Some Basic Considerations on the Reflectance of Smooth Metal Surfaces: Fresnel’s Formula and More
Highlights
- Reviews basic theoretical and experimental aspects of surface reflection
- Explains basic features of metal and dielectric surface reflection within a classical oscillator approach
- Discusses specific oblique incidence reflection phenomena of thin metal films
Abstract
1. Introduction
2. Theoretical Aspects
2.1. First Considerations
2.2. The Reflection of a Single Interface at Normal Incidence
- (a)
- For , the reflectance approaches zero. This is observed in metals and dielectrics (or semiconductors) alike.
- (b)
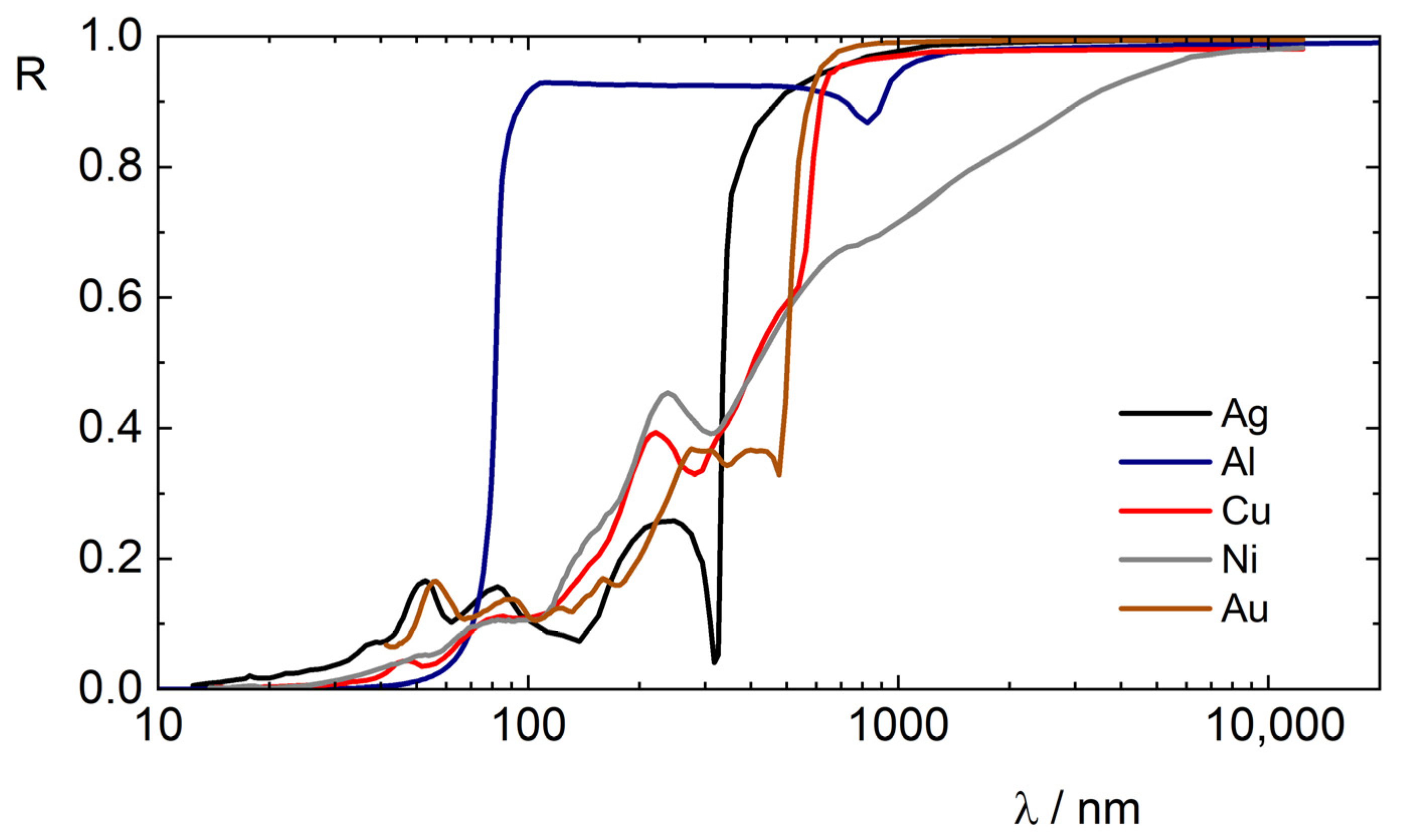
- For , the reflectance of all metals approaches one. This is different to the behavior of dielectrics.
- (c)
- In the UV/VIS/IR spectral regions, the reflectance of several materials shows specific spectral features as characteristic to resonances.
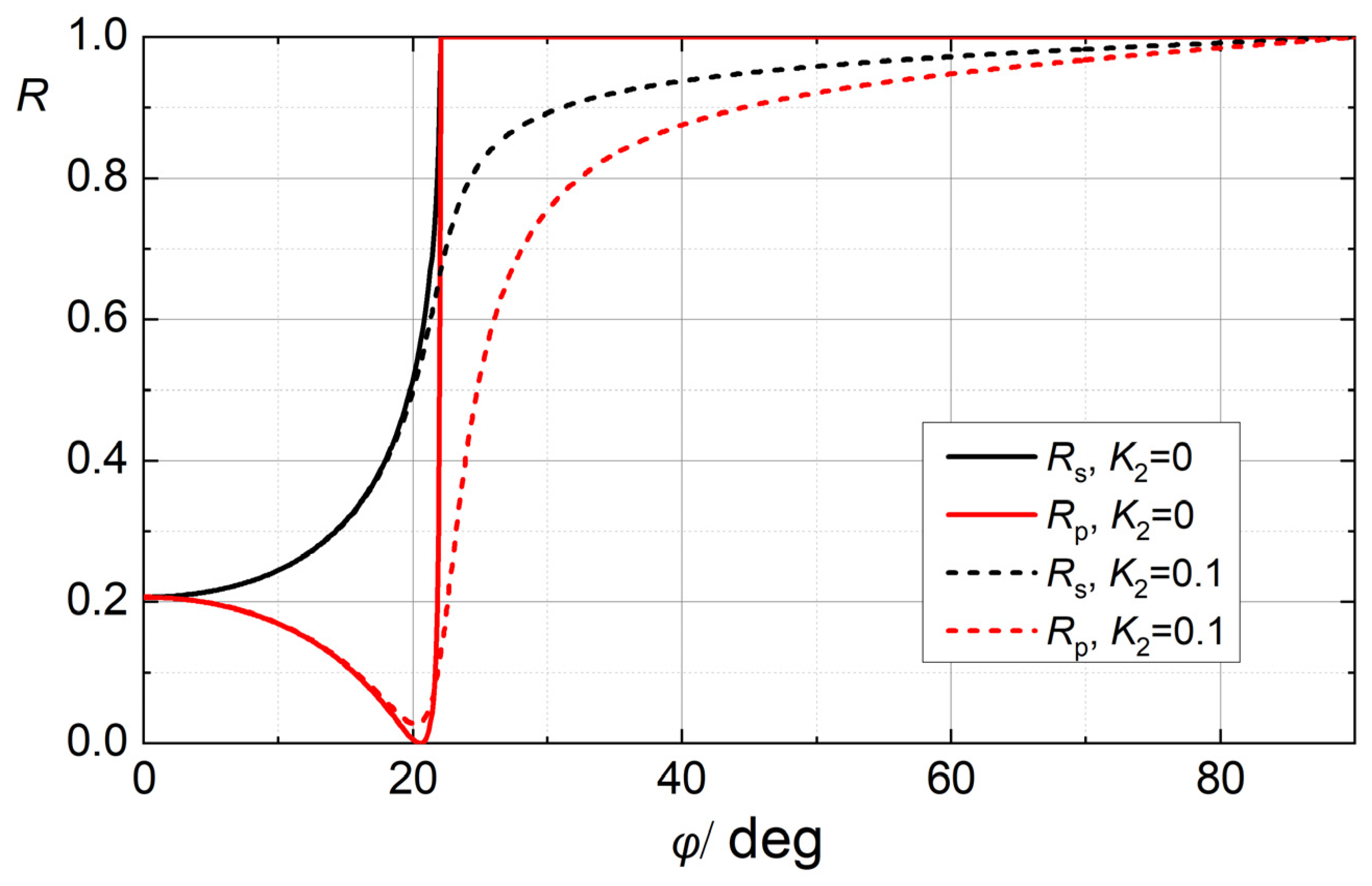
2.3. A Simple Oscillator Model Approach
Oscillator Model
- (a)
- A practically infinitively large electric field ;
- (b)
- A vanishing denominator in (11) and (12).
2.4. More General Dispersion Formulas
- Relation (20) does not suffice thermodynamics, because relaxation is excluded;
- At resonance, shows a singularity that is not observed in reality.
2.5. Oblique Incidence
- Fresnel’s equations
- Azzam’s Relations
2.6. Short Survey of Derived Experimental Techniques
2.6.1. Phase Reconstruction by Means of the Kramers–Kronig Formula
2.6.2. Cavity Ringdown Decay
2.6.3. Imaging Spectroscopic Reflectometry ISR
2.6.4. Reflectance Anisotropy Spectroscopy RAS
3. Selected Applications
3.1. Measurement Aspects of R
3.1.1. General Aspects of Spectrophotometric Measurements
- Dispersive and Fourier transform spectrometers
- Single- and dual-beam spectrometers
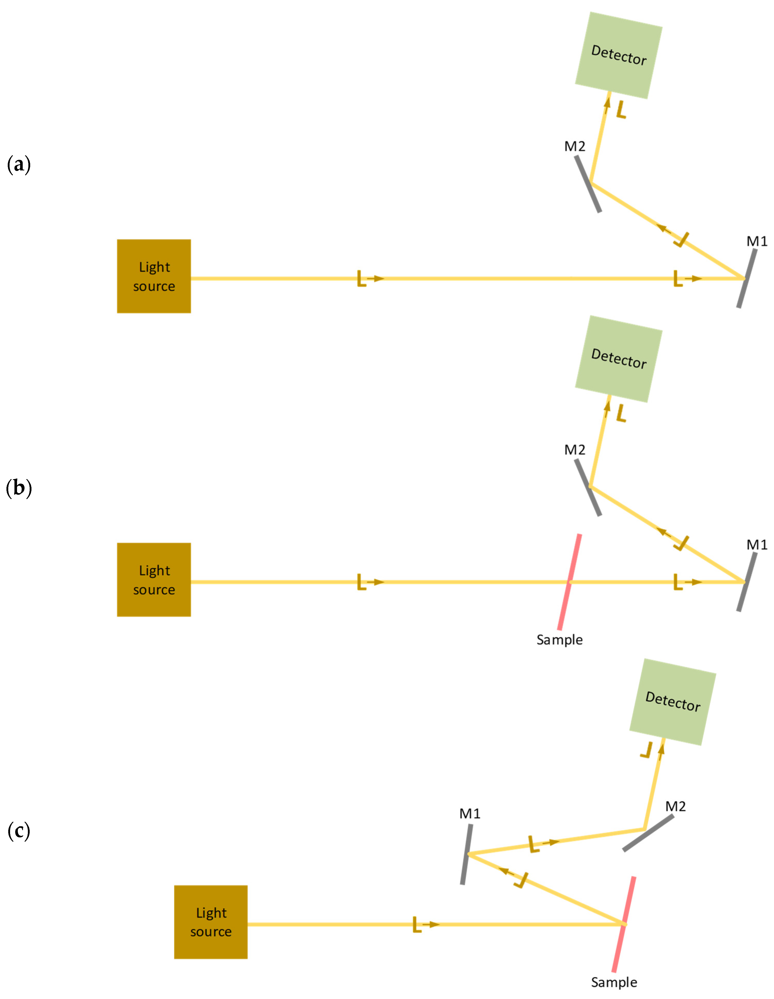
3.1.2. Relative Measurement of
3.1.3. Absolute Measurement of with the Goniometer Principle
3.1.4. Absolute Measurement of with the VN Principle
3.1.5. Absolute Measurement of with the VW and IV Principle
3.1.6. Other Methods and Further Readings
3.2. Specific Oblique and Grazing Incidence Applications
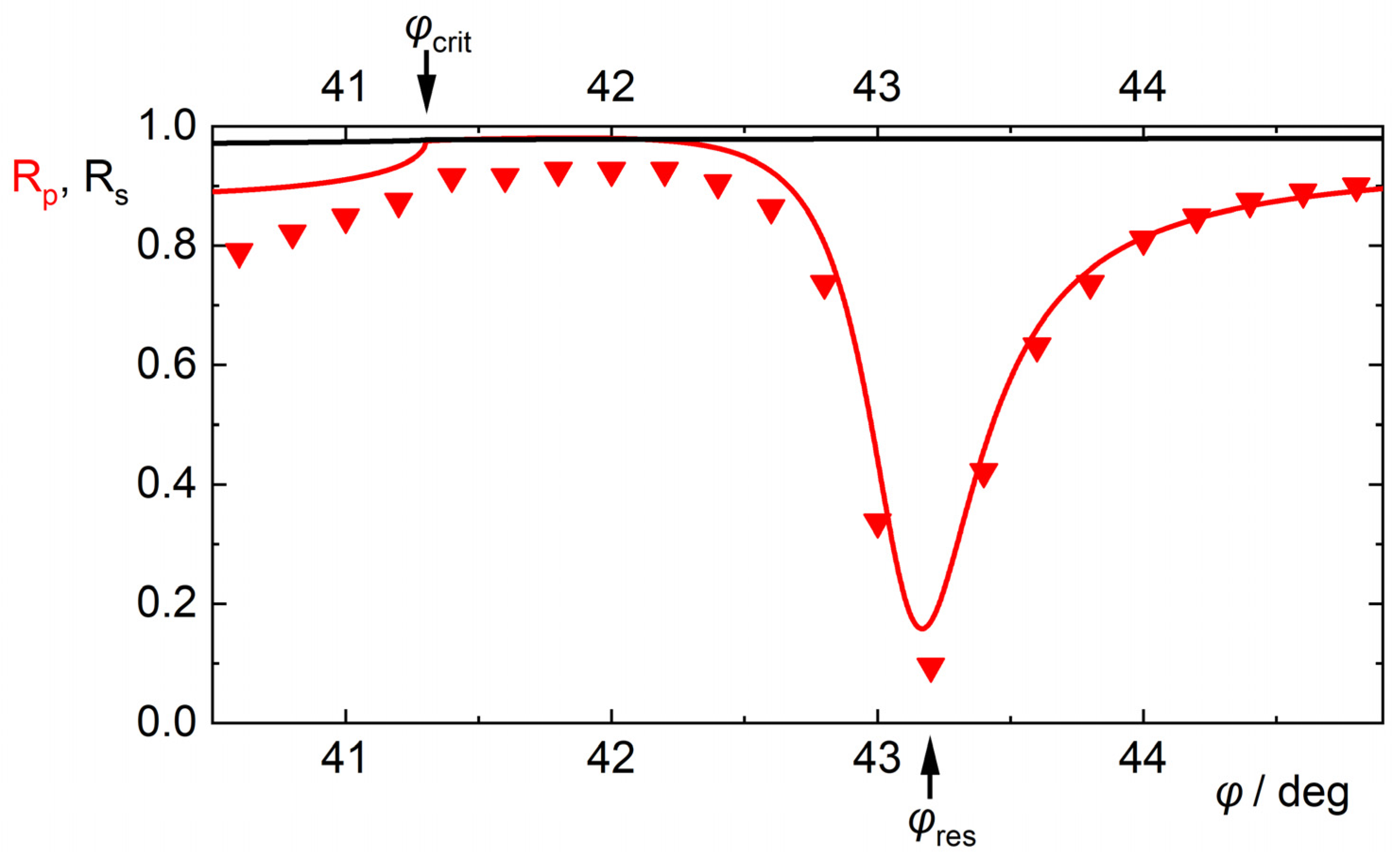
3.2.1. Total Internal Reflection
Basic Observation
Mass Density Estimation by X-Ray Reflectometry (XRR)
Considerations on Metal Films
3.2.2. Infrared Reflection Absorption Spectroscopy (IRAS)
- (a)
- A very large (by modulus) . This is exactly what we use in IRAS, where a metal is used as the (c) medium (Figure 18).
- (b)
IRAS
Berreman Effect
4. Summary and Outlook
Author Contributions
Funding
Data Availability Statement
Acknowledgments
Conflicts of Interest
References
- Born, M.; Wolf, E. Principles of Optics; Pergamon Press: Oxford, UK; London, UK; Edinburgh, UK; New York, NY, USA; Paris, France; Frankfurt, Germany, 1968. [Google Scholar]
- Landau, D.; Lifshitz, E.M. Electrodynamics of Continuous Media; Volume 8 of A Course of Theoretical Physics; Pergamon Press: Oxford, UK, 1960. [Google Scholar]
- Сивухин, Д.В. Общий Курс Физики; Оптика, Наука: Moscow, Soviet Union, 1980. [Google Scholar]
- Willey, R.R. Practical Design of Optical Thin Films; Lulu.com: Morrisville, NC, USA, 2021; p. 566. [Google Scholar]
- Macleod, H.A. Thin-Film Optical Filters, 5th ed.; CRC Press; Taylor & Francis Group: Boca Raton, FL, USA, 2018. [Google Scholar]
- Thelen, A. Design of optical Interference Coatings; McGraw-Hill: Columbus, OH, USA, 1989. [Google Scholar]
- Willey, R.R. Designing solar control coatings. Appl. Opt. 2024, 63, 4891–4895. [Google Scholar] [CrossRef]
- Willey, R.R. Designing black mirrors. Appl. Opt. 2024, 63, 4020–4023. [Google Scholar] [CrossRef] [PubMed]
- Willey, R.R.; Stenzel, O. Designing Optical Coatings with Incorporated Thin Metal Films. Coatings 2023, 13, 369. [Google Scholar] [CrossRef]
- Pulker, H.K. Characterization of optical thin films. Appl. Opt. 1979, 18, 1969–1977. [Google Scholar] [CrossRef] [PubMed]
- Landau, D.; Lifshitz, E.M. Statistical Physics, Part 1; Volume 5 of A Course of Theoretical Physics; Pergamon Press: Oxford, UK, 1980. [Google Scholar]
- Stenzel, O.; Wilbrandt, S. Theoretical Aspects of Thin Film Optical Spectra: Underlying Models, Model Restrictions and Inadequacies, Algorithms, and Challenges. Appl. Sci. 2025, 15, 2187. [Google Scholar] [CrossRef]
- Furman, S.A.; Tikhonravov, A.V. Basics of Optics of Multilayer Systems; Edition Frontieres: Gif-sur-Yvette, France, 1992. [Google Scholar]
- Letochow, W.S. Laserspektroskopie, Wissenschaftliche Taschenbücher, Band 165; Akademie Verlag: Berlin, Germany, 1977. [Google Scholar]
- Mühlig, C. Absorption and Fluorescence Measurements in Optical Coatings. In Optical Characterization of Thin Solid Films; Stenzel, O., Ohlídal, M., Eds.; Springer Series in Surface Sciences; Springer: Cham, Switzerland, 2018; Volume 64, pp. 407–461. [Google Scholar] [CrossRef]
- Starke, R.; Schober, G. Why history matters: Ab initio rederivation of Fresnel equations confirms microscopic theory of refractive index. Optik 2018, 157, 275–286. [Google Scholar] [CrossRef]
- Fox, M. Optical Properties of Solids, 2nd ed.; Reprinted (with Corrections); Oxford University Press: Oxford, UK, 2011. [Google Scholar]
- Yu, P.Y.; Cardona, M. Fundamentals of Semiconductors: Physics and Material Properties, 4th ed.; Springer: Berlin/Heidelberg, Germany, 2010. [Google Scholar]
- Klingshirn, C.F. Semiconductor Optics; Springer: Berlin/Heidelberg, Germany, 1997. [Google Scholar]
- Grosse, P. Freie Elektronen in Festkörpern; Springer: Berlin/Heidelberg, Germany; New York, NY, USA, 1979. [Google Scholar]
- Stenzel, O. The Physics of Thin Film Optical Spectra: An Introduction; Springer International Publishing: Cham, Switzerland, 2024. [Google Scholar]
- Ehrenreich, H.; Philipp, H.R. Optical Properties of Ag and Cu. Phys. Rev. 1962, 128, 1622–1629. [Google Scholar] [CrossRef]
- Ohlídal, I.; Navrátil, K. Optical analysis of inhomogeneous weakly absorbing thin films by spectroscopic reflectometry: Application to carbon films. Thin Solid Films 1988, 162, 101–109. [Google Scholar] [CrossRef]
- Ohlídal, I.; Navrátil, K. Simple method of spectroscopic reflectometry for the complete optical analysis of weakly absorbing thin films: Application to silicon films. Thin Solid Films 1988, 156, 181–190. [Google Scholar] [CrossRef]
- Tabet, M.F.; McGahan, W.A. Use of artificial neural networks to predict thickness and optical constants of thin films from reflectance data. Thin Solid Films 2000, 370, 122–127. [Google Scholar] [CrossRef]
- Morinishi, Y.; Maeda, Y. Development of the Model for Estimating Thickness and Optical Constants of Metallic Thin Films using Only Reflection Spectrum. IEEJ Trans. Sens. Micromach. 2025, 145, 220–225. [Google Scholar] [CrossRef]
- Wilbrandt, S.; Petrich, R.; Stenzel, O. Optical Interference Coating Characterization Using Neural Networks; SPIE International Society for Optics and Photonics: Bellingham, WA, USA, 1999; pp. 517–528. [Google Scholar]
- Gross, R.; Marx, A. Festkörperphysik, 2nd ed.; de Gruyter: Berlin, Germany, 2014. [Google Scholar]
- Grosse, P.; Offermann, V. Quantitative infrared spectroscopy of thin solid and liquid films under attenuated total reflection conditions. Vib. Spectrosc. 1995, 8, 121–133. [Google Scholar] [CrossRef]
- Berreman, D.W. Infrared Absorption at Longitudinal Optic Frequency in Cubic Crystal Films. Phys. Rev. 1963, 130, 2193–2198. [Google Scholar] [CrossRef]
- UNIGIT. Grating Solver Software. Available online: https://unigit.net (accessed on 23 November 2025).
- Polyanskiy, M.N. Refractive Index Database. Available online: https://refractiveindex.info (accessed on 23 November 2025).
- Franta, D.; Nečas, D.; Ohlídal, I.; Giglia, A. Dispersion Model for Optical Thin Films Applicable in Wide Spectral Range; SPIE International Society for Optics and Photonics: Bellingham, WA, USA, 2015; p. 96281U. [Google Scholar]
- Franta, D.; Nečas, D.; Ohlídal, I.; Giglia, A. Optical Characterization of SiO2 Thin Films Using Universal Dispersion Model over Wide Spectral Range; SPIE International Society for Optics and Photonics: Bellingham, WA, USA, 2016; p. 989014. [Google Scholar]
- Franta, D.; Dubroka, A.; Wang, C.; Giglia, A.; Vohánka, J.; Franta, P.; Ohlídal, I. Temperature-dependent dispersion model of float zone crystalline silicon. Appl. Surf. Sci. 2017, 421, 405–419. [Google Scholar] [CrossRef]
- Stenzel, O. Optical Coatings: Material Aspects in Theory and Practice, 1st ed.; Springer: Berlin/Heidelberg, Germany, 2014. [Google Scholar]
- Feynman, R.P. The Feynman Lectures on Physics, Vol. II; The New Millennium Edition: Mainly Electromagnetism and Matter; Basic Books: New York, NY, USA, 2011. [Google Scholar]
- Kittel, C. Introduction to Solid State Physics; John Wiley and Sons, Inc.: New York, NY, USA; London, UK; Sydney, Australia; Toronto, ON, Canada, 1971. [Google Scholar]
- Stenzel, O. Light–Matter Interaction: A Crash Course for Students of Optics; Photonics and Materials Science; Springer International Publishing: Cham, Switzerland, 2022. [Google Scholar]
- Zallen, R. Symmetry and Reststrahlen in Elemental Crystals. Phys. Rev. 1968, 173, 824–832. [Google Scholar] [CrossRef]
- Bartelmann, M.; Feuerbacher, B.; Krüger, T.; Lüst, D.; Rebhan, A.; Wipf, A. Theoretische Physik; Springer: Berlin/Heidelberg, Germany, 2014. [Google Scholar]
- Dobrowolski, J.A.; Ho, F.C.; Waldorf, A. Determination of optical constants of thin film coating materials based on inverse synthesis. Appl. Opt. 1983, 22, 3191. [Google Scholar] [CrossRef]
- Ziman, J.M. Principles of the Theory of Solids, 2nd ed.; Cambridge University Press: Cambridge, UK, 1999. [Google Scholar]
- Kuzmany, H. Festkörperspektroskopie: Eine Einführung; Springer: Berlin/Heidelberg, Germany, 1989. [Google Scholar]
- Cooper, B.R.; Ehrenreich, H.; Philipp, H.R. Optical Properties of Noble Metals. II. Phys. Rev. 1965, 138, A494–A507. [Google Scholar] [CrossRef]
- Ehrenreich, H. The optical properties of metals. IEEE Spectr. 1965, 2, 162–170. [Google Scholar] [CrossRef]
- Ordal, M.A.; Bell, R.J.; Alexander, R.W.; Long, L.L.; Querry, M.R. Optical properties of fourteen metals in the infrared and far infrared: Al, Co, Cu, Au, Fe, Pb, Mo, Ni, Pd, Pt, Ag, Ti, V, and W. Appl. Opt. 1985, 24, 4493–4499. [Google Scholar] [CrossRef]
- Macleod, A. Phase Matters. SPIE’s OE Magazine, June/July 2005, 31 May 2005. pp. 29–31.
- Azzam, R.M.A.; Bashara, N.M. Ellipsometry and Polarized Light; Elsevier: Amsterdam, The Netherlands, 1987. [Google Scholar]
- Lucarini, V. Kramers-Kronig Relations in Optical Materials Research; Springer: Berlin/Heidelberg, Germany, 2005. [Google Scholar]
- Grosse, P.; Offermann, V. Analysis of reflectance data using the Kramers-Kronig Relations. Appl. Phys. A Solids Surf. 1991, 52, 138–144. [Google Scholar] [CrossRef]
- O’Keefe, A.; Deacon, D.A.G. Cavity ring-down optical spectrometer for absorption measurements using pulsed laser sources. Rev. Sci. Instrum. 1988, 59, 2544–2551. [Google Scholar] [CrossRef]
- Kelsall, D. Absolute Specular Reflectance Measurements of Highly Reflecting Optical Coatings at 10.6 micro. Appl. Opt. 1970, 9, 85–90. [Google Scholar] [CrossRef] [PubMed]
- Sanders, V. High-precision reflectivity measurement technique for low-loss laser mirrors. Appl. Opt. 1977, 16, 19–20. [Google Scholar] [CrossRef] [PubMed]
- Anderson, D.Z.; Frisch, J.C.; Masser, C.S. Mirror reflectometer based on optical cavity decay time. Appl. Opt. 1984, 23, 1238–1245. [Google Scholar] [CrossRef]
- Herbelin, J.M.; McKay, J.A.; Kwok, M.A.; Ueunten, R.H.; Urevig, D.S.; Spencer, D.J.; Benard, D.J. Sensitive measurement of photon lifetime and true reflectances in an optical cavity by a phase-shift method. Appl. Opt. 1980, 19, 144–147. [Google Scholar] [CrossRef]
- Karras, C. Cavity Ring-Down Technique for Optical Coating Characterization. In Optical Characterization of Thin Solid Films; Stenzel, O., Ohlídal, M., Eds.; Springer Series in Surface Sciences; Springer: Cham, Switzerland, 2018; Volume 64, pp. 433–456. [Google Scholar] [CrossRef]
- ISO 13142:2021; Optics and Photonics—Lasers and Laser-Related Equipment—Cavity Ring-Down Method for High-Reflectance and High-Transmittance Measurements. International Organization for Standardization: Geneva, Switzerland, 2021.
- Xiao, S.; Li, B.; Wang, J. Precise measurements of super-high reflectance with cavity ring-down technique. Metrologia 2020, 57, 055002. [Google Scholar] [CrossRef]
- von Lerber, T.; Sigrist, M.W. Cavity-ring-down principle for fiber-optic resonators: Experimental realization of bending loss and evanescent-field sensing. Appl. Opt. 2002, 41, 3567–3575. [Google Scholar] [CrossRef]
- Gupta, M.; Jiao, H.; O’Keefe, A. Cavity-enhanced spectroscopy in optical fibers. Opt. Lett. 2002, 27, 1878–1880. [Google Scholar] [CrossRef]
- Müller, T.; Wiberg, K.B.; Vaccaro, P.H.; Cheeseman, J.R.; Frisch, M.J. Cavity ring-down polarimetry (CRDP): Theoretical and experimental characterization. J. Opt. Soc. Am. B 2002, 19, 125–141. [Google Scholar] [CrossRef]
- Cui, H.; Li, B.; Xiao, S.; Han, Y.; Wang, J.; Gao, C.; Wang, Y. Simultaneous mapping of reflectance, transmittance and optical loss of highly reflective and anti-reflective coatings with two-channel cavity ring-down technique. Opt. Express 2017, 25, 5807–5820. [Google Scholar] [CrossRef]
- Romanini, D.; Kachanov, A.; Sadeghi, N.; Stoeckel, F. CW cavity ring down spectroscopy. Chem. Phys. Lett. 1997, 264, 316–322. [Google Scholar] [CrossRef]
- Wheeler, M.D.; Newman, S.M.; Orr-Ewing, A.J.; Ashfold, M.N.R. Cavity ring-down spectroscopy. J. Chem. Soc. Faraday Trans. 1998, 94, 337–351. [Google Scholar] [CrossRef]
- Zu, H.; Li, B.; Han, Y.; Gao, L. Combined cavity ring-down and spectrophotometry for measuring reflectance of optical laser components. Opt. Express 2013, 21, 26735–26741. [Google Scholar] [CrossRef] [PubMed]
- Berden, G.; Peeters, R.; Meijer, G. Cavity ring-down spectroscopy: Experimental schemes and applications. Int. Rev. Phys. Chem. 2000, 19, 565–607. [Google Scholar] [CrossRef]
- Ohlídal, M.; Vodák, J.; Nečas, D. Optical Characterization of Thin Films by Means of Imaging Spectroscopic Reflectometry. In Optical Characterization of Thin Solid Films; Stenzel, O., Ohlídal, M., Eds.; Springer Series in Surface Sciences; Springer: Cham, Switzerland, 2018; Volume 64, pp. 107–141. [Google Scholar] [CrossRef]
- Nečas, D. Data Processing Methods for Imaging Spectrophotometry. In Optical Characterization of Thin Solid Films; Stenzel, O., Ohlídal, M., Eds.; Springer Series in Surface Sciences; Springer: Cham, Switzerland, 2018; Volume 64, pp. 143–175. [Google Scholar] [CrossRef]
- Striova, J.; Dal Fovo, A.; Fontana, R. Reflectance imaging spectroscopy in heritage science. La Riv. Del Nuovo C. 2020, 43, 515–566. [Google Scholar] [CrossRef]
- Vodák, J.; Nečas, D.; Pavliňák, D.; Macak, J.M.; Řičica, T.; Jambor, R.; Ohlídal, M. Application of imaging spectroscopic reflectometry for characterization of gold reduction from organometallic compound by means of plasma jet technology. Appl. Surf. Sci. 2017, 396, 284–290. [Google Scholar] [CrossRef]
- Weightman, P.; Martin, D.S.; Cole, R.J.; Farrell, T. Reflection anisotropy spectroscopy. Rep. Prog. Phys. 2005, 68, 1251–1341. [Google Scholar] [CrossRef]
- Richter, W.; Zettler, J.-T. Real-time analysis of III–V-semiconductor epitaxial growth. Appl. Surf. Sci. 1996, 100–101, 465–477. [Google Scholar] [CrossRef]
- Germer, T.A.; Zwinkels, J.C.; Tsai, B.K. Spectrophotometry: Accurate Measurement of Optical Properties of Materials; Elsevier: Amsterdam, The Netherlands, 2014. [Google Scholar]
- Passos, M.L.C.; Saraiva, M.L.M.F.S. Detection in UV-visible spectrophotometry: Detectors, detection systems, and detection strategies. Measurement 2019, 135, 896–904. [Google Scholar] [CrossRef]
- Polato, P.; Masetti, E. Reflectance measurements on second-surface solar mirrors using commercial spectrophotometer accessories. Solar Energy 1988, 41, 443–452. [Google Scholar] [CrossRef]
- Goebel, D.G. Generalized Integrating-Sphere Theory. Appl. Opt. 1967, 6, 125–128. [Google Scholar] [CrossRef] [PubMed]
- Jacquez, J.A.; Kuppenheim, H.F. Theory of the Integrating Sphere. J. Opt. Soc. Am. 1955, 45, 460–470. [Google Scholar] [CrossRef]
- Vallbona, B.F.; Kajtazi, A.; Shahtahmassebi, G.; Hanley, Q.S. Raw data and noise in spectrophotometry. Analytica Chimica Acta 2025, 1333, 343393. [Google Scholar] [CrossRef] [PubMed]
- Jiang, Y.; Zhao, S.; Jalali, B. Invited Article: Optical dynamic range compression. APL Photonics 2018, 3, 110806. [Google Scholar] [CrossRef]
- Li, A.; Yao, C.; Xia, J.; Wang, H.; Cheng, Q.; Penty, R.; Fainman, Y.; Pan, S. Advances in cost-effective integrated spectrometers. Light: Sci. Appl. 2022, 11, 174. [Google Scholar] [CrossRef]
- Yang, Z.; Albrow-Owen, T.; Cai, W.; Hasan, T. Miniaturization of optical spectrometers. Science 2021, 371, eabe0722. [Google Scholar] [CrossRef]
- Clarke, F.J.J. High Accuracy Spectrophotometry at the National Physical Laboratory. J. Res. Natl. Bur. Standards Sect. A Phys. Chem. 1972, 76A, 375–403. [Google Scholar] [CrossRef]
- Zwinkels, J.C.; Noël, M.; Dodd, C.X. Procedures and standards for accurate spectrophotometric measurements of specular reflectance. Appl. Opt. 1994, 33, 7933–7944. [Google Scholar] [CrossRef]
- Bennett, H.E.; Koehler, W.F. Precision Measurement of Absolute Specular Reflectance with Minimized Systematic Errors. J. Opt. Soc. Am. 1960, 50, 1–6. [Google Scholar] [CrossRef]
- Bennett, H.E. Accurate Method for Determining Photometric Linearity. Appl. Opt. 1966, 5, 1265–1270. [Google Scholar] [CrossRef]
- Ferrero, A.; Campos, J.; Pons, A. Correction of photoresponse nonuniformity for matrix detectors based on prior compensation for their nonlinear behavior. Appl. Opt. 2006, 45, 2422–2427. [Google Scholar] [CrossRef] [PubMed]
- Smith, R.M. How Linear Are Typical CCDs? Exp. Astron. 1998, 8, 59–72. [Google Scholar] [CrossRef]
- Theocharous, E.; Ishii, J.; Fox, N.P. Absolute linearity measurements on HgCdTe detectors in the infrared region. Appl. Opt. 2004, 43, 4182–4188. [Google Scholar] [CrossRef] [PubMed]
- Jung, H.J. Spectral Nonlinearity Characteristics of Low Noise Silicon Detectors and their Application to Accurate Measurements of Radiant Flux Ratios. Metrologia 1979, 15, 173. [Google Scholar] [CrossRef]
- Chandran, H.T.; Mahadevan, S.; Ma, R.; Tang, Y.; Zhu, T.; Zhu, F.; Tsang, S.-W.; Li, G. Deriving the linear dynamic range of next-generation thin-film photodiodes: Pitfalls and guidelines. Appl. Phys. Lett. 2024, 124, 101113. [Google Scholar] [CrossRef]
- Photomultiplier Tubes: Basics and Applications. Available online: https://www.hamamatsu.com/content/dam/hamamatsu-photonics/sites/documents/99_SALES_LIBRARY/etd/PMT_handbook_v4E.pdf (accessed on 25 November 2025).
- Zwinkels, J.C.; Gignac, D.S. Automated high precision variable aperture for spectrophotometer linearity testing. Appl. Opt. 1991, 30, 1678–1687. [Google Scholar] [CrossRef]
- Wilbrandt, S.; Stenzel, O. In Situ and Ex Situ Spectrophotometric Characterization of Single- and Multilayer-Coatings II: Experimental Technique and Application Examples. In Optical Characterization of Thin Solid Films; Stenzel, O., Ohlídal, M., Eds.; Springer Series in Surface Sciences; Springer: Cham, Switzerland, 2018; Volume 64, pp. 203–232. [Google Scholar] [CrossRef]
- Edmunds, W.; Altarouti, A. High-accuracy mid-infrared spectroscopy through innovative spectrometer design. Appl. Opt. Metrol. VI. SPIE 2025, 13603, 279–283. [Google Scholar] [CrossRef]
- Birch, J.R.; Clarke, F.J.J. Fifty categories of ordinate error in Fourier transform spectroscopy. Spectrosc. Eur. 1995, 7, 18. [Google Scholar]
- Zhu, C.; Fu, X.; Zhang, J.; Qin, K.; Wu, C. Review of portable near infrared spectrometers: Current status and new techniques. J. Near Infrared Spectrosc. 2022, 30, 51–66. [Google Scholar] [CrossRef]
- Crocombe, R.A. Portable Spectroscopy. Appl. Spectrosc. 2018, 72, 1701–1751. [Google Scholar] [CrossRef]
- Pasquini, C. Near infrared spectroscopy: A mature analytical technique with new perspectives—A review. Anal. Chim. Acta 2018, 1026, 8–36. [Google Scholar] [CrossRef] [PubMed]
- van Nijnatten, P.A. Chapter 5—Regular Reflectance and Transmittance. Exp. Methods Phys. Sci. 2014, 46, 143–178. [Google Scholar] [CrossRef]
- Hass, G. Reflectance and preparation of front-surface mirrors for use at various angles of incidence from the ultraviolet to the far infrared. J. Opt. Soc. Am. 1982, 72, 27–39. [Google Scholar] [CrossRef]
- Guenther, K.H.; Penny, I.; Willey, R.R. Corrosion-resistant front surface aluminum mirror coatings. Opt. Eng. 1993, 32, 547–552. [Google Scholar] [CrossRef]
- van Nijnatten, P. An automated directional reflectance/transmittance analyser for coating analysis. Thin Solid Films 2003, 442, 74–79. [Google Scholar] [CrossRef]
- Patrick, H.; Zarobila, C. Ultraviolet to Short-Wave Infrared Spectral Reflectance; Special Publication (NIST SP); National Institute of Standards and Technology: Gaithersburg, MD, USA, 2024. [Google Scholar]
- Macleod, A. Thin Film Polarizers and Polarizing Beam Splitters. JVC Summer Bull. 2009, 24–29. [Google Scholar]
- Gerhardt, U.; Rubloff, G.W. A Normal Incidence Scanning Reflectometer of High Precision. Appl. Opt. 1969, 8, 305–308. [Google Scholar] [CrossRef]
- Stemmler, I. Angular Dependent Specular Reflectance in UV/Vis/NIR; SPIE International Society for Optics and Photonics: Bellingham, WA, USA, 2005; p. 59651G. [Google Scholar]
- Strong, J.; Neher, H. Procedures in Experimental Physics; Prentice-Hall, Incorporated: Hoboken, NJ, USA, 1938. [Google Scholar]
- Castellini, C.; Emiliani, G.; Masetti, E.; Poggi, P.; Polato, P.P. Characterization and calibration of a variable-angle absolute reflectometer. Appl. Opt. 1990, 29, 538–543. [Google Scholar] [CrossRef]
- Tiernan, H.; Byrne, B.; Kazarian, S.G. ATR-FTIR spectroscopy and spectroscopic imaging for the analysis of biopharmaceuticals. Spectrochim. Acta Part A Mol. Biomol. Spectrosc. 2020, 241, 118636. [Google Scholar] [CrossRef]
- Zerlaut, G.A.; Anderson, T.E. Multiple-integrating sphere spectrophotometer for measuring absolute spectral reflectance and transmittance. Appl. Opt. 1981, 20, 3797–3804. [Google Scholar] [CrossRef]
- Hanssen, L. Integrating-sphere system and method for absolute measurement of transmittance, reflectance, and absorptance of specular samples. Appl. Opt. 2001, 40, 3196–3204. [Google Scholar] [CrossRef] [PubMed]
- Voarino, P.; Piombini, H.; Sabary, F.; Marteau, D.; Dubard, J.; Hameury, J.; Filtz, J.R. High-accuracy measurements of the normal specular reflectance. Appl. Opt. 2008, 47, C303–C309. [Google Scholar] [CrossRef]
- Shaw, J.E.; Blevin, W.R. Instrument for the Absolute Measurement of Direct Spectral Reflectances at Normal Incidence. J. Opt. Soc. Am. 1964, 54, 334–336. [Google Scholar] [CrossRef]
- Ram, R.; Prakash, O.; Singh, J.; Varma, S. Absolute reflectance measurement at normal incidence. Opt. Laser Technol. 1990, 22, 51–55. [Google Scholar] [CrossRef]
- Bittar, A.; Hamlin, J.D. High-accuracy true normal-incidence absolute reflectometer. Appl. Opt. 1984, 23, 4054–4057. [Google Scholar] [CrossRef]
- Francois, J.C.; Chassaing, G.; Pierrisnard, R. Measurement of absolute reflectance at nearly normal incidence. J. Opt. 1982, 13, 207–208. [Google Scholar] [CrossRef]
- Pointeau, F. Mesure absolue des coefficients de réflexion. Nouv. Rev. D’optique Appliquée 1972, 3, 103. [Google Scholar] [CrossRef]
- Gene, J.; Jeon, M.Y.; Lim, S.D. Reflectometers for Absolute and Relative Reflectance Measurements in the Mid-IR Region at Vacuum. Sensors 2021, 21, 1169. [Google Scholar] [CrossRef]
- Hong, F.W.; Chia, K.S. A review on recent near infrared spectroscopic measurement setups and their challenges. Measurement 2021, 171, 108732. [Google Scholar] [CrossRef]
- Li, Y.; Liu, Z.; Yuan, Y.; Zhai, W.; Zou, P.; Zheng, X. Nonlinearity Measurement of Si Transferring Photodetector in the Low Radiation Flux Range. Photonics 2023, 10, 1015. [Google Scholar] [CrossRef]
- Gastasini, E.; Capecci, N.; Lupi, F.; Gagliardi, A.; Saponara, S.; Lanzetta, M. An Instrument for the Characterization and Calibration of Optical Sensors. Sensors 2021, 21, 5141. [Google Scholar] [CrossRef] [PubMed]
- Neves, F.; Lindote, A.; Morozov, A.; Solovov, V.; Silva, C.; Bras, P.; Rodrigues, J.; Lopes, M. Measurement of the absolute reflectance of polytetrafluoroethylene (PTFE) immersed in liquid xenon. J. Instrum. 2017, 12, P01017. [Google Scholar] [CrossRef]
- Andrew Chan, K.L.; Kazarian, S.G. Attenuated total reflection Fourier-transform infrared (ATR-FTIR) imaging of tissues and live cells. Chem. Soc. Rev. 2016, 45, 1850–1864. [Google Scholar] [CrossRef] [PubMed]
- Meng, Y.; Lu, M. Evaluate thin film surface roughness accurately by a simple x-ray reflectivity distribution method and first-order perturbation theory. In SPIE Reflection, Scattering, and Diffraction from Surfaces VI; SPIE: Bellingham, WA, USA, 4 September 2018; Volume 10750, p. 107500L. [Google Scholar] [CrossRef]
- Rieser, L.M., Jr. Reflection of X-rays from condensed metal films. J. Opt. Soc. Am. 1957, 47, 987–994. [Google Scholar] [CrossRef]
- Knittl, Z.; Houserková, H. Equivalent layers in oblique incidence: The problem of unsplit admittances and depolarization of partial reflectors. Appl. Opt. 1982, 21, 2055–2068. [Google Scholar] [CrossRef]
- Jiang, Y.; Pillai, S.; Green, M.A. Realistic Silver Optical Constants for Plasmonics. Sci. Rep. 2016, 6, 30605. [Google Scholar] [CrossRef]
- Raether, H. Surface Plasmons on Smooth And Rough Surfaces and on Gratings; Springer: Berlin/Heidelberg, Germany, 1988. [Google Scholar] [CrossRef]
- Zayats, A.V.; Smolyaninov, I.I.; Maradudin, A.A. Nano-optics of surface plasmon polaritons. Phys. Rep. 2005, 408, 131–314. [Google Scholar] [CrossRef]
- Röseler, A. Spektroskopische Infrarotellipsometrie. In Analytiker-Taschenbuch; Springer: Berlin/Heidelberg, Germany, 1996; pp. 89–130. [Google Scholar] [CrossRef]
- Lyddane, R.H.; Sachs, R.G.; Teller, E. On the Polar Vibrations of Alkali Halides. Phys. Rev. 1941, 59, 673–676. [Google Scholar] [CrossRef]
- Harbecke, B.; Heinz, B.; Grosse, P. Optical properties of thin films and the Berreman effect. Appl. Phys. A Solids Surf. 1985, 38, 263–267. [Google Scholar] [CrossRef]
- Schubert, M. Infrared Ellipsometry on Semiconductor Layer Structures Phonons, Plasmons, and Polaritons; Springer: Berlin/Heidelberg, Germany, 2005. [Google Scholar]
- Ohlídal, I.; Vohánka, J.; Čermák, M.; Franta, D. Ellipsometry of Layered Systems. In Optical Characterization of Thin Solid Films; Stenzel, O., Ohlídal, M., Eds.; Springer Series in Surface Sciences; Springer: Cham, Switzerland, 2018; Volume 64, pp. 233–267. [Google Scholar] [CrossRef]
- Kreibig, U.; Vollmer, M. Optical Properties of Metal Clusters; Springer Series in Material Science; Springer: Berlin/Heidelberg, Germany, 1995. [Google Scholar] [CrossRef]
- Tikhonravov, A.V.; Trubetskov, M.K.; Tikhonravov, A.A.; Duparré, A. Effects of interface roughness on the spectral properties of thin films and multilayers. Appl. Opt. 2003, 42, 5140–5148. [Google Scholar] [CrossRef]
- Aspnes, D.E.; Theeten, J.B.; Hottier, F. Investigation of effective-medium models of microscopic surface roughness by spectroscopic ellipsometry. Phys. Rev. B 1979, 20, 3292–3302. [Google Scholar] [CrossRef]
- Quinten, M. Optical Properties of Nanoparticle Systems; Wiley-VCH: Berlin, Germany, 2011. [Google Scholar]
- Gerardy, J.M.; Ausloos, M. Infrared Absorption Spectrum of Ionic Powders. In Recent Developments in Condensed Matter Physics; Devreese, J.T., Lemmens, L.F., van Doren, V.E., van Royen, J., Eds.; Springer: Boston, MA, USA, 1981. [Google Scholar] [CrossRef]
- Lebedev, A.; Stenzel, O.; Quinten, M.; Stendal, A.; Röder, M.; Schreiber, M.; Zahn, D.R.T. A statistical approach for interpreting the optical spectra of metal island films: Effects of multiple scattering in a statistical assembly of spheres. J. Opt. A Pure Appl. Opt. 1999, 1, 573–580. [Google Scholar] [CrossRef]
- Wang, S.S.; Magnusson, R. Theory and applications of guided-mode resonance filters. Appl. Opt. 1993, 32, 2606–2613. [Google Scholar] [CrossRef] [PubMed]
- Rockstuhl, C.; Menzel, C.; Paul, T.; Pshenay-Severin, E.; Falkner, M.; Helgert, C.; Chipouline, A.; Pertsch, T.; Śmigaj, W.; Yang, J.; et al. Effective properties of metamaterials. In Proceedings of the Volume 8104, Nanostructured Thin Films IV, San Diego, CA, USA, 26 September 2011; Volume 8104, p. 81040E. [Google Scholar] [CrossRef]
- Shalaev, V.M. Optical Properties of Nanostructured Random Media; Springer: Berlin/Heidelberg, Germany, 2002. [Google Scholar]
- Veselago, V.G. The electrodynamics of substances with simultaneously negative values of ε and μ. Sov. Phys. Uspekhi 1968, 10, 509–514. [Google Scholar] [CrossRef]
- Krenn, J.R.; Ditlbacher, H.; Schider, G.; Hohenau, A.; Leitner, A.; Aussenegg, F.R. Surface plasmon micro- and nano- optics. J. Microsc. 2003, 209, 167–172. [Google Scholar] [CrossRef]
- Wang, D.; Liu, Z.; Wang, H.; Li, M.; Guo, L.J.; Zhang, C. Structural color generation: From layered thin films to optical metasurfaces. Nanophotonics 2023, 12, 1019–1081. [Google Scholar] [CrossRef]
- Flory, F.; Escoubas, L.; Berginc, G. Optical properties of nanostructured materials: A review. J. Nanophotonics 2011, 5, 052502. [Google Scholar] [CrossRef]
- Schuller, J.A.; Barnard, E.S.; Cai, W.; Jun, Y.C.; White, J.S.; Brongersma, M.L. Plasmonics for extreme light concentration and manipulation. Nat. Mater. 2010, 9, 193–204. [Google Scholar] [CrossRef]
- Pala, R.A.; White, J.; Barnard, E.; Liu, J.; Brongersma, M.L. Design of Plasmonic Thin-Film Solar Cells with Broadband Absorption Enhancements. Adv. Mater. 2009, 21, 3504–3509. [Google Scholar] [CrossRef]
- Simovski, C.; Tretyakov, S. An Introduction to Metamaterials and Nanophotonics; Cambridge University Press: Cambridge, UK, 2020; pp. 63–92. [Google Scholar]
- Meinzer, N.; Barnes, W.L.; Hooper, I.R. Plasmonic meta-atoms and metasurfaces. Nat. Photonics 2014, 8, 889–898. [Google Scholar] [CrossRef]
- Ding, F.; Yang, Y.; Deshpande, R.A.; Bozhevolnyi, S.I. A review of gap-surface plasmon metasurfaces: Fundamentals and applications. Nanophotonics 2018, 7, 1129–1156. [Google Scholar] [CrossRef]



















| Quantity | Definition | Relevant Phenomena |
|---|---|---|
| Vacuum permittivity | Constant, specific to the SI system of units. | |
| Dielectric function | Proportionality factor between electric displacement
and electric field in a monochromatic wave, according to . | |
| Refractive index | Phase velocity of a propagating monochromatic wave and refraction phenomena [18,21]. | |
| Extinction coefficient | Amplitude damping of a propagating monochromatic wave [18,21]. | |
| Complex index of refraction | ||
| Imaginary part of the dielectric function | Energy dissipation [28]. | |
| Loss function | IRAS and Berreman effect [29,30]. | |
| Step | Quantity | |||
|---|---|---|---|---|
| Sample Beam | Reference Beam | |||
| 1 | “Auto zero” | “100%” | ||
| “0%” | ||||
| 2 | Measurement | Sample | ||
| Method | Essence | Output | Basic Limitations/Strength | References |
|---|---|---|---|---|
| VN | Single bounce absolute reflection measurement | Restricted by spectrophotometer accuracy. | [100] | |
| VW | double bounce absolute reflection measurement | Restricted by spectrophotometer accuracy; not good for small R. | [94,100,108] | |
| IV | [94,103,109] | |||
| Relative R measurement | Single bounce reflection measurement with respect to calibrated standard | Restricted by spectrophotometer accuracy; knowledge of the reflectance of the standard is required | [100] | |
| CRD | Intracavity measurement in time domain | Highly accurate in case of very large or very small reflectance | [57,58,67] | |
| ISR | Lateral reflectance mapping | lateral inhomogeneity of R | Time consuming; large amount of data. | [68,69] |
| RAS | Normal incidence polarimetry in reflection | Lateral surface anisotropy | Restricted to anisotropic surfaces on isotropic materials. | [18] |
| ATR and multiple ATR | Oblique incidence at φ > φcrit | Absorption losses | Restricted to samples with low refractive index; interface- and polarization sensitive. | |
| IRAS | Oblique incidence, p-polarisation | Loss function | Adsorbate spectroscopy on metal films or surfaces; interface- and polarization sensitive. |
Disclaimer/Publisher’s Note: The statements, opinions and data contained in all publications are solely those of the individual author(s) and contributor(s) and not of MDPI and/or the editor(s). MDPI and/or the editor(s) disclaim responsibility for any injury to people or property resulting from any ideas, methods, instructions or products referred to in the content. |
© 2026 by the authors. Licensee MDPI, Basel, Switzerland. This article is an open access article distributed under the terms and conditions of the Creative Commons Attribution (CC BY) license.
Share and Cite
Stenzel, O.; Wilbrandt, S. Some Basic Considerations on the Reflectance of Smooth Metal Surfaces: Fresnel’s Formula and More. Coatings 2026, 16, 236. https://doi.org/10.3390/coatings16020236
Stenzel O, Wilbrandt S. Some Basic Considerations on the Reflectance of Smooth Metal Surfaces: Fresnel’s Formula and More. Coatings. 2026; 16(2):236. https://doi.org/10.3390/coatings16020236
Chicago/Turabian StyleStenzel, Olaf, and Steffen Wilbrandt. 2026. "Some Basic Considerations on the Reflectance of Smooth Metal Surfaces: Fresnel’s Formula and More" Coatings 16, no. 2: 236. https://doi.org/10.3390/coatings16020236
APA StyleStenzel, O., & Wilbrandt, S. (2026). Some Basic Considerations on the Reflectance of Smooth Metal Surfaces: Fresnel’s Formula and More. Coatings, 16(2), 236. https://doi.org/10.3390/coatings16020236

