Correlation Between Microstructure and Electric Behavior of (1−x)Ba0.96Ca0.04TiO3-xBa(Mg1/3Nb2/3)O3 Ceramics Prepared via Chemical-Furnace-Assisted Combustion Synthesis
Abstract
1. Introduction
2. Experimental Section
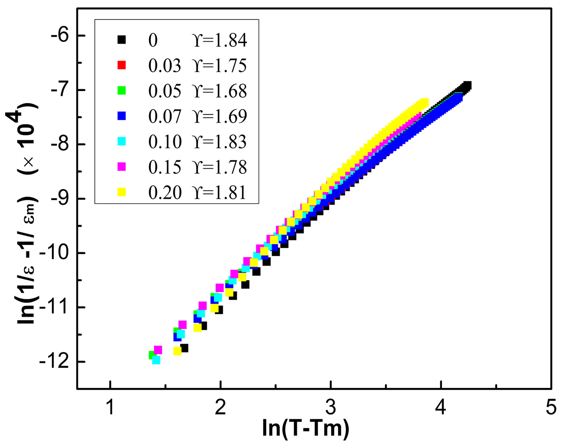
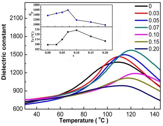
3. Results and Discussions
4. Conclusions
Author Contributions
Funding
Institutional Review Board Statement
Informed Consent Statement
Data Availability Statement
Conflicts of Interest
Correction Statement
References
- Peng, R.B.; Zhang, B.T.; Dong, G.H.; Wang, Y.H.; Yang, G.N.; Zhang, J.; Peng, B.; Zhao, Y.N.; Liu, M. Enhanced Piezoelectric Energy Harvester by employing freestanding single-crystal BaTiO3 Films in PVDF-TrFE Based composites. Adv. Funct. Mater. 2024, 34, 2316519. [Google Scholar] [CrossRef]
- Sheng, J.; Qiao, Y.; Zhang, W.; Cao, W.; Gao, C.; Li, W. Enhanced piezoelectric properties and depolarization temperature in NBT-based ceramics by doping BT nanowires. J. Alloy. Compd. 2020, 819, 153045. [Google Scholar] [CrossRef]
- Chen, S.; Wang, R.; Li, H.; Ye, H.; Cheng, J.; Wu, S.; He, X.; Jian, B.; Tao, R.; Ge, Q. High-precision BaTiO3 piezoelectric ceramics via vat photopolymerization 3D printing. J. Eur. Ceram. Soc. 2024, 44, 116706. [Google Scholar] [CrossRef]
- Nallagatla, V.R.; Maier, C.; Glettler, J.; Feteira, A.; Reichmann, K.; Deluca, M. Synergistic homovalent and heterovalent substitution effects on piezoelectric and relaxor behavior in lead-free BaTiO3 ceramics. J. Eur. Ceram. Soc. 2024, 44, 116689. [Google Scholar] [CrossRef]
- Sharma, P.; Berwal, N.; Ahlawat, N.; Maan, A.; Punia, R. Study of structural, dielectric, ferroelectric and magnetic properties of vanadium doped BCT ceramics. Ceram. Int. 2019, 45, 20368–20378. [Google Scholar] [CrossRef]
- Sharma, M.; Halder, A.; Vaish, R. Effect of Ce on piezo/photocatalytic effects of Ba0.9Ca0.1CexTi1-xO3 ceramics for dye/pharmaceutical waste water treatment. Mater. Res. Bull. 2020, 122, 110647. [Google Scholar] [CrossRef]
- Puli, V.S.; Pradhan, D.K.; Riggs, B.C.; Chrisey, D.B.; Katiyar, R.S. Investigations on structure, ferroelectric, piezoelectric and energy storage properties of barium calcium titanate (BCT) ceramics. J. Alloy. Compd. 2014, 584, 369–373. [Google Scholar] [CrossRef]
- Zhu, L.-F.; Zhang, B.-P.; Zhao, L.; Li, S.; Zhou, Y.; Shi, X.-C.; Wang, N. Large piezoelectric effect of (Ba,Ca)TiO3-xBa(Sn,Ti)O3 lead-free Ceramics. J. Eur. Ceram. Soc. 2016, 36, 1017–1024. [Google Scholar] [CrossRef]
- Zhao, C.; Wu, B.; Thong, H.-C.; Wu, J. Improved temperature stability and high piezoelectricity in lead-free barium titanate-based ceramics. J. Eur. Ceram. Soc. 2018, 38, 5411–5419. [Google Scholar] [CrossRef]
- Munpakdee, A.; Pengpat, K.; Tontrakoon, J.; Tunkasiri, T. The study of dielectric diffuseness in the Ba(Mg1/3Nb2/3)O3-BaTiO3 ceramic system. Smart Mater. Struct. 2006, 15, 1255–1259. [Google Scholar] [CrossRef]
- Huang, Z.H.; Lai, Y.M.; Guan, W.M.; Zeng, Y.M.; Wei, Y.X.; Wu, S.; Han, J.; Mao, Y.Y.; Xiang, Y. Structure, dielectric and ferroelectric properties of lead-free (1-x)(Ba0.85Ca0.15)(Ti0.9Zr0.1)O3-xBa(Mg1/3Nb2/3)O3 ceramics. Mater. Let. 2016, 178, 163–165. [Google Scholar] [CrossRef]
- Liu, X.; Yuan, C.L.; Liu, X.Y.; Li, Y.; Chen, G.H.; Li, X.Q.; Luo, F.H. Electric field-induced strains, conductivities and energy-storage properties in Na1/2Bi1/2TiO3-Ba(Mg1/3Nb2/3)O3 ceramics. J. Mater. Sci. Mater. Electron. 2017, 28, 4788–4795. [Google Scholar] [CrossRef]
- Sekhar, M.C.; Veena, E.; Kumar, N.S.; Naidu, K.C.B.; Mallikarjuna, A.; Basha, D.B. Areview on piezoelectric materials and their applications. Cryst. Res. Technol. 2023, 58, 2200130. [Google Scholar] [CrossRef]
- Liu, G.; Chen, K.; Li, J. Combustion synthesis: An effective tool for preparing inorganic materials. Scr. Mater. 2018, 157, 167–173. [Google Scholar] [CrossRef]
- Liu, G.; Chen, K.; Li, J.; Li, Y.; Zhou, M.; Li, L. Combustion synthesis of Cu2SnSe3 thermoelectric materials. J. Eur. Ceram. Soc. 2016, 36, 1407–1415. [Google Scholar] [CrossRef]
- Liu, G.; Li, J.; Chen, K. Combustion synthesis of refractory and hard materials: A review. Int. J. Refract. Met. Hard. Mater. 2013, 39, 90–102. [Google Scholar] [CrossRef]
- Kong, L.; Zhang, T.; Ma, J.; Boey, F. Progress in synthesis of ferroelectric ceramic materials via high-energy mechanochemical technique. Prog. Mater. Sci. 2008, 53, 207–322. [Google Scholar] [CrossRef]
- Liu, G.; Li, J.; Chen, K.; Yang, Z.; He, G.; Chen, Y. Combustion synthesis of TiB2-TiC-WB powders by coupling weak with strong exothermic reactions. Ceram. Int. 2017, 43, 12992–12995. [Google Scholar] [CrossRef]
- Merzhanov, A.G.; Borovinskay, I.P. Historical retrospective of SHS: An autoreview. J. Self Propag. High. Temp. Synth. 2008, 17, 242–265. [Google Scholar] [CrossRef]
- Varma, A.; Rogachev, A.S.; Mukasyan, A.S.; Hwang, S. Combustion synthesis of advanced materials: Principles and applications. Adv. Chem. Eng. 1998, 24, 79–226. [Google Scholar]
- Ding, Y.; Wang, Y.; Liu, W.; Pan, Y.; Yang, P.; Meng, D.; Zheng, T.; Wu, J. Shear-structured piezoelectric accelerometers based on KNN lead-free ceramics for vibration monitoring. J. Mater. Chem. C 2024, 10, 1039. [Google Scholar] [CrossRef]
- Chen, Z.H.; Li, Z.W.; Qiu, J.H.; Zhao, T.X.; Ding, J.N.; Jia, X.G.; Zhu, W.Q.; Xu, J.J. Y2O3 doped Ba0.9Ca0.1Ti0.9Sn0.1O3 ceramics with improved piezoelectric properties. J. Eur. Ceram. Soc. 2018, 38, 1349–1355. [Google Scholar]
- Perry, R.H.; Green, D. Perry’s Chemical Engineer’s Handbook; McGraw Hill: Tokyo, Japan, 1984. [Google Scholar]
- Lin, Y.T.; Ou, S.F.; Lin, M.H.; Song, Y.R. Effect of MgO addition on the microstructure and dielectric properties of BaTiO3 ceramics. Ceram. Int. 2018, 44, 3531–3535. [Google Scholar]
- Wang, Y.R.; Pu, Y.P.; Li, X.; Zheng, H.Y. Structural evolution, relaxation behaviors and dielectric properties of BaTiO3-BiAlO3 perovskite solid solutions. J. Mater. Sci. Mater. Electron. 2016, 27, 11565–11571. [Google Scholar] [CrossRef]
- Strathdee, T.; Luisman, L.; Feteira, A.; Reichmann, K. Ferroelectric to relaxor crossover in (1-x) BaTiO3-xBiYbO3 (0 ≤x≤0.08) ceramics. J. Am. Ceram. Soc. 2011, 94, 2292–2295. [Google Scholar] [CrossRef]
- Xie, T.B.; Huang, R.X.; Tan, J.H.; Luo, Y.N.; Lin, H.T.; Dai, Y.J. The impact of co-doping Ce, W, and Mn on the microstructure and piezoelectric performance of high-temperature piezoelectric ceramics based on CaBi2Nb2O9. Ceram. Int. 2024, 50, 17204–17213. [Google Scholar] [CrossRef]
- Liu, G.; Li, Y.; Wang, Z.; Zhang, L.; Chen, P.; Wei, F.; Wang, Y.; Yu, K.; Yan, Y.; Jin, L.; et al. Dielectric, ferroelectric and energy storage properties of lead-free (1−x)Ba0.9Sr0.1TiO3-xBi(Zn0.5Zr0.5)O3 ferroelectric ceramics sintered at lower temperature. Ceram. Int. 2019, 45, 15556–15565. [Google Scholar] [CrossRef]
- Su, H.H.; Hong, C.S.; Tsai, C.C.; Chu, S.Y. Dielectric behaviors of Ba(Mg1/3Nb2/3)O3 modified (Na0.5K0.5)NbO3 ceramics. Ceram. Int. 2018, 44, 7955–7962. [Google Scholar] [CrossRef]
- Luo, Z.; Hao, H.; Chen, C.; Zhang, L.; Yao, Z.; Cao, M.; Emmanuel, M.; Liu, H. Dielectric behaviors of Ba(Mg1/3Nb2/3)O3 modified (Na0.5K0.5)NbO3 ceramics. J. Alloy. Compd. 2019, 794, 358–364. [Google Scholar] [CrossRef]
- Cao, W.W.; Randall, C.A. Grain size and domain size relations in bulk ceramic ferroelectric materials. J. Phys. Chem. Solids 1996, 57, 1499–1505. [Google Scholar] [CrossRef]
- Orihara, H.; Hashimoto, S.; Ishibashi, Y. A theory of D-E hysteresis loop based on the avrami model. J. Phys. Soc. Jpn. 1994, 63, 103–1035. [Google Scholar] [CrossRef]
- Wu, M.; Yao, R.; Jin, C.; Xu, Y.; Xu, J.; He, L.; Yang, Y.; Liu, Y.; Zhong, L.; Gao, J. Significantly enhanced piezoelectric properties of BaTiO3-based ceramics with unchanged curie temperature via local chemical inhomogeneity. Chem. Eng. J. 2025, 518, 164844. [Google Scholar] [CrossRef]
- Tin, G.A.; Puneth, P.; Adhikary, G.D.; Ranjan, R. Simultaneous increase in piezoelectric response and Curie point in BaTiO3 based Pb-free piezoceramic. Scripta Mater. 2024, 243, 115994. [Google Scholar] [CrossRef]
- Keswani, B.C.; Patil, S.I.; James, A.R.; Kolekar, Y.D.; Ramana, C.V. Correlation between structural, ferroelectric, piezoelectric and dielectric properties of Ba0.7Ca0.3TiO3-xBaTi0.8Zr0.2O3 (x = 0.45, 0.55) ceramics. Ceram. Int. 2018, 44, 20921–20928. [Google Scholar] [CrossRef]









Disclaimer/Publisher’s Note: The statements, opinions and data contained in all publications are solely those of the individual author(s) and contributor(s) and not of MDPI and/or the editor(s). MDPI and/or the editor(s) disclaim responsibility for any injury to people or property resulting from any ideas, methods, instructions or products referred to in the content. |
© 2025 by the authors. Licensee MDPI, Basel, Switzerland. This article is an open access article distributed under the terms and conditions of the Creative Commons Attribution (CC BY) license (https://creativecommons.org/licenses/by/4.0/).
Share and Cite
Ding, H.; Wang, J.; Qin, T.; Cui, L.; Jia, G.; Ji, G.; Li, Z. Correlation Between Microstructure and Electric Behavior of (1−x)Ba0.96Ca0.04TiO3-xBa(Mg1/3Nb2/3)O3 Ceramics Prepared via Chemical-Furnace-Assisted Combustion Synthesis. Coatings 2025, 15, 817. https://doi.org/10.3390/coatings15070817
Ding H, Wang J, Qin T, Cui L, Jia G, Ji G, Li Z. Correlation Between Microstructure and Electric Behavior of (1−x)Ba0.96Ca0.04TiO3-xBa(Mg1/3Nb2/3)O3 Ceramics Prepared via Chemical-Furnace-Assisted Combustion Synthesis. Coatings. 2025; 15(7):817. https://doi.org/10.3390/coatings15070817
Chicago/Turabian StyleDing, Haiqin, Jun Wang, Tongchun Qin, Lingling Cui, Guodong Jia, Guang Ji, and Zhiwei Li. 2025. "Correlation Between Microstructure and Electric Behavior of (1−x)Ba0.96Ca0.04TiO3-xBa(Mg1/3Nb2/3)O3 Ceramics Prepared via Chemical-Furnace-Assisted Combustion Synthesis" Coatings 15, no. 7: 817. https://doi.org/10.3390/coatings15070817
APA StyleDing, H., Wang, J., Qin, T., Cui, L., Jia, G., Ji, G., & Li, Z. (2025). Correlation Between Microstructure and Electric Behavior of (1−x)Ba0.96Ca0.04TiO3-xBa(Mg1/3Nb2/3)O3 Ceramics Prepared via Chemical-Furnace-Assisted Combustion Synthesis. Coatings, 15(7), 817. https://doi.org/10.3390/coatings15070817
