Preparation and Self-Healing Properties of Polyurethane with Dual Dynamic Covalent Bonds
Highlights
- Optimal R-value elevation enhances SSDA-PU’s mechanical properties.
- The disulfide bonds indirectly contribute to the reinforcement and toughening of the DA-PU system.
- The polyurethane with dual dynamic covalent bonds enables multiple self-healing of the elastomer.
- SSDA-PU’s self-healing stems from synergistic multi-bond effects.
Abstract
1. Introduction
2. Materials and Methods
2.1. Raw Material
2.2. Preparation of Chain Extender Containing Disulfide Bonds (B2HD)
2.3. Preparation of Polyurethane with Dynamic Covalent Bonds
2.4. Experimental Methods
2.4.1. Fourier Transform Infrared Spectroscopy Test
2.4.2. Raman Spectroscopy Test
2.4.3. XRD Crystallinity Characterization
2.4.4. Thermogravimetric Analysis
2.4.5. Dynamic Mechanical Analysis
2.4.6. Shore Hardness Test
2.4.7. Tensile Property Test
2.4.8. Self-Healing Performance Evaluation and Characterization of Polyurethanes
- (1)
- Scratch recovery performance test
- (2)
- Self-healing performance characterization
- (3)
- Thermal reversibility test
2.4.9. In Situ Temperature-Dependent FTIR Analysis
3. Results
3.1. FTIR Analysis
3.2. Raman Spectroscopy Analysis
3.3. X-Ray Diffraction Characterization and Analysis of Polyurethanes
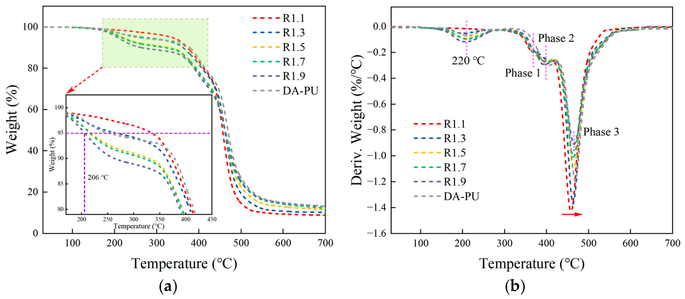
3.4. Thermal Stability Analysis of Polyurethanes
3.5. Dynamic Mechanical Analysis of Different Polyurethanes
3.6. Shore Hardness Analysis
3.7. Tensile Performance Evaluation
3.8. Self-Healing Property Testing and Evaluation of Dynamic Covalent Polyurethanes
3.8.1. Characterization of Scratch Self-Healing in Polyurethanes
3.8.2. Self-Healing Properties of Different Polyurethanes
3.8.3. Thermal Reversibility Analysis of Different Polyurethanes
3.9. In Situ FTIR Spectroscopy Analysis of Dynamic Covalent Polyurethanes
3.10. Analysis of Self-Healing Mechanism
4. Conclusions
- (1)
- XRD analysis reveals microcrystalline structures in dynamic covalent polyurethanes; however, disulfide bonds reduce the quantity of effective hard segments available for crystallization, thereby diminishing crystallinity.
- (2)
- With increasing R-values, the mechanical properties of polyurethanes progressively enhance, but excessive crosslinking occurs when R exceeds 1.7. At identical R-values, SSDA-PU exhibits superior mechanical performance compared to DA-PU, indicating that disulfide bonds indirectly provide auxiliary strengthening and toughening effects.
- (3)
- Polyurethanes with dual dynamic covalent bonds achieve multiple self-healing cycles across a broad temperature range while retaining self-repair capability at lower temperatures.
- (4)
- In situ variable-temperature FTIR spectroscopy demonstrates that the incorporation of disulfide bonds alters the chain conformation and flexibility of polyurethane molecules, where B2HD provides more flexible segmental structures, spatially facilitating proximity between furan and maleimide groups.
- (5)
- The damage self-healing in SSDA-PU results from the synergistic interaction of disulfide bond exchange, hydrogen bond dissociation, and thermally reversible DA reactions.
Supplementary Materials
Author Contributions
Funding
Institutional Review Board Statement
Informed Consent Statement
Data Availability Statement
Conflicts of Interest
References
- Li, X.; Li, J.; Wang, J.; Yuan, J.; Jiang, F.; Yu, X.; Xiao, F. Recent applications and developments of Polyurethane materials in pavement engineering. Constr. Build. Mater. 2021, 304, 124639. [Google Scholar] [CrossRef]
- Zhou, Z.; Li, G.; Zhang, L.; Guo, Y.; Che, Q.; Qi, H.; Zhang, G. Sliding crosslinks enable polyurethane composites with greatly enhanced mechanical robustness and wear resistance. Compos. Part B-Eng. 2026, 313, 113367. [Google Scholar] [CrossRef]
- Gallu, R.; Méchin, F.; Dalmas, F.; Gérard, J.F. Tailoring of morphology and viscoelastic properties of thermoplastic polyurethane (TPU)-modified bitumen blends by tuning the diisocyanate. Constr. Build. Mater. 2025, 491, 142767. [Google Scholar] [CrossRef]
- Song, Y.; Li, J.; Song, G.; Li, Z.; Yang, X.; Ma, F.; Li, X. Superior strength, highly stretchable, bionic self-healing polyurethane and its composites for flexible conductivity and self-cleaning applications. Compos. Part B-Eng. 2024, 280, 111457. [Google Scholar] [CrossRef]
- Li, M.; He, Z.; Yu, J.; Yu, L.; Shen, Z.; Kong, L. Rheological Properties and Modification Mechanism of Emulsified Asphalt Modified with Waterborne Epoxy/Polyurethan Composite. Materials 2024, 17, 5361. [Google Scholar] [CrossRef]
- Chen, K.; Zhu, H.; Zhang, Z.; Shao, Y.; Yu, Q.; Cao, X.; Pan, S.; Mu, X.; Gao, Z.; Wang, D.; et al. Self-healing polyurethane coatings based on dynamic chemical bond synergy under conditions of photothermal response. Chem. Eng. J. 2023, 474, 145811. [Google Scholar] [CrossRef]
- Zhu, D.; Guo, C.; Liu, H.; Ye, J.; Chen, H.; Zhang, J.; Liu, Y.; Feng, L. Thermo-reversible DA bonds-based polyurethanes with both excellent comprehensive mechanical property and remarkable room temperature self-healing capability. Colloids Surf. A Physicochem. Eng. Asp. 2025, 711, 136398. [Google Scholar] [CrossRef]
- Jin, S.; Jeon, H.; Kim, S.M.; Lee, M.; Park, C.; Joo, Y.; Seo, J.; Oh, D.X.; Park, J. Self-healable spray paint coatings based on polyurethanes with thermal stability: Effects of disulfides and diisocyanates. Prog. Org. Coat. 2025, 198, 108931. [Google Scholar] [CrossRef]
- Wang, Z.; Sun, C.; Ji, D.; Wang, P.; Yang, L.; Cao, W.; Zhu, J. Research Progress of High Strength Intrinsic Self-healing Polyurethane Materials. Surf. Technol. 2022, 51, 1–14. [Google Scholar]
- Hao, S.; Jia, P.; Zhou, Y.; Zhang, M. Research Progress in Intrinsic Self-repairing Polyurethane Materials. China Plast. 2019, 33, 121–129. [Google Scholar]
- Li, Y.; Zhou, M.; Wang, R.; Han, H.; Huang, Z.; Wang, J. Self-healing polyurethane elastomers: An essential review and prospects for future research. Eur. Polym. J. 2024, 214, 113159. [Google Scholar] [CrossRef]
- Ghanbari, R.; Serajian, A.; Ataei, S.; Zare, E.N. Intrinsic self-healing Polyurethanes: Advances, Applications, and future prospects. Eur. Polym. J. 2024, 221, 113566. [Google Scholar] [CrossRef]
- Liu, Z.; Tang, Y.; Chen, Y.; Lu, Z.; Rui, Z. Dynamic covalent adhesives and their applications: Current progress and future perspectives. Chem. Eng. J. 2024, 497, 154710. [Google Scholar] [CrossRef]
- Wei, Z.; Liao, Y.; Liu, T.; Yuan, A.; Wu, X.; Jiang, L.; Lei, J.; Fu, X. Design of Sustainable Self-Healing Phase Change Materials by Dynamic Semi-Interpenetrating Network Structure. Adv. Funct. Mater. 2024, 34, 2312019. [Google Scholar] [CrossRef]
- Cao, Z.; Yuan, L.; Yi, J. Preparation and characterization of polyurethane-modified asphalt containing dynamic covalent bonds. Constr. Build. Mater. 2023, 404, 133303. [Google Scholar] [CrossRef]
- Huang, G.; Wang, P.; Cai, Y.; Jiang, K.; Li, H. Tough, self-healing double network hydrogels crosslinked via multiple dynamic non-covalent bonds for strain sensor. J. Polym. Sci. 2023, 61, 1675–1687. [Google Scholar] [CrossRef]
- Yang, H.; Miao, Z.; Yang, Y.; Yan, W.; Ren, L.; Yang, Z.; Guo, Y.; Yang, Y.; Wei, Y.; Tu, H. Enhancing impact resistance of CFRP by incorporating dynamic non-covalent bonds into epoxy resin networks. Compos. Part B-Eng. 2025, 307, 112875. [Google Scholar] [CrossRef]
- Xu, G.; Liang, Z.; Huang, Q.; Wang, Y.; Yang, J.; Nie, Y. Tough self-healing polyurethane elastomers based on interpenetrating networks containing multiple hydrogen bond networks, flexible blocks, metal coordination and covalent cross-linking. Prog. Org. Coat. 2023, 175, 107391. [Google Scholar] [CrossRef]
- Chang, K.; Jia, H.; Gu, S.Y. A transparent, highly stretchable, self-healing polyurethane based on disulfide bonds. Eur. Polym. J. 2019, 112, 822–831. [Google Scholar] [CrossRef]
- Sun, N.; Wang, Z.; Ma, X.; Zhang, K.; Wang, Z.; Guo, Z.; Chen, Y.; Sun, L.; Lu, W.; Liu, Y.; et al. Preparation and characterization of lignin-containing self-healing polyurethane elastomers with hydrogen and disulfide bonds. Ind. Crops Prod. 2021, 174, 114178. [Google Scholar] [CrossRef]
- Tang, X.; Guo, X.; Liu, X.; Liu, G.; Liu, L.; Zhang, B. Self-healing polyurethane elastomer with wider damping temperature range by synergistic interaction of suspended chains and dynamic disulfide bonds. Polym. Test. 2023, 124, 108070. [Google Scholar] [CrossRef]
- Li, L.; Zhang, X.; Hao, Z. Preparation and Properties of Dynamic Disulfide Bond Self-healing Polyurethane mMdified Asphalt. J. Build. Mater. 2024, 27, 514–519. [Google Scholar]
- Yan, X.; Ding, N.; Wang, C. Synthesis of thermoreversible polyurethane based on D-A reaction and preparation and properties of its carbon fiber composites. Acta Mater. Compositae Sin. 2024, 41, 1914–1922. [Google Scholar]
- Irusta, L.; Fernández-Berridi, M.J.; Aizpurua, J. Polyurethanes based on isophorone diisocyanate trimer and polypropylene glycol crosslinked by thermal reversible diels alder reactions. J. Appl. Polym. Sci. 2017, 134, 44543. [Google Scholar] [CrossRef]
- Feng, L.; Yu, Z.; Bian, Y.; Lu, J.; Shi, X.; Chai, C. Self-healing behavior of polyurethanes based on dual actions of thermo-reversible Diels-Alder reaction and thermal movement of molecular chains. Polymer 2017, 124, 48–59. [Google Scholar] [CrossRef]
- Li, X.; Zhang, T.; Song, B.; Yang, K.; Hao, X.; Ma, J. Polyurethane toughened covalent adaptive networks epoxy composite based on thermoreversible Diels-Alder reaction: Self-healable, shape memory, and recyclable. J. Appl. Polym. Sci. 2024, 141, e54762. [Google Scholar] [CrossRef]
- Dong, G.; Shao, C.; Ji, Y.; Tian, X.; Bai, R. A Polyurethane Material with Both Damping and Self-healing Properties Based on Imine Bonding. Polym. Mater. Sci. Eng. 2024, 40, 11–21. [Google Scholar]
- Tian, Q.; Wang, L.; Huang, Z.; Sheng, L.; Qi, D. Effect of the R value on the self-healing property of polyurethane containing diselenide bonds. Adv. Text. Technol. 2023, 31, 106–116. [Google Scholar]
- Song, Y.; Song, G.; Li, J.; Tang, X.; Yin, S.; Mai, J.; Li, X. High-efficiency self-repairing polyurethane based on synergy of disulfide bonds and graded hydrogen bonds. J. Appl. Polym. Sci. 2024, 141, e54892. [Google Scholar] [CrossRef]
- Huang, R.; Yang, A.; Ma, R.; Yang, H.; Tang, X.; Zhao, F.; He, R.; Zhang, K.; Yang, W. Polyurethane solid-solid phase change materials based on triple dynamic bonds with excellent mechanical and self-healing properties for sustainable thermal energy storage. J. Energy Storage 2025, 111, 115447. [Google Scholar] [CrossRef]
- Zhou, M.; Luo, J.; Zhang, D.; Qin, S.; Xiang, L.; Sun, X. Synthesis and repairing properties of two linear self-healing polyurethanes. Eng. Plast. Appl. 2020, 48, 16–22, 27. [Google Scholar]
- Wang, Y.; Zhu, M.; Hao, C.; Dai, R.; Huang, M.; Liu, H.; Liu, W. Development of semi-crystalline polyurethane with self-healing and body temperature-responsive shape memory properties. Eur. Polym. J. 2022, 167, 111060. [Google Scholar] [CrossRef]
- Li, J.; Niu, H.; Yu, M.; Liu, L.; Li, Y.; Zhou, C.; Wu, G. Coordinate mechanical property and self-healing performance by hydrogen bonding promoting microphase separation structures in waterborne polyurethanes. J. Appl. Polym. Sci. 2024, 141, e55467. [Google Scholar] [CrossRef]
- Rueda, L.; d’Arlas, B.F.; Corcuera, M.A.; Eceiza, A. Biostability of polyurethanes. Study from the viewpoint of microphase separated structure. Polym. Degrad. Stab. 2014, 108, 195–200. [Google Scholar] [CrossRef]
- Dai, T.; Yi, C.; Dong, S.; Zhang, M.; Long, C.; Li, Z.; Liu, W.; Luo, F.; Li, J.; Tan, H. The influence of microphase separation structure of silicon-containing polyurethane on its wear resistance. Polymer 2024, 299, 126944. [Google Scholar] [CrossRef]
- Zhou, X.; Yi, Y.; Chen, Z. Effect of Chain Extender on Structure and Properties of MDI Polyurethane. Polym. Mater. Sci. Eng. 2022, 38, 15–21. [Google Scholar]
- ASTM D2240; Standard Test Method for Rubber Property—Durometer Hardness. ASTM International: West Conshohocken, PA, USA, 2021.
- GB/T 528-2009; Rubber, Vulcanized or Thermoplastic—Determination of Tensile Stress-Strain Properties. Standardization Administration of PRC: Beijing, China, 2009.
- Liu, M.; Zhong, J.; Li, Z.; Rong, J.; Yang, K.; Zhou, J.; Shen, L.; Gao, F.; Huang, X.; He, H. A high stiffness and self-healable polyurethane based on disulfide bonds and hydrogen bonding. Eur. Polym. J. 2020, 124, 109475. [Google Scholar] [CrossRef]
- Zhu, Z.; Hu, Z.; Li, S. Measuring Crystallinitg of Polyurethane by the Method of X-ray Diffraction. J. Hohai Univ. 1991, 19, 83–87. [Google Scholar]
- Min, R.; Zhou, X.; Pan, Z.; Gao, Y. Influence of Hard Segment Content on the Degrees of Hydrogen Bonding of Waterborne Polyurethane. Polyurethane Ind. 2011, 26, 13–17. [Google Scholar]
- Cao, X.; Miao, C.; Wu, Y. Study on the Micro Phase Separation of Polyurethane by 2D-IR Spectroscopy. J. Chongqing Jiaotong Univ. (Nat. Sci.) 2022, 41, 116–121. [Google Scholar]
- Yuan, K.; Jiang, Z.; Li, S.; Chou, Y. The Thermal Degradation of Polyurethane. Polym. Mater. Sci. Eng. 2005, 21, 51–54, 58. [Google Scholar] [CrossRef]
















| R Value | PTMEG (g) | MDI (g) | B2HD/BDO (g) | FA (g) | BMI (g) | Hard Segment Content (%) |
|---|---|---|---|---|---|---|
| 1.1 | 40 | 11.01 | 3.085 | 0.78 | 1.43 | 27.3 |
| 1.3 | 40 | 13.01 | 3.085 | 2.35 | 4.3 | 34.9 |
| 1.5 | 40 | 15.02 | 3.085 | 3.92 | 7.17 | 41.1 |
| 1.7 | 40 | 17.02 | 3.085 | 5.49 | 10.03 | 46.2 |
| 1.9 | 40 | 19.03 | 3.085 | 7.06 | 12.9 | 50.5 |
| 1.7 | 40 | 17.02 | 1.8 | 5.49 | 10.03 | 46.2 |
| Test Specimen | Hard Segment Content (%) | Peak Position (°) | Peak Area Proportion | Crystallinity (%) | ||
|---|---|---|---|---|---|---|
| Amorphous Region | Crystalline Region | Amorphous Region | Crystalline Region | |||
| R1.1 | 27.3 | 20.3 | 28.4 | 96.57 | 3.43 | 3.4 |
| R1.3 | 34.9 | 20.4 | 28.3 | 95.66 | 4.34 | 4.3 |
| R1.5 | 41.1 | 20.3 | 28.3 | 94.9 | 5.1 | 5.1 |
| R1.7 | 46.2 | 20.1 | 28.2 | 92.57 | 7.43 | 7.4 |
| R1.9 | 50.5 | 20.3 | 28.1 | 85.55 | 14.45 | 14.5 |
| DA-PU | 46.2 | 20.2 | 28.3 | 88.82 | 11.18 | 11.2 |
| Test Specimen | T5% (°C) | TMax1 (°C) | TMax2 (°C) | TMax3 (°C) | Residual Mass Fraction (%) |
|---|---|---|---|---|---|
| R1.1 | 334.8 | 364.8 | 401.7 | 458.0 | 8.8 |
| R1.3 | 265.8 | 368.2 | 410.3 | 463.0 | 10.2 |
| R1.5 | 218.5 | 365.7 | 397.2 | 464.0 | 11.5 |
| R1.7 | 216.0 | 366.5 | 402.8 | 465.5 | 12.0 |
| R1.9 | 206.0 | 365.8 | 393.3 | 466.2 | 12.8 |
| DA-PU | 251.6 | 372.8 | 404.3 | 467.8 | 13.0 |
| Polyurethane | Original (MPa) | (%) | (%) | |
|---|---|---|---|---|
| R1.7 | 21.11 | 90.38 | 78.21 | 59.21 |
| DA-PU | 20.6 | 83.93 | 68.78 | 48.10 |
Disclaimer/Publisher’s Note: The statements, opinions and data contained in all publications are solely those of the individual author(s) and contributor(s) and not of MDPI and/or the editor(s). MDPI and/or the editor(s) disclaim responsibility for any injury to people or property resulting from any ideas, methods, instructions or products referred to in the content. |
© 2026 by the authors. Licensee MDPI, Basel, Switzerland. This article is an open access article distributed under the terms and conditions of the Creative Commons Attribution (CC BY) license.
Share and Cite
Li, M.; He, Z.; Sun, M.; Yu, L.; Kong, L. Preparation and Self-Healing Properties of Polyurethane with Dual Dynamic Covalent Bonds. Coatings 2026, 16, 404. https://doi.org/10.3390/coatings16040404
Li M, He Z, Sun M, Yu L, Kong L. Preparation and Self-Healing Properties of Polyurethane with Dual Dynamic Covalent Bonds. Coatings. 2026; 16(4):404. https://doi.org/10.3390/coatings16040404
Chicago/Turabian StyleLi, Maorong, Zhaoyi He, Mengkai Sun, Le Yu, and Lin Kong. 2026. "Preparation and Self-Healing Properties of Polyurethane with Dual Dynamic Covalent Bonds" Coatings 16, no. 4: 404. https://doi.org/10.3390/coatings16040404
APA StyleLi, M., He, Z., Sun, M., Yu, L., & Kong, L. (2026). Preparation and Self-Healing Properties of Polyurethane with Dual Dynamic Covalent Bonds. Coatings, 16(4), 404. https://doi.org/10.3390/coatings16040404

