Engineering Performance of a Novel Geopolymer-Based Aerogel Non-Intumescent Fire-Resistive Coating
Abstract
1. Introduction
2. Materials and Specimens
2.1. Raw Materials
2.2. Specimens
3. Experimental Programs
3.1. Dry Density Test
3.2. Thermal Conductivity Test
3.3. Compressive Test
3.4. Drying Shrinkage Test
3.5. Tensile Test
3.6. Bonding Test
3.7. Pore Characteristics Test
3.8. Thermal Insulation Test
3.9. Finite Element Simulation for Fire Resistance of Steel Beams
4. Results and Discussion
4.1. Dry Density
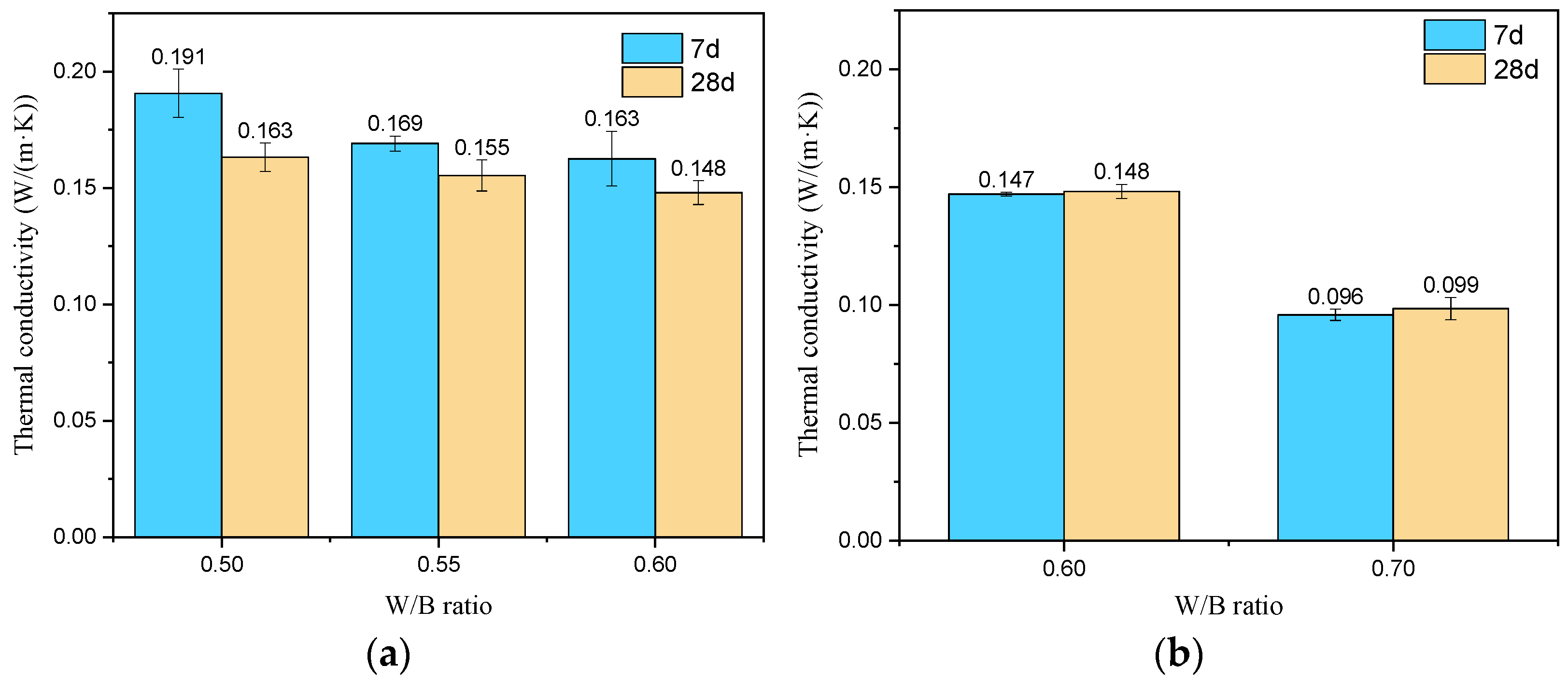
4.2. Thermal Conductivity
4.3. Compressive Strength
4.4. Drying Shrinkage
4.5. Tensile Strength
4.6. Bonding Strength
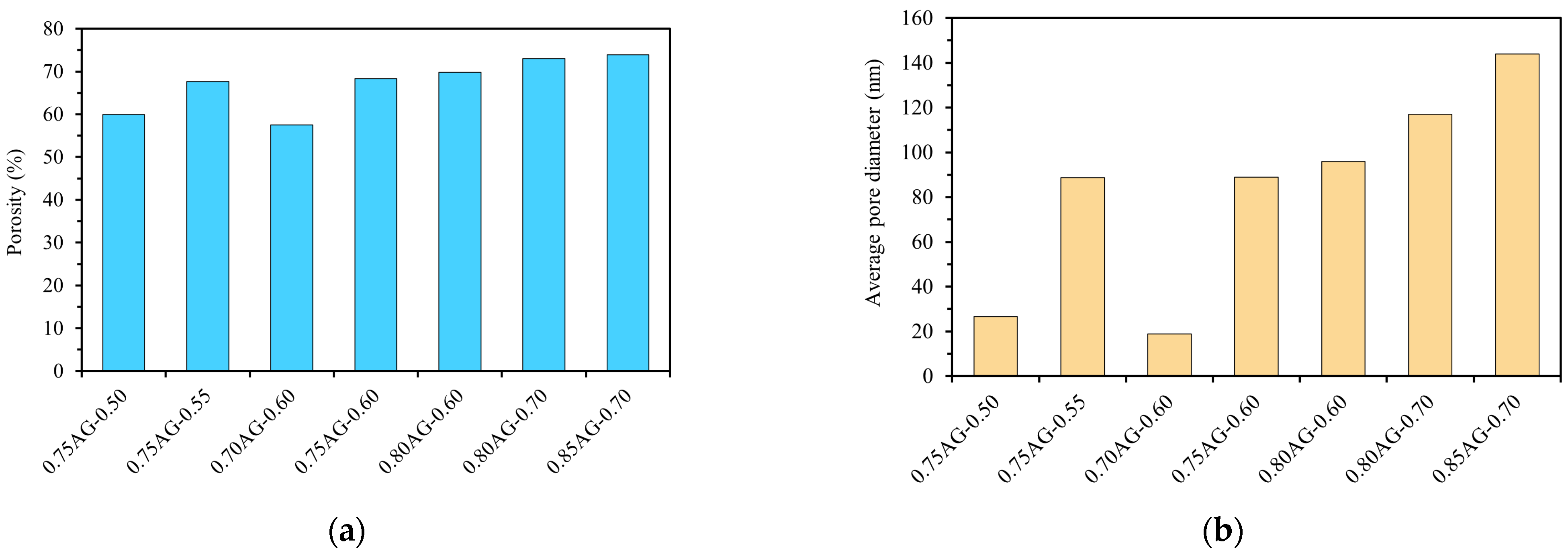
4.7. Pore Characteristics
4.8. Thermal Insulation
4.9. Simulation Results for Fire Resistance
5. Conclusions
- (1)
- Increasing the aerogel content and W/B ratio reduces the dry density, thermal conductivity, and compressive strength of GBAC. The dry density generally decreases with prolonged curing age. A baseline mixture with 70% aerogel and a W/B ratio of 0.6 can achieve a dry density of 687 kg/m3, a thermal conductivity of 0.17 W/(m·K), and a compressive strength of 3.01 MPa.
- (2)
- Both basalt fibers and an expansive agent significantly enhance the bonding performance of GBAC by effectively restraining its drying shrinkage. Although latex powder shows negligible effect on shrinkage reduction, it improves both the tensile and bonding strength. The incorporation of 2.5% latex powder, 1.0% basalt fibers, and 4.0% expansive agent into the baseline mixture leads to a remarkable reduction in shrinkage strain by 85.23%, an increase in tensile strength by 90.93%, and an enhancement in bonding strength by 64.89%.
- (3)
- The GBAC demonstrates excellent structural integrity and thermal insulation under high temperatures. After exposure to 1000 °C, the coating remains intact without spalling. Applied at thicknesses of 15, 20, and 25 mm, the GBAC coating extends the thermal insulating efficiency of the steel plates by 66, 84, and 108 min, respectively.
- (4)
- Finite element simulation results show that under the ISO834 standard fire condition and a load ratio of 0.6, the fire resistances reach 95 and 122 min on steel beams coated with 20 and 25 mm of GBAC, which meet the requirements of Classes II and I fire resistance, respectively.
Author Contributions
Funding
Institutional Review Board Statement
Informed Consent Statement
Data Availability Statement
Conflicts of Interest
Abbreviations
| GBAC | Geopolymer-based Aerogel Composite |
| W/B | Water-to-binder |
| ITZ | Interfacial Transition Zone |
References
- Pang, S.; Kodur, V.; Wang, W. Fire resistance of steel structures, incorporating HSS—Review and recommendations. J. Constr. Steel Res. 2024, 217, 108677. [Google Scholar] [CrossRef]
- Li, Y.; Wang, M.; Li, G.; Jiang, B. Mechanical properties of hot-rolled structural steels at elevated Temperatures: A review. Fire Saf. J. 2021, 119, 103237. [Google Scholar] [CrossRef]
- Ma, X.; Pan, J.; Cai, J.; Zhang, Z.; Han, J. A review on cement-based materials used in steel structures as fireproof coating. Constr. Build. Mater. 2022, 315, 125623. [Google Scholar] [CrossRef]
- Hu, X.; Zhu, X.; Sun, Z. Fireproof performance of the intumescent fire retardant coatings with layered double hydroxides additives. Constr. Build. Mater. 2020, 256, 119445. [Google Scholar] [CrossRef]
- Li, Q.; Li, H.; Liang, T. Effect of non-intumescent fireproof coating on the durability of concrete exposed to elevated temperature. Constr. Build. Mater. 2023, 404, 133211. [Google Scholar] [CrossRef]
- Provis, J.L. Geopolymers and other alkali activated materials: Why, how, and what? Mater. Struct. 2014, 47, 11–25. [Google Scholar] [CrossRef]
- Richardson, I.G.; Brough, A.R.; Groves, G.W.; Dobson, C.M. The characterization of hardened alkali-activated blast-furnace slag pastes and the nature of the calcium silicate hydrate (C-S-H) phase. Cem. Concr. Res. 1994, 24, 813–829. [Google Scholar] [CrossRef]
- Richardson, I.G. Tobermorite/jennite- and tobermorite/calcium hydroxide-based models for the structure of C–S–H: Applicability to hardened pastes of tricalcium silicate, β-dicalcium silicate, Portland cement, and blends of Portland cement with blast-furnace slag, metakaolin, or silica fume. Cem. Concr. Res. 2004, 34, 1733–1777. [Google Scholar] [CrossRef]
- Provis, J.L.; Lukey, G.C.; van Deventer, J.S.J. Do geopolymers actually contain nanocrystalline zeolites?—A reexamination of existing results. Chem. Mater. 2005, 17, 3075–3085. [Google Scholar] [CrossRef]
- Duxson, P.; Provis, J.L.; Lukey, G.C.; Separovic, F.; van Deventer, J.S.J. 29Si NMR study of structural ordering in aluminosilicate geopolymer gels. Langmuir 2005, 21, 3028–3036. [Google Scholar] [CrossRef]
- Loewenstein, W. The distribution of aluminum in the tetrahedra of silicates and aluminates. Am. Min. 1954, 39, 92–96. [Google Scholar]
- Irfan Khan, M.; Azizli, K.; Sufian, S.; Man, Z. Sodium silicate-free geopolymers as coating materials: Effects of Na/Al and water/solid ratios on adhesion strength. Ceram. Int. 2015, 41, 2794–2805. [Google Scholar] [CrossRef]
- Fernández-Jiménez, A.; Palomo, Á.; Pastor, J.Y.; Martín, A. New Cementitious Materials Based on Alkali-Activated Fly Ash: Performance at High Temperatures. J. Am. Ceram. Soc. 2008, 91, 3308–3314. [Google Scholar] [CrossRef]
- Pan, Z.; Sanjayan, J.G. Stress–strain behaviour and abrupt loss of stiffness of geopolymer at elevated temperatures. Cem. Concr. Compos. 2010, 32, 657–664. [Google Scholar] [CrossRef]
- Temuujin, J.; Minjigmaa, A.; Rickard, W.; Lee, M.; Williams, I.; van Riessen, A. Fly ash based geopolymer thin coatings on metal substrates and its thermal evaluation. J. Hazard. Mater. 2010, 180, 748–752. [Google Scholar] [CrossRef] [PubMed]
- Yong, S.L.; Feng, D.W.; Lukey, G.C.; van Deventer, J.S.J. Chemical characterisation of the steel–geopolymeric gel interface. Colloids Surf. A Physicochem. Eng. Asp. 2007, 302, 411–423. [Google Scholar] [CrossRef]
- Wu, B.; Duan, J.; Wen, B. Preparations of new fireproof coating and fire-resistance tests on composite slabs filled with demolished concrete blocks and fresh concrete. China Civ. Eng. J. 2014, 47, 82–92. (In Chinese) [Google Scholar] [CrossRef]
- ISO 834-1:1999; Fire-Resistance Tests—Elements of Building Construction—Part 1: General Requirements. International Organization for Standardization: Geneva, Switzerland, 1999.
- Mishra, B.; Varshney, S.; Gupta, M.K.; Jagadeesh, P.; Sanjay, M.R.; Siengchin, S. Aerogel as a sustainable lightweight material: A comprehensive review of synthesis, properties, and applications. Int. J. Biol. Macromol. 2025, 328, 147701. [Google Scholar] [CrossRef]
- Maleki, H.; Durães, L.; Portugal, A. An overview on silica aerogels synthesis and different mechanical reinforcing strategies. J. Non-Cryst. Solids 2014, 385, 55–74. [Google Scholar] [CrossRef]
- Bergmann Becker, P.F.; Effting, C.; Schackow, A. Lightweight thermal insulating coating mortars with aerogel, EPS, and vermiculite for energy conservation in buildings. Cem. Concr. Compos. 2022, 125, 104283. [Google Scholar] [CrossRef]
- Li, J.; Liu, X.; Su, Z. Preparation and properties of silica aerogel fire-retardant coatings for tunnel. New Build. Mater. 2014, 41, 14–17. (In Chinese) [Google Scholar] [CrossRef]
- Lyu, H.; Cheng, C.; He, J.; Zhang, Z.; Zhang, Q.; Wei, R. Experimental study on fire-proof property of cement-based aerogel coating. J. Guangzhou Univ. Nat. Sci. Ed. 2017, 16, 72–75. (In Chinese) [Google Scholar] [CrossRef]
- Zhu, P.; Xu, X.; Liu, H.; Liu, S.; Chen, C.; Jia, Z. Tunnel fire resistance of self-compacting concrete coated with SiO2 aerogel cement paste under 2.5 h HC fire loading. Constr. Build. Mater. 2020, 239, 117857. [Google Scholar] [CrossRef]
- GB 14907-2018; Fire Resistive Coating for Steel Structure. State Administration for Market Regulation, Standardization Administration of the People’s Republic of China: Beijing, China, 2018.
- JGJ/T 70-2009; Standard for Test Method of Basic Properties of Construction Mortar. Ministry of Housing and Urban-Rural Development of the People’s Republic of China: Beijing, China, 2009.
- JC/T 603-2004; Standard Test Method for Drying Shrinkage of Mortar. National Development and Reform Commission: Beijing, China, 2004.
- DL/T 5126-2021; Test Code for Polymer Modified Cement Mortar. National Energy Administration: Beijing, China, 2021.
- EN 1993-1-2: 2024; Eurocode 3—Design of Steel Structures. Part 1–2: Structural Fire Design. European Committee for Standardization: Brussels, Belgium, 2024.
- Liu, S.; Wu, X.; Li, Y.; Cui, S.; Shen, X.; Tan, G. Hydrophobic in-situ SiO2-TiO2 composite aerogel for heavy oil thermal recovery: Synthesis and high temperature performance. Appl. Therm. Eng. 2021, 190, 116745. [Google Scholar] [CrossRef]
- Xu, S.; Liu, J.; Zeng, Q. Towards better characterizing thermal conductivity of cement-based materials: The effects of interfacial thermal resistance and inclusion size. Mater. Des. 2018, 157, 105–118. [Google Scholar] [CrossRef]
- Gao, T.; Jelle, B.P.; Gustavsen, A.; Jacobsen, S. Aerogel-incorporated concrete: An experimental study. Constr. Build. Mater. 2014, 52, 130–136. [Google Scholar] [CrossRef]
- Hou, M.; Tao, Y.; Tao, Z.; Chai, D. Study on the reinforcement mechanism of basalt fiber concrete enhancement mechanism. Concrete 2020, 67–71+75. (In Chinese) [Google Scholar] [CrossRef]
- Xu, S.; Wu, C.; Yue, J.; Xu, Z. Shrinkage and Mechanical Properties of Fibre-Reinforced Blast Furnace Slag-Steel Slag-Based Geopolymer. Adv. Civ. Eng. 2022, 2022, 8931401. [Google Scholar] [CrossRef]
- Jia, Z.; Yang, Y.; Yang, L.; Zhang, Y.; Sun, Z. Hydration products, internal relative humidity and drying shrinkage of alkali activated slag mortar with expansion agents. Constr. Build. Mater. 2018, 158, 198–207. [Google Scholar] [CrossRef]
- Li, F.; Gao, H.; Tang, H.; Jiang, Y.; Zhan, Y.; Shen, D. Basic properties and shrinkage model of chopped basalt fiber concrete. J. Railw. Sci. Eng. 2022, 19, 419–427. (In Chinese) [Google Scholar] [CrossRef]
- Wang, P.; Zhao, G.; Zhang, G. Mechanism of redispersible polymer powder in cement mortar. J. Chin. Ceram. Soc. 2018, 46, 256–262. (In Chinese) [Google Scholar] [CrossRef]
- Production Center of CIENTEI. Available online: https://www.cientei.com/product_center.html#pro1 (accessed on 6 January 2026).
- GB 51249-2017; Code for Fire Safety of Steel Structures in Buildings. Ministry of Housing and Urban-Rural Development of the People’s Republic of China: Beijing, China; General Administration of Quality Supervision, Inspection and Quarantine of the People’s Republic of China: Beijing, China, 2017.
- GB 50016-2014; Code for Fire Protection Design of Buildings. Ministry of Housing and Urban-Rural Development of the People’s Republic of China: Beijing, China; General Administration of Quality Supervision, Inspection and Quarantine of the People’s Republic of China: Beijing, China, 2018.
























| SiO2 | Al2O3 | Fe2O3 | CaO | K2O | TiO2 | MgO | Na2O | SO3 | |
|---|---|---|---|---|---|---|---|---|---|
| Granulated blast furnace slag | 31.25 | 16.26 | - | 39.26 | 0.33 | 1.28 | 8.16 | 0.34 | 2.20 |
| Fly ash | 56.04 | 29.17 | 7.08 | 3.88 | 1.11 | 0.96 | 0.68 | 0.42 | 0.3 |
| Group | W/B Ratio 1 | Volume Dosage of Aerogel | Mass Ratio of Aerogel to Precursor |
|---|---|---|---|
| 0.75AG-0.50 2 | 0.50 | 75% | 0.205 |
| 0.75AG-0.55 | 0.55 | 75% | 0.205 |
| 0.70AG-0.60 | 0.60 | 70% | 0.160 |
| 0.75AG-0.60 | 75% | 0.205 | |
| 0.80AG-0.60 | 80% | 0.275 | |
| 0.80AG-0.70 | 0.70 | 80% | 0.319 |
| 0.85AG-0.70 | 85% | 0.384 |
| Group | Dosage of Latex Powder 1 | Dosage of Basalt Fibers | Dosage of Expansion Agent |
|---|---|---|---|
| 0.70AG-0.60 | 0 | 0 | 0 |
| 2.5JF-0-0 2 | 2.5% | 0 | 0 |
| 5.0JF-0-0 | 5.0% | 0 | 0 |
| 5.0JF-0.5XW-0 3 | 5.0% | 0.5% | 0 |
| 5.0JF-1.0XW-0 | 5.0% | 1.0% | 0 |
| 2.5JF-1.0XW-4.0PZJ 4 | 2.5% | 1.0% | 4% |
| 2.5JF-1.0XW-6.0PZJ | 2.5% | 1.0% | 6% |
| Performance | GBAC | CT-MK6 [38] | GB 14907-2018 [25] |
|---|---|---|---|
| Thermal conductivity (W/(m·K)) | 0.17 | 0.12 | - |
| Dry density (kg/m3) | 687 | 571 | ≤650 |
| Compressive strength (MPa) | 3.01 | 0.9 | ≥0.5 |
| Bonding strength (MPa) | 0.37 | 0.14 | ≥0.04 |
Disclaimer/Publisher’s Note: The statements, opinions and data contained in all publications are solely those of the individual author(s) and contributor(s) and not of MDPI and/or the editor(s). MDPI and/or the editor(s) disclaim responsibility for any injury to people or property resulting from any ideas, methods, instructions or products referred to in the content. |
© 2026 by the authors. Licensee MDPI, Basel, Switzerland. This article is an open access article distributed under the terms and conditions of the Creative Commons Attribution (CC BY) license.
Share and Cite
Fang, S.; Qi, C.; Lin, C.; Yuan, L.; Zhang, H. Engineering Performance of a Novel Geopolymer-Based Aerogel Non-Intumescent Fire-Resistive Coating. Coatings 2026, 16, 98. https://doi.org/10.3390/coatings16010098
Fang S, Qi C, Lin C, Yuan L, Zhang H. Engineering Performance of a Novel Geopolymer-Based Aerogel Non-Intumescent Fire-Resistive Coating. Coatings. 2026; 16(1):98. https://doi.org/10.3390/coatings16010098
Chicago/Turabian StyleFang, Shuai, Congyue Qi, Chenke Lin, Lijun Yuan, and Haiyan Zhang. 2026. "Engineering Performance of a Novel Geopolymer-Based Aerogel Non-Intumescent Fire-Resistive Coating" Coatings 16, no. 1: 98. https://doi.org/10.3390/coatings16010098
APA StyleFang, S., Qi, C., Lin, C., Yuan, L., & Zhang, H. (2026). Engineering Performance of a Novel Geopolymer-Based Aerogel Non-Intumescent Fire-Resistive Coating. Coatings, 16(1), 98. https://doi.org/10.3390/coatings16010098

