Shear Behavior and Interface Damage Mechanism of Basalt FRP Bars: Experiment and Statistical Damage Constitutive Modeling
Abstract
1. Introduction
2. Experimental Overview
2.1. Materials and Specimens
2.2. Double Shear Test
2.3. Macroscopic Fracture Surface Analysis
3. Experimental Results and Analysis
3.1. Failure Mode
- (1)
- Vertical shear stage: matrix-dominated shear along the predetermined plane, characterized by a relatively smooth fracture surface (Figure 3a).
- (2)
- Transition stage: onset of fiber pull-out and bridging; the fracture surface becomes irregular (Figure 3b).
- (3)
- Oblique tensile-shear stage: extensive fiber pull-out forming a “brush-like” morphology (Figure 3c,d).
3.2. Stress–Strain Curve
3.3. Analysis of Key Mechanical Indicators
3.4. Fiber Tilt Statistical Distribution and Its Influence Analysis
4. Damage Constitutive Model Considering Fiber Effect
4.1. Basic Assumptions and Theoretical Basis
- (1)
- Micro-element strength follows a Weibull distribution: The shear plane of BFRP bars consists of a large number of randomly distributed micro-elements. The ultimate shear strength of each micro-element follows a two-parameter Weibull distribution, reflecting the inherent strength heterogeneity within the composite material.
- (2)
- Damage evolution adheres to a continuous statistical law: The damage variable D represents the proportion of failed micro-elements. Its evolution is continuous and governed by strain.
- (3)
- Fiber bridging effect and residual strength: During the damage process, both the intact micro-elements and the damaged regions jointly bear the load. The fiber bridging effect varies with strain, and the residual strength is provided by post-pullout friction of the fibers.
- (4)
- Incorporating fiber orientation angle and volume fraction: A fiber configuration influence coefficient, kf, is introduced to incorporate the fiber orientation angle θ and volume fraction Vf into the constitutive parameter system.
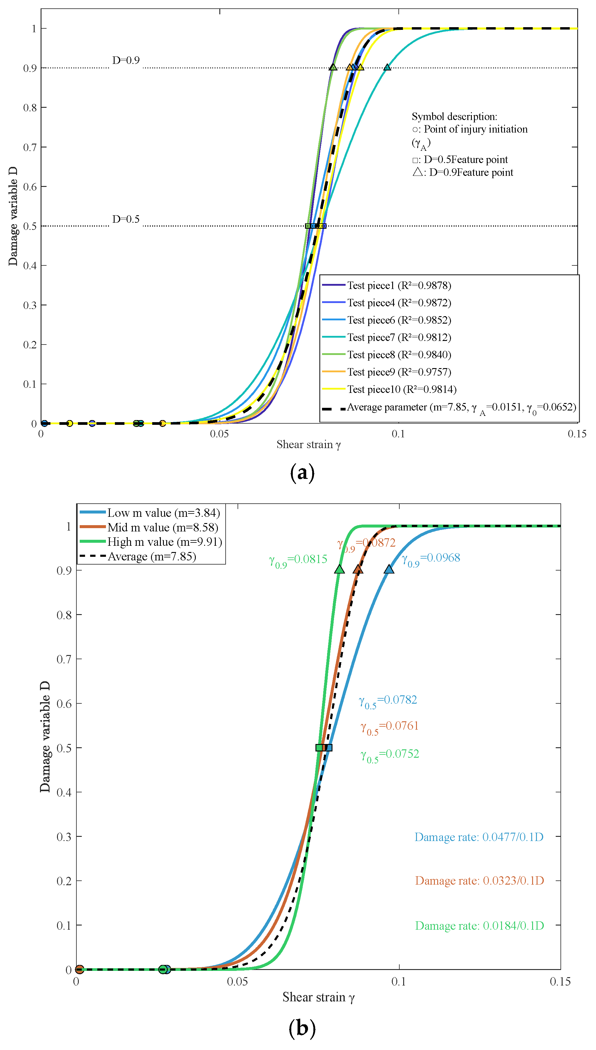
4.2. Evolutionary Laws of Damage Variables
4.3. Constitutive Relation Construction Considering Fiber Effect
- (1)
- Considering the influence of the fiber inclination angle θ and the volume fraction, the fiber configuration influence coefficient is defined as:
- (2)
- Based on continuum damage mechanics and statistical theory, it is assumed that the shear plane consists of a large number of randomly distributed micro-elements. The damage variable D is defined to represent the proportion of failed micro-elements (D = 0 indicates an undamaged state, D = 1 indicates complete failure). The total shear stress is jointly borne by the undamaged and damaged parts:
- (3)
- To accurately describe the aforementioned failure process, this study establishes a constitutive model based on statistical damage theory that reflects the entire shear process of BFRP bars. Assuming the shear plane consists of numerous micro-elements whose strengths follow a Weibull distribution, the damage variable D is introduced, and its evolution law is defined as:
- (4)
- Unified Constitutive Equations
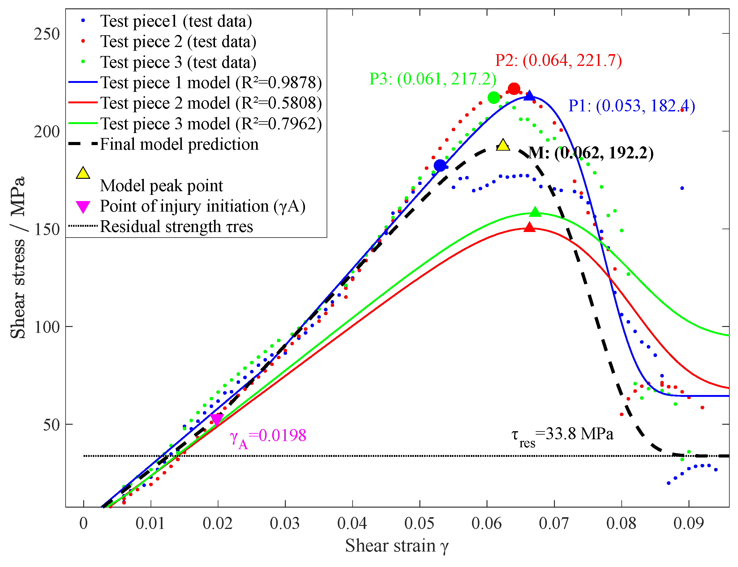
4.4. Parameter Calibration and Model Verification
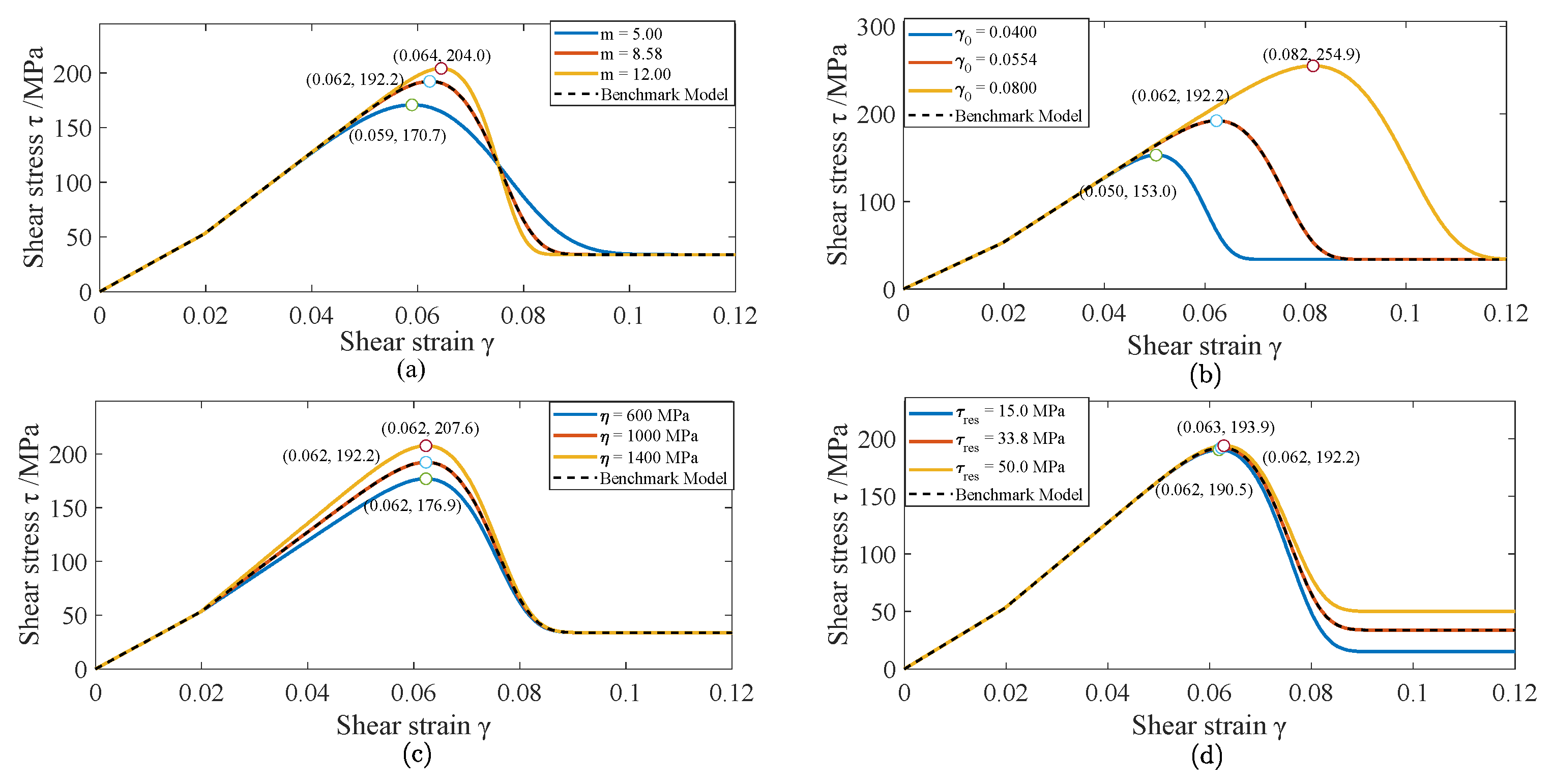
4.5. Sensitivity Analysis of Parameters
- (1)
- Strong negative correlation between γA and γ0 (r = −0.983): This indicates that earlier damage initiation corresponds to a smaller characteristic damage strain γ0, resulting in more pronounced brittle behavior in the material.
- (2)
- Strong negative correlation between η and γ0 (r = −0.806): This suggests that a stronger fiber bridging effect leads to more concentrated damage development.
- (3)
- Positive correlation of G0 with γA and η (r > 0.75): Specimens with higher initial stiffness generally exhibit a higher damage threshold and more significant fiber bridging contributions. This result reflects the interconnectedness of overall material performance.
- (4)
- Negative correlation between τres and η (r = −0.737): Specimens with greater fiber bridging stiffness contributions tend to show a trend of reduced residual strength. This may imply a potential trade-off between interfacial designs aimed at enhancing pre-peak bridging stiffness (η) and those focused on maximizing post-pullout friction (τres).
4.6. Macro-Micro Correspondence of Damage Evolution and Failure Process
- (1)
- Damage Incubation and Slow Initiation Stage (D < 0.2): The initial segment of the curve is relatively flat, with a slow increase in the D-value. This corresponds to the initial failure of randomly distributed weak micro-elements within the material, where damage has not yet formed effective connectivity.
- (2)
- Damage Accelerated Propagation Stage (0.2 < D < 0.8): The slope of the curve increases significantly, and the D-value rises rapidly. This stage corresponds to the chain effect of micro-element failures and the formation of localized shear bands, representing the primary phase of macroscopic mechanical property degradation (e.g., stiffness reduction).
- (3)
- Damage Saturation and Stabilization Stage (D > 0.8): The curve gradually flattens and approaches D = 1. This indicates that the macroscopic shear plane has essentially fully developed, and the material’s load-bearing capacity is predominantly sustained by residual mechanisms (fiber bridging).
- (1)
- The m-value controls the steepness of the curve: A larger m-value results in a steeper curve during the damage accelerated propagation stage (D = 0.2–0.8), indicating that damage rapidly transitions from initiation to saturation within a narrow strain range. This corresponds to a highly concentrated distribution of micro-element strengths within the material, with fewer micro-defects. Once critical conditions are met, damage propagates swiftly, manifesting as more pronounced brittle behavior macroscopically.
- (2)
- The m-value determines the damage propagation rate: Quantitative calculations of the average damage rate (ΔD/Δγ) during the transition from D = 0.5 to D = 0.9 for different m-values reveal that, from the perspective of damage evolution dynamics, the damage rate is positively correlated with m. This further corroborates the earlier mechanical analysis conclusion that “reducing m can delay interface softening and stiffness degradation”.
- (3)
- Relationship between m-value and macroscopic failure mode: Rapid damage evolution associated with high m-values correlates with the sharp post-peak drop in shear stress observed macroscopically (indicative of brittle failure). In contrast, slow damage evolution associated with low m-values corresponds to a broad, gentle softening stage and a prolonged residual plateau (indicative of ductile failure). This finding provides a perfect explanation for the differences in post-peak shear stress–strain curve shapes observed in Figure 9 for different m-values.
4.7. Model Comparison and Applicability Discussion
5. Conclusions
- The direct shear failure of BFRP bars exhibits a clear three-stage progressive process: initial failure triggered by shear in the resin matrix, peak load-bearing capacity maintained by fiber bridging, and eventual fiber pull-out contributing to residual strength. The average fiber inclination angle of approximately 20° is a key geometric feature enabling this bridging effect. This three-stage behavior is comprehensively captured by the statistical damage model developed in this study, with the damage initiation strain γA and the shape parameter m respectively governing the transition from the first to the second stage and the rate of post-peak softening.
- The established statistical damage constitutive model successfully describes the full-range mechanical behavior of BFRP bars under shear. The model parameters have clear physical meanings: G0 and γA characterize the elastic properties of the material; η and τres represent the reinforcing effect of fibers; m and γ0 govern the statistical evolution of damage.
- The parameter m is a key factor controlling post-peak performance. Reducing the m value significantly slows the rate of damage accumulation and propagation, resulting in a more gradual stress-softening curve and improved ductility. This insight provides theoretical guidance for material optimization: for instance, improving manufacturing uniformity (e.g., better fiber dispersion and reduced voids) to lower m can enhance the ductility of BFRP bars, making them more suitable for seismic-resistant designs where post-peak energy dissipation is critical.
- Parameter sensitivity analysis and correlation analysis confirm the physical self-consistency of the model. The strong negative correlation between γA and γ0 (r = −0.983) links early damage initiation to brittle characteristics; the negative correlation between η and τres (r = −0.737) suggests a potential trade-off between pre-peak bridging stiffness and post-pullout frictional resistance. These findings offer important references for performance-oriented design of BFRP bars, enabling engineers to tailor material compositions and processes to achieve desired shear responses in applications such as reinforced soil structures, anchor systems, and composite reinforcements.
- Future work should include SEM observations to directly visualize micro-crack propagation, fiber-matrix debonding, and the fiber pull-out process, thereby providing direct microstructural validation of the proposed damage mechanisms.
- Moreover, BFRP bars are produced from abundant basalt rock with lower energy consumption than steel or carbon fibers, resulting in reduced carbon footprint and life-cycle cost. Their corrosion resistance eliminates the need for cathodic protection and reduces maintenance, further enhancing their sustainability profile.
Author Contributions
Funding
Data Availability Statement
Conflicts of Interest
References
- Wang, F.; Zhang, X.; Chen, L.; Li, J.; Shao, J. On Finite Element Analysis on Stress Profiles around Broken Fibers in Unidirectional Composites. J. Southwest China Norm. Univ. Nat. Sci. Ed. 2013, 38, 106–110. [Google Scholar]
- Liyue, M.; Liu, J.; Xiuli, D. Comparative analysis of seismic performance of concrete shear walls reinforced with steel bars and BFRP bars. J. Vib. Eng. 2025, 38, 2160–2171. [Google Scholar]
- Sharif, H.H.; Mahmood, A.D. Shear performance of sustainable BFRP-reinforced concrete beams with stirrup incorporating recycled plastic aggregates: Experimental and analytical Investigations. Constr. Build. Mater. 2025, 503, 144530. [Google Scholar] [CrossRef]
- Liao, J.; Di, B.; Zheng, Y.; Chen, T.-G.; Zeng, J.-J.; Zhuge, Y. Shear behavior of FRP-reinforced concrete beams with basalt FRP grids as shear Reinforcements. Eng. Struct. 2025, 339, 120696. [Google Scholar] [CrossRef]
- Feng, J.; Chen, J.; Wang, D. Research on Direct Shear Tests and Calculation Methods for BFRP Anchor Rods Reinforcing Rock Joint Surfaces. Rock Mech. Rock Eng. 2025, 58, 6637–6652. [Google Scholar] [CrossRef]
- Al Hawarneh, A.; Al Martini, S.; Sabouni, R.; Al Mzayyen, N.; Alam, S. Shear behavior of concrete beams reinforced with basalt FRP rebars and incorporating recycled Aggregates. Structures 2025, 78, 109250. [Google Scholar] [CrossRef]
- Xie, J.; Wang, X.; Ding, L.; Peng, Z.; Liu, X.; Mao, W.; Wu, Z. Shear behavior of BFRP Anchor-jointed rock mass considering inclination angle and pre-Tension. Constr. Build. Mater. 2024, 447, 138157. [Google Scholar] [CrossRef]
- Kampmann, R.; Tang, Y.; Telikapalli, S.; Hoque, S.S. BFRP Rebar Characterization and Performance: Testing Protocol and Material Specifications for Basalt Fiber Reinforced Polymer Bars; Florida Department of Transportation: Tallahassee, FL, USA, 2022. [Google Scholar]
- Yin, L.; Zhu, Y.; Xie, Q.; Cai, X. Strength degradation and uncertainty evaluation of heated GFRP and BFRP rebars with or without seawater Sea-sand mortar Cover. J. Build. Eng. 2025, 115, 114470. [Google Scholar] [CrossRef]
- ACI Committee 440. Guide for the Design and Construction of Structural Concrete Reinforced with FRP Bars (ACI 440.1R-23); American Concrete Institute: Farmington Hills, MI, USA, 2023. [Google Scholar]
- Protchenko, K.; Zayoud, F.; Urbański, M.; Szmigiera, E. Tensile and shear testing of basalt fiber reinforced polymer (BFRP) and hybrid basalt/carbon fiber reinforced polymer (HFRP) bars. Materials 2020, 13, 5839. [Google Scholar] [CrossRef] [PubMed]
- Wang, Z.; Zhang, W.; Duan, J.; Zhang, X.; Zhao, J. Experimental study on shear properties of FRP bars. Mater. Rep. 2025; ahead of print. Available online: https://link.cnki.net/urlid/50.1078.TB.20250829.1003.016 (accessed on 13 February 2026).
- Lin, H.; Qu, H.; Yang, J.; Li, X.; Xu, H.; Feng, P. Investigation on the relationship between the transverse shear strength and tensile strength of FRP bars. Acta Mater. Compos. Sin. 2025; ahead of print. [Google Scholar] [CrossRef]
- Huang, M.; Zhou, Z.; Ou, J. Nonlinear full-range analysis of load transfer fixed segment of tensile anchors. Chin. J. Mech. Eng. 2014, 33, 2190–2199. [Google Scholar]
- Guo, H. Discussion on the “Constitutive Model of Non-Penetrating Fractured Rock Mass Based on Coupling of Macro- and Microp damages. Rock Soil Mech. 2018, 39, 1923–1924. [Google Scholar]
- He, L.; Li, G.; Li, X. Shear characteristics of the contact surface between ribbed bars and rockfill materials. J. Hohai Univ. Nat. Sci. 2019, 47, 138–143. [Google Scholar]
- Ren, F.F.; Yang, Z.J.; Chen, J.F.; Chen, W.W. An analytical analysis of the full-range behaviour of grouted rockbolts based on a tri-linear bond-slip model. Constr. Build. Mater. 2010, 24, 361–370. [Google Scholar] [CrossRef]
- Cai, Y.; Esaki, T.; Jiang, Y. An analytical model to predict axial load in grouted rock bolt for soft rock tunnelling. Tunn. Undergr. Space Technol. 2004, 19, 607–618. [Google Scholar] [CrossRef]
- Luo, L.; Gao, Z.; Hu, L. Research on compressive constitutive models and seismic performance of common brick masonry structures with different masonry methods. Eng. Constr. 2025; ahead of print. Available online: https://link.cnki.net/urlid/43.1465.TU.20251208.1725.002 (accessed on 13 February 2026).
- Wang, B.; Zhou, B.; Zhou, T. Analysis of the whole course for the force transferring mechanism in anchor bar based on statistical damage constitutive theory. J. Hohai Univ. Nat. Sci. 2018, 46, 314–320. [Google Scholar]
- Xia, H.; Zhou, G.; Shang, X. Statistical damage softening constitutive model of soil—Structure interface based on Weibull random distribution. J. China Univ. Min. Technol. 2007, 36, 734–737. [Google Scholar]










| Type | Tensile Strength/MPa | Shear Strength/MPa | Elastic Modulus/GPa | Density/g·cm−3 |
|---|---|---|---|---|
| BFRP reinforcement | 1031 | 140 | 45 | 2.03 |
| Metal mold | 700 | -- | 210 | 7.85 |
| BFRP base epoxy resin | 75 | -- | 4.0 | 1.25 |
| Test No. | Peak Load Pmax/kN | Peak Displacement Δmax/mm | Initial Shear Modulus G0/GPa | Shear Strength τmax/MPa |
|---|---|---|---|---|
| 1 | 164.490 | 3.185 | 2.799 | 221.744 |
| 2 | 164.160 | 2.999 | 2.959 | 221.299 |
| 3 | 166.890 | 3.325 | 3.423 | 224.979 |
| 4 | 158.970 | 3.159 | 3.653 | 214.303 |
| 5 | 142.590 | 3.165 | 2.884 | 192.222 |
| 6 | 134.790 | 3.186 | 3.725 | 181.707 |
| 7 | 140.160 | 2.732 | 3.213 | 188.946 |
| 8 | 154.890 | 3.074 | 3.709 | 208.803 |
| 9 | 156.360 | 3.251 | 3.372 | 210.785 |
| 10 | 137.610 | 2.665 | 3.961 | 185.508 |
| Mean | 152.091 | 3.074 | 3.370 | 204.04 |
| Standard deviation | 12.172 | 0.217 | 0.398 | 14.79 |
| Coefficient of variation | 8.0% | 7.06% | 11.82% | 7.25% |
| Number | G0/MPa | γA | η/MPa | m | γ0 | τres/MPa | R2 |
|---|---|---|---|---|---|---|---|
| 1 | 2911.1 | 0.0268 | 1000.0 | 9.91 | 0.0502 | 64.5 | 0.9878 |
| 2 | 2010.1 | 0.0037 | 552.8 | 8.33 | 0.0763 | 67.2 | 0.5808 |
| 3 | 2204.4 | 0.0067 | 492.2 | 7.35 | 0.0723 | 94.0 | 0.7962 |
| 4 | 2775.5 | 0.0143 | 845.2 | 9.14 | 0.0674 | 17.4 | 0.9872 |
| 5 | 1797.9 | 0.0021 | 525.1 | 8.03 | 0.0830 | 77.1 | 0.8143 |
| 6 | 2525.0 | 0.0010 | 596.0 | 8.58 | 0.0783 | 53.5 | 0.9852 |
| 7 | 2806.3 | 0.0279 | 1000.0 | 3.84 | 0.0554 | 10.0 | 0.9812 |
| 8 | 2769.3 | 0.0266 | 1000.0 | 8.62 | 0.0500 | 37.6 | 0.9840 |
| 9 | 2632.3 | 0.0340 | 1000.0 | 6.56 | 0.0460 | 43.8 | 0.9757 |
| 10 | 2333.4 | 0.0080 | 1000.0 | 8.14 | 0.0734 | 10.0 | 0.9814 |
| G0 | γA | η | m | γ0 | τres | |
|---|---|---|---|---|---|---|
| G0 | 1.000 | 0.759 | 0.776 | −0.041 | −0.790 | −0.547 |
| γA | 0.759 | 1.000 | 0.826 | −0.316 | −0.983 | −0.385 |
| η | 0.776 | 0.826 | 1.000 | −0.156 | −0.806 | −0.737 |
| m | −0.041 | −0.316 | −0.156 | 1.000 | 0.201 | 0.294 |
| γ0 | −0.790 | −0.983 | −0.806 | 0.201 | 1.000 | 0.315 |
| τres | −0.547 | −0.385 | −0.737 | 0.294 | 0.315 | 1.000 |
| Model | Predict τmax (MPa) | Experiment τmax (MPa) | Relative Deviation (%) |
|---|---|---|---|
| Protchenko | 206.2 | 204.0 | +1.1 |
| ACI | 200 | 204.0 | −1.98 |
| The model of this paper | 203.2 | 204.0 | –0.4 |
Disclaimer/Publisher’s Note: The statements, opinions and data contained in all publications are solely those of the individual author(s) and contributor(s) and not of MDPI and/or the editor(s). MDPI and/or the editor(s) disclaim responsibility for any injury to people or property resulting from any ideas, methods, instructions or products referred to in the content. |
© 2026 by the authors. Licensee MDPI, Basel, Switzerland. This article is an open access article distributed under the terms and conditions of the Creative Commons Attribution (CC BY) license.
Share and Cite
Liu, F.; Zhang, P.; Guo, J.; Wei, Y. Shear Behavior and Interface Damage Mechanism of Basalt FRP Bars: Experiment and Statistical Damage Constitutive Modeling. Coatings 2026, 16, 264. https://doi.org/10.3390/coatings16020264
Liu F, Zhang P, Guo J, Wei Y. Shear Behavior and Interface Damage Mechanism of Basalt FRP Bars: Experiment and Statistical Damage Constitutive Modeling. Coatings. 2026; 16(2):264. https://doi.org/10.3390/coatings16020264
Chicago/Turabian StyleLiu, Fengjun, Pengfei Zhang, Jinjun Guo, and Yanqing Wei. 2026. "Shear Behavior and Interface Damage Mechanism of Basalt FRP Bars: Experiment and Statistical Damage Constitutive Modeling" Coatings 16, no. 2: 264. https://doi.org/10.3390/coatings16020264
APA StyleLiu, F., Zhang, P., Guo, J., & Wei, Y. (2026). Shear Behavior and Interface Damage Mechanism of Basalt FRP Bars: Experiment and Statistical Damage Constitutive Modeling. Coatings, 16(2), 264. https://doi.org/10.3390/coatings16020264

