Efficacy of Hydrophobic Coatings in Protecting Oak Wood Surfaces during Accelerated Weathering
Abstract
1. Introduction
2. Material and Methods
2.1. Wood and Coatings
2.2. Artificial Weathering
2.3. Colour Analyses
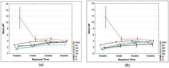
2.4. Gloss Changes
2.5. Surface Wettability
2.6. Microscopic Analysis
2.7. Statistical Evaluation
3. Results and Discussion
4. Conclusions
Acknowledgments
Author Contributions
Conflicts of Interest
References
- EN 335:2013 Durability of Wood and Wood-Based Products—Use Classes: Definitions, Application to Solid Wood and Wood-Based Products; European Committee for Standardization: Brussels, Belgium, 2013.
- Weiland, J.J.; Guyonnet, R. Study of chemical modifications and fungi degradation of thermally modified wood using DRIFT spectroscopy. Holz Roh Werkst. 2003, 61, 216–220. [Google Scholar] [CrossRef]
- Reinprecht, L. Wood Deterioration, Protection and Maintenance, 1st ed.; Wiley-Blackwell: Hoboken, NJ, USA, 2016; p. 376. [Google Scholar]
- Owen, J.A.; Owen, N.L.; Feist, W.C. Scanning electron microscope and infrared studies of weathering in Southern pine. J. Mol. Struct. 1993, 300, 105–114. [Google Scholar] [CrossRef]
- Kiguchi, M.; Evans, P.D.; Ekstedt, J.; Williams, R.S.; Kataoka, Y. Improvement of the durability of clear coatings by grafting of UV-absorbers on to wood. Surf. Coat. Int. Part B Coat. Trans. 2001, 84, 263–270. [Google Scholar] [CrossRef]
- Williams, R.S. Effect of grafted UV stabilizers on wood surface erosion and clear coating performance. J. Appl. Polym. Sci. 1983, 28, 2093–2103. [Google Scholar] [CrossRef]
- Raczkowski, J. Seasonal effects on the atmospheric corrosion of spruce micro-sections. Holz Roh Werkst. 1980, 38, 231–234. [Google Scholar] [CrossRef]
- Mai, C.; Militz, H. Modification of wood with silicon compounds. Treatment systems based on organic silicon compounds—A review. Wood Sci. Technol. 2004, 37, 453–461. [Google Scholar] [CrossRef]
- Burgert, I.; Cabane, E.; Zollfrank, C.; Berglund, L. Bio-inspired functional wood-based materials—Hybrids and replicates. Int. Mater. Rev. 2015, 60, 431–450. [Google Scholar] [CrossRef]
- Hill, C.A.S. Wood Modification—Chemical, Thermal and Other Processes; John Wiley and Sons Ltd.: Chichester, UK, 2006; p. 239. [Google Scholar]
- Larsson-Brelid, P.; Simonson, R.; Bergman, Ö.; Nilsson, T. Resistance of acetylated wood to biological degradation. Holz Roh Werkst. 2000, 58, 331–337. [Google Scholar] [CrossRef]
- Liu, F.; Wang, S.; Zhang, M.; Ma, M.; Wang, C.; Li, J. Improvement of mechanical robustness of the superhydrophobic wood surface by coating PVA/SiO2 composite polymer. Appl. Surf. Sci. 2013, 280, 686–692. [Google Scholar] [CrossRef]
- Ikei, H.; Song, C.; Miyazaki, Y. Physiological effects of wood on humans: A review. J. Wood Sci. 2017, 63, 1–23. [Google Scholar] [CrossRef]
- Yao, L.; He, J. Recent progress in antireflection and self-cleaning technology—From surface engineering to functional surfaces. Prog. Mater. Sci. 2014, 61, 94–143. [Google Scholar] [CrossRef]
- Samyn, P.; Stanssens, D.; Paredes, A.; Becker, G. Performance of organic nanoparticle coatings for hydrophobization of hardwood surfaces. J. Coat. Technol. Res. 2014, 11, 461–471. [Google Scholar] [CrossRef]
- Sudiyani, Y. Chemical characteristics of surfaces of hardwood and softwood deteriorated by weathering. J. Wood Sci. 1999, 45, 348–353. [Google Scholar] [CrossRef]
- Sun, Q.; Lu, Y.; Liu, Y. Growth of hydrophobic TiO2 on wood surface using a hydrothermal method. J. Mater. Sci. 2011, 46, 7706–7712. [Google Scholar] [CrossRef]
- Wang, X.; Chai, Y.; Liu, J. Formation of highly hydrophobic wood surfaces using silica nanoparticles modified with long-chain alkylsilane. Holzforschung 2013, 394, 97–112. [Google Scholar] [CrossRef]
- Petrič, M.; Knehtl, B.; Krause, A.; Militz, H.; Pavlič, M.; Pétrissans, M.; Rapp, A.; Tomažič, M.; Welzbacher, C.; Gérardin, P. Wettability of waterborne coatings on chemically and thermally modified pine wood. J. Coat. Technol. Res. 2007, 4, 203–206. [Google Scholar] [CrossRef]
- Pánek, M.; Reinprecht, L. Effect of the number of UV-protective coats on the color stability and surface defects of painted black locust and Norway spruce woods subjected to natural weathering. BioResources 2016, 11, 4663–4676. [Google Scholar] [CrossRef]
- Blanchard, V.; Blanchet, P. Color Stability for wood products during use: Effects of inorganic nanoparticles. BioResources 2011, 6, 1219–1229. [Google Scholar]
- Allen, S.N.; Edge, M.; Ortega, A.; Liauw, C.M.; Stratton, J.; McIntyre, R.B. Behaviour of nanoparticle (ultrafine) titanium dioxide pigments and stabilisers on the photooxidative stability of water-based acrylic and isocyanate based acrylic coatings. Polym. Degrad. Stab. 2002, 78, 467–478. [Google Scholar] [CrossRef]
- De Windt, I.; van den Bulcke, J.; Wuijtens, I.; Coppens, H.; van Acker, J. Outdoor weathering performance parameters of exterior wood coating systems on tropical hardwood substrates. Eur. J. Wood Wood Prod. 2014, 72, 261–272. [Google Scholar] [CrossRef]
- Grüll, G.; Tscherne, F.; Spitaler, I.; Forsthuber, B. Comparison of wood coating durability in natural weathering and artificial weathering using fluorescent UV-lamps and water. Eur. J. Wood Wood Prod. 2014, 72, 367–376. [Google Scholar] [CrossRef]
- De Meier, M. Review on the durability of exterior wood coatings with reduced VOC-content. Prog. Org. Coat. 2001, 43, 217–225. [Google Scholar] [CrossRef]
- Ozgenc, O.; Hiziroglu, S.; Yildiz, U.C. Weathering properties of wood species treated with different coating applications. BioResources 2012, 7, 4875–4888. [Google Scholar] [CrossRef]
- Grüll, G.; Forsthuber, B.; Ecker, M. Sensitivity of waterborne coatings materials to high acidity and high content of arabinobalactan in larch heartwood. Prog. Org. Coat. 2016, 101, 367–378. [Google Scholar] [CrossRef]
- Hon, D.N.S.; Chang, S.T. Surface degradation of wood by ultraviolet light. J. Polym. Sci. Polym. Chem. 1984, 22, 2227–2241. [Google Scholar] [CrossRef]
- Pandey, K.K. A note on the influence of extractives on the photo-discoloration and photo-degradation of wood. Polym. Degrad. Stab. 2005, 87, 375–379. [Google Scholar] [CrossRef]
- Pastore, T.C.M.; Santos, K.O.; Rubim, J.C. A spectrocolorimetric study on the effect of ultraviolet irradiation of four tropical hardwoods. Bioresour. Technol. 2004, 93, 37–42. [Google Scholar] [CrossRef] [PubMed]
- Genco, G.; Lo Monaco, A.; Pelosi, C.; Picchio, R.; Santamaria, U. A study of colour change due to accelerated sunlight exposure in consolidated wood samples. Wood Res. 2011, 56, 511–524. [Google Scholar]
- Forsthuber, B.; Schaller, C.; Grüll, G. Evaluation of the photo stabilizing efficiency of clear coatings comprising organic UV absorbers and mineral UV screeners on wood surfaces. Wood Sci. Technol. 2013, 47, 281–297. [Google Scholar] [CrossRef]
- Weichelt, F.; Emmler, R.; Flyunt, R.; Beyer, E.; Buchmeiser, M.R.; Beyer, M. ZnO-based UV nanocomposites for wood coatings in outdoor applications. Macromol. Mater. Eng. 2010, 295, 130–136. [Google Scholar] [CrossRef]
- Cayton, R.H.; Murray, P.G.; Nelson, D.; Ostrowski, R. Improved weatherability of outdoor wood stains using nanotechnology. J. Coat. Technol. 2010, 7, 38–42. [Google Scholar]
- Poubel, D.D.; Garcia, R.A.; Lelis, R.C.C.; Riedl, B. Effect of ZnO nanoparticles on UV resistance of the heat-treated pine wood. Sci. For. 2017, 113, 49–62. [Google Scholar] [CrossRef]
- Robinson, S.C.; Tudor, D.; Mansourian, Y.; Cooper, P.A. The effects of several commercial wood coatings on the deterioration of biological pigments in wood exposed to UV light. Wood Sci. Technol. 2013, 47, 457–466. [Google Scholar] [CrossRef]
- Schaller, C.; Rogez, D. New approaches in wood coating stabilization. J. Coat. Technol. Res. 2007, 4, 401–409. [Google Scholar] [CrossRef]
- George, B.; Suttie, E.; Merlin, A.; Deglise, X. Photodegradation and photostabilisation of wood—The state of the art. Polym. Degrad. Stab. 2005, 88, 268–274. [Google Scholar] [CrossRef]
- Kurumada, T.; Ohsawa, H.; Yamazaki, T. Synergism of hindered amine light stabilizers and UV-absorbers. Polym. Degrad. Stab. 1987, 19, 262–272. [Google Scholar] [CrossRef]
- Evans, P.D.; Thay, P.D.; Schmalzl, K.J. Degradation of wood surfaces during natural weathering. Effects on lignin and cellulose and on the adhesion of acrylic latex primers. Wood Sci. Technol. 1996, 30, 411–422. [Google Scholar]
- Gobakenn, L.R.; Westin, M. Surface moulds growth on five modified wood substrates coated with three different coating systems when exposed outdoors. Int. Biodeterior. Biodegrad. 2008, 62, 397–402. [Google Scholar] [CrossRef]
- Van Acker, J.; Stevens, M.; Carey, J.; Siera-Alvarez, R.; Militz, H.; Le Bayon, I.; Kleist, G.; Peek, R.D. Biological durability of wood in relation to end-use—Part 1. Towards a European standard for laboratory testing of the biological durability of wood. Holz Roh Werkst. 2003, 61, 125–132. [Google Scholar] [CrossRef]
- Dubey, M.K.; Pang, S.; Walker, J. Changes in chemistry, color, dimensional stability and fungal resistance of Pinus radiata D. Don wood with oil heat-treatment. Holzforschung 2011, 65, 49–57. [Google Scholar] [CrossRef]
- Hukka, A.; Viitanen, H.A. A mathematical model of mould growth on wooden material. Wood Sci. Technol. 1999, 33, 475–485. [Google Scholar] [CrossRef]
- Sahin, H.T.; Mantanis, G.I. Colour changes in wood surfaces modified by a nanoparticulate based treatment. Wood Res. 2011, 56, 525–532. [Google Scholar]
- Grüll, G.; Truskaller, M.; Podgorski, L.; Bollmus, S.; Tscherne, F. Maintenance procedures and definition of limit states for exterior wood coatings. Eur. J. Wood Wood Prod. 2011, 69, 443–450. [Google Scholar] [CrossRef]
- Rowell, R.; Bongers, F. Coating Acetylated Wood. Coatings 2015, 5, 792–801. [Google Scholar] [CrossRef]
- Žlahtič, M.; Humar, M. Influence of artificial and natural weathering on the hydrophobicity and surface properties of wood. BioResources 2016, 11, 4964–4989. [Google Scholar] [CrossRef]
- Ayadi, N.; Lejeune, F.; Charrier, F.; Charrier, B.; Merlin, A. Color stability of heat-treated wood during artificial weathering. Holz Roh Werkst. 2003, 61, 221–226. [Google Scholar] [CrossRef]
- Wang, C.; Piao, C.; Lucas, C. Synthesis and characterization of superhydrophobic wood surfaces. J. Appl. Polym. Sci. 2011, 119, 1667–1672. [Google Scholar] [CrossRef]
- Sébe, G.; Brook, M.A. Hydrophobization of wood surfaces: Covalent grafting of silicone polymers. Wood Sci. Technol. 2001, 35, 269–282. [Google Scholar] [CrossRef]
- Šprdlík, V.; Kotradyová, V.; Tiňo, R. Superhydrophobic coating of European oak (Quercus robur), European larch (Larix decidua), and Scots pine (Pinus sylvestris) wood surfaces. BioResources 2017, 12, 3289–3302. [Google Scholar] [CrossRef]
- Wagenführ, R. Dřevo—Obrazový Lexikon; GRADA Publishing: Praha, Czech Republic, 2002; p. 348. ISBN 80-247-0346-7. [Google Scholar]
- EN 350:2016 Durability of Wood and Wood-Based Products—Testing and Classification of the Durability to Biological Agents of Wood and Wood-Based Materials; European Committee for Standardization: Brussels, Belgium, 2016.
- EN 460:1994 Durability of Wood and Wood-Based Products—Natural Durability of Solid Wood—Guide to the Durability Requirements for Wood to Be Used in Hazard Classes; European Committee for Standardization: Brussels, Belgium, 1994.
- Oberhoffnerová, E.; Pánek, M.; Cimarras, A.G. The effect of natural weathering on untreated wood surface. Maderas Cienc. Tecnol. 2017, 19, 173–184. [Google Scholar] [CrossRef]
- Sivrikaya, H.; Hafizoglu, H.; Yasav, A.; Aydemir, D. Natural weathering of oak (Quercus petrae) and chestnut (Castanea sativa) coated with various finishes. Color Res. Appl. 2011, 36, 72–78. [Google Scholar] [CrossRef]
- Colorimetry, 2nd ed.; Commission Internationale de l’Eclairage: Vienna, Austria, 1986; p. 74.
- EN 927-6:2006 Paints and Varnishes. Coating Materials and Coating Systems for Exterior Wood—Part 6: Exposure of Wood Coatings to Artificial Weathering Using Fluorescent UV Lamps and Water; European Committee for Standardization: Brussels, Belgium, 2006.
- Van den Bulcke, J.; van Acker, J.; Stevens, M. Experimental and theorethical behavior of exterior wood coatings subjected to artificial weathering. J. Coat. Technol. Res. 2008, 5, 221–231. [Google Scholar] [CrossRef]
- EN ISO 2813:2014 Paints and Varnishes—Determination of Gloss Value at 20 Degrees, 60 Degrees and 85 Degrees; European Committee for Standardization: Brussels, Belgium, 2014.
- Kúdela, J. Wetting of wood surface by a liquids of a different polarity. Wood Res. 2014, 59, 11–24. [Google Scholar]
- Wålinder, M.; Johansson, I. Measurement of wood wettability by the Willhelmy method. Part 1. Contamination of probe liquids by extractives. Holzforschung 2001, 55, 21–32. [Google Scholar] [CrossRef]
- Bastani, A.; Adamopoulos, S.; Militz, H. Water uptake and wetting behaviour of furfurylated, N-methylol melamine modified and heat-treated wood. Eur. J. Wood Wood Prod. 2015, 73, 627–634. [Google Scholar] [CrossRef]
- Gonzalez de Cademartori, P.H.; Missio, A.L.; Dufau Mattos, B.; Gatto, D.A. Natural weathering performance of three fast-growing Eucalypt woods. Maderas Cienc. Tecnol. 2015, 17, 799–808. [Google Scholar] [CrossRef]
- Evans, P.D.; Haase, J.G.; Shakri, A.; Seman, B.M.; Kiguchi, M. The search for durable exterior clear coatings for wood. Coatings 2015, 5, 830–864. [Google Scholar] [CrossRef]
- Krutul, D.; Radomski, A.; Zawadzki, J.; Zielenkiewicz, T.; Antczak, A. Comparison of the chemical composition of the fossil and recent oak wood. Wood Res. 2010, 55, 113–120. [Google Scholar]
- Srinivas, K.; Pandey, K.K. Photodegradation of thermally modified wood. J. Photochem. Photobiol. B Biol. 2012, 117, 140–145. [Google Scholar] [CrossRef] [PubMed]
- Calienno, L.; Pelosi, C.; Picchio, R.; Agresti, G.; Santamaria, U.; Balletti, F.; Lo Monaco, A. Light induced colour changes and chemical modification of treated and untreated chestnut wood surface. Stud. Conserv. 2015, 60, 131–139. [Google Scholar] [CrossRef]
- Rüther, P.; Jelle, B.P. Color changes of wood and wood-based materials due to natural and artificial weathering. Wood Mater. Sci. Eng. 2013, 8, 13–25. [Google Scholar] [CrossRef]
- Schnabel, T.; Zimmer, B.; Petutschnigg, A.J. On the modelling of colour changes of wood surfaces. Eur. J. Wood Wood Prod. 2009, 67, 141–149. [Google Scholar] [CrossRef]
- Gaylarde, C.C.; Morton, L.H.G.; Loh, K.; Shirakawa, M.A. Biodeterioration of extrenal architectural paint films—A review. Int. Biodeterior. Biodegrad. 2011, 65, 1189–1198. [Google Scholar] [CrossRef]
- Ghosh, M.; Gupta, S.; Kumar, V.S.K. Studies on the loss of gloss of shellac and polyurethane finishes exposed to UV. Maderas Cienc. Tecnol. 2015, 17, 39–44. [Google Scholar] [CrossRef]
- Scheikl, M.; Dunky, M. Measurement of dynamic and static contact angels on wood for the determination of its surface tension and the penetration of liquids into the wood surface. Holzforschung 1998, 52, 89–94. [Google Scholar] [CrossRef]
- Liptákova, E.; Kudela, J.; Sarvaš, J. Study of the system wood—Coating material. Part 1. Wood—Liquid coating material. Holzforschung 2000, 54, 189–196. [Google Scholar] [CrossRef]
- Moya, R.; Rodríguez-Zúñiga, A.; Vega-Baudrit, J.; Puente-Urbina, A. Effects of adding TiO2 nanoparticles to a water-based varnish for wood applied to nine tropical woods of Costa Rica exposed to natural and accelerated weathering. J. Coat. Technol. Res. 2016, 14, 141–152. [Google Scholar] [CrossRef]
- Mahendran, A.R.; Wuzella, G.; Aust, N.; Kandelbauer, A.; Müller, U. Photocrosslinkable modified vegetable oil-based resin for wood surface coating application. Prog. Org. Coat. 2012, 74, 697–704. [Google Scholar] [CrossRef]
- Gobakken, L.R.; Lebow, P.K. Modelling mould growth on coated modified and unmodified wood substrates exposed outdoors. Wood Sci. Technol. 2010, 44, 315–333. [Google Scholar] [CrossRef]
- Pánek, M.; Reinprecht, L. Colour stability and surface defects of naturally aged wood treated with transparent paints for exterior constructions. Wood Res. 2014, 59, 421–430. [Google Scholar]








| Treatment Marking | Coating or Surface Modification | Chemical Composition |
|---|---|---|
| A | Hydrophobic coating (commercial product) | 1% butanoate nano zirconium; Isopropyl alcohol 98%, butanol 1% |
| B | Hydrophobic coating (commercial product) | Water-based acrylic resin with wax additives as hydrophobic substances |
| C | Transparent oil-based coating (commercial product) | Natural vegetable oils, dis-aromatized white spirit, 3-iodo-2-propynyl N-butylcarbamate (IPBC) as fungicide, UV-stabilizers |
| 1 | UV light-stabilizer (commercial product) | 2-(2-hydroxyfenyl)-benzotriazoles with HALS; in 3% water solution |
| 2 | UV light-stabilizer and ZnO nanoparticles | 2-(2-hydroxyfenyl)-benzotriazoles with HALS (1) and nanoparticles of ZnO (25 nm)—weight ratio of UV stabilizers and nanoparticles in composition 1:1; in 3% water dispersion concentration |
| 3 | UV light-stabilizer and mixture of ZnO:TiO2 nanoparticles (1:1 weight ratio) | 2-(2-hydroxyfenyl)-benzotriazoles with HALS (1); ZnO (25 nm) and TIO2 (6 nm) nanoparticles—weight ratio of UV stabilizers and nanoparticles in composition 1:1; in 3% water dispersion concentration |
| 4 | UV light-stabilizer (commercial product) | Synthetic resins, organic UV light stabilizers, and IPBC fungicide |
| REF | Native untreated oak wood | – |
| Coating | A | B | C | REF | ||||||||
|---|---|---|---|---|---|---|---|---|---|---|---|---|
| Modification | 1 | 2 | 3 | 4 | – | 1 | 2 | 3 | 4 | – | – | – |
| Sign | A1 | A2 | A3 | A4 | A | B1 | B2 | B3 | B4 | B | C | REF |
| L* | 56.5 | 54.4 | 54.1 | 56.9 | 60.9 | 59.1 | 51.4 | 54.5 | 62.8 | 61.7 | 59.0 | 67.7 |
| a* | 9.3 | 10.2 | 10.8 | 9.3 | 7.4 | 7.7 | 9.5 | 8.5 | 7.8 | 9.1 | 10.8 | 6.8 |
| b* | 24.9 | 22.4 | 27.4 | 24.7 | 22.8 | 21.6 | 21.7 | 23.3 | 21.5 | 25.2 | 26.6 | 19.7 |
| Weathering in UV-Chamber: One Cycle = 1 Week (168 h) | Functions | ||
|---|---|---|---|
| 1st step | 24 h | Temperature 45 ± 3 °C, Water-Spray (off), UV (off) | |
| 2nd step | A | 2.5 h | Temperature 65 ± 3 °C, Water-Spray (off), UV Irradiance 1.10 W·m−2 at 340 nm |
| B | 0.5 h | Temperature 20 ± 1 °C, Water-Spray (on), UV (off) | |
| A + B | 3 h | ||
| Sub-cycle (A + B): 48 sub-cycles × 3-h of one, i.e., together 144 h | |||
| Coating | A | B | C | REF | |||||||||
|---|---|---|---|---|---|---|---|---|---|---|---|---|---|
| Modification | 1 | 2 | 3 | 4 | – | 1 | 2 | 3 | 4 | – | – | – | |
| Sign | A1 | A2 | A3 | A4 | A | B1 | B2 | B3 | B4 | B | C | REF | |
| 1 week | ∆L* | 10.8 | 10.2 | 13.9 | 2.5 | 3.7 | 2.3 | 14.0 | 14.0 | −0.6 | 2.2 | −3.5 | −1.9 |
| ∆a* | −2.3 | −2.0 | −3.9 | 0.1 | −1.5 | 1.4 | −2.3 | −2.7 | 0.7 | 0.5 | 3.5 | 1.1 | |
| ∆b* | −7.0 | −3.2 | −10.0 | 0.9 | −5.3 | 1.5 | −4.9 | −9.2 | −1.7 | −1.9 | 4.9 | −0.2 | |
| 3 weeks | ∆L* | 19.7 | 16.1 | 18.8 | 8.1 | 9.4 | 12.5 | 20.5 | 19.6 | 9.0 | 8.8 | 1.7 | 11.1 |
| ∆a* | −5.9 | −5.4 | −6.2 | −2.2 | −4.0 | −3.1 | −5.3 | −4.8 | −3.5 | −2.3 | −0.2 | −2.7 | |
| ∆b* | −14.8 | −9.8 | −13.7 | −4.8 | −9.5 | −9.4 | −9.1 | −12.6 | −8.8 | −7.4 | −2.4 | −8.0 | |
| 6 weeks | ∆L* | 23.5 | 23.2 | 25.2 | 10.8 | 15.5 | 17.7 | 25.4 | 24.3 | 11.2 | 14.7 | 15.2 | 14.4 |
| ∆a* | −7.3 | −7.5 | −8.1 | −3.1 | −6.1 | −4.7 | −6.7 | −6.3 | −4.6 | −4.4 | −6.8 | −4.0 | |
| ∆b* | −15.5 | −12.7 | −16.3 | −4.2 | −13.0 | −11.3 | −9.4 | −13.7 | −7.6 | −9.9 | −12.2 | −7.9 | |
© 2017 by the authors. Licensee MDPI, Basel, Switzerland. This article is an open access article distributed under the terms and conditions of the Creative Commons Attribution (CC BY) license (http://creativecommons.org/licenses/by/4.0/).
Share and Cite
Pánek, M.; Oberhofnerová, E.; Zeidler, A.; Šedivka, P. Efficacy of Hydrophobic Coatings in Protecting Oak Wood Surfaces during Accelerated Weathering. Coatings 2017, 7, 172. https://doi.org/10.3390/coatings7100172
Pánek M, Oberhofnerová E, Zeidler A, Šedivka P. Efficacy of Hydrophobic Coatings in Protecting Oak Wood Surfaces during Accelerated Weathering. Coatings. 2017; 7(10):172. https://doi.org/10.3390/coatings7100172
Chicago/Turabian StylePánek, Miloš, Eliška Oberhofnerová, Aleš Zeidler, and Přemysl Šedivka. 2017. "Efficacy of Hydrophobic Coatings in Protecting Oak Wood Surfaces during Accelerated Weathering" Coatings 7, no. 10: 172. https://doi.org/10.3390/coatings7100172
APA StylePánek, M., Oberhofnerová, E., Zeidler, A., & Šedivka, P. (2017). Efficacy of Hydrophobic Coatings in Protecting Oak Wood Surfaces during Accelerated Weathering. Coatings, 7(10), 172. https://doi.org/10.3390/coatings7100172
