Next Article in Journal
The Effect of Cr Cathode Arc Current on the Wear Resistance of Cr/(Zr,Cr)N/(Zr,Cr,Al)N Coatings on 7050 Aluminum Alloy
Previous Article in Journal
Microstructure, Mechanical, and Tribological Properties of Mo2N/Ag-SiNx Nanomultilayers with Varying Modulation Periods
Previous Article in Special Issue
Effect of Buffer Layer Type on the Mechanical Properties and Corrosion Resistance of Magnetron Sputtered Cr Coatings on 7050 Al Alloy
 
 
Font Type:
Arial Georgia Verdana
Font Size:
Aa Aa Aa
Line Spacing:
Column Width:
Background:
Article

Application of Diethylenetriamine for Electroless Deposition of Cobalt Alloys with Controllable Amount of Boron Using Morpholine Borane as Reducing Agent

by
Eugenijus Norkus
*,
Ina Stankeviciene
,
Aldona Jagminiene
,
Aldona Balciunaite
,
Giedrius Stalnionis
,
Vidas Pakstas
and
Loreta Tamasauskaite-Tamasiunaite
*
Center for Physical Sciences and Technology (FTMC), LT-10257 Vilnius, Lithuania
*
Authors to whom correspondence should be addressed.
Coatings 2025, 15(9), 1081; https://doi.org/10.3390/coatings15091081
Submission received: 30 July 2025 / Revised: 4 September 2025 / Accepted: 12 September 2025 / Published: 15 September 2025
(This article belongs to the Special Issue Advanced Surface Engineering of Alloys: Coatings and Thin Films)

Abstract

Cobalt–boron (Co–B) coatings containing different amounts of boron were electrolessly deposited using morpholine borane as the reducing agent. Diethylenetriamine (dien) was applied to obtain a controllable amount of boron in the coatings. Depending on the concentration of diethylenetriamine in the solution, the deposited coatings contained between 0 and 12 at% of boron. It was shown that diethylenetriamine suppresses the incorporation of boron into Co–B alloys. The same tendency was observed when the solution pH increased. Higher temperatures promote the incorporation of boron into cobalt films. The kinetic data on the electroless deposition process of Co–B alloys under different conditions are presented and discussed. The coatings obtained were characterized by means of XRD, SEM, and AFM methods. Since the use of diethylenetriamine hinders boron incorporation into coatings, pure cobalt films can be obtained.

1. Introduction

Electroless cobalt (Co) and cobalt–boron (Co–B) coatings have been the subject of considerable research due to their unique properties, which include hardness, wear resistance, corrosion resistance, magnetic characteristics and catalytic activity [1,2,3,4]. These coatings are typically deposited without using an external electric current, instead relying on a chemical reduction process to deposit the metal onto a substrate. Electroless plating is a method used to deposit electrically conductive coatings onto both dielectric (non-conductive) materials such as glass, plastics and ceramics, as well as onto conductive substrates, using relatively simple equipment [5]. Currently, these coatings are widely applied in various fields, including the chemical industry, microelectronics and electronics, and other machinery sectors. There is significant interest in the deposition of pure metal coatings because they offer superior mechanical, physical and catalytic properties [6,7]. Compared to other chemical and physical deposition methods, electroless plating is an attractive approach due to its relatively low cost, low-temperature requirements, minimal defects, and high conformality and uniformity. In particular, electroless cobalt coatings have been shown to provide excellent barrier and capping layers for copper. Autocatalytic cobalt reduction solutions are valuable tools in modern electronics and microelectronics, offering a means to deposit high-quality, conductive cobalt layers without the need for external electrical currents. These solutions provide uniform coatings and can be used on a wide variety of substrates. They are essential for precision applications such as semiconductor manufacturing and printed circuit board production. However, carefully controlling process parameters is essential to ensure consistent and high-quality deposits [8]. The wide range of cobalt coating applications can be attributed to the well-known combination of cobalt’s properties and the unique characteristics of its alloys, including their effectiveness as barrier layers against copper diffusion, the uniformity of the coating, and their magnetic properties [9]. In recent years, cobalt–phosphorus (CoP) alloys obtained using sodium phosphinate (hypophosphite) as a reducing agent have been studied [5,6,7,8,9]. N. Petrov et al. presented electroless Co(P) and Co(W,P) systems for use as barrier/capping layers for copper interconnects [10]. Their study considered cobalt, cobalt complexes, and aqueous solutions of tungstate and hypophosphite.
A novel electroless solution based on the cobalt sulfamate compound Co(NH2SO3)2 was developed to produce soft magnetic CoWP alloy films [11]. This study investigated how solution composition and deposition parameters affect the microstructure, electrical properties, and magnetic properties of deposits. Electroless deposition of CoWP alloys is also documented in [12,13].
Data from atomic force microscopy (AFM), X-ray diffraction (XRD) and X-ray photoelectron spectroscopy (XPS) confirmed that Co–W–P films deposited from glycine-containing solutions could serve as an effective diffusion barrier to prevent copper (Cu) diffusion [14]. Autocatalytic Co–P/Au alloys containing about 4 wt% phosphorus have been shown to strongly limit interdiffusion and the formation of intermetallic compounds [15].
Cobalt alloys containing phosphorus and boron have been produced using the electroless deposition method with two reducing agents, namely sodium hypophosphite [16] and dimethylamine borane [17], respectively. Experimental results suggest that the composition of the films in terms of phosphorus and boron content is determined by the surface adsorption rates of the reducing agents. Co–B–P–W alloys deposited using dimethylamine borane (DMAB) as the reducing agent have also been studied [18]. This palladium-free activation process does not require palladium salts to activate the substrate, owing to the strong reducing power of DMAB. Co–B–P–W alloys have been extensively researched due to their interesting properties, particularly in the fields of catalysis, electronics, and materials science.
It is worth noting that pure cobalt coatings can be obtained using hydrazine [19,20,21,22] or Ti3+ metal ions as reducing agents [23]. These Ti3+ ions are an environmentally friendly alternative to the other reducing agents used in electroless cobalt plating.
Some researchers have also explored the use of other organic reducing agents containing boron, such as morpholine borane (MB), C4H8ONH·BH3, which has not yet been widely used for electroless metal deposition. It should be noted that MB is less volatile and less toxic than DMAB. Studies have shown that high-quality Co–B coatings can be obtained using MB even at relatively low temperatures, such as 30 °C [24,25]. CoBW alloys containing 5.5–16 at% boron and 5–14 at% tungsten have been successfully deposited [26]. H. Einati et al. demonstrated that a Co–W–B coating containing 2.2 at% boron exhibited high resistance to air oxidation [27].
Co and Co alloy coatings are widely applied as catalysts in glucose electrooxidation and total water splitting, as discussed in [28,29,30,31,32,33]. The aim of this study was therefore to investigate electroless cobalt deposition in detail using MB as a reducing agent with an additional ligand, diethylenetriamine (dien), in the plating solution. We propose a novel cobalt plating bath containing MB that enables boron-free coating deposition and allows for the acquisition of Co–B coatings with a controllable amount of boron. This study presents an experimental investigation of the morphology and composition of cobalt deposits, alongside an analysis of the deposition rate. It also includes AFM images of cobalt deposits obtained via electroless plating along with XRD investigation results.

2. Materials and Methods

The electroless deposition of boron-free cobalt and cobalt–boron coatings was performed on untreated silicon (Si) wafer substrates, which were initially coated with a TaN/Ta barrier layer and a Cu seed layer utilizing the physical vapor deposition (PVD) method (denoted as Cu/TaN/Ta/Si). Furthermore, Co–B coating deposition on the Cu/TaN/Ta/Si substrate was conducted without a prior activation step using Pd(II) ions.
Following the cleaning procedure, the Cu/TaN/Ta/Si substrate was immersed in the electroless cobalt deposition solution. The main solution’s composition was as follows (M): CoSO4-0.05; diethylenetriamine-0.015; and morpholine borane-0.05. The pH of the solution was 7.3and was adjusted using sulfuric acid. Co–B coating deposition was carried out from freshly prepared solutions at 30 °C.
Diethylenetriamine (99%), morpholine borane complex, and cobalt(II) sulfate heptahydrate were purchased from Sigma-Aldrich (Taufkirchen, Germany). Sulfuric acid (95%, Chempur) was also used. All the chemicals utilized in this study were of analytical grade and all solutions were prepared using deionized water.
The deposition rate of the coatings was determined gravimetrically.
The atomic force microscope (AFM) TopoMetrix Explorer SPM (Veeco, Santa Clara, CA, USA) was used for Co–B surface inspection.
XRD measurements were performed using a Smart Lab X-ray diffractometer (Rigaku, Tokyo, Japan) equipped with a 9 kW X-ray tube with a rotating Cu anode. The grazing incidence (GIXRD, Rigaku, Tokyo, Japan) method was used within the 2θ range of 35–80°. The angle between the parallel X-ray beam and the specimen surface (ω angle) was adjusted to 0.5°.
The morphology and structure of the Co–B coatings were characterized using an SEM-focused ion beam facility (Helios Nanolab 650, FEI, Eindhoven, The Netherlands).

3. Results and Discussion

The electroless cobalt deposition reaction consists of two simultaneous processes, namely the anodic oxidation of the reducing agent (morpholine borane) (Equation (1)) and the cathodic reduction of cobalt(II) ions (Equation (2)):
C4H8ONH·BH3 + 3H2O + OH → C4H8OH2N+ + B(OH)4 + 5H+ + 6e
Co2+ + 2e → Co
Both reactions occur simultaneously on the same surface to be plated. The overall autocatalytic process of electroless cobalt deposition in near-neutral solutions can be described by the following equations (Equations (3) and (4)):
C4H8ONH·BH3 + 4H2O + 1.5Co2+ → 1.5 Co + C4H8OH2N+ + B(OH)4 + 1.5H2 + 3H+
C4H8ONH·BH3 + H+→ BH3 + C4H8OH2N+ → B + 1.5H+
In addition, some amount of morpholine borane can be consumed in the following catalytic reaction (Equation (5)):
C4H8ONH·BH3 + 4H2O → C4H8OH2N+ + B(OH)4 + 3H2
Generally, during this process, the electrons involved in the anodic oxidation of morpholine borane are transferred through the surface to be plated to the adsorbed Co(II) ions, which leads to the autocatalytic reduction of cobalt.
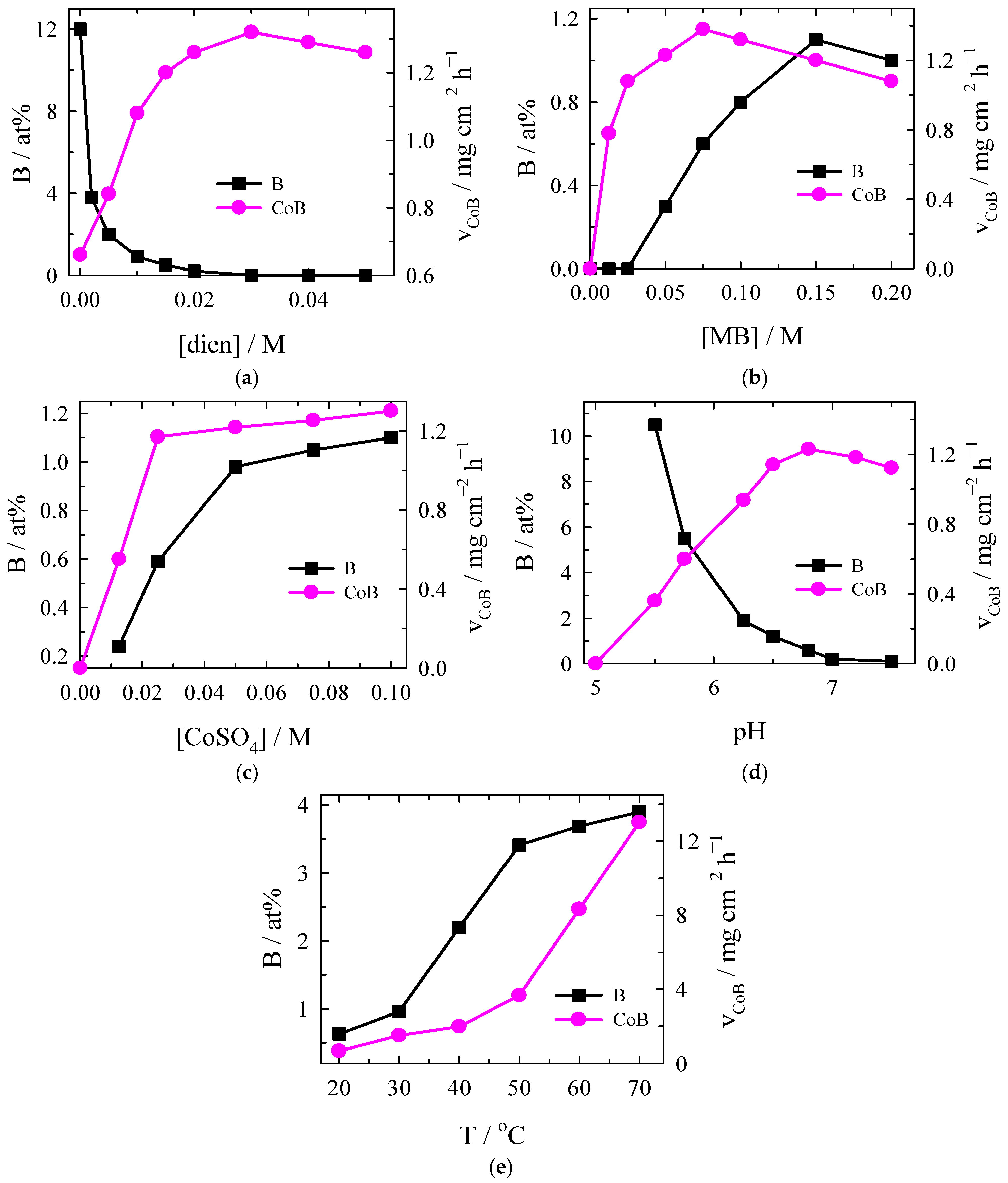
The data on kinetic investigations are presented in Figure 1. When investigating the influence of diethylenetriamine, it can be seen that the coating deposition rate increases when the diethylenetriamine concentration is 0.03 M; later, it slightly decreases (Figure 1a). The amount of boron decreases with the increase in diethylenetriamine concentration up to 0.03 M, and beginning from this concentration onwards, no boron is detected in the deposited coatings (Figure 1a). The boron content in the coatings has been observed to decrease from 12 at% (without diethylenetriamine in the plating bath) to 0 at% as the diethylenetriamine concentration reaches 0.03 M or higher. This suggests that diethylenetriamine plays a crucial role in diminishing the boron content in the cobalt alloy films likely through its interaction with the cobalt(II)-dien complex. Boron does not co-deposit as part of the Co–B alloy because it is either oxidized or remains in solution due to the lack of sufficient reduction conditions for both cobalt and boron to exist simultaneously. The relationship between MB concentration and the cobalt alloy deposition rate is shown in Figure 1b. Increasing the MB concentration up to 0.075 M resulted in an increase in the cobalt deposition rate, which reached 1.38 mg cm−2 h−1, with a slight decrease in the deposition rate at higher MB concentrations (Figure 1b). It is worth noting that no boron is incorporated into the cobalt coating at MB concentrations up to and equal to 0.025 M, whereas further increases in MB concentration result in an increase in boron in the cobalt alloy coating, reaching a maximum value of 1.1 at% at an MB concentration of 0.15 M (Figure 1b). An investigation of the influence of Co(II) concentration on the deposition rate and boron content in the cobalt alloy coatings (Figure 1c) demonstrates a direct correlation between the increase in Co(II) concentration and the improvement of the cobalt alloy deposition rate, with the highest value (1.28 mg cm−2 h−1) being reached at the highest investigated Co(II) concentration (0.1 M). The boron content in the cobalt alloy coatings increases steadily with the increase in Co(II) salt concentration (Figure 1c). It is evident that the pH of a solution plays a significant role in the overall process of cobalt alloy deposition (Figure 1d). Beginning from pH 5 up to pH 6.75, the cobalt alloy deposition rate increases gradually and reaches the maximum value at pH 6.75; further increases in the solution pH result in an insignificant decrease in the plating rate (Figure 1d). In contrast to the plating rate, the amount of boron in coatings decreases in all cases with an increase in the pH value. Notably, the highest amount of boron was observed at pH 5.5 (10.6 at%), which decreases sharply up to pH 7.5 (1.2 at%), later, the decrease begins to slow and reaches 0.1 at% at pH 7.6 (Figure 1d). The effect of temperature on the rate of electroless cobalt alloy plating is shown in Figure 1e. It has been demonstrated that as the temperature increases from 20 °C to 70 °C, the rate of cobalt deposition also increases. Starting from 20 °C up to 50 °C, the plating rate increases from 0.9 mg cm−2 h−1 up to 3.9 mg cm−2 h−1. The further increase in temperature results in a sharp increase in the plating rate, which reaches 13 mg cm−2 h−1 at 70 °C (Figure 1e).
It has been found that the content of boron in the coatings increases from 0.6 at% at 20 °C to 3.9 at% at 70 °C (Figure 1e). This indicates that higher temperatures promote the incorporation of boron into the cobalt films.
When MB is used as a reducing agent, the release of boron occurs as a consequence of the reduction reaction. However, the boron tends to remain in solution or might form side products rather than being deposited onto the substrate. The underlying reason for this phenomenon is that cobalt reduction occurs preferentially, while boron exhibits a weak propensity to co-deposit with cobalt under typical electroless conditions. It is evident that boron has a lower reduction potential in comparison to cobalt. The standard reduction potential of Co2+/Co for the reduction of cobalt ions to cobalt metal is approximately −0.28 V. However, the reduction potential for boron B3+/B, is significantly lower, reaching a more negative value of approximately −1.09 V. It can thus be concluded that the presence of dien (>0.3 M) helps to achieve a B-free cobalt film, whilst the use of MB as a reducing agent does not result in boron incorporation within the final coating.
The crystalline structure of boron-free Co and Co–B coatings was investigated using X-ray diffraction (Figure 2). These studies aimed to evaluate structural changes in Co coatings when boron is introduced. Figure 2a shows the XRD patterns for the pure Co coating and coatings, containing 1 and 12 at% of B. XRD studies of the aforementioned Co coatings revealed that the electrolessly deposited coatings exhibited crystallinity. However, their significant expansion indicated that the coatings consisted of crystallites smaller than 10 nm. The XRD patterns (Figure 2a) show only one broad Co peak, which may be a mixture of hexagonal (ICDD#01-089-4308) and cubic (ICDD#01-071-4238) Co structures. Adding B to the Co coating was found to reduce its crystallinity; that is, the Co diffraction peak broadens (Figure 2b). The FWHM increases from 4.72 degrees without boron to 7.72 degrees with the addition of 12 at% boron. The width of the Co peak changes little when 1 at% of boron is added. However, the size of the Co crystallites forming the coatings, as calculated by the Halder-Wagner method, is only approximate since the calculations were complicated by the possible overlap of hexagonal and cubic Co structures within the coatings. Additionally, a more accurate estimate of the crystallite size requires a larger number of crystalline peaks of the compound. However, even these approximate calculations showed a decrease in the crystallinity of the Co coatings, from 6.3 nm to 3.4 nm, with the addition of boron.
The morphology of the Co–B coatings was further investigated using scanning electron microscopy (SEM). The boron-free Co coating surface (Figure 3a) is covered with densely packed spherical and hemispherical granules that form a uniform granular texture. These particles appear to range in diameter from 0.4 to 2 µm (Figure 3c), indicating a nodular growth pattern. At higher magnification (Figure 3b), the coating reveals larger, well-defined grains with a polygonal shape, closely packed together with clear grain boundaries. Some producing clusters or agglomerates are visible on the grain surface, likely secondary nucleation sites. This morphology is characteristic of crystalline Co coatings, where growth occurs through the formation of columnar grains and hemispherical nodules.
Figure 3d,e show the surface morphology of the Co–B coating consisting of 12 at% of B under different magnifications. As illustrated, the surface appears rough with a granular structure, containing numerous small spherical and semi-spherical particles, ranging in size from 0.3 to 1.5 µm (see Figure 3f). The coating appears compact, with some agglomerated clusters of particles (Figure 3d). At higher magnification, the spherical particles become more distinct, indicating the fine-grained, nanocrystalline, or amorphous-like structure typical of Co–B coatings with moderate boron content (Figure 3e). It is evident that the incorporation of B into the Co coating results in denser, finer, and nodular surface morphology, as well as a decrease in grain size.
The surface structure of the deposited films was also analyzed using atomic force microscopy (AFM) (see Figure 4). The AFM image of the boron-free Co coating shows that it is composed of densely packed grains with a clear polycrystalline texture (see Figure 4a,b). Each grain appears as a rounded or faceted feature, closely adjoining its neighbors without large voids. Furthermore, the grains exhibit a uniform size distribution, with an average diameter of D = 250 ± 50 nm (Figure 4c). The grains have well-defined edges, highlighting the polycrystalline nature of the Co structure, as also observed in the SEM images. As the boron content in the Co–B coatings increases, the grain size distribution becomes more heterogeneous. In the case of coatings containing 1 at% of B, the surface consists of densely packed grains, closely resembling the pure Co coating but with slightly refined features.
The structure remains predominantly polycrystalline, with only minor amorphous/nanocrystalline influence from the low addition of boron. The grains are also relatively uniform in the range of 300 ± 50 nm. A coating containing a higher amount of B (12 at%) exhibits a nodular surface structure with spherical and semi-spherical protrusions (see Figure 4g,h). These nodules are larger and more prominent than those of the pure Co coating. Furthermore, the grains consist of both small and large crystallites, ranging in size from 0.25 to 1.5 µm. This suggests that the crystallization process in Co–B coatings is uneven, possibly due to the differing effects of boron on the growth of cobalt crystallites. Notably, the discrepancy in grain size becomes more pronounced as the boron content increases up to 12 at%. In this case, the small grains diminish in size, while the density of the larger grains increases. The results obtained correlate well with the XRD and SEM results.
It can by noted that in the case of cobalt electroless deposition of, when using boron-containing reducing agents, the resulting coatings are generally Co–B boron alloys because boron is incorporated into deposited films. In our study, we demonstrated that the use of diethylenetriamine hinders boron incorporation in coatings, enabling the production of pure cobalt films. Additionally, we showed that changing the concentration of diethylenetriamine enables the deposition of Co–B alloys with a controllable amount of boron. These results are novel and could be of interest to academia and industry when pure cobalt coatings need to be obtained by means of electroless deposition.

4. Conclusions

The present study has demonstrated that morpholine borane can effectively serve as a reducing agent in the electroless deposition of cobalt coatings in the presence of diethylenetriamine.
It has been demonstrated that even small additions of diethylenetriamine to the morpholine borane-based plating bath result in a substantial reduction in the boron content in the cobalt coatings. A rigorous examination was conducted to ascertain the impact of diethylenetriamine concentration on the boron content. The findings yielded significant insights, elucidating the correlation between solution composition and coating properties.
Depending on the concentration of diethylenetriamine in the plating solution, the deposited coatings contained between 0 and 12 at% of boron. It was clearly shown that diethylenetriamine suppresses the incorporation of boron into the Co–B alloy. The same tendency was also observed in the case of an increase in the solution pH, whereas higher temperatures promote the incorporation of boron into the cobalt films.
A neutral electroless cobalt deposition bath was developed using morpholine borane as the reducing agent. This enabled cobalt deposition at rates equal to 13 mg cm−2 h−1 at 70 °C. This process is promising for the fabrication of uniform boron-free cobalt coatings or Co–B alloys with controllable composition and thickness.
This study also investigated the effects of solution composition and deposition parameters on the morphology and microstructure of the deposited films. It has been demonstrated that these factors have a significant impact on the overall performance of the coatings, with notable variations in grain structure and crystallinity depending on the plating conditions.

Author Contributions

Conceptualization, E.N. and A.J.; methodology, I.S. and A.J.; validation, L.T.-T., I.S. and A.B.; formal analysis, V.P. and A.B.; investigation, I.S., G.S. and A.B.; data curation, A.J. and V.P.; writing—original draft preparation, E.N. and I.S.; writing—review and editing, L.T.-T.; visualization, A.B., G.S. and V.P.; supervision, E.N.; project administration, E.N.; funding acquisition, E.N. All authors have read and agreed to the published version of the manuscript.

Funding

This research was funded by a grant (No. P-MIP-24-653) from the Research Council of Lithuania (LMTLT).

Institutional Review Board Statement

Not applicable.

Informed Consent Statement

Not applicable.

Data Availability Statement

Data are contained within the article.

Conflicts of Interest

The authors declare no conflicts of interest.

Abbreviations

The following abbreviations are used in this manuscript:
AFMAtomic Force Microscopy
XRDX-ray diffraction
SEMScanning electron microscopy

References

  1. Brenner, A.; Riddell, G. Deposition of nickel and cobalt by chemical reduction. J. Res. Natl. Bur. Stand. 1947, 39, 385. [Google Scholar] [CrossRef]
  2. Djokić, S.S. Electroless Deposition of Metals and Alloys. Mod. Aspects Electrochem. 2002, 35, 51–133. [Google Scholar] [CrossRef]
  3. Djokić, S.S. Encyclopedia of Interfacial Chemistry; Elsevier: Amsterdam, The Netherlands, 2018. [Google Scholar] [CrossRef]
  4. Shen, Y.; Li, B.; Ma, Y.; Wang, Z. Research progress in electroless cobalt plating and the bottom-up filling of electroless plating. J. Electrochem. 2022, 28, 2213002. [Google Scholar]
  5. Shipley, C.R. Historical Highlights of Electroless Plating. Plat. Surf. Finish. 1984, 71, 96–99. [Google Scholar]
  6. Mallory, G.O.; Hadju, J.B. Electroless Plating: Fundamentals and Applications, 3rd ed.; American Electroplaters and Surface Finishers Society: Orlando, FL, USA, 1990; pp. 154–196. [Google Scholar]
  7. Sudagar, J.; Tamilarasan, R.; Sanjith, U.; Rajendran, R.; Kumar, R. Electroless Deposition of Nanolayered Metallic Coatings. Nanoscaled Film. Layers 2017. [Google Scholar] [CrossRef]
  8. Zhang, B. Amorphous and Nano Alloys Electroless Depositions; Elsevier: Amsterdam, The Netherlands, 2016. [Google Scholar]
  9. Shacham-Diamand, Y.; Zylberman, A.; Petrov, N.; Sverdlov, Y. Electroless Co(Mo,P) films for Cu interconnect application. Microelectron. Eng. 2002, 64, 315–320. [Google Scholar] [CrossRef]
  10. Petrov, N.; Sverdlov, Y.; Shacham-Diamand, Y. Electrochemical Study of the Electroless Deposition of Co(P) and Co(W, P) Alloys. J. Electrochem. Soc. 2002, 149, C187–C194. [Google Scholar] [CrossRef]
  11. Sverdlov, Y.; Bogush, V.; Shacham-Diamand, Y. Microstructure and material properties of electroless CoWP films obtained from sulfamate solutions. Microelectron. Eng. 2006, 83, 2243–2247. [Google Scholar] [CrossRef]
  12. Valova, E.; Armyanov, S. Localization and chemical state of the third element (Zn, W) in electrolessly deposited nanocrystalline Ni-Zn-P, Ni-W-P and Co-W-P coatings. Russ. J. Electrochem. 2008, 44, 709–715. [Google Scholar] [CrossRef]
  13. Armyanov, S.; Valova, E.; Tatchev, D.; Georgieva, J. Electroless deposited ternary alloys: Third element chemical state, localisation and influence on the properties. A short review. Trans. IMF 2017, 96, 12–19. [Google Scholar] [CrossRef]
  14. Tarozaitė, R.; Sukackienė, Z.; Sudavičius, A.; Juškėnas, R.; Selskis, A.; Jagminienė, A.; Norkus, E. Application of glycine containing solutions for electroless deposition of Co–P and Co–W–P films and their behavior as barrier layers. Mater. Chem. Phys. 2009, 117, 117–124. [Google Scholar] [CrossRef]
  15. Magagnin, L.; Sirtori, V.; Seregni, S.; Origo, A.; Cavallotti, P. Electroless Co–P for diffusion barrier in Pb-free soldering. Electrochim. Acta 2005, 50, 4621–4625. [Google Scholar] [CrossRef]
  16. Shacham-Diamand, Y.; Sverdlov, Y.; Bogush, V.; Ofek-Almog, R. A surface adsorption model for electroless cobalt alloy thin films. J. Solid State Electrochem. 2007, 11, 929–938. [Google Scholar] [CrossRef]
  17. Nakano, H.; Itabashi, T.; Akahoshi, H. Electroless Deposited Cobalt-Tungsten-Boron Capping Barrier Metal on Damascene Copper Interconnection. J. Electrochem. Soc. 2005, 152, C163–C166. [Google Scholar] [CrossRef]
  18. Norkus, E.; Jagminienė, A.; Stankevičienė, I.; Tamašauskaitė-Tamašiūnaitė, L.; Sukackienė, Z. Electroless Co-W-P-B Alloy Deposition Using Dimethylamineborane as Reducing Agent. J. Electrochem. Soc. 2014, 161, D437–D441. [Google Scholar] [CrossRef]
  19. Almog, R.O.; Sverdlov, Y.; Goldfarb, I.; Shacham-Diamand, Y. CoWBP capping barrier layer for sub 90nm Cu interconnects. Microelectron. Eng. 2007, 84, 2450–2454. [Google Scholar] [CrossRef]
  20. Shen, Y.; Guo, J.; Wang, L.; Han, H.; Ma, Y.; Xin, B.; Wang, Z. Acceleration Mechanism of Triethanolamine in Electroless Bath for Pure Cobalt Deposition. J. Electrochem. Soc. 2023, 170, 112503. [Google Scholar] [CrossRef]
  21. Djokić, S.S. Electroless Deposition of Cobalt Using Hydrazine as a Reducing Agent. J. Electrochem. Soc. 1997, 144, 2358–2363. [Google Scholar] [CrossRef]
  22. Cheng, S.; Hsu, T.; Lee, T.; Lee, S.; Hu, J.; Chen, L. Characterization and kinetic investigation of electroless deposition of pure cobalt thin films on silicon substrates. Appl. Surf. Sci. 2013, 264, 732–736. [Google Scholar] [CrossRef]
  23. Norkus, E.; Stankevičienė, I.; Jagminienė, A.; Joi, A.; Tamašauskaitė-Tamašiūnaitė, L.; Dordi, Y. Electroless deposition of continuous cobalt layer using complexed Ti3+ metal ions as reducing agents. Materials 2021, 14, 1893. [Google Scholar]
  24. Tarozaitė, R.; Sudavičius, A.; Sukackienė, Z.; Norkus, E. Electroless cobalt deposition from a glycinate solution using morpholine borane as a reducing agent. Trans. IMF 2014, 92, 146–152. [Google Scholar] [CrossRef]
  25. Saito, T.; Sato, E.; Matsuoka, M.; Iwakura, C. Electroless deposition of Ni-B, Co-B and Ni-Co-B alloys using dimethylamineborane as a reducing agent. J. Appl. Electrochem. 1998, 28, 559–563. [Google Scholar] [CrossRef]
  26. Sukackienė, Z.; Tamašauskaitė-Tamašiūnaitė, L.; Jasulaitienė, V.; Balčiūnaitė, A.; Naujokaitis, A.; Norkus, E. Electroless deposition of CoBW coatings using morpholine borane as a reducing agent. Thin Solid Films 2017, 636, 425–430. [Google Scholar] [CrossRef]
  27. Einati, H.; Bogush, V.; Sverdlov, Y.; Rosenberg, Y.; Shacham-Diamand, Y. The effect of tungsten and boron on the Cu barrier and oxidation properties of thin electroless cobalt–tungsten–boron films. Microelectron. Eng. 2005, 82, 623–628. [Google Scholar] [CrossRef]
  28. Liang, R.; Fan, J.; Lei, F.; Li, P.; Fu, C.; Lu, Z.; Hao, W. Fabrication of ultra-stable and high-efficient CoP-based electrode toward seawater splitting at industrial-grade current density. J. Colloid Interface Sci. 2023, 645, 227–240. [Google Scholar] [CrossRef] [PubMed]
  29. Hao, W.; Huang, H.; Chen, Z.; Wang, L.; Ma, X.; Huang, M.; Ou, X.; Guo, Y. Electroless plating-induced morphology self-assembly of free-standing Co–P–B enabling efficient overall water splitting. Electrochim. Acta 2020, 354, 136645. [Google Scholar] [CrossRef]
  30. Lv, Z.; Zhang, Y.; Wang, K.; Yu, T.; Liu, X.; Wang, G.; Xie, G.; Jiang, L. High performance of Co–P/NF electrocatalyst for oxygen evolution reaction. Mater. Chem. Phys. 2019, 235, 121772. [Google Scholar] [CrossRef]
  31. Zhang, X.; Wang, F.; Zhou, Y.; Liang, A.; Zhang, J. Aluminum-induced direct electroless deposition of Co and Co-P coatings on copper and their catalytic performance for electrochemical water splitting. Surf. Coatings Technol. 2018, 352, 42–48. [Google Scholar] [CrossRef]
  32. Chen, Z.; Kang, Q.; Cao, G.; Xu, N.; Dai, H.; Wang, P. Study of cobalt boride-derived electrocatalysts for overall water splitting. Int. J. Hydrogen Energy 2018, 43, 6076–6087. [Google Scholar] [CrossRef]
  33. Cao, G.; Xu, N.; Chen, Z.; Kang, Q.; Dai, H.; Wang, P. Cobalt-tungsten-boron as an active electrocatalyst for water electrol-ysis. Chemistryselect 2017, 2, 6187–6193. [Google Scholar] [CrossRef]
Figure 1. Dependence of various parameters on the deposition rate of Co–B coatings and B content in the coatings (a) on the concentration of diethylenetriamine (dien) using the solution containing 0.05 M CoSO4 and 0.05 M MB; (b) on the concentration of MB using the solution containing 0.05 M CoSO4 and 0.015 M dien; (c) on the concentration of CoSO4 using the solution containing 0.015 M dien and 0.05 M MB; (d) on solution pH using the solution contained 0.05 M CoSO4, 0.015 M dien, and 0.05 M MB; and (e) on temperature using the solution containing 0.05 M CoSO4, 0.015 M dien, and 0.05 M MB. The plating bath operated at pH 7.3 and 30 °C (ac); at 30 °C (d); and at pH 7.3 (e).
Figure 1. Dependence of various parameters on the deposition rate of Co–B coatings and B content in the coatings (a) on the concentration of diethylenetriamine (dien) using the solution containing 0.05 M CoSO4 and 0.05 M MB; (b) on the concentration of MB using the solution containing 0.05 M CoSO4 and 0.015 M dien; (c) on the concentration of CoSO4 using the solution containing 0.015 M dien and 0.05 M MB; (d) on solution pH using the solution contained 0.05 M CoSO4, 0.015 M dien, and 0.05 M MB; and (e) on temperature using the solution containing 0.05 M CoSO4, 0.015 M dien, and 0.05 M MB. The plating bath operated at pH 7.3 and 30 °C (ac); at 30 °C (d); and at pH 7.3 (e).
Coatings 15 01081 g001
Figure 2. X-ray diffraction patterns of electrolessly deposited Co coatings: (a) pure Co coating and Co coatings with 1 and 12 at% B. (b) Broadening of Co diffraction peaks due to B absorption.
Figure 2. X-ray diffraction patterns of electrolessly deposited Co coatings: (a) pure Co coating and Co coatings with 1 and 12 at% B. (b) Broadening of Co diffraction peaks due to B absorption.
Coatings 15 01081 g002
Figure 3. SEM images of the Co–B coatings containing 0 at% (a,b) and 12 at% (d,e) of B. (c,f) Particle size distribution.
Figure 3. SEM images of the Co–B coatings containing 0 at% (a,b) and 12 at% (d,e) of B. (c,f) Particle size distribution.
Coatings 15 01081 g003
Figure 4. AFM images of Co–B coatings deposited on Cu wafer and containing B at (a,b) 0 at%; (d,e) 1 at%; and (g,h) 12 at%. (c,f,i) Particle size distribution for each coating. Solution contained 0.05 M CoSO4; 0.015 M dien; and 0.05 M MB at pH 7.3 and 30 °C.
Figure 4. AFM images of Co–B coatings deposited on Cu wafer and containing B at (a,b) 0 at%; (d,e) 1 at%; and (g,h) 12 at%. (c,f,i) Particle size distribution for each coating. Solution contained 0.05 M CoSO4; 0.015 M dien; and 0.05 M MB at pH 7.3 and 30 °C.
Coatings 15 01081 g004
Disclaimer/Publisher’s Note: The statements, opinions and data contained in all publications are solely those of the individual author(s) and contributor(s) and not of MDPI and/or the editor(s). MDPI and/or the editor(s) disclaim responsibility for any injury to people or property resulting from any ideas, methods, instructions or products referred to in the content.

Share and Cite

MDPI and ACS Style

Norkus, E.; Stankeviciene, I.; Jagminiene, A.; Balciunaite, A.; Stalnionis, G.; Pakstas, V.; Tamasauskaite-Tamasiunaite, L. Application of Diethylenetriamine for Electroless Deposition of Cobalt Alloys with Controllable Amount of Boron Using Morpholine Borane as Reducing Agent. Coatings 2025, 15, 1081. https://doi.org/10.3390/coatings15091081

AMA Style

Norkus E, Stankeviciene I, Jagminiene A, Balciunaite A, Stalnionis G, Pakstas V, Tamasauskaite-Tamasiunaite L. Application of Diethylenetriamine for Electroless Deposition of Cobalt Alloys with Controllable Amount of Boron Using Morpholine Borane as Reducing Agent. Coatings. 2025; 15(9):1081. https://doi.org/10.3390/coatings15091081

Chicago/Turabian Style

Norkus, Eugenijus, Ina Stankeviciene, Aldona Jagminiene, Aldona Balciunaite, Giedrius Stalnionis, Vidas Pakstas, and Loreta Tamasauskaite-Tamasiunaite. 2025. "Application of Diethylenetriamine for Electroless Deposition of Cobalt Alloys with Controllable Amount of Boron Using Morpholine Borane as Reducing Agent" Coatings 15, no. 9: 1081. https://doi.org/10.3390/coatings15091081

APA Style

Norkus, E., Stankeviciene, I., Jagminiene, A., Balciunaite, A., Stalnionis, G., Pakstas, V., & Tamasauskaite-Tamasiunaite, L. (2025). Application of Diethylenetriamine for Electroless Deposition of Cobalt Alloys with Controllable Amount of Boron Using Morpholine Borane as Reducing Agent. Coatings, 15(9), 1081. https://doi.org/10.3390/coatings15091081

Note that from the first issue of 2016, this journal uses article numbers instead of page numbers. See further details here.

Article Metrics

Back to TopTop