J.; Chen, Y.; Han, Q.K. Traveling wave analysis of rotating cross-ply laminated cylindrical shells with arbitrary boundaries conditions via Rayleigh-Ritz method. Compos. Struct. 2015, 133, 1101–1115. [Google Scholar] [CrossRef]
- Oh, Y.; Yoo, H.H. Vibration analysis of rotating pretwisted tapered blades made of functionally graded materials. Int. J. Mech. Sci. 2016, 119, 68–79. [Google Scholar] [CrossRef]
- Lee, H.; Song, J.S.; Cha, S.J.; Na, S. Dynamic response of coupled shaft torsion and blade bending in rotor blade system. J. Mech. Sci. Technol. 2013, 27, 2585–2597. [Google Scholar] [CrossRef]
- Xie, K.; Chen, M.; Zhang, L.; Xie, D. Wave based method for vibration analysis of elastically coupled annular plate and cylindrical shell structures. Appl. Acoust. 2017, 123, 107–122. [Google Scholar] [CrossRef]
- Chen, Y.; Zhai, J.; Han, Q. Vibration and damping analysis of the bladed disk with damping hard coating on blades. Aerosp. Sci. Technol. 2016, 58, 248–257. [Google Scholar] [CrossRef]
- Sanliturk, K.Y.; Koruk, H. Development and validation of a composite finite element with damping capability. Compos. Struct. 2013, 97, 136–146. [Google Scholar] [CrossRef]
- Sun, S.; Cao, D.; Han, Q. Vibration studies of rotating cylindrical shells with arbitrary edges using characteristic orthogonal polynomials in the Rayleigh-Ritz method. Int. J. Mech. Sci. 2013, 68, 180–189. [Google Scholar] [CrossRef]
- Jin, G.; Yang, C.; Liu, Z. Vibration and damping analysis of sandwich viscoelastic-core beam using Reddy’s higher-order theory. Compos. Struct. 2016, 140, 390–409. [Google Scholar] [CrossRef]
- Yoon, Y.C.; Kim, K.H.; Lee, S.H. Dynamic particle difference method for the analysis of proportionally damped system and cracked concrete beam. Int. J. Fract. 2016, 23, 1–26. [Google Scholar] [CrossRef]










| Catalog | Disk | Blade | Hard Coating |
|---|---|---|---|
| Length or Outer radius (mm) | 100 | 80 | 80 |
| Width or Inner radius (mm) | 25 | 24 | 24 |
| Thickness (mm) | 3 | 3 | 0.15 |
| Number | 1 | 18 | 18 |
| Catalog | Disk | Blade | Hard Coating |
|---|---|---|---|
| Material | Q235-A(F) steel | Q235-A(F) steel | NiCoCrAlY + YSZ |
| Young’s modulus (Gpa) | 208 | 208 | 54.494 |
| Mass density (kg/m3) | 7860 | 7860 | 5600 |
| Poisson’s ratio | 0.277 | 0.277 | 0.30 |
| Loss factor | 0.0004 | 0.0004 | 0.0212 |
| Mode Order | Rayleigh-Ritz Method | Experimental Test | Difference |
|---|---|---|---|
| 1 | 147.66 | 150.39 | 1.82% |
| 2 | 161.05 | 165.71 | 2.81% |
| 3 | 208.66 | 203.87 | −2.35% |
| 4 | 250.95 | 245.34 | −2.29% |
| 5 | 282.65 | 274.45 | −2.99% |
| 6 | 301.97 | 292.89 | −3.10% |
| 7 | 321.32 | 308.45 | −4.17% |
| 8 | 340.13 | 345.85 | 1.65% |
| 9 | 735.48 | 764.80 | 3.83% |
| 10 | 795.25 | 821.07 | 3.14% |
| 11 | 939.63 | 953.98 | 1.50% |
| 12 | 1205.01 | 1164.13 | −3.51% |
| 13 | 1408.70 | 1387.74 | −1.51% |
| Mode Order | Rayleigh-Ritz Method | Experimental Test | ||||
|---|---|---|---|---|---|---|
| Blisk | Hard-Coating Blisk | Change Gradient | Blisk | Hard-Coating Blisk | Change Gradient | |
| 1 | 148.57 | 147.66 | −0.62% | 152.58 | 150.39 | −1.46% |
| 2 | 162.78 | 161.05 | −1.07% | 168.86 | 165.71 | −1.90% |
| 3 | 212.71 | 208.66 | −1.94% | 210.46 | 203.87 | −3.23% |
| 4 | 254.90 | 250.95 | −1.57% | 255.41 | 245.34 | −4.10% |
| 5 | 289.39 | 282.65 | −2.38% | 281.38 | 274.45 | −2.53% |
| 6 | 312.25 | 301.97 | −3.40% | 305.64 | 292.89 | −4.35% |
| 7 | 327.94 | 321.32 | −2.06% | 320.72 | 308.45 | −3.98% |
| 8 | 346.91 | 340.13 | −1.99% | 357.28 | 345.85 | −3.30% |
| 9 | 754.21 | 735.48 | −2.55% | 792.19 | 764.8 | −3.58% |
| 10 | 825.07 | 795.25 | −3.75% | 860.71 | 821.07 | −4.83% |
| 11 | 963.57 | 939.63 | −2.55% | 984.50 | 953.98 | −3.20% |
| 12 | 1246.17 | 1205.01 | −3.42% | 1211.64 | 1164.13 | −4.08% |
| 13 | 1464.58 | 1408.70 | −3.97% | 1450.02 | 1387.74 | −4.49% |
© 2017 by the authors. Licensee MDPI, Basel, Switzerland. This article is an open access article distributed under the terms and conditions of the Creative Commons Attribution (CC BY) license (http://creativecommons.org/licenses/by/4.0/).
Share and Cite
Gao, F.; Sun, W. Vibration Characteristics and Damping Analysis of the Blisk-Deposited Hard Coating Using the Rayleigh-Ritz Method. Coatings 2017, 7, 108. https://doi.org/10.3390/coatings7080108
Gao F, Sun W. Vibration Characteristics and Damping Analysis of the Blisk-Deposited Hard Coating Using the Rayleigh-Ritz Method. Coatings. 2017; 7(8):108. https://doi.org/10.3390/coatings7080108
Chicago/Turabian StyleGao, Feng, and Wei Sun. 2017. "Vibration Characteristics and Damping Analysis of the Blisk-Deposited Hard Coating Using the Rayleigh-Ritz Method" Coatings 7, no. 8: 108. https://doi.org/10.3390/coatings7080108
APA StyleGao, F., & Sun, W. (2017). Vibration Characteristics and Damping Analysis of the Blisk-Deposited Hard Coating Using the Rayleigh-Ritz Method. Coatings, 7(8), 108. https://doi.org/10.3390/coatings7080108

