Preparation of Thermochromic UV Coating with Urea–Formaldehyde-Coated Ternary System on Bleached Poplar Wood Surface
Abstract
1. Introduction
2. Materials and Methods
2.1. Materials
2.2. Preparation Method of Microcapsules
2.3. Pretreatment and Coating Method of Bleached Poplar Wood Board
2.4. Testing and Characterization
2.4.1. Morphology Analysis
2.4.2. Infrared Spectral Characterization
2.4.3. Optical Performance Testing
2.4.4. Mechanical Performance and Roughness Testing
2.4.5. Thermochromic Performance Testing
2.4.6. Aging Performance Testing
3. Results and Discussion
3.1. Analysis of the Morphology and Bleaching Effect of Poplar Wood Board
3.2. Infrared Spectral Analysis of the Surface Coating on Bleached Poplar Wood with UF@TS Added
3.3. Optical Performance Analysis of the Surface Coating on Bleached Poplar Wood with UF@TS Added
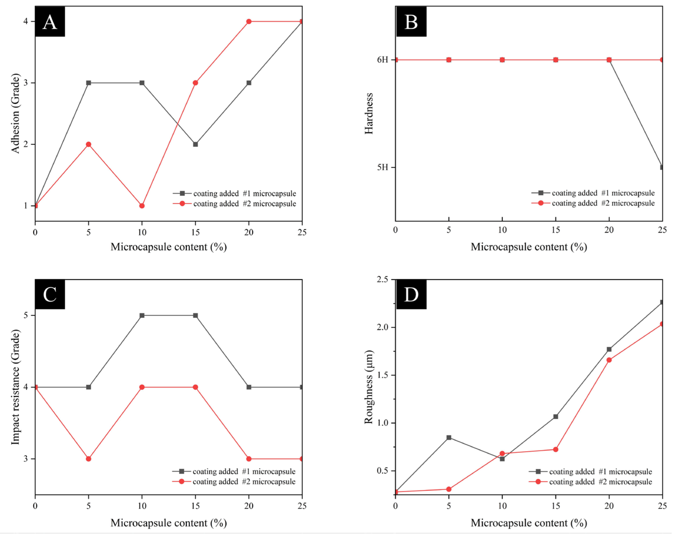
3.4. Mechanical Performance and Roughness Analysis of the Surface Coating on Bleached Poplar Wood with UF@TS Added
3.5. Thermochromic Performance Analysis of the Surface Coating on Bleached Poplar Wood with UF@TS Added
3.6. Aging Performance Analysis of the Surface Coating on Bleached Poplar Wood with UF@TS Added
4. Conclusions
Author Contributions
Funding
Institutional Review Board Statement
Informed Consent Statement
Data Availability Statement
Conflicts of Interest
References
- Chen, Y.; Liu, R.; Luo, J. Improvement of anti-aging property of UV-curable coatings with silica-coated TiO2. Prog. Org. Coat. 2023, 179, 107479. [Google Scholar] [CrossRef]
- Jafarifard, S.; Ebrahimi, M.; Sharif, F. Antistatic epoxy acrylate/graphene oxide UV-curable coatings with improved shrinkage and adhesion strength. Prog. Org. Coat. 2023, 182, 107595. [Google Scholar] [CrossRef]
- Bednarczyk, P.; Wróblewska, A.; Markowska-Szczupak, A.; Ossowicz-Rupniewska, P.; Nowak, M.; Kujbida, M.; Kaminska, A.; Czech, Z. UV Curable Coatings Based on Urethane Acrylates Containing Eugenol and Evaluation of Their Antimicrobial Activity. Coatings 2021, 11, 1556. [Google Scholar] [CrossRef]
- Choi, W.C.; Gavande, V.; Kim, D.Y.; Lee, W.K. Study on Press Formability and Properties of UV-Curable Polyurethane Acrylate Coatings with Different Reactive Diluents. Polymers 2023, 15, 880. [Google Scholar] [CrossRef] [PubMed]
- Zhang, L.; Liu, Y.; Wang, X.; Chen, D.M.; Ding, H. Fabrication of sericite-TiO2/HDTMS superhydrophobic self-cleaning coatings by hydrothermal method. J. Alloys Compd. 2025, 1014, 178677. [Google Scholar] [CrossRef]
- Chen, M.J.; Pan, X.Y.; Tian, Y.; Li, J.B.; Tan, Q.G.; Jin, M.; Ren, J. Synthesis of renewable isosorbide-based polyurethane acrylate resins for UV-cured coating with adjustable properties. Prog. Org. Coat. 2023, 182, 107695. [Google Scholar] [CrossRef]
- Bednarczyk, P.; Walkowiak, K.; Irska, I. Epoxy (Meth) acrylate-Based Thermally and UV Initiated Curable Coating Systems. Polymers 2023, 15, 4664. [Google Scholar] [CrossRef] [PubMed]
- Gavande, V.; Mahalingam, S.; Kim, J.; Lee, W.K. Optimization of UV-Curable Polyurethane Acrylate Coatings with Hexagonal Boron Nitride (hBN) for Improved Mechanical and Adhesive Properties. Polymers 2024, 16, 2544. [Google Scholar] [CrossRef] [PubMed]
- Zhou, M.X.; Liu, J.; Lu, P.; Huang, Y.Z.; Xiao, Y.X.; Zhang, J.Y.; Hu, Y.; Yang, Z.H. Polyfunctional phytic acid-based reactive diluent for UV-curable coating with improved flame-retardant performance and toughness. Ind. Crop. Prod. 2023, 204, 117368. [Google Scholar] [CrossRef]
- Zhu, J.L.; Fan, H.; Wan, J.T. Solvent-Free and UV-Cured Epoxy Silicone Coating with Excellent Wear Resistance and Antismudge Properties. ACS Appl. Mater. Interfaces 2024, 16, 35494–35504. [Google Scholar] [CrossRef]
- Wang, X.; Ding, H.; Xu, Z.Q.; Zhang, J.M.; Yao, Y.B. Preparation of a UV anti-aging and superhydrophobic self-cleaning coating by loading nano-rutile on sericite and being modified with HDTMS. Appl. Clay Sci. 2024, 247, 107212. [Google Scholar] [CrossRef]
- Rosu, D.; Mustata, F.R.; Rosu, L.; Varganici, C.D. Photochemical Aging of Eco-Friendly Wood Coatings Derived from Vegetable Oils. ACS Appl. Polym. Mater. 2021, 3, 6303–6314. [Google Scholar] [CrossRef]
- Yang, M.C.; Li, S.; Zhang, S.G.; Gao, B.; Tong, Z.H.; Cheng, D.D.; Chen, D.L.; Huang, R.Y.; Yang, Y.C. Dense and superhydrophobic biopolymer-coated large tablet produced with energy efficient UV-curing for controlled-release fertilizer. J. Mater. Chem. A 2022, 10, 18834–18844. [Google Scholar] [CrossRef]
- Davoudi, S.; Multigner, M.; Calvez, I.; Hermann, A.; Landry, V. Influence of Magnetic Particles and Magnetic Field on Gloss in UV Coating. Coatings 2023, 13, 1625. [Google Scholar] [CrossRef]
- Li, X.Q.; Bian, F.P.; Li, S.; Gui, X.F.; Yao, M.F.; Hu, J.W.; Lin, S.D. Preparation of siloxymethyl-modified silicone acrylate prepolymers with UV/moisture dual curability for applications in anti-smudge and anti-fingerprint coatings. Colloids Surf. A Physicochem. Eng. Asp. 2023, 658, 130669. [Google Scholar] [CrossRef]
- Yang, Z.; Liu, H.J.; Zhao, J.Y.; Wang, C.; Li, H.T.; Wang, X.H.; Yang, Y.; Wu, H.X.; Gu, Z.P.; Li, Y.W. UV absorption enhanced polydopamine coating. Mater. Horiz. 2024, 11, 2438–2448. [Google Scholar] [CrossRef]
- Noè, C.; Tonda-Turo, C.; Carmagnola, I.; Hakkarainen, M.; Sangermano, M. UV-Cured Biodegradable Methacrylated Starch-Based Coatings. Coatings 2021, 11, 127. [Google Scholar] [CrossRef]
- Zhang, Y.A.; Sheng, Y.M.; Wang, M.H.; Lu, X. UV-curable self-healing, high hardness and transparent polyurethane acrylate coating based on dynamic bonds and modified nano-silica. Prog. Org. Coat. 2022, 172, 107051. [Google Scholar] [CrossRef]
- Sen, F.; Kocatürk, E.; Çakmakçi, E.; Kahraman, M.V. Quaternary imidazolium-functionalized reactive silica nanoparticles-containing thiolene photocured antibacterial hybrid coatings. React. Funct. Polym. 2022, 170, 105149. [Google Scholar] [CrossRef]
- Cong, R.Z.; Cai, T.Y.; Ge-Zhang, S.; Yang, H.; Zhang, C. Fabrication of PVA-Silica Sol Wood Composites via Delignification and Freezing Pretreatment. Polymers 2024, 16, 1949. [Google Scholar] [CrossRef]
- Xu, J.F.; Qin, Y.; Liu, R.; Long, L.; Ma, E.N. Preparation and properties of high-performance fast-growing wood modified by exfoliated organo-montmorillonite in waterborne hyperbranched polyacrylate emulsion. Constr. Build. Mater. 2021, 298, 123868. [Google Scholar] [CrossRef]
- Zhang, Y.; Guan, P.F.; Ma, X.; Li, P.; Sun, Z.Y.; Li, X.J.; Zuo, Y.F. Study on the Effect of Acrylic Acid Emulsion on the Properties of Poplar Wood Modified by Sodium Silicate Impregnation. Forests 2023, 14, 1221. [Google Scholar] [CrossRef]
- Herstedt, L.; Herstedt, M. Chemical bleaching of wood: An investigation into the bleaching of mahogany, walnut, rosewood, padauk, and purpleheart. Stud. Conserv. 2017, 62, 162–172. [Google Scholar] [CrossRef]
- Lu, D.T.; Xiong, X.Q.; Lu, G.Z.; Gui, C.S.; Pang, X.R. Effects of NaOH/H2O2/Na2SiO3 Bleaching Pretreatment Method on Wood Dyeing Properties. Coatings 2023, 13, 233. [Google Scholar] [CrossRef]
- Ibarra, D.; Martin-Sampedro, R.; Wicklein, B.; Borrero-Lopez, A.M.; Valencia, C.; Valdehita, A.; Navas, J.M.; Eugenio, M.E. Populus alba L., an Autochthonous Species of Spain: A Source for Cellulose Nanofibers by Chemical Pretreatment. Polymers 2022, 14, 68. [Google Scholar] [CrossRef] [PubMed]
- Xu, W.; Chen, P.; Yang, Y.; Wang, X.; Liu, X. Effects of Freezing and Steam Treatments on the Permeability of Populus Tomentosa. Materialwiss. Werkst. 2021, 52, 907–915. [Google Scholar] [CrossRef]
- Wu, S.S.; Tao, X.; Xu, W. Thermal Conductivity of Poplar Wood Veneer Impregnated with Graphene/Polyvinyl Alcohol. Forests 2021, 12, 777. [Google Scholar] [CrossRef]
- Wu, G.F.; Shen, Y.L.; Fu, F.; Ren, H.Q.; Qu, W. Mechanism of the super-large deformation behavior of poplar wood under transverse compression. Ind. Crop. Prod. 2023, 205, 117510. [Google Scholar] [CrossRef]
- Ding, S.H.; Lan, Z.Y.; Fang, S.Z. Pyrolysis temperature determines the amendment effects of poplar residue-derived biochars on reducing CO2 emission. GCB Bioenergy 2023, 15, 1030–1045. [Google Scholar] [CrossRef]
- Xu, B.H.; Yu, K.B.; Wu, H.C.; Bouchaïr, A. Mechanical properties and engineering application potential of the densified poplar. Wood Mater. Sci. Eng. 2022, 17, 659–667. [Google Scholar] [CrossRef]
- Yang, Z.X.; Han, Y.; Peng, W.W.; Wang, L.; Yan, X.X. Effect of Fluorane Microcapsule Content on Properties of Thermochroic Waterborne Topcoat on Tilia europaea. Polymers 2022, 14, 3638. [Google Scholar] [CrossRef]
- Wang, L.; Han, Y.; Yan, X.X. Effects of Adding Methods of Fluorane Microcapsules and Shellac Resin Microcapsules on the Preparation and Properties of Bifunctional Waterborne Coatings for Basswood. Polymers 2022, 14, 3919. [Google Scholar] [CrossRef] [PubMed]
- Ji, Y.H.; Zhang, Y.H.; Wang, X.X.; Zhang, D.Z.; Zhang, F.D.; Huang, Y.X.; Yu, Y.L.; Yu, W.J.; Zhu, R.X. Reversible thermochromic transparent bamboo for dynamically adaptive smart windows. Ind. Crop. Prod. 2023, 197, 116593. [Google Scholar] [CrossRef]
- Cheng, Z.F.; Zhao, B.B.; Lei, L.L.; Zhu, Y.F.; Wei, Z.B.; Yu, T.; Fan, J.H.; Li, Y. Self-assembled poly (lactic acid) films with high heat resistance and multi-stage thermochromic properties prepared by blown film-annealing. Chem. Eng. J. 2024, 480, 148261. [Google Scholar] [CrossRef]
- Yang, T.J.; Yuan, D.; Liu, W.; Zhang, Z.; Wang, K.Y.; You, Y.X.; Ye, H.P.; de Haan, L.T.; Zhang, Z.; Zhou, G.F. Thermochromic Cholesteric Liquid Crystal Microcapsules with Cellulose Nanocrystals and a Melamine Resin Hybrid Shell. ACS Appl. Mater. Interfaces 2022, 14, 4588–4597. [Google Scholar] [CrossRef]
- Yu, W.D.; Liu, H.; Tan, J.L.; Wang, C.X. The reversible thermochromic fabric for the double-stage temperature monitoring. Eur. Polym. J. 2024, 206, 112769. [Google Scholar] [CrossRef]
- Liu, H.S.; Deng, Y.H.; Ye, Y.; Liu, X.Q. Reversible Thermochromic Microcapsules and Their Applications in Anticounterfeiting. Materials 2023, 16, 5150. [Google Scholar] [CrossRef] [PubMed]
- Zou, Y.M.; Yan, X.X. Preparation and Optimization of Thermochromic Microcapsules as a Ternary System of Crystal Violet Lactone: Bisphenol A: Decanol Encapsulated with Urea Formaldehyde Resin in a UV-Curable Primer. Polymers 2025, 17, 851. [Google Scholar] [CrossRef]
- Weng, M.Y.; Fu, Y.C.; Xu, W. Flame-Retardant Coating on Wood Surface by Natural Biomass Polyelectrolyte via a Layer-by-Layer Self-Assembly Approach. Forests 2024, 15, 1362. [Google Scholar] [CrossRef]
- Zhang, N.; Mao, Y.Q.; Wu, S.S.; Xu, W. Effects of the Ball Milling Process on the Particle Size of Graphene Oxide and Its Application in Enhancing the Thermal Conductivity of Wood. Forests 2022, 13, 1325. [Google Scholar] [CrossRef]
- Wang, C.; Li, J.Y.; Wang, X.W.; Chu, Q.; Wang, T.Y. Influence of Shell Structure on the Tensile Strength of Fused Filament Fabrication Models. Mater. Plast. 2024, 61, 19–26. [Google Scholar] [CrossRef]
- Xue, J.X.; Xu, W.; Zhou, J.C.; Mao, W.G.; Wu, S.S. Effects of High-Temperature Heat Treatment Modification by Impregnation on Physical and Mechanical Properties of Poplar. Materials 2022, 15, 7334. [Google Scholar] [CrossRef] [PubMed]
- Wang, C.; Li, J.Y.; Wang, T.Y.; Wang, X.W. Additive manufacturing of furniture corner guards based on thermoplastic polyurethane filament. Bioresources 2025, 20, 5398–5406. [Google Scholar] [CrossRef]
- Hu, W.; Yang, Z.; Shi, N.; Yu, X. Experimental study on effects of the selected load parameters on fatigue life of the mortise-and-tenon furniture joint. Wood Mater. Sci. Eng. 2025, 19, 1–7. [Google Scholar] [CrossRef]
- Wang, C.; Li, J.Y.; Wang, T.Y.; Chu, Q.; Wen, S.Q. Design and Rapid Prototyping of Packaging Liner for Rosewood Craft based on Gyroid Infill Structure. Bioresources 2025, 20, 842–851. [Google Scholar] [CrossRef]
- Yue, X.Y.; Xiong, X.Q.; Zhang, M.; Xu, X.T.; Yang, L.J. Multi-objective optimization for energy-efficient hybrid flow shop scheduling problem in panel furniture intelligent manufacturing with transportation constraints. Expert Syst. Appl. 2025, 274, 126830. [Google Scholar] [CrossRef]
- Hu, W.; Zhao, Y.; Xu, W.; Liu, Y. Study on withdrawal force capacity of insert nut in wood-based materials used for case furniture. Wood Mater. Sci. Eng. 2024, 18, 1–10. [Google Scholar] [CrossRef]
- Hu, W.; Zhao, Y.; Xu, W.; Liu, Y. The influences of selected factors on bending moment capacity of case furniture joints. Appl. Sci. 2024, 14, 10044. [Google Scholar] [CrossRef]
- GB/T 4893.6-2013; Test of Surface Coatings of Furniture—Part 6: Determination of Gloss Value. Standardization Administration of the People’s Republic of China: Beijing, China, 2013.
- Hu, W.; Yu, R.; Yang, P. Characterizing roughness of wooden mortise and tenon considering effects of measured position and assembly condition. Forests 2024, 15, 1584. [Google Scholar] [CrossRef]
- Wang, C.; Li, J.Y.; Wang, T.Y.; Chu, Q.; Wang, X.W. Fused deposition 3D printing of bonsai tree guiding mold based on acrylonitrile-butadiene-styrene copolymer. Bioresources 2024, 19, 5839–5846. [Google Scholar] [CrossRef]
- GB/T 4893.9-2013; Physical and Chemical Properties Test of Furniture Surface Coatings—Part 9: Determination of Impact Resistance. Standardization Administration of the People’s Republic of China: Beijing, China, 2013.
- GB/T 6739-2022; Paints and Varnishes-Determination of Coatings Hardness by Pencil Test. Standardization Administration of the People’s Republic of China: Beijing, China, 2022.
- Hu, W.; Luo, M.; Liu, Y.; Xu, W.; Konukcu, A.C. Experimental and numerical studies on the mechanical properties and behaviors of a novel wood dowel reinforced dovetail joint. Eng. Fail. Anal. 2023, 152, 107440. [Google Scholar] [CrossRef]
- Hu, W.; Yu, R. Study on the strength mechanism of the wooden round-end mortise-and-tenon joint using the digital image correlation method. Holzforschung 2024, 78, 519–530. [Google Scholar] [CrossRef]
- Hu, W.; Luo, M.; Hao, M.; Tang, B.; Wan, C. Study on the effects of selected factors on the diagonal tensile strength of oblique corner furniture joints constructed by wood dowel. Forests 2023, 14, 1149. [Google Scholar] [CrossRef]
- GB/T 4893.4-2013; Test of Surface Coatings of Furniture—Part 4: Determination of Adhesion—Cross Cut. Standardization Administration of the People’s Republic of China: Beijing, China, 2013.
- Wang, C.; Li, J.Y.; Wang, T.Y.; Wang, X.W.; Chu, Q. Effect of Optimised Infill Parameters on the Tensile Properties of MEX Co-polyester Models. Mater. Plast. 2024, 61, 129–136. [Google Scholar] [CrossRef]
- Hu, W.; Luo, M.; Yu, R.; Zhao, Y. Effects of the selected factors on cyclic load performance of T-shaped mortise-and-tenon furniture joints. Wood Mater. Sci. Eng. 2024, 18, 1–10. [Google Scholar] [CrossRef]
- Zhou, J.C.; Xu, W. Toward interface optimization of transparent wood with wood color and texture by silane coupling agent. J. Mater. Sci. 2022, 57, 5825–5838. [Google Scholar] [CrossRef]
- GB/T 11186.3-1989; Methods for Measuring the Color of Coatings. Part III: Calculation of Color Differences. Standardization Administration of the People’s Republic of China: Beijing, China, 1990.
- GB/T 1740-2007; Determination of Moisture and Heat Resistance of Coatings. Standardization Administration of the People’s Republic of China: Beijing, China, 2007.









| Test Materials | Molecular Formula | Molecular Mass | Purity | Manufacturer |
|---|---|---|---|---|
| Crystal violet lactone | C26H29N3O2 | 415.527 | AR | Shanghai Haiyu Chemical Co., Ltd., Shanghai, China |
| Bisphenol A | C15H16O2 | 228.286 | AR | Shanghai Haiyu Chemical Co., Ltd., Shanghai, China |
| Decanol | C10H22O | 158.28 | AR | Guangdong Wengjiang Chemical Reagent Co., Ltd., Shaoguan, China |
| Urea | CH4N2O | 60.06 | AR | Guangzhou Suixin Chemical Co., Ltd., Guangzhou, China |
| Formaldehyde solution | CH2O | 30.03 | 37% | Guangzhou Suixin Chemical Co., Ltd., Guangzhou, China |
| Triethanolamine | C6H15NO3 | 149.19 | AR | Shandong Hengshuo Chemical Co., Ltd., Jinan, China |
| Citric acid monohydrate | C6H10O8 | 210.139 | AR | Guangdong Fangxin Biotechnology Co., Ltd., Shaoguan, China |
| Gum arabic powder | N/A | - | AR | Langfang Qianyao Technology Co., Ltd., Langfang, China |
| Triton X-100 | C16H26O2 | 250.376 | AR | Jinan Xiaoshi Chemical Co., Ltd., Jinan, China |
| Hydrogen peroxide | H2O2 | 34.01 | AR | Hangzhou Kasheng Chemical Technology Co., Ltd., Hangzhou, China |
| Sodium hydroxide | NaOH | 39.9971 | AR | Shandong Taixi Chemical Co., Ltd., Jinan, China |
| Sodium silicate | Na2SiO3 | 122.06 | AR | Shandong Zhengyu Chemical Technology Co., Ltd., Jinan, China |
| Sample /# | Urea /g | Formaldehyde /g | Distilled Water /mL | Glue Arabic /g | Span 80 /g | Triton X-100 /g | Distilled Water /mL | Corel Material /g | NaCl /g | SiO2 /g |
|---|---|---|---|---|---|---|---|---|---|---|
| 1 | 8.00 | 8.42 | 125.00 | 2.01 | 0.75 | - | 52.52 | 4.15 | 0.58 | 0.58 |
| 2 | 8.00 | 8.42 | 125.00 | 1.74 | - | 1.02 | 52.52 | 4.15 | 0.58 | 0.58 |
| Sample (#) | Coating Process | Microcapsule Addition Amount (%) | UF@TS Quality (g) | The Quality of A Layer of UV Paint (g) |
|---|---|---|---|---|
| 0 | Coatings without microcapsules | 0 | 0.000 | 0.500 |
| 1-1 | Add #1 microcapsules to both primer and topcoat | 5 | 0.025 | 0.475 |
| 1-2 | 10 | 0.050 | 0.450 | |
| 1-3 | 15 | 0.075 | 0.425 | |
| 1-4 | 20 | 0.100 | 0.400 | |
| 1-5 | 25 | 0.125 | 0.375 | |
| 2-1 | Add #2 microcapsules to both primer and topcoat | 5 | 0.025 | 0.475 |
| 2-2 | 10 | 0.050 | 0.450 | |
| 2-3 | 15 | 0.075 | 0.425 | |
| 2-4 | 20 | 0.100 | 0.400 | |
| 2-5 | 25 | 0.125 | 0.375 |
| Sample (#) | Glossiness (GU) | 60° Glossiness Loss | Reflectivity (%) | ||
|---|---|---|---|---|---|
| 20° | 60° | 85° | |||
| Poplar board before bleaching | 2.9 | 6.0 | 5.2 | - | 74.26 |
| Poplar board after bleaching | 3.1 | 3.9 | 0.5 | 2.1 | 93.60 |
| 0 | 2.2 | 5.0 | 16.0 | - | 79.77 |
| 1-1 | 1.7 | 2.7 | 7.3 | 2.3 | 72.83 |
| 1-2 | 1.5 | 2.4 | 11.2 | 2.6 | 67.76 |
| 1-3 | 1.1 | 2.5 | 6.8 | 2.5 | 62.84 |
| 1-4 | 1.0 | 2.4 | 11.4 | 2.6 | 57.38 |
| 1-5 | 1.1 | 3.0 | 1.9 | 2.0 | 62.94 |
| 2-1 | 1.9 | 3.4 | 4.4 | 1.6 | 71.27 |
| 2-2 | 1.5 | 2.1 | 4.1 | 2.9 | 67.95 |
| 2-3 | 1.1 | 2.0 | 1.5 | 3.0 | 58.74 |
| 2-4 | 1.3 | 2.5 | 2.1 | 2.5 | 55.67 |
| 2-5 | 1.0 | 2.9 | 7.6 | 2.1 | 56.40 |
| Sample (#) | Mechanical Properties | |||
|---|---|---|---|---|
| Adhesion (Grade) | Hardness | Impact Resistance (Grade) | Roughness (μm) | |
| Poplar board before bleaching | - | - | - | 1.216 |
| Poplar board after bleaching | - | - | - | 1.513 |
| 0 | 1 | 6H | 4 | 0.280 |
| 1-1 | 3 | 6H | 4 | 0.848 |
| 1-2 | 3 | 6H | 5 | 0.625 |
| 1-3 | 2 | 6H | 5 | 1.067 |
| 1-4 | 3 | 6H | 4 | 1.771 |
| 1-5 | 4 | 5H | 4 | 2.264 |
| 2-1 | 2 | 6H | 3 | 0.308 |
| 2-2 | 1 | 6H | 4 | 0.681 |
| 2-3 | 3 | 6H | 4 | 0.724 |
| 2-4 | 4 | 6H | 3 | 1.659 |
| 2-5 | 4 | 6H | 3 | 2.036 |
| Sample (#) | Chromaticity Value | −20 °C | −10 °C | 0 °C | 10 °C | 20 °C | 30 °C | 40 °C | 50 °C | Color Change Temperature (°C) |
|---|---|---|---|---|---|---|---|---|---|---|
| 0 | L | 81.200 | 80.175 | 82.650 | 82.250 | 83.650 | 83.325 | 82.000 | 83.200 | - |
| a | 1.375 | −0.500 | 0.650 | −0.475 | 0.000 | −0.750 | −0.550 | −0.800 | ||
| b | 8.325 | 10.800 | 9.475 | 9.600 | 9.675 | 9.475 | 8.050 | 8.675 | ||
| ΔE | - | 3.270 | 1.988 | 2.480 | 3.117 | 3.218 | 2.103 | 2.975 | ||
| 1-1 | L | 69.175 | 71.200 | 67.800 | 67.775 | 69.750 | 75.100 | 75.225 | 75.275 | 20 |
| a | 2.375 | 2.675 | 1.000 | 0.375 | 0.425 | −0.700 | −1.125 | −2.275 | ||
| b | 3.275 | 2.050 | 3.675 | 4.675 | 1.900 | 5.100 | 3.500 | 3.850 | ||
| ΔE | - | 2.386 | 1.985 | 2.814 | 2.454 | 6.920 | 6.993 | 7.692 | ||
| 1-2 | L | 72.250 | 73.380 | 69.600 | 69.580 | 69.950 | 71.980 | 70.330 | 71.530 | 30 |
| a | 3.480 | 2.150 | 1.680 | −0.330 | −0.450 | −1.000 | −1.650 | −2.780 | ||
| b | 1.730 | 0.830 | 0.550 | 2.780 | −0.550 | 1.400 | 0.380 | −0.130 | ||
| ΔE | - | 1.960 | 3.410 | 4.760 | 5.090 | 4.500 | 5.640 | 6.560 | ||
| 1-3 | L | 63.980 | 63.830 | 65.130 | 62.430 | 60.730 | 61.130 | 61.030 | 62.830 | 10 |
| a | 4.400 | 3.530 | 2.680 | 1.530 | 0.280 | −1.180 | −1.730 | −2.550 | ||
| b | 1.500 | −1.950 | −0.800 | −1.500 | −2.350 | −1.430 | −2.930 | −2.700 | ||
| ΔE | - | 3.560 | 3.100 | 4.430 | 6.510 | 6.910 | 8.110 | 8.200 | ||
| 1-4 | L | 61.275 | 59.975 | 63.000 | 60.650 | 64.275 | 60.200 | 61.750 | 62.700 | 40 |
| a | 6.025 | 4.000 | 2.950 | 1.700 | 0.250 | −0.800 | −2.300 | −2.875 | ||
| b | −2.850 | −3.300 | −3.000 | −3.375 | −3.700 | −4.050 | −3.975 | −3.600 | ||
| ΔE | - | 2.448 | 3.529 | 4.401 | 6.563 | 7.013 | 8.414 | 9.045 | ||
| 1-5 | L | 64.275 | 63.125 | 60.975 | 59.875 | 62.650 | 65.100 | 63.225 | 63.375 | 40 |
| a | 5.900 | 4.750 | 3.300 | 1.050 | −0.075 | −1.550 | −2.725 | −3.500 | ||
| b | −4.400 | −5.575 | −5.800 | −6.575 | −7.675 | −6.475 | −7.625 | −7.600 | ||
| ΔE | - | 2.006 | 4.428 | 6.900 | 7.005 | 7.777 | 9.268 | 9.970 | ||
| Sample (#) | Chromaticity Value | −20 °C | −10 °C | 0 °C | 10 °C | 20 °C | 30 °C | 40 °C | 50 °C | Color Change Temperature (°C) |
| 2-1 | L | 78.925 | 76.075 | 77.100 | 78.300 | 79.950 | 80.625 | 80.550 | 79.150 | 30 |
| a | 2.675 | 1.650 | 1.175 | −0.375 | −0.800 | −1.125 | −1.825 | −2.475 | ||
| b | 7.900 | 7.075 | 7.250 | 7.900 | 8.475 | 8.700 | 9.225 | 7.300 | ||
| ΔE | - | 3.139 | 2.450 | 3.113 | 3.668 | 4.239 | 4.964 | 5.190 | ||
| 2-2 | L | 73.200 | 71.525 | 72.425 | 71.875 | 73.125 | 74.350 | 74.850 | 75.000 | 20 |
| a | 4.200 | 3.150 | 2.775 | 0.325 | −0.050 | −1.425 | −2.575 | −3.000 | ||
| b | 2.350 | 1.500 | 1.150 | 1.825 | 1.875 | 2.200 | 2.375 | 1.925 | ||
| ΔE | - | 2.152 | 2.018 | 4.129 | 4.277 | 5.743 | 6.973 | 7.434 | ||
| 2-3 | L | 70.550 | 69.575 | 70.525 | 70.000 | 68.975 | 69.200 | 69.975 | 70.125 | 30 |
| a | 4.900 | 3.300 | 2.650 | −0.650 | −0.750 | −2.425 | −3.200 | −4.025 | ||
| b | −3.275 | −3.625 | −2.750 | −2.500 | −4.550 | −3.900 | −3.425 | −4.175 | ||
| ΔE | - | 1.906 | 2.311 | 5.631 | 6.002 | 7.475 | 8.122 | 8.980 | ||
| 2-4 | L | 64.875 | 65.100 | 65.375 | 63.400 | 64.225 | 66.125 | 65.775 | 66.925 | 30 |
| a | 4.925 | 3.600 | 2.750 | 0.075 | −0.925 | −2.750 | −3.700 | −4.500 | ||
| b | −9.650 | −9.425 | −9.075 | −9.500 | −10.550 | −9.200 | −9.875 | −8.900 | ||
| ΔE | - | 1.363 | 2.305 | 5.072 | 5.954 | 7.789 | 8.675 | 9.674 | ||
| 2-5 | L | 67.925 | 67.750 | 69.325 | 68.475 | 67.800 | 68.525 | 68.675 | 68.825 | 40 |
| a | 8.875 | 7.775 | 5.950 | 3.275 | 2.275 | 0.475 | −0.450 | −0.575 | ||
| b | −2.575 | −3.950 | −1.425 | −2.450 | −3.975 | −3.600 | −3.275 | −3.250 | ||
| ΔE | - | 1.770 | 3.441 | 5.628 | 6.748 | 8.484 | 9.381 | 9.517 |
| Sample (#) | Chromaticity Value | 50 °C | 40 °C | 30 °C | 20 °C | 10 °C | 0 °C | −10 °C | −20 °C | Color Change Temperature (°C) |
|---|---|---|---|---|---|---|---|---|---|---|
| 0 | L | 81.700 | 80.175 | 79.900 | 83.000 | 81.300 | 83.500 | 79.400 | 81.500 | - |
| a | −0.200 | −0.500 | −0.700 | 0.200 | 0.300 | 0.900 | −0.400 | 1.500 | ||
| b | 6.200 | 10.800 | 7.100 | 9.600 | 9.400 | 8.300 | 10.400 | 8.000 | ||
| ΔE | 2.484 | 3.270 | 2.865 | 2.550 | 1.855 | 2.110 | 3.712 | - | ||
| 1-1 | L | 78.200 | 80.400 | 79.700 | 79.600 | 77.800 | 77.900 | 75.600 | 78.200 | 20 |
| a | −2.000 | 0.000 | −0.600 | 0.200 | 0.200 | 1.500 | 1.700 | 2.700 | ||
| b | 6.700 | 6.800 | 8.200 | 8.100 | 6.800 | 7.900 | 6.400 | 6.800 | ||
| ΔE | 4.701 | 2.214 | 3.886 | 3.146 | 2.532 | 1.655 | 2.814 | - | ||
| 1-2 | L | 74.900 | 79.600 | 74.700 | 72.500 | 74.400 | 72.900 | 70.900 | 72.900 | 30 |
| a | −3.000 | −1.100 | −1.900 | −0.300 | 0.200 | 2.800 | 2.700 | 4.100 | ||
| b | 1.800 | 8.000 | 2.500 | 0.700 | 3.500 | 1.100 | 2.700 | 2.900 | ||
| ΔE | 7.458 | 4.224 | 6.277 | 4.936 | 4.221 | 2.220 | 2.449 | - | ||
| 1-3 | L | 70.800 | 75.600 | 70.000 | 66.900 | 70.500 | 69.700 | 69.400 | 69.700 | 10 |
| a | −3.800 | −2.400 | −2.600 | −0.800 | −0.700 | 3.500 | 4.400 | 5.400 | ||
| b | −3.300 | 2.700 | −3.900 | −6.100 | −3.200 | −4.500 | −3.500 | −3.200 | ||
| ΔE | 9.266 | 7.041 | 8.036 | 7.395 | 6.152 | 2.302 | 1.086 | - | ||
| 1-4 | L | 67.100 | 72.500 | 65.900 | 64.400 | 63.400 | 65.800 | 64.800 | 64.900 | 40 |
| a | −4.500 | −2.600 | −2.800 | −1.200 | 0.500 | 3.100 | 3.500 | 5.100 | ||
| b | −8.800 | −0.900 | −9.500 | −10.200 | −9.100 | −7.700 | −9.800 | −9.800 | ||
| ΔE | 9.899 | 8.782 | 7.969 | 6.332 | 4.889 | 3.036 | 1.603 | - | ||
| 1-5 | L | 69.300 | 64.500 | 67.800 | 66.400 | 68.100 | 66.100 | 68.300 | 67.300 | 40 |
| a | 0.200 | −3.600 | 1.200 | 2.600 | 3.600 | 7.200 | 8.400 | 9.800 | ||
| b | −2.400 | −10.400 | −5.300 | −5.900 | −3.600 | −4.300 | −3.400 | −4.300 | ||
| ΔE | 9.988 | 8.730 | 8.672 | 7.430 | 6.290 | 2.864 | 1.942 | - | ||
| 2-1 | L | 75.200 | 68.100 | 74.300 | 70.700 | 69.200 | 70.000 | 71.800 | 69.600 | 30 |
| a | −2.000 | −0.100 | −0.700 | 0.000 | 0.700 | 2.100 | 2.700 | 3.400 | ||
| b | 4.000 | −4.500 | 5.100 | 2.000 | 3.900 | 2.800 | 2.100 | 1.700 | ||
| ΔE | 8.112 | 9.934 | 7.104 | 3.586 | 3.506 | 1.749 | 2.343 | - | ||
| 2-2 | L | 72.500 | 75.600 | 71.400 | 73.700 | 71.400 | 69.900 | 73.900 | 73.800 | 20 |
| a | −3.100 | −1.100 | −0.500 | −0.900 | −0.900 | 1.900 | 2.600 | 3.000 | ||
| b | 0.000 | 2.100 | −0.100 | −1.800 | 5.000 | 1.600 | 0.400 | 2.400 | ||
| ΔE | 6.683 | 7.511 | 4.925 | 5.732 | 5.266 | 4.130 | 2.042 | - | ||
| 2-3 | L | 62.900 | 70.200 | 62.500 | 58.800 | 64.800 | 63.500 | 63.400 | 62.200 | 30 |
| a | −2.100 | −0.700 | −0.800 | 1.100 | 2.200 | 3.000 | 3.300 | 5.800 | ||
| b | −2.800 | −0.600 | −1.900 | −2.200 | −1.100 | −1.400 | −1.900 | 0.700 | ||
| ΔE | 8.669 | 5.971 | 7.100 | 6.485 | 4.792 | 3.734 | 3.801 | - | ||
| 2-4 | L | 62.000 | 61.000 | 61.600 | 61.400 | 60.900 | 62.700 | 61.300 | 61.300 | 30 |
| a | −2.300 | −1.400 | 0.100 | 1.000 | 1.900 | 2.800 | 4.600 | 6.500 | ||
| b | −3.600 | −2.700 | −5.000 | −1.700 | −2.700 | −3.000 | −3.000 | −2.000 | ||
| ΔE | 8.972 | 8.052 | 7.075 | 5.509 | 4.670 | 4.080 | 2.147 | - | ||
| 2-5 | L | 64.200 | 62.500 | 65.100 | 63.600 | 61.900 | 62.400 | 65.600 | 64.600 | 40 |
| a | −3.200 | −1.700 | −1.400 | 0.000 | 0.800 | 3.700 | 5.200 | 6.200 | ||
| b | −6.900 | −3.000 | −6.900 | −6.500 | −4.000 | −4.600 | −3.300 | −4.500 | ||
| ΔE | 9.710 | 8.347 | 7.986 | 6.591 | 6.058 | 3.332 | 1.855 | - |
| Sample (#) | Low-Temperature Chromaticity Value (−20 °C) | High-Temperature Chromaticity Value (50 °C) | ΔE Between High and Low Temperatures After Aging | ΔE Between High and Low Temperatures Before Aging | ||||
|---|---|---|---|---|---|---|---|---|
| L1 | a1 | b1 | L2 | a2 | b2 | |||
| 1-1 | 77.200 | 5.300 | 24.325 | 80.350 | 3.625 | 24.900 | 3.614 | 7.692 |
| 1-2 | 78.300 | 4.175 | 24.225 | 79.800 | 2.325 | 23.150 | 2.613 | 6.560 |
| 1-3 | 61.225 | 5.325 | 26.350 | 65.225 | 3.475 | 25.100 | 4.581 | 8.200 |
| 1-4 | 77.200 | 3.175 | 17.000 | 79.125 | 0.825 | 15.825 | 3.257 | 9.045 |
| 1-5 | 68.825 | 7.125 | 19.150 | 78.400 | 3.475 | 23.300 | 5.543 | 9.970 |
| 2-1 | 70.050 | 5.425 | 26.550 | 72.225 | 4.375 | 26.400 | 2.420 | 5.190 |
| 2-2 | 64.125 | 4.250 | 25.500 | 69.950 | 4.050 | 25.050 | 5.846 | 7.434 |
| 2-3 | 73.850 | 3.750 | 19.700 | 79.125 | 2.200 | 21.550 | 5.801 | 8.980 |
| 2-4 | 61.575 | 4.875 | 24.650 | 66.950 | 2.950 | 25.075 | 5.725 | 9.674 |
| 2-5 | 70.000 | 6.325 | 26.925 | 71.850 | 3.875 | 24.075 | 4.189 | 9.517 |
| Sample (#) | Glossiness of Coatings After Aging (GU) | Aging Loss Rate (%) | 60° Glossiness Before Aging (GU) | ||
|---|---|---|---|---|---|
| 20° | 60° | 85° | |||
| Poplar board before bleaching | 2.5 | 4.7 | 2.6 | 21 | 6 |
| Poplar board after bleaching | 2.8 | 3.6 | 0.7 | 7 | 3.9 |
| 0 | 2.5 | 4.9 | 3.7 | 2 | 5 |
| 1-1 | 2.0 | 2.4 | 5.5 | 11 | 2.7 |
| 1-2 | 1.6 | 2.1 | 5.8 | 12 | 2.4 |
| 1-3 | 1.9 | 2.3 | 2.1 | 8 | 2.5 |
| 1-4 | 1.5 | 1.8 | 2.1 | 25 | 2.4 |
| 1-5 | 1.7 | 2.3 | 0.6 | 23 | 3.0 |
| 2-1 | 1.2 | 3.2 | 4.0 | 5 | 3.4 |
| 2-2 | 1.4 | 1.9 | 0.1 | 9 | 2.1 |
| 2-3 | 1.4 | 1.8 | 0.1 | 10 | 2.0 |
| 2-4 | 1.2 | 2.2 | 0.9 | 12 | 2.5 |
| 2-5 | 1.3 | 1.9 | 0.0 | 34 | 2.9 |
Disclaimer/Publisher’s Note: The statements, opinions and data contained in all publications are solely those of the individual author(s) and contributor(s) and not of MDPI and/or the editor(s). MDPI and/or the editor(s) disclaim responsibility for any injury to people or property resulting from any ideas, methods, instructions or products referred to in the content. |
© 2025 by the authors. Licensee MDPI, Basel, Switzerland. This article is an open access article distributed under the terms and conditions of the Creative Commons Attribution (CC BY) license (https://creativecommons.org/licenses/by/4.0/).
Share and Cite
Hang, J.; Zou, Y.; Yan, X.; Li, J. Preparation of Thermochromic UV Coating with Urea–Formaldehyde-Coated Ternary System on Bleached Poplar Wood Surface. Coatings 2025, 15, 997. https://doi.org/10.3390/coatings15090997
Hang J, Zou Y, Yan X, Li J. Preparation of Thermochromic UV Coating with Urea–Formaldehyde-Coated Ternary System on Bleached Poplar Wood Surface. Coatings. 2025; 15(9):997. https://doi.org/10.3390/coatings15090997
Chicago/Turabian StyleHang, Jingyi, Yuming Zou, Xiaoxing Yan, and Jun Li. 2025. "Preparation of Thermochromic UV Coating with Urea–Formaldehyde-Coated Ternary System on Bleached Poplar Wood Surface" Coatings 15, no. 9: 997. https://doi.org/10.3390/coatings15090997
APA StyleHang, J., Zou, Y., Yan, X., & Li, J. (2025). Preparation of Thermochromic UV Coating with Urea–Formaldehyde-Coated Ternary System on Bleached Poplar Wood Surface. Coatings, 15(9), 997. https://doi.org/10.3390/coatings15090997
