Grain Boundary Regulation in Aggregated States of MnOx Nanofibres and the Photoelectric Properties of Their Nanocomposites Across a Broadband Light Spectrum
Abstract
1. Introduction
2. Materials and Methods
2.1. Materials
2.2. Preparation of Graphene Oxide
2.3. Preparation of the MnO2 Nanofiber and Its Nanocomposites
2.4. Characterisation of SEM, XPS, UV-Vis-NIR, XRD and Raman
2.5. Optoelectronic Signal Measurement of the MnO2/GO Nanocomposite Aggregation States to the Light Sources with Different Wavelengths
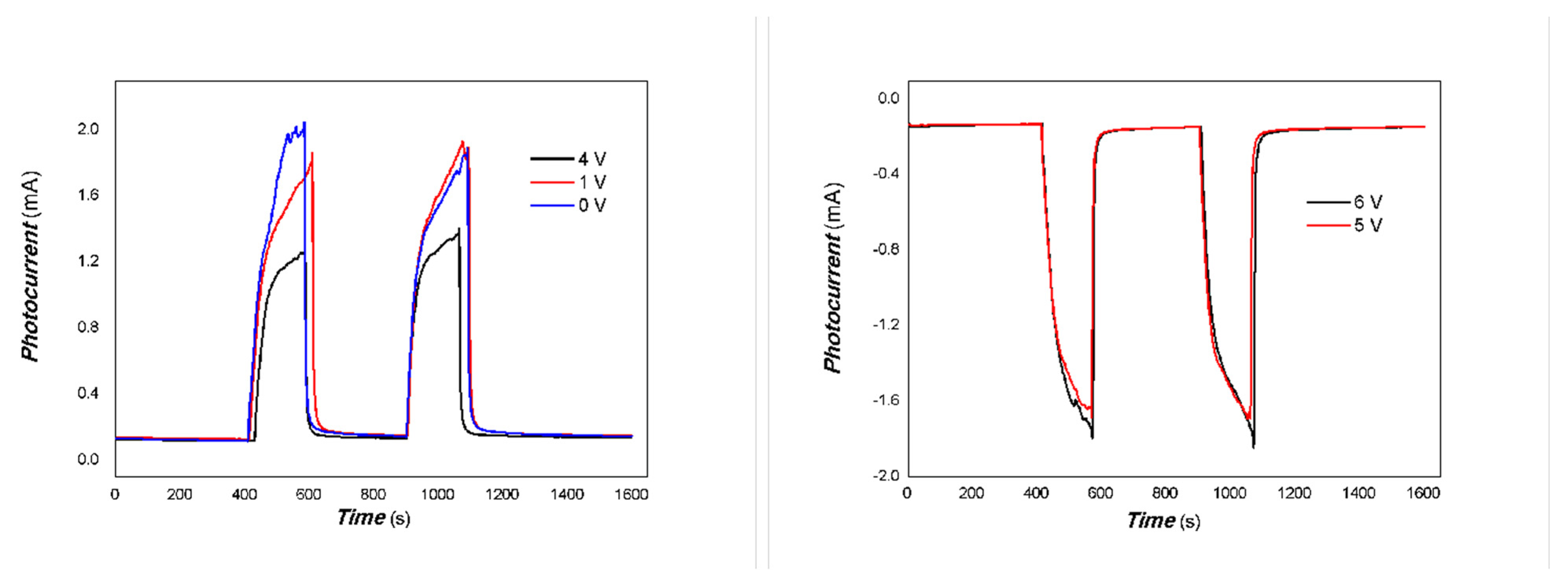
3. Results and Discussion
4. Conclusions
Author Contributions
Funding
Institutional Review Board Statement
Informed Consent Statement
Data Availability Statement
Acknowledgments
Conflicts of Interest
References
- Jhankal, D.; Khan, M.S.; Shakya, P.; Bhardwaj, N.; Yadav, B.; Jhankalc, K.K.; Sachdev, K. Charge storage kinetics of in-terconnected MnO2 nano-needles/reduced graphene oxide composite for high energy density quasi-solid-state sodiumion asymmetric supercapacitor. Energy Adv. 2024, 3, 191. [Google Scholar] [CrossRef]
- Zhang, S.; Wang, Z.; Yang, S.; Hao, D.; Yu, S.; Wu, Q. Chitosan modified graphene oxide with MnO2 deposition for high energy density flexible supercapacitors. Int. J. Biol. Macromol. 2024, 259, 129223. [Google Scholar] [CrossRef]
- Raskar, N.; Dake, D.; Mane, V.; Sonpir, R.; Vasundhara, M.; Asokan, K.; Deshpande, U.; Venkatesh, R.; Mote, V.; Dole, B. Designing reduced graphene oxide decorated Ni doped δ-MnO2 nanocomposites for supercapacitor applications. Mater. Sci. Semicond. Process. 2024, 178, 108451. [Google Scholar] [CrossRef]
- Fu, X.-Y.; Shu, R.-Y.; Ma, C.-J.; Jiang, H.-B.; Yao, M.-N. Graphene oxide assisted-MnO2 nanoparticles enhanced laser-induced graphene based electrodes for supercapacitor application. Electrochim. Acta 2024, 481, 143987. [Google Scholar] [CrossRef]
- Guo, Y.; Chen, J.; Liang, Z.; Su, X.; Sun, M.; Tang, J.; Li, Z.; Dang, D.; Yu, L. Hierarchical porous MnO2/3D graphene oxide/carbon cloth used as practical mass-loading supercapacitor electrodes. J. Alloys Compd. 2024, 1010, 177125. [Google Scholar] [CrossRef]
- Tan, B.; Chen, N.; Gao, X.; Huang, L.; Tan, L.; Feng, H. High performance 2.4 V aqueous asymmetric supercapacitors based on a cathode material of Ni-doped MnO2/reduced graphene oxide nanocomposite. J. Energy Storage 2025, 118, 116339. [Google Scholar] [CrossRef]
- Chen, Y.; Zhang, J.; Li, M.; Yang, C.; Zhang, L.; Wang, C.; Lu, H. Strong interface coupling and few-crystalline MnO2/Reduced graphene oxide composites for supercapacitors with high cycle stability. Electrochim. Acta 2018, 292, 115–124. [Google Scholar] [CrossRef]
- Liu, J.; Bao, J.; Zhang, X.; Gao, Y.; Zhang, Y.; Liu, L.; Cao, Z. MnO2-based materials for supercapacitor electrodes: Challenges, strategies and prospects. RSC Adv. 2022, 12, 35556–35578. [Google Scholar] [CrossRef]
- Ze, H.; Fan, X.-T.; Yang, Z.-L.; Ding, X.; A, Y.-L.; Wen, X.; Zhang, Y.; Oropeza, F.E.; Zhang, K.H.L.; Gu, Y.; et al. Deciphering the Competitive Charge Storage Chemistry of Metal Cations and Protons in Aqueous MnO2-Based Supercapacitors. J. Am. Chem. Soc. 2025, 147, 9620–9628. [Google Scholar] [CrossRef]
- Sun, J.; Li, S.; Li, Y.; Zhang, X.; Yang, Z. High-Performance Flexible Asymmetric Supercapacitor Based on Nanostructured MnO2 and Bi2O3 Decorated 3D Carbon Nanotube Sponge in an Aqueous Gel-Electrolyte. ACS Appl. Energy Mater. 2024, 7, 7450–7458. [Google Scholar] [CrossRef]
- Ding, Y.; Wang, L.; Yang, L.; Li, X.; Fang, H.; Peng, J.; Qian, D.; Xu, Z.; Guan, Y.; Li, J.; et al. Laser Patterned In-Plane Asymmetric MXene//LIG@MnO Microsupercapacitor for Self-Powered Pressure Detection Systems. ACS Appl. Mater. Interfaces 2025, 17, 21713–21724. [Google Scholar] [CrossRef]
- Shahidi, S.; Kalaoglu, F.; Naji, L.; Rahmanian, A.; Mongkholrattanasit, R. MnO2/Ni-Cu-Plated Polyester Fabric as a Free-Standing Electrode in Supercapacitor Applications. ACS Omega 2025, 10, 7091–7101. [Google Scholar] [CrossRef]
- Yadav, A.A.; Hunge, Y.M.; Majumder, S.; Islam, M.M.; Sakurai, T. Solar-Powered Supercapacitors: A Review and Outlook on Next-Generation Sustainable Energy Storage Solutions. Energy Fuels 2025, 39, 12323–12366. [Google Scholar] [CrossRef]
- Pang, N.; Wang, M.; Wang, X.; Xiong, D.; Xu, S.; Lu, X.; Wang, L.; Jiang, L.; Chu, P.K. Graphene-oxide-modified MnO2 composite electrode for high-performance flexible quasi-solid-state zinc-ion batteries. Mater. Sci. Eng. B 2023, 299, 116981. [Google Scholar] [CrossRef]
- Inigo Antony, M.; Punnakkal, N.; Vyshnav Vinod, M.; Krishnendu, S.D.; Satheesh Babu, T.G.; Suneesh, P.V. MnO2 nanowires modified reduced graphene oxide thick film cathode for aqueous zinc-ion prismatic battery. J. Energy Storage 2024, 103, 114283. [Google Scholar] [CrossRef]
- Wang, C.; Liu, H.; Han, L.; Zhang, J.; Liu, R.; Kong, F. Reduced graphene oxide modified ɛ-MnO2 nanoflowers cathode with oxygen vacancy for advanced rechargeable aqueous zinc-ion batteries. Mater. Res. Bull. 2025, 191, 113543. [Google Scholar] [CrossRef]
- Ma, W.; Jin, Y.; Wan, W.; Sun, D.; Jia, L.; Gong, D.; Tu, Y.; Zhou, W.; Chai, H. C3N4 Preintercalation of α-MnO2 Nanotubes with Expanded Interlayer Spacing for High-Performance Aqueous Zn-Ion Batteries. ACS Appl. Nano Mater. 2025, 8, 9427–9436. [Google Scholar] [CrossRef]
- Chahartagh, N.M.; Aghdam, A.M.; Namvar, S.; Ajdari, F.B.; Ershadi, M.; Jafari, M. Conductive Polymer Designed of Binder-Free Polypyrrole-MnO2/Ti3C2 for Oxidative Stable Aqueous Zinc-Ion Batteries. ACS Appl. Energy Mater. 2025, 8, 2720–2732. [Google Scholar] [CrossRef]
- Zhong, S.; Xin, Y.; Mo, L.; He, B.; Zhang, F.; Zhao, C.; Hu, L.; Tian, H. Intercalation and Interface Engineering of Layered MnO2 Cathodes toward High-Performance Aqueous Zinc-Ion Batteries. J. Phys. Chem. C 2025, 129, 6684–6696. [Google Scholar] [CrossRef]
- Jiang, S.; Tian, S.; Zhang, S.; Fang, L.; Wang, Z.; Nie, P.; Han, W.; Xue, X.; Zhao, C.; Lu, M.; et al. Iron-Doped Nanorods of MnO2 For Applications in Zinc-Ion Batteries. ACS Appl. Nano Mater. 2024, 7, 27648–27655. [Google Scholar] [CrossRef]
- Chen, X.; Xu, Z.; Guo, S.; Sun, B.; Li, Q.; Meng, Q.; Wei, F.; Qi, J.; Sui, Y.; Cao, P. Oxygen Vacancy-Rich Cobalt-Doped MnO2 Nanorods for Zn Ion Batteries. ACS Appl. Mater. Interfaces 2025, 17, 12074–12084. [Google Scholar] [CrossRef] [PubMed]
- Chen, R.; Tian, W.; He, H.; Fu, X.; Sun, Q.; Wang, R.; Zhao, X.; Zhang, X.; Zhu, Y.; Zheng, Z.; et al. Peanut Shell-Derived Carbon Microsheet@MnO2 Nanoparticles Composite for Ultra Long-Cycling Aqueous Zinc-Ion Batteries. Langmuir 2025, 41, 10282–10291. [Google Scholar] [CrossRef]
- Hwang, T.; Bergschneider, M.; Kong, F.; Cho, K. Reaction Mechanisms and Improvement of α-MnO2 Cathode in Aqueous Zn-Ion Battery. Chem. Mater. 2025, 37, 1244–1254. [Google Scholar] [CrossRef]
- Zhong, S.; Xin, Y.; Lei, M.; Cai, S.; Zhao, C.; Zhang, H.; Tian, H. Scalable Production of MnO2/Carbon Composites via a Simple One Step Precipitation Method for Aqueous Zn-Ion Batteries. Energy Fuels 2025, 39, 12254–12263. [Google Scholar] [CrossRef]
- Lai, G.; Hu, X.; Liang, S.; Yang, Y.; Elsharkawy, E.R.; Mersal, G.A.M.; Lu, B.; El-Bahy, Z.M.; Liu, Y.; Zhou, J. Synergistic Electro-Chemo-Structural Interface Engineering for Stable Aqueous Zn-MnO2 Batteries. ACS Energy Lett. 2025, 10, 3437–3444. [Google Scholar] [CrossRef]
- Chakraborty, A.; Ghosh, A.; Paul, A.; Murmu, N.C.; Samanta, P.; Kuila, T. Tuning MnO2: A Nernstian-Type Electrode Material as a Substitute for Bare Zinc Foil for Triggering the Performance of ZHS. ACS Appl. Energy Mater. 2024, 7, 10428–10440. [Google Scholar] [CrossRef]
- Pradhan, S.; Ahirrao, D.J.; Jha, N. Sustainable Hydrothermal Synthesis of Reduced Graphene Oxide Wrapped on α-MnO2 Nanorod Cathode for Zinc-Ion Batteries. Adv. Sustain. Syst. 2024, 8, 2400362. [Google Scholar] [CrossRef]
- Yi, X.; Song, Y.; He, D.; Li, W.; Pan, A.; Han, C. Constructing a high-performance bifunctional MnO2-based electrocatalyst towards applications in rechargeable zinc–air batteries. J. Mater. Chem. A 2024, 12, 29355–29382. [Google Scholar] [CrossRef]
- Chuong, Y.K.N.; Van Thang, V.; Vuong, T.T.T.; Vu, P.T.; Phung, T.V.B.; Nguyen, L.P.; Le, P.M.L. MnO2-Decorated Graphene Oxide Nanosheet Composites as Promising Electrode Materials for Lithium-Ion Battery Energy Storage Applications. RSC Adv. 2025, 15, 16015–16027. [Google Scholar] [CrossRef]
- Wang, N.; Peng, S.; Chen, X.; Wang, J.; Wang, C.; Qi, X.; Dai, S.; Yan, S. Construction of Ultrathin MnO2 Decorated Graphene/Carbon Nanotube Nanocomposites as Efficient Sulfur Hosts for High-Performance Lithium–Sulfur Batteries. RSC Adv. 2019, 9, 6346–6355. [Google Scholar] [CrossRef]
- Jee, W.; Sokol, A.A.; Xu, C.; Camino, B.; Zhang, X.; Woodley, S.M. Discharging of Ramsdellite MnO2 Cathode in a Lithium-Ion Battery. Chem. Mater. 2024, 36, 8737–8752. [Google Scholar] [CrossRef]
- Xu, Y.; Qian, K.; Deng, Y.; Liu, Z.; Chen, Z. Green and Sustainable Recovery of MnO2 from Alkaline Batteries for High-Performance Lithium Manganese Oxide Cathode. Energy Fuels 2024, 38, 21601–21606. [Google Scholar] [CrossRef]
- Xu, W.; Jiang, L.; Li, Y.; Zhang, J.; Huang, Q.; Yao, J.; Xiao, S.; Lei, C. Sodium Storage Performance and Mechanism of MnO2 with Different Phase Structures (α, β, γ, δ) as Anode Materials for Sodium Ion Batteries. ACS Appl. Mater. Interfaces 2024, 16, 61877–61887. [Google Scholar] [CrossRef]
- Raskar, N.D.; Dake, D.V.; Mane, V.A.; Sonpir, R.B.; Khawal, H.A.; Mote, V.D.; Vasundhara, M.; Asokan, K.; Gattu, K.P.; Dole, B.N. Nanoengineered Reduced Graphene Oxide-Fe Doped α-MnO2: A Multifunctional Smart Material for Energy Storage and Environmental Remediation. J. Energy Storage 2024, 86, 111206. [Google Scholar] [CrossRef]
- Rosaiah, P.; Divya, P.; Prakash, N.G.; Dhananjaya, M.; Sambasivam, S.; Al-Asbahi, B.A.; Shaik, D.P.; Ko, T.J. Ultra-long MnO2 nanowire-entrenched reduced graphene oxide composite electrodes for energy storage. Diam. Relat. Mater. 2023, 133, 109709. [Google Scholar] [CrossRef]
- Zhang, Y.; Xu, H.; Ebaid, M.S.; Zhang, X.; Jiang, K.; Zhang, X.; Guo, Z.; Xu, B. Advances in layer manganese dioxide for energy conversion and storage: Mechanisms, strategies and prospects. Chem. Sci. 2025, 16, 9092. [Google Scholar] [CrossRef]
- Xue, X.; Li, Y. Advancing Mn2+/MnO2 Conversion Chemistry through Redox Mediation: Mechanistic Insights and Outlook. ACS Energy Lett. 2025, 10, 3275–3286. [Google Scholar] [CrossRef]
- Xu, D.; Sheng, Q.; Chen, A.; Chen, L.; Zhang, Y.; Zhu, C.; Chen, J.; Chen, S.; Hu, C. MnO2 Microspheres as Self-Degraded Templates to Fabricate Hollow Urchin-Like Polyaniline Microspheres for Electrochemical Energy Storage. ACS Appl. Polym. Mater. 2025, 7, 3544–3554. [Google Scholar] [CrossRef]
- Wu, H.; Jiang, L.; Liu, J.; Jin, Y.; Dong, S.; Shi, X.; Yuan, Y.; Bai, W.; Wu, S. MnO2 Nanoflakes Anchored on N-Doped Carbon Nanotubes for Lithium Storage. ACS Appl. Nano Mater. 2025, 8, 7630–7641. [Google Scholar] [CrossRef]
- Xu, D.; Gu, Y.; Chen, L.; Zhang, Y.; You, F.; Chen, S.; Hu, C.; Huang, H.; Chen, J. MnO2 Nanosheets on TiO2 Tetragonal Prism Nanoarrays as Electrode Materials for Electrochemical Energy Storage. ACS Appl. Nano Mater. 2024, 7, 22997–23007. [Google Scholar] [CrossRef]
- Wu, L.; Li, Z.; Xiang, Y.; Dong, W.; Wu, H.; Xu, Y.; Ling, Z.; Chae, M.S.; Sharon, D.; Shpigel, N.; et al. Unraveling the Charge Storage Mechanism of β-MnO2 in Aqueous Zinc Electrolytes. ACS Energy Lett. 2024, 9, 5801–5809. [Google Scholar] [CrossRef]
- Ahmed, M.; Ahmad, S.; Nawaz, T.; Ali Durrani, M.; Ali, A.; Saher, S.; Khan, M.A.Z.; Egilmez, M.; Samreen, A.; Mustafa, F. Performance evaluation of graphene oxide-MnO2 nanocomposite for alkaline membrane fuel cell. Electrochem. Sci. Adv. 2022, 2, e2100085. [Google Scholar] [CrossRef]
- Xu, Z.; Zhong, M.; Li, S.; Chen, Y.; Li, P.; Fan, Z.; Liu, P.; Wang, D.; Zhang, Z. One-Step Hydrothermal Method Realizing Oxygen Vacancy Construction and P Doping of MnO2 to Optimize Its Oxygen Evolution Performance. Inorg. Chem. 2025, 64, 5029–5037. [Google Scholar] [CrossRef]
- Wang, L.; Wang, Y.; Zhou, L.; Liu, J.-Y.; Wu, Z. Manipulating d-Electronic States via Transition Metal Doping in MnO2 to Boost Direct Seawater Electrolysis. ACS Sustain. Chem. Eng. 2024, 12, 13907–13917. [Google Scholar] [CrossRef]
- Lou, J.; Zhu, X.; Li, T.; Yang, X.; Ma, D.; Zhu, L.; Wang, J. Preparation and Electrochromic Properties of MnO2/PPy Composite Films with Coral-like Structures. ACS Appl. Mater. Interfaces 2024, 16, 36942–36952. [Google Scholar] [CrossRef]
- Wang, F.; Xie, J.; Zhang, S.; Huang, C. Superior Performance of the δ-MnO2 Ultrathin Nanoflower for Photocatalytic HCHO Oxidation. Inorg. Chem. 2025, 64, 6275–6285. [Google Scholar] [CrossRef]
- Aquatar, O.; Bhatia, U.; Rayalu, S.S.; Krupadam, R.J. Reduced graphene oxide-MnO2 nanocomposite for CO2 capture from flue gases at elevated temperatures. Sci. Total Environ. 2022, 816, 151522. [Google Scholar] [CrossRef]
- Wang, Q.; Liang, S.; Liu, J.; Xie, Y.; Pang, Q.; Liu, Z.; Chen, Y. Activating Mn Sites on MnO2 Hollow Spheres for CO2 Photoreduction. ACS Appl. Nano Mater. 2025, 8, 6575–6582. [Google Scholar] [CrossRef]
- Aktürk, M.; Dursun, Z. A novel composite electrode based on graphene oxide/MnO2:h-MoO3 particles for square wave voltammetric determination of acetaminophen. Electroanalysis 2024, 36, e202400042. [Google Scholar] [CrossRef]
- Liu, Y.; Zhao, W.; Gao, Y.; Zhuo, Q.; Chu, T.; Huang, W.; Zheng, Y.; Li, Y. In situ green synthesis of the nanocomposites of MnO2/graphene as an oxidase mimic for sensitive colorimetric and electrochemical dual-mode biosensing. RSC Adv. 2023, 13, 31067. [Google Scholar] [CrossRef]
- Rehman, S.U.; Lin, Y.; Wu, H. Oxygen-Deficient Fluorescent λ-MnO2 Nanosheets for Selective Detection of Chloramphenicol. ACS Appl. Nano Mater. 2025, 8, 10306–10314. [Google Scholar] [CrossRef]
- Shahid, M.; Rizvi, S.N.B.; Afzal, A. Tailoring Surface and Electrochemical Properties: Effect of Acid, Silane, and Epoxy Functionalization on γ-MnO2 Electrodes for L-Glutamine Detection. Ind. Eng. Chem. Res. 2025, 64, 13730–13740. [Google Scholar] [CrossRef]
- Zhu, J.; Yang, F.; Jiang, C.; Li, Z.; Zhou, Y.; Li, X. Multifunctional Superhydrophobic Sponge In Situ Anchoring of AgMnO2 via Polydopamine Activation for Efficient Oil−Water Separation, Photothermal Conversion and Antibacterial Applications. ACS Appl. Mater. Interfaces 2025, 17, 30327–30339. [Google Scholar] [CrossRef]
- Song, H.; Xu, L.; Chen, M.; Cui, Y.; Wu, C.; Qiu, J.; Xu, L.; Cheng, G.; Hu, X. Recent progresses in the synthesis of MnO2 nanowire and its application in environmental catalysis. RSC Adv. 2021, 11, 35494. [Google Scholar] [CrossRef]
- Zhao, S.; Ji, Z.; Hao, L.; Wang, Z.; Li, J.; Cheng, F.; Hussain, M.; Liu, J. Electron-Enriched Pt Induced by MnO2 Structural Variation Achieving Low-Alkalinity Methanol Electrooxidation. ACS Appl. Energy Mater. 2025, 8, 6595–6604. [Google Scholar] [CrossRef]
- Liu, D.; Zhou, L.; Liu, Y.; Xia, C.; Ouyang, J.; Adesina, A.A. Electrodeposition fabrication of graphene oxide/α-MnO2/polyaniline hierarchical porous electrodes with large hybrid specific capacitance for efficient U(VI) electrosorption. J. Environ. Chem. Eng. 2024, 12, 113450. [Google Scholar] [CrossRef]
- Rajendiran, R.; Patchaiyappan, A.; Harisingh, S.; Balla, P.; Paari, A.; Ponnala, B.; Perupogu, V.; Lassi, U.; Seelam, P.K. Synergistic effects of graphene oxide grafted chitosan & decorated MnO2 nanorods composite materials application in efficient removal of toxic industrial dyes. J. Water Process. Eng. 2022, 47, 102704. [Google Scholar] [CrossRef]
- Dhanusha, A.; Sabari Girisun, T.C. Improved near-resonant two photon absorption of α-MnO2 nanowires surface functionalized reduced graphene oxide sheets. Colloids Surf. A Physicochem. Eng. Asp. 2024, 697, 134395. [Google Scholar] [CrossRef]
- Jha, B.K.; Yoon, J.-C.; Jang, J.-H. 3D Graphene for Energy Technologies: Chemical Strategies and Industrial Challenges. Acc. Mater. Res. 2025, 6, 799–813. [Google Scholar] [CrossRef]
- Bongu, C.S.; Tasleem, S.; Krishnan, M.R.; Alsharaeh, E.H. Graphene-based 2D materials for rechargeable batteries and hydrogen production and storage: A critical review. Sustain. Energy Fuels 2024, 8, 4039–4070. [Google Scholar] [CrossRef]
- Sui, H.; Van Toan, N.; Ono, T. Density effects of vertical graphene nanowalls on supercapacitor performance. Mater. Adv. 2022, 3, 5406–5417. [Google Scholar] [CrossRef]
- Yu, X.; Qin, X.; Zhao, Z.; Liu, S.; Zhang, R.; Liu, L. Nitrogen-Doped Carbon Nanospheres Dispersed within Graphene Oxide to Fabricate Composite Fibers for High Performance Flexible Supercapacitors. ACS Appl. Nano Mater. 2025, 8, 1935–1943. [Google Scholar] [CrossRef]
- Yan, H.; Ding, Y.; Lin, S.; Li, J.; Zhao, Y.; Lin, Z.; Zhang, J.; Bai, J.; Hu, X.; Bai, H. Structural Supercapacitors Based on Graphene Composite Film Electrodes. ACS Appl. Energy Mater. 2025, 8, 8981–8991. [Google Scholar] [CrossRef]
- Pathak, M.; Jeong, S.M.; Rout, C.S. Graphene hybrids for supercapacitor applications. Chem. Commun. 2025, 61, 8803–8829. [Google Scholar] [CrossRef] [PubMed]
- Jung, H.Y.; Kim, S.I.; Kim, J.; Kim, Y.J.; Hong, H.; Yun, J.; Ryu, W. MnO2-decorated highly porous 3D-printed graphene supercapacitors for photosynthetic power systems. J. Mater. Chem. A 2023, 11, 20608–20622. [Google Scholar] [CrossRef]
- George, S.; Sasidharan, S.; Shafna, M.A.; Anil, A.; Suresh, G.; Ratheesh, A.; Shibli, S.M.A. Triggering Redox Active Sites Through Electronic Structure Modulation in rGO Encapsulated Mixed Transition Metal Oxides Hybrid for Alkaline Hydrogen Evolution. ACS Appl. Mater. Interfaces 2024, 16, 40948–40963. [Google Scholar] [CrossRef]
- Levchenko, I.; Baranov, O.; Riccardi, C.; Roman, H.E.; Cvelbar, U.; Ivanova, E.P.; Mohandas, M.; Ščajev, P.; Malinauskas, T.; Xu, S.; et al. Nanoengineered Carbon-Based Interfaces for Advanced Energy and Photonics Applications: A Recent Progress and Innovations. Adv. Mater. Interfaces 2022, 10, 2201739. [Google Scholar] [CrossRef]
- Aftab, S.; Koyyada, G.; Mukhtar, M.; Kabir, F.; Nazir, G.; Memon, S.A.; Aslam, M.; Assiri, M.A.; Kim, J.H. Laser-Induced Graphene for Advanced Sensing: Comprehensive Review of Applications. ACS Sensors 2024, 9, 4536–4554. [Google Scholar] [CrossRef] [PubMed]
- Boateng, E.; McGuire, C.; Xu, R.; Jiang, D.-T.; Chen, A. Effects of Heteroatom Doping on the Electrochemical Hydrogen Uptake and Release of Pd-Decorated Reduced Graphene Oxide. ACS Appl. Mater. Interfaces 2024, 16, 47703–47712. [Google Scholar] [CrossRef]
- Zhou, B.; Cai, Z.; Wen, J.; Liu, H. Engineering Thermally Reduced Graphene Oxide for Synchronously Enhancing Photocatalytic Activity and Photothermal Effect. ACS Appl. Bio Mater. 2024, 7, 6249–6260. [Google Scholar] [CrossRef]
- Adfar, Q.; Hussain, S.; Maktedar, S.S. Insights into energy and environmental sustainability through photoactive graphene-based advanced materials: Perspectives and promises. New J. Chem. 2025, 49, 2511–2650. [Google Scholar] [CrossRef]
- Kroemer, H. Nobel Lecture: Quasielectric fields and band offsets: Teaching electrons new tricks. Rev. Mod. Phys. 2001, 73, 783–793. [Google Scholar] [CrossRef]
- Liu, S.; Qin, K.; Yang, J.; Hu, T.; Luo, H.; Wu, J.; Zhen, C.; Li, T.; Ding, F.; Wang, X.; et al. Direct orientational-epitaxy of wafer-scale 2D van der Waals heterostructures of metal dichalcogenides. Natl. Sci. Rev. 2025, 12, nwaf119. [Google Scholar] [CrossRef] [PubMed]
- Das, S.; Dey, T.; Mandal, D.; Ray, S.K.; Banerji, P.; Chandra, A.; Basori, R. Plasmon-sensitized SiNWs/SnS2 heterostructures for high-sensitivity photodetector devices. J. Appl. Phys. 2025, 137, 233103. [Google Scholar] [CrossRef]
- Zheng, B.; Wang, B.; Wang, Y.; Li, Y.; Wang, H.; Liu, Y.; Xu, Z.; Wu, G.; Sun, X.; Zhu, C. Epitaxial Growth of SnS2/WS2-WSe2 Bilayer P-N Hybridized Heterojunctions for Multifunctional Optoelectronic Devices. ACS Appl. Mater. Interfaces 2025, 17, 19987–19995. [Google Scholar] [CrossRef]
- Kumar, A.; Chakkar, A.G.; Das, C.; Kumar, P.; Sahu, S.; Saliba, M.; Kumar, M. Self-Powered Broadband Photodetectors Based on WS2-Anchored MoS2 with Enhanced Responsivity and Detectivity. Small 2025, 21, 2502900. [Google Scholar] [CrossRef]
- Cheng, Y.; Lin, X.; Wang, C.; Zhang, Z.; Wang, C.; Geng, L.; Suo, P.; Du, J.; Ma, G. Revealing a Nonlinear Photocurrent in the Graphene/MoS2 Heterostructure via Terahertz Emission Spectroscopy. J. Phys. Chem. Lett. 2025, 16, 2654–2660. [Google Scholar] [CrossRef]
- Ghopry, S.; Shultz, A.; Alamri, M.; Alzahrani, S.; Wu, J. Enhanced Photoresponse in Intermingled WS2 and MoS2 Nanodiscs on Graphene Heterostructure Nanohybrids. Adv. Mater. Interfaces 2025, 12, 2500087. [Google Scholar] [CrossRef]
- Wang, L.; Li, S.; Zhang, L. Ultrafast charge transfer in two-dimensional black phosphorus/SiS van der Waals heterostructure for photoconversion. J. Appl. Phys. 2025, 137, 195304. [Google Scholar] [CrossRef]
- Ghafary, Z.; Hallaj, R.; Salimi, A.; Akhtari, K. Two-Dimensional Graphdiyne-Black Phosphorus van der Waals Heterostructure: A Versatile Platform for Broadband Photodetection from UV to IR. ACS Appl. Nano Mater. 2025, 8, 7719–7735. [Google Scholar] [CrossRef]
- Mazzotti, A.; Durante, O.; De Stefano, S.; Viscardi, L.; Pelella, A.; Kharsah, O.; Daniel, L.; Sleziona, S.; Schleberger, M.; Di Bartolomeo, A. BP/MoS2 Van Der Waals Heterojunctions for Self-Powered Photoconduction. Adv. Opt. Mater. 2025, 13, 2500811. [Google Scholar] [CrossRef]
- Du, Y.; Yang, J.; Lv, Z.; Zhai, Y.; Yi, Z.; Xie, Y.; Zheng, M.; Ma, X.; Gong, G.; Wang, Y. Integration of Perovskite/Low-Dimensional Material Heterostructures for Optoelectronics and Artificial Visual Systems. Adv. Funct. Mater. 2025, 2500953. [Google Scholar] [CrossRef]
- Li, X.; Liu, K.; Wu, D.; Lin, P.; Shi, Z.; Li, X.; Zeng, L.; Chai, Y.; Lau, S.P.; Tsang, Y.H. Van Der Waals Hybrid Integration of 2D Semimetals for Broadband Photodetection. Adv. Mater. 2025, e2415717. [Google Scholar] [CrossRef]
- Lv, Z.; Peng, Z.; Yin, Y.; Liu, K.; Yang, S.; Wang, G.; Jiang, H. Epitaxial strain reconfiguration of AlGaN multiple heterojunctions for high-responsivity high-speed UV detection. Appl. Phys. Lett. 2025, 126, 242106. [Google Scholar] [CrossRef]
- Lin, Y.; Miao, X.; Zhang, Y.; Li, L.; Yang, J.; Lei, H.; Pan, Y. Surface Argon Plasma Treatment Enabled Broadband Optoelectronic Synapses Based on Large-Scale Epitaxial GaSe/GaN Heterojunctions. ACS Appl. Mater. Interfaces 2025, 17, 14257–14268. [Google Scholar] [CrossRef] [PubMed]
- Yao, L.; Yun, J.; Zhao, H.; Zhang, L.; Ma, Y.; Kang, P.; Yan, J.; Zhao, W.; Zhang, Z. Design and analysis of monolayer GaN-boron phosphide lateral heterostructures for ultraviolet photodetection and rectification. Appl. Surf. Sci. 2025, 688, 162428. [Google Scholar] [CrossRef]
- Kim, J.; Moon, S.; Im, S.; Song, J.; Ji, C.; Pak, S.; Kim, J.K. The heterostructure of hexagonal boron nitride with wurtzite III-nitrides for optoelectronic and electronic applications. J. Appl. Phys. 2025, 137, 210902. [Google Scholar] [CrossRef]
- Ahn, J.; Yeon, E.; Hwang, D.K. Recent Progress in 2D Heterostructures for High-Performance Photodetectors and Their Applications. Adv. Opt. Mater. 2025, 13, 2403412. [Google Scholar] [CrossRef]
- Ma, X.; Li, C.; Zhang, X.; Gao, M.; Wang, Y.; Li, G. Interface Optimisation of the Fe2O3/C3N4 Heterojunction with Metal Nanoparticles and Their Negative and Positive Photoelectric Responses in a Broadband Light Spectrum Range. Coatings 2024, 14, 1595. [Google Scholar] [CrossRef]
- Ma, X.F.; Gao, M.J.; He, X.C.; Li, G. Controlled Morphology of One-Dimensional Manganese Dioxide with Dramatic Enhancing Removal Efficiency to Heavy Metal Ions in Aqueous Solution. Mater. Sci. Forum 2011, 688, 23–30. [Google Scholar] [CrossRef]
- Pei, Z.; Ma, X.; Ding, P.; Zhang, W.; Luo, Z.; Li, G. Study of a QCM Dimethyl Methylphosphonate Sensor Based on a ZnO-Modified Nanowire-Structured Manganese Dioxide Film. Sensors 2010, 10, 8275–8290. [Google Scholar] [CrossRef]
- Lv, S.S.; Bian, L.; Qiu, J.X.; Zhang, X.T.; Gao, M.J.; He, X.C.; Ma, X.F.; Li, G. Surface Modification of Graphene Oxide with Pyrene Derivatives and their Photo-Switching Behaviors. Mater. Sci. Forum 2017, 898, 1739–1748. [Google Scholar] [CrossRef]
- Talebian-Kiakalaieh, A.; Hashem, E.M.; Guo, M.; Ran, J.; Qiao, S. Single Atom Extracting Photoexcited Holes for Key Photocatalytic Reactions. Adv. Energy Mater. 2025, e2501945. [Google Scholar] [CrossRef]



















| Excitation Light Wavelength (nm) | Sample | Response Time (s) | Recovery Time (s) | Ratio of on/off |
|---|---|---|---|---|
| 50 mW, 405 nm | MnOx/GO (10) | 59.8 | 127.5 | 1.08 |
| 50 mW, 405 nm | MnOx/GO (30) | 31.8 | 55.6 | 1.23 |
| 50 mW, 650 nm | MnOx/GO (10) | 103.7 | 111.2 | 1.09 |
| 50 mW, 650 nm | MnOx/GO (30) | 4.2 | 43.9 | 1.29 |
| 50 mW, 780 nm | MnOx/GO (10) | 59.7 | 83.6 | 1.07 |
| 50 mW, 780 nm | MnOx/GO (30) | 11.7 | 36.0 | 1.18 |
| 50 mW, 808 nm | MnOx/GO (10) | 87.4 | 151.3 | 1.09 |
| 50 mW, 808 nm | MnOx/GO (30) | 59.4 | 28.0 | 1.27 |
| 50 mW, 980 nm | MnOx/GO (10) | 59.4 | 123.3 | 1.04 |
| 50 mW, 980 nm | MnOx/GO (30) | 23.8 | 39.7 | 1.07 |
| 20 mW, 1064 nm | MnOx/GO (10) | 83.6 | 103.7 | 1.05 |
| 20 mW, 1064 nm | MnOx/GO (30) | 39.7 | 59.8 | 1.21 |
Disclaimer/Publisher’s Note: The statements, opinions and data contained in all publications are solely those of the individual author(s) and contributor(s) and not of MDPI and/or the editor(s). MDPI and/or the editor(s) disclaim responsibility for any injury to people or property resulting from any ideas, methods, instructions or products referred to in the content. |
© 2025 by the authors. Licensee MDPI, Basel, Switzerland. This article is an open access article distributed under the terms and conditions of the Creative Commons Attribution (CC BY) license (https://creativecommons.org/licenses/by/4.0/).
Share and Cite
Ma, X.; Zhang, X.; Gao, M.; Hu, R.; Wang, Y.; Li, G. Grain Boundary Regulation in Aggregated States of MnOx Nanofibres and the Photoelectric Properties of Their Nanocomposites Across a Broadband Light Spectrum. Coatings 2025, 15, 920. https://doi.org/10.3390/coatings15080920
Ma X, Zhang X, Gao M, Hu R, Wang Y, Li G. Grain Boundary Regulation in Aggregated States of MnOx Nanofibres and the Photoelectric Properties of Their Nanocomposites Across a Broadband Light Spectrum. Coatings. 2025; 15(8):920. https://doi.org/10.3390/coatings15080920
Chicago/Turabian StyleMa, Xingfa, Xintao Zhang, Mingjun Gao, Ruifen Hu, You Wang, and Guang Li. 2025. "Grain Boundary Regulation in Aggregated States of MnOx Nanofibres and the Photoelectric Properties of Their Nanocomposites Across a Broadband Light Spectrum" Coatings 15, no. 8: 920. https://doi.org/10.3390/coatings15080920
APA StyleMa, X., Zhang, X., Gao, M., Hu, R., Wang, Y., & Li, G. (2025). Grain Boundary Regulation in Aggregated States of MnOx Nanofibres and the Photoelectric Properties of Their Nanocomposites Across a Broadband Light Spectrum. Coatings, 15(8), 920. https://doi.org/10.3390/coatings15080920

