Surface Damage Detection and Analysis for Reduction-Fired Cyan Square Bricks in Jiangnan Gardens via YOLOv12
Abstract
1. Introduction
2. Materials and Methods
2.1. Research Object: Reduction-Fired Cyan Square Bricks in Jiangnan Gardens
2.2. Analysis of Damage Types and Factors
2.2.1. Wear
2.2.2. Cracking
2.2.3. Water Stain
2.2.4. Stains
2.3. Image Collection Source
2.4. Methodology
2.4.1. Research Process
2.4.2. YOLOv12 Model Structure Design
3. Results
3.1. Model Training Process
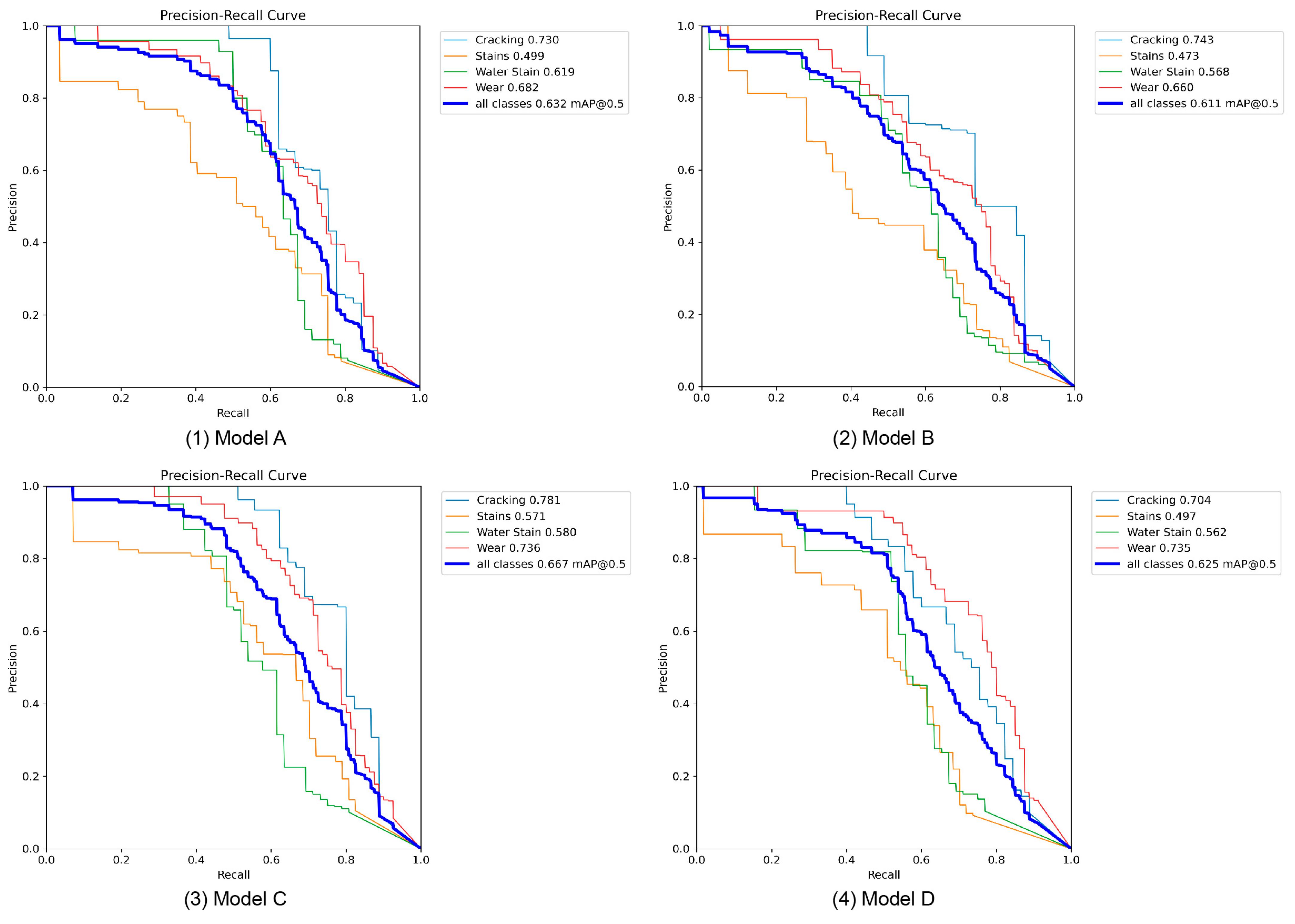
3.2. Model Testing Results
4. Discussion
4.1. Application in Actual Scenarios
4.2. Design of Ground Intelligent Detection Equipment
5. Conclusions
5.1. Research Discovery
5.2. Limitations and Future Work
Author Contributions
Funding
Institutional Review Board Statement
Informed Consent Statement
Data Availability Statement
Conflicts of Interest
Appendix A. Experimental Environment
| Category | Version | Category | Version |
|---|---|---|---|
| Operating System | Windows 10 (22H2) Professional Edition/AMD64 Architecture | Python | 3.11.13 |
| Processor | AMD Ryzen 7 9800X3D 8-Core Processor | System memory | 64 GB |
| Pytorch | 2.7.0 + cu128 | Torch cuda | 12.8 |
| GPU | NVIDIA GeForce RTX 5070 Ti 16 GB | CUDA | 12.9.41 |
| Flash attn | 2.7.4.post1 | NumPy | 1.26.4 |
| Pandas | 2.3.0 | Matplotlib | 3.10.3 |
| OpenCV | 4.9.0 | Ultralytics | 8.3.63 |
Appendix B. Model Structure
| Stage | Layer/Module | Output Channels | Stride | Notes |
|---|---|---|---|---|
| Backbone | Conv | 96 | 2 | Stem conv |
| Conv (groups = 2) | 192 | 2 | Downsample | |
| C3k2 (2 × C3k) | 384 | 1 | Bottleneck blocks | |
| Conv (groups = 4) | 384 | 2 | Downsample | |
| C3k2 (2 × C3k) | 768 | 1 | Bottleneck blocks | |
| Conv | 768 | 2 | Downsample | |
| A2C2f (4 × ABlock) | 768 | 1 | Attention-enhanced | |
| Conv | 768 | 2 | Downsample | |
| A2C2f (4 × ABlock) | 768 | 1 | Transformer-like | |
| Neck | Upsample + Concat | - | - | Feature fusion |
| A2C2f (2 × C3k) | 768 | 1 | Fusion block | |
| Upsample + Concat | - | - | PANet-like fusion | |
| A2C2f (2 × C3k) | 384 | 1 | Fusion block | |
| Conv | 384 | 2 | Downsample | |
| Concat + A2C2f (2 × C3k) | 768 | 1 | Fusion block | |
| Conv | 768 | 2 | Downsample | |
| Concat + C3k2 (2 × C3k) | 768 | 1 | Fusion block | |
| Head | Detect | - | - | 3 detection scales, with DFL |
References
- Jiang, J.; Zhou, T.; Han, Y.; Ikebe, K. Urban Heritage Conservation and Modern Urban Development from the Perspective of the Historic Urban Landscape Approach: A Case Study of Suzhou. Land 2022, 11, 1251. [Google Scholar] [CrossRef]
- Jiang, J.; Zang, T.; Xing, J.; Ikebe, K. Spatial Distribution of Urban Heritage and Landscape Approach to Urban Contextual Continuity: The Case of Suzhou. Land 2023, 12, 150. [Google Scholar] [CrossRef]
- Dai, X. The Chinese City Suzhou in Seven Hundred Years: An Investigation of the Relationship Between the Changing Functional Pattern and its Spatial Structure in the Urban Transformation Process. Master’s Thesis, UCL (University College London), London, UK, 2004. Available online: https://discovery.ucl.ac.uk/id/eprint/1431 (accessed on 19 August 2025).
- Wang, L.; Shen, J.; Chung, C.K.L. City profile: Suzhou-a Chinese city under transformation. Cities 2015, 44, 60–72. [Google Scholar] [CrossRef]
- Huang, Y.; Meadows, M.E. Challenges to the Sustainability of Urban Cultural Heritage in the Anthropocene: The Case of Suzhou, Yangtze River Delta, China. Land 2025, 14, 778. [Google Scholar] [CrossRef]
- Classical Gardens of Suzhou. Available online: https://whc.unesco.org/en/list/813/ (accessed on 19 August 2025).
- “The Best Brick in the World”: Suzhou Imperial Kiln Gold Brick. Available online: https://www.js-fz.cn/n96/20211111/i9718.html (accessed on 19 August 2025).
- Xia, W. An Investigation of Chinese Historical Grey Bricks of Soochow, Jiangsu and the Effect of Tung Oil Treatment. Master’s Thesis, University of Pennsylvania, Philadelphia, PA, USA, 2015. Available online: https://core.ac.uk/download/pdf/76388462.pdf (accessed on 19 August 2025).
- Dunzhen, L.; Wood, F. The Traditional Gardens of Suzhou (“Su zhou gu dian yuan lin”). Gard. Hist. 1982, 10, 108–141. [Google Scholar] [CrossRef]
- Koss, S.L. Suzhou: A history of transformations. In Suzhou in Transition; Routledge: Abingdon, UK, 2020; pp. 15–41. [Google Scholar]
- Wu, Y.; Wu, Y.; Mao, Y. Check for updates Research on the Transformation and Development of Modern Western-Style Villas in Suzhou Under the Concept of Sustainable Development. In Proceedings of the 2022 International Conference on Green Building, Civil Engineering and Smart City, Guilin, China, 8–10 April 2022; Springer Nature: Singapore, 2022; Volume 211, p. 190. [Google Scholar] [CrossRef]
- Wu, Y.; Yonglan, W.; Mingrui, M.; Muxian, W.; Li, X.; Candeias, A. Research on Construction of Suzhou’s Historical Architectural Heritage Corridors and Cultural Relics-Themed Trails Based on Current Effective Conductance (CEC) Model. Buildings 2025, 15, 2605. [Google Scholar] [CrossRef]
- Yonghui, L.; Xie, H.; Wang, J.; Li, X. Experimental study of the isothermal sorption properties of late Qing and 1980s grey bricks in Wujiang, Suzhou, China. Front. Archit. Res. 2013, 2, 483–487. [Google Scholar] [CrossRef]
- Wang, S.; Gao, J.; Wang, X.; Wu, D.; Pan, Y.; Xu, M. Historical and Physicochemical Analysis of the Clinker Bricks in the Smart Memorial Gymnasium of the Tiancizhuang Campus at Soochow University, China. Buildings 2023, 13, 161. [Google Scholar] [CrossRef]
- Chun, Q.; Dong, Y.; van Balen, K.; Xu, X. Experimental research on material properties of ancient white bricks in the Yichun Region, China. Int. J. Archit. Herit. 2017, 11, 554–565. [Google Scholar] [CrossRef]
- Li, Y.; Ma, Y.; Xie, H.; Li, J.; Li, X. Cross validation of hygrothermal properties of historical Chinese blue bricks with isothermal sorption experiments. Front. Archit. Res. 2021, 10, 164–175. [Google Scholar] [CrossRef]
- Zhao, P.; Zhang, X.; Qin, L.; Zhang, Y.; Zhou, L. Conservation of disappearing traditional manufacturing process for Chinese grey brick: Field survey and laboratory study. Constr. Build. Mater. 2019, 212, 531–540. [Google Scholar] [CrossRef]
- Zhang, Y.; Chen, Z.; Yue, J.; Xu, S. Experimental study on improving the performance of historical grey bricks by amide polymer. Constr. Build. Mater. 2025, 489, 142238. [Google Scholar] [CrossRef]
- Yan, L.; Chen, Y.; Zheng, L.; Zhang, Y. Application of computer vision technology in surface damage detection and analysis of shedthin tiles in China: A case study of the classical gardens of Suzhou. Herit. Sci. 2024, 12, 72. [Google Scholar] [CrossRef]
- Chen, X.; He, J.; Wang, S. Deep learning-driven pathology detection and analysis in historic masonry buildings of Suzhou. npj Herit. Sci. 2025, 13, 197. [Google Scholar] [CrossRef]
- YOLO12: Attention-Centered Object Detection. Available online: https://docs.ultralytics.com/zh/models/yolo12/ (accessed on 19 August 2025).
- Tian, Y.; Ye, Q.; Doermann, D. Yolov12: Attention-centric real-time object detectors. arXiv 2025, arXiv:2502.12524. [Google Scholar] [CrossRef]
- Sapkota, R.; Qureshi, R.; Calero, M.F.; Badjugar, C.; Nepal, U.; Poulose, A.; Karkee, M. Yolov12 to its genesis: A decadal and comprehensive review of the you only look once (yolo) series. arXiv 2024, arXiv:2406.19407. [Google Scholar] [CrossRef]
- Lee, W.S. Status of the Materials Used in Suzhou Gardens in the Late Ming Dynasty. Master’s Thesis, University of Hawai’i at Manoa, Honolulu, HI, USA, 2006. [Google Scholar]
- Cao, T.; Wang, X. Investigation of New Private Gardens in Yangtze River Delta and Reflection on Design Value. In Design, User Experience, and Usability: Design for Emotion, Well-Being and Health, Learning, and Culture, Proceedings of the 11th International Conference, DUXU 2022, Held as Part of the 24th HCI International Conference, HCII 2022, Virtual Event, 26 June–1 July 2022; Soares, M.M., Rosenzweig, E., Marcus, A., Eds.; Lecture Notes in Computer Science; Springer: Cham, Switzerland, 2022; Volume 13322. [Google Scholar] [CrossRef]
- Liu, K.; Wang, Y.; Yang, R.; Xian, Z.; Takeda, S.; Zhang, J.; Xing, S. Interpreting the space characteristics of everyday heritage gardens of Suzhou, China, through a space syntax approach. J. Asian Archit. Build. Eng. 2024, 24, 3471–3496. [Google Scholar] [CrossRef]
- Cao, Y.; Yuan, Q.; Bi, S.; Qin, L.; Yu, K. Research on the regenerative design and practice of the residential architecture atlases in Jiangnan during the Ming and Qing dynasties: A case study of the Mingyue Bay village in Suzhou. J. Asian Archit. Build. Eng. 2024, 24, 3381–3402. [Google Scholar] [CrossRef]
- Feng, Y.; Gao, C.; Tong, X.; Chen, S.; Lei, Z.; Wang, J. Spatial Patterns of Land Surface Temperature and Their Influencing Factors: A Case Study in Suzhou, China. Remote Sens. 2019, 11, 182. [Google Scholar] [CrossRef]
- Chen, Y.; Zhang, N.; Zhu, Y. High-Resolution Simulations of the Urban Thermal Climate in Suzhou City, China. Atmosphere 2019, 10, 118. [Google Scholar] [CrossRef]
- Wang, Y.; Abuel-Naga, H. Unfired Bricks from Wastes: A Review of Stabiliser Technologies, Performance Metrics, and Circular Economy Pathways. Buildings 2025, 15, 1861. [Google Scholar] [CrossRef]
- Wood, N. Chinese Glazes: Their Origins, Chemistry, and Recreation; University of Pennsylvania Press: Philadelphia, PA, USA, 1999. [Google Scholar]
- Valenstein, S.G. A Handbook of Chinese Ceramics; Metropolitan Museum of Art: New York, NY, USA, 1989. [Google Scholar]
- Xu, Y.; Xu, Y.; Wang, Y.; Wu, L.; Li, G.; Song, S. Spatial and temporal trends of reference crop evapotranspiration and its influential variables in Yangtze River Delta, eastern China. Theor. Appl. Climatol. 2017, 130, 945–958. [Google Scholar] [CrossRef]
- Chen, S.; Su, Y.; Fang, X.; He, J. Climate records in ancient Chinese diaries and their application in historical climate reconstruction–a case study of Yunshan Diary. Clim. Past Discuss. 2020, 16, 1873–1887. [Google Scholar] [CrossRef]
- Alif, M.A.R.; Hussain, M. Yolov12: A breakdown of the key architectural features. arXiv 2025, arXiv:2502.14740. [Google Scholar] [CrossRef]
- Khanam, R.; Hussain, M. A Review of YOLOv12: Attention-Based Enhancements vs. Previous Versions. arXiv 2025, arXiv:2504.11995. [Google Scholar] [CrossRef]
- Zheng, L.; Chen, Y.; Yan, L.; Zhang, Y. Automatic Detection and Recognition Method of Chinese Clay Tiles Based on YOLOv4: A Case Study in Macau. Int. J. Archit. Herit. 2023, 18, 1551–1570. [Google Scholar] [CrossRef]
















| Item | Setting | Item | Setting |
|---|---|---|---|
| Model | YOLOv12x (pretrained) | Input size | 512 × 512 |
| Batch size | 16 | Epochs | 500 |
| Optimizer | SGD | Initial learning rate | 1.0 × 10−2 |
| Final learning rate | 1.0 × 10−4 | Momentum | 0.937 |
| Weight decay | 5.0 × 10−4 | LR schedule | Cosine annealing |
| Warm-up epochs | 5 | Mixed precision | AMP |
| Model Name | Four Key Training Nodes | Characteristics |
|---|---|---|
| A | the 138th epoch | highest precision |
| B | the 146th epoch | highest recall |
| C | the 159th epoch | highest mAP50–95 |
| D | the 189th epoch | lowest validation loss |
Disclaimer/Publisher’s Note: The statements, opinions and data contained in all publications are solely those of the individual author(s) and contributor(s) and not of MDPI and/or the editor(s). MDPI and/or the editor(s) disclaim responsibility for any injury to people or property resulting from any ideas, methods, instructions or products referred to in the content. |
© 2025 by the authors. Licensee MDPI, Basel, Switzerland. This article is an open access article distributed under the terms and conditions of the Creative Commons Attribution (CC BY) license (https://creativecommons.org/licenses/by/4.0/).
Share and Cite
Yan, L.; Chen, Y.; Jia, X.; Zheng, L. Surface Damage Detection and Analysis for Reduction-Fired Cyan Square Bricks in Jiangnan Gardens via YOLOv12. Coatings 2025, 15, 1066. https://doi.org/10.3390/coatings15091066
Yan L, Chen Y, Jia X, Zheng L. Surface Damage Detection and Analysis for Reduction-Fired Cyan Square Bricks in Jiangnan Gardens via YOLOv12. Coatings. 2025; 15(9):1066. https://doi.org/10.3390/coatings15091066
Chicago/Turabian StyleYan, Lina, Yile Chen, Xingkang Jia, and Liang Zheng. 2025. "Surface Damage Detection and Analysis for Reduction-Fired Cyan Square Bricks in Jiangnan Gardens via YOLOv12" Coatings 15, no. 9: 1066. https://doi.org/10.3390/coatings15091066
APA StyleYan, L., Chen, Y., Jia, X., & Zheng, L. (2025). Surface Damage Detection and Analysis for Reduction-Fired Cyan Square Bricks in Jiangnan Gardens via YOLOv12. Coatings, 15(9), 1066. https://doi.org/10.3390/coatings15091066
