Abstract
The presence of pyrite in coal gangue significantly degrades the performance of its prepared kaolin in ceramic and coating applications. Implementing separation techniques to remove pyrite can markedly enhance the quality of kaolin products. However, there is no research on the effect of material particle size distribution on the separation effect in the current study on shaking table separation. For this reason, the coal gangue was crushed to different maximum particle sizes in this study, and its particle size distribution was fitted and analyzed. Based on the fitting results, the Rosin–Rammler–Sperling–Bennet (RRSB) distribution with a uniformity coefficient n of 0.74 was used to study the influence of the characteristic particle size de on the separation effect. Fuller distribution with distribution modulus q of 0.45 was also used to study the impact of maximum particle size dmax. The results showed that the Fuller distribution reduced the contents of SO3 and Fe2O3 by 30.85% and 25.71%, respectively, compared with the raw materials. In comparison, the RRSB distribution reduced the contents of SO3 and Fe2O3 by 41.01% and 30.85%, respectively, indicating that the separation effect of the RRSB distribution was better than that of the Fuller distribution. In addition, when the characteristic particle size de of the RRSB distribution was 37–42 μm, the content of SO3 and Fe2O3 in the tailings varied very little, and the separation effect was stable. This study demonstrates that the particle size distribution significantly influences the separation efficiency of the shaking table, providing a novel idea for enhancing shaking table separation processes. Future studies may further explore the effect of another parameter or two-parameter coupling of RRSB distribution and Fuller distribution on the separation effect of the shaking table.
1. Introduction
Coal gangue, the predominant solid waste from coal mining and processing activities [1], has long suffered from a low effective utilization rate [2]. This inefficiency has led to substantial stockpiles of coal gangue, resulting in the wastage of land resources [3,4] and a range of environmental issues affecting soil quality [5,6], water systems [7], air quality [8], and more. From a mineralogical standpoint, coal gangue primarily consists of kaolinite and quartz, with minor amounts of calcite and pyrite [9,10]. Given its mineral composition’s resemblance to clay minerals [11,12], coal gangue can be processed through separation techniques to produce kaolin products. As an essential industrial raw material, kaolin finds extensive applications in industries such as ceramics and coatings [13,14].
The primary impurity mineral encountered in preparing kaolin from coal gangue is pyrite. Research has demonstrated that sulfur (S) and iron (Fe) in coal gangue predominantly exist in the form of pyrite [15,16,17]. The presence of pyrite leads to high SO3 and Fe2O3 content of kaolin obtained from coal gangue separation, affecting its application performance. The industry requires SO3 and Fe2O3 content not exceeding 0.80% and 1.50% in ceramics. Excessive SO3 and Fe2O3 content will increase ceramic products’ porosity while reducing their whiteness and gloss. In the coatings field, the whiteness is not less than 82.0%, and the high content of SO3 and Fe2O3 will reduce the whiteness and durability of coatings. Given the significant density difference between pyrite in coal waste and other associated minerals, this characteristic provides a theoretical foundation for the re-separation of pyrite. Effective pyrite separation can be achieved by leveraging the high precision, efficiency, and low energy consumption of the shaking table separation process [18,19].
In the investigation of shaking table separation, Sajima utilized tin tailings containing 55.87% ZrO2 as raw materials to conduct a comprehensive analysis of the impact of water flow rate, feed rate, and slope on the separation efficiency of zircon minerals. Under optimized conditions, the recovery of zircon minerals was significantly enhanced, achieving a recovery rate of 88.80% [20]. Akbari conducted a separation process on thorium present in the waste slag from the Choghart iron mine. By optimizing four critical parameters, including the slope, feed rate, water flow rate, and feed particle size, the ThO2 content in the waste slag was reduced from 0.25% to 0.05% [21]. Ali conducted a shaking table separation experiment on iron ore in the Karak area. The results indicated that when the ore was ground to 100 mesh, the grade of Fe2O3 in the separated iron ore increased from 28.27% to 36.51%. Furthermore, when the ore was ground to 200 mesh, the Fe2O3 grade further increased to 38.70% [22]. Kaseba conducted chromite separation on the tailings from a chromium processing plant. By optimizing parameters such as slope, feed rate, water flow rate, and stroke frequency, the tailings with a maximum particle size of 500 μm were classified into three distinct particle size fractions. This process ultimately reduced the Cr2O3 content in the tailings from 19.86% to 9.17% [23]. Abaka-Wood utilized a shaking table to separate rare earth minerals from rare earth tailings. Under specific conditions of slope, water flow rate, and ore feed concentration, the rare earth tailings, with a maximum particle size of 150 μm, were classified into three distinct particle size ranges for separation. Consequently, the concentration of rare earth minerals was reduced from 0.85% to 0.76% [24]. Öztürk conducted the shaking table separation experiments on chromite with a maximum particle size of 0.6 mm under controlled conditions of stroke, stroke frequency, and slope. By fractionating the ore into six distinct particle size ranges, the Cr2O3 content in the chromite was reduced from 3.98% to 0.64% [25]. Cheng conducted particle size analysis of tantalum and niobium ore products obtained by shaking table separation and found that the particle size of niobium and tantalum ore was the coarsest in the concentrate, mainly distributed in the range of −150 + 38 µm. The particle size of the middlings was the second, concentrated in the range of −75 + 20 µm. The particle size of niobium-tantalum ore in tailings was the smallest, mainly distributed below −38 µm [26].
At present, research on shaking table separation predominantly focuses on the impact of equipment operating parameters, ore particle size, and grain size range on separation efficiency. However, the research on the influence of material particle size distribution on the separation efficiency has not been reported. Therefore, this paper investigates the impact of stroke and stroke frequency parameters on shaking table performance under fixed water flow rate and slope conditions. Based on sample size distribution fitting, this study examined the effect of maximum particle size dmax on the separation performance of a shaking table with a Fuller distribution modulus q of 0.45. Additionally, the influence of characteristic particle size de on the separation results of the shaking table was analyzed when the Rosin–Rammler–Sperling–Bennet (RRSB) distribution parameter n was set to 0.74.
2. Materials and Methods
2.1. Raw Materials and Samples
2.1.1. Raw Materials
The raw material consists of the tailings derived from Ningwu coal gangue following jig separation. As detailed in Table 1, the chemical composition primarily includes SiO2, Al2O3, Fe2O3, CaO, and SO3, among others. Specifically, the content of SO3 and Fe2O3 in the raw materials is 1.78% and 3.89%, respectively, indicating that this material falls into the category of low-sulfur coal gangue. As illustrated by the XRD pattern of the raw materials presented in Figure 1, the primary mineral constituents are kaolinite and quartz, along with minor amounts of calcite and pyrite.
Table 1.
Chemical composition of raw materials (%).
Figure 1.
XRD pattern of raw materials.
2.1.2. Samples
- (1)
- Stroke and stroke frequency of the sample
Sample C was prepared by grinding the raw material to ensure a maximum particle size of 125 μm. This sample was subsequently utilized for the separation experiments to evaluate the stroke and stroke frequency of the shaking table.
- (2)
- Fuller distribution and RRSB distribution of the sample
Six groups of raw materials were divided into samples with maximum particle sizes (dmax) of 1000 μm, 500 μm, 250 μm, 125 μm, 63 μm, and 40 μm. Three parallel samples were prepared for each group of samples. The sample size distribution curves were fitted using four different distributions: RRSB distribution, Fuller distribution, lognormal distribution, and normal distribution. The average determination coefficient (R2) obtained from the fitting is shown in Table 2. As shown in Table 2, the R² values for the RRSB distribution are closest to 1 among the six sample groups, followed by those for the Fuller distribution. Therefore, the RRSB distribution exhibits the highest degree of fit, followed by the Fuller distribution. Consequently, the RRSB and Fuller distributions were selected for subsequent experimental analyses.
Table 2.
Distribution fitting determination coefficient R2.
The Fuller distribution function, which is governed by two parameters, is presented as follows.
where F(d)—cumulative percentage under sieve (%); dmax—the maximum particle size of the material; d—Particle size of the material, ranging from 0 to dmax; q—Distribution modulus.
Based on the fitting results, the distribution modulus q ranged between 0.39 and 0.51. The value of q was set to the midpoint of this range, 0.45, while the maximum particle size dmax was set to 1000 μm, 500 μm, 250 μm, 125 μm, 63 μm, and 40 μm, respectively, to prepare six different samples, which were labeled sequentially as F1, F2, F3, F4, F5, and F6.
The RRSB distribution function, which is governed by two parameters, is presented in the subsequent equation.
where U(d)—cumulative percentage under sieve (%); de—characteristic particle size, indicating the thickness of the material; d—Particle size of the material, ranging from 0 to dmax; n—Uniformity coefficient.
Based on the fitting results, the range of the uniformity coefficient n was 0.52 to 0.96. The uniformity coefficient n was taken as the middle value of the fitting range, 0.74, and the characteristic particle size de was used as a variable to prepare six specimens as 340, 150, 40, 30, 13, and 9 μm, respectively. These samples were designated as R1, R2, R3, R4, R5, and R6 in sequence. The corresponding maximum particle sizes dmax for these characteristic particle sizes are 1000, 500, 250, 125, 63, and 40 μm, respectively.
2.2. Testing Instruments
Shaking Table: Model LY1100/500, bed surface 1100 × 500 mm, main operating parameters, feed particle size −2 mm, stroke 9~17 mm, stroke frequency 280~460 times/min, slope 0~10°, water flow rate 0.1~0.5 t/h.
2.3. Testing Methodologies
Following the preparation of a pulp by mixing 300 g of sample with 600 g of water, a separation experiment was conducted. The resulting products from this process included concentrate, middlings, and tailings.
- (1)
- Stroke and stroke frequency
Under the conditions of a water flow rate of 40 mL/s, a slope of 2° and a stroke frequency of 290 times/min, the stroke was changed to carry out the separation experiment.
Under the conditions of a water flow rate of 40 mL/s, a slope of 2°, and optimal stroke, the separation experiment was carried out by changing the stroke frequency.
- (2)
- Fuller distribution and RRSB distribution
Under the conditions of a water flow rate of 40 mL/s and a slope of 2°, separation experiments were conducted on two types of particle size distribution samples using optimal stroke and stroke frequencies.
2.4. Testing and Analysis
The chemical composition of coal gangue jig tailings was analyzed using an X-ray fluorescence spectrometer (XRF, model Panalytical Axios, Almelo, The Netherlands). The mineralogical composition was characterized via X-ray diffraction (XRD, model Rigaku SmartLab SE, Tokyo, Japan). Following GB/T 27974-2011 “Method for chemical analysis of fly ash and coal gangue as building materials”, the concentrations of SO3 and Fe2O3 in the separation products from the shaking table were determined [27]. Specifically, the sulfur element in the samples was converted to sulfate precipitates using the Eska method, and the total sulfur content was then calculated as SO3 based on the precipitate mass. For Fe2O3 determination, samples were subjected to alkali fusion, followed by EDTA titration of the resulting solution to convert the measured Fe content into Fe2O3.
3. Results
3.1. Stroke and Stroke Frequency
The stroke and stroke frequency influence the loosening stratification and selective transport of ore particles, thereby affecting the separation efficiency of the shaking table. The fundamental principle is to use more minor strokes with higher stroke frequencies to prevent acceptable particle adhesion during separation. Conversely, for coarse particle separation, larger strokes with lower stroke frequencies should be employed to avoid particle accumulation [28].
3.1.1. Stroke
Under a water flow rate of 40 mL/s, a slope of 2°, and a stroke frequency of 290 times/min, Sample C completed the separation processes for strokes of 10 mm, 12 mm, 14 mm, and 16 mm, respectively. The experimental results are summarized in Table 3.
Table 3.
Separation results in four kinds of strokes.
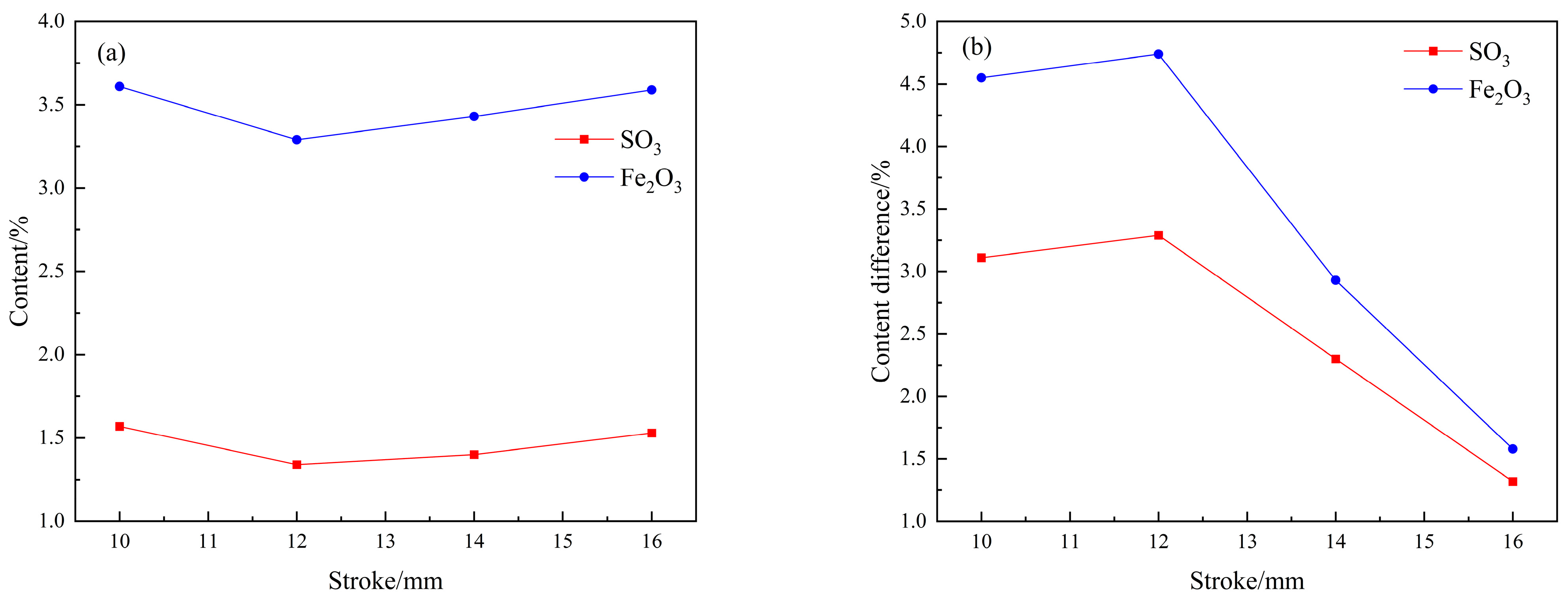
As illustrated in Table 3, as the stroke increased from 10 mm to 16 mm, the tailings yield gradually decreased. The content of SO3 and Fe2O3 in the tailings initially decreased and then increased. The difference in the SO3 and Fe2O3 content between the concentrate and tailings first increases and then decreases, as depicted in Figure 2. When the stroke was set at 12 mm, the content of SO3 and Fe2O3 in the tailings reached their lowest levels, while the difference in these concentrations between the concentrate and tailings reached its peak.
Figure 2.
Influence of stroke on separation results. (a) Content of SO3 and Fe2O3 in tailings. (b) Difference content of SO3 and Fe2O3 between concentrate and tailings.
At this point, the separation efficiency was optimal. The yield of tailings was 74.5%, with SO3 and Fe2O3 content measured at 1.34% and 3.29%, respectively. Compared to the raw material, the SO3 and Fe2O3 content had decreased by 24.72% and 15.42%, respectively. The difference in the SO3 and Fe2O3 content between the concentrate and tailings reached 3.29% and 4.74%, respectively.
3.1.2. Stroke Frequency
Under a water flow rate of 40 mL/s, a slope of 2°, and a stroke of 12 mm, Sample C completed separation operations at stroke frequencies of 260, 290, 320, and 350 times/min, respectively. The experimental results are summarized in Table 4.
Table 4.
Separation results under four kinds of stroke frequencies.
As illustrated in Table 4, as the stroke frequency increased, the tailings yield initially rose and subsequently declined. The SO3 and Fe2O3 content in the tailings exhibited an inverse trend, decreasing first and then increasing. The difference in the SO3 and Fe2O3 content between the concentrate and tailings followed a pattern of initial increase followed by a decrease, as depicted in Figure 3. It is evident from the separation results that a stroke frequency of 320 times/min yields the most suitable and optimal separation performance.
Figure 3.
Influence of stroke frequency on separation results. (a) Content of SO3 and Fe2O3 in tailings. (b) Difference content of SO3 and Fe2O3 between concentrate and tailings.
At this stage, the separation efficiency reached its optimal performance. The yield of tailings was 81.5%, with SO3 and Fe2O3 content measured at 1.23% and 3.10%, respectively. Compared to the raw material, the SO3 and Fe2O3 content had decreased by 30.90% and 20.31%, respectively. Furthermore, the difference in the SO3 and Fe2O3 concentrations between the concentrate and tailings reaches 5.01% and 8.24%, respectively.
3.2. Fuller Distribution
The separation experiment results for the Fuller distribution of samples F1 through F6, conducted under conditions of a water flow rate of 40 mL/s, a slope of 2°, a stroke of 12 mm, and a stroke frequency of 320 times/min, are presented in Table 5.
Table 5.
Separation results of different dmax samples distributed by Fuller.
As indicated in Table 5, as the maximum particle size (dmax) decreased, the tailings yield consistently increased, while the SO3 and Fe2O3 content in the tailings initially decreased and then increased. The difference in the SO3 and Fe2O3 content between the concentrate and tailings exhibited an initial increase followed by a decrease, as illustrated in Figure 4. In the F3 sample experiment, when the maximum particle size (dmax) was 250 μm, the SO3 and Fe2O3 content in the tailings reached its lowest value, and the difference in the SO3 and Fe2O3 content between the concentrate and tailings peaked.
Figure 4.
Effect of dmax on the separation results of Fuller distribution. (a) Content of SO3 and Fe2O3 in tailings. (b) Difference content of SO3 and Fe2O3 between concentrate and tailings.
At this point, the separation efficiency was optimal. The yield of tailings was 72.3%, with SO3 and Fe2O3 content measured at 1.14% and 2.89%, respectively. Compared to the raw material, the SO3 and Fe2O3 content had decreased by 30.85% and 25.71%, respectively. The difference in the SO3 and Fe2O3 content between the concentrate and tailings reached 5.29% and 9.14%, respectively.
3.3. RRSB Distribution
The separation experimental results for six RRSB distributed samples, conducted under conditions of a water flow rate of 40 mL/s, a slope of 2°, a stroke of 12 mm and a stroke frequency of 320 times/min, are presented in Table 6.
Table 6.
Separation results of RRSB distribution of different de samples.
As indicated in Table 6, a decrease in the characteristic particle size (de) led to a continuous increase in the tailings yield. The SO3 and Fe2O3 content in the tailings initially decreased and then increased. The difference in the SO3 and Fe2O3 content between the concentrate and tailings first increased and then decreased, as illustrated in Figure 5. In the R3 sample experiment, the SO3 and Fe2O3 content in the tailings reached their lowest levels, while the difference in the SO3 and Fe2O3 content between the concentrate and tailings peaked.
Figure 5.
Effect of de on RRSB distribution separation results. (a) Content of SO3 and Fe2O3 in tailings. (b) Difference content of SO3 and Fe2O3 between concentrate and tailings.
When the characteristic particle size de was set to 40 μm, and the corresponding maximum particle size dmax was 250 μm, the separation efficiency reached its optimal state. Under these conditions, the yield of tailings was 73.7%, with the SO3 and Fe2O3 content at 1.05% and 2.69%, respectively. Compared to the raw material, the SO3 and Fe2O3 content had reduced by 41.01% and 30.85%, respectively. Furthermore, the differences in the SO3 and Fe2O3 content between the concentrate and tailings can reach 6.40% and 11.40%, respectively.
As illustrated in Figure 5, the optimal separation performance of RRSB distribution is achieved when the characteristic particle size deranges between 30 and 150 μm. Notably, the difference in the SO3 and Fe2O3 content between the concentrate and tailings sharply decreases as the characteristic particle size (de) increases from 40 μm to 150 μm. To improve the adaptability of the separation experiments, additional sample separation tests were conducted with dmax values of 200 μm and 300 μm, both before and after achieving the optimal separation effect at de = 40 μm (with a corresponding dmax of 250 μm). During these tests, the characteristic particle sizes of the samples were 37 μm and 42 μm, respectively. Table 7 summarizes the separation results from the adaptability experiments.
Table 7.
Results of RRSB distribution adaptability experiment.
As illustrated in Figure 6, within the characteristic particle size de range of 37 μm to 42 μm, the concentrations of SO3 and Fe2O3 in the tailings exhibit minimal variation, with maximum changes of only 0.10% and 0.16%, respectively. Therefore, a characteristic particle size within the range of 37 to 42 μm could achieve optimal separation efficiency.
Figure 6.
Results of RRSB separation adaptability experiment. (a) Content of SO3 and Fe2O3 in tailings. (b) Difference content of SO3 and Fe2O3 between concentrate and tailings.
4. Discussion
Stroke is a critical parameter in analyzing factors influencing the separation efficiency of shaking tables. Based on the experimental findings, a stroke of 12 mm is determined to be optimal. When the stroke is less than 12 mm, the amplitude of bed surface movement is relatively small, consequently limiting the travel distance and velocity of the ore particles on the bed surface [29]. Consequently, particles with varying densities and sizes cannot fully disperse, making it challenging to establish distinct separation zones. In processing mixed coarse and fine particles, the small stroke prevents adequate differential motion between these particles, leading to mutual interference [30]. Additionally, a smaller stroke results in reduced vibration amplitude beneath the bed surface, causing insufficient force on the ore particles. This leads to heavy particles failing to settle adequately to the lower layer and lighter particles not floating properly to the upper layer, hindering effective stratification based on density differences.
Conversely, when the stroke exceeds 12 mm, the increased amplitude causes vigorous movement of ore particles on the bed surface, intensifying particle collisions and disrupting ideal stratification. Moreover, an excessively large stroke reduces the residence time of ore particles on the bed, resulting in particles being removed from the bed before proper stratification occurs. The synergy between bed movement and transverse flow is also compromised due to either too small or too large strokes, adversely affecting the overall separation efficiency. This demonstrates that adjusting the stroke parameters can significantly enhance the shaking table’s separation efficiency. Ibrahim decreased the Fe2O3 content in the silica sand from 254 ppm to 181 ppm by optimizing the stroke of the shaking table [31]. This demonstrated that adjusting the stroke parameter can significantly enhance the shaking table’s separation efficiency.
In the stroke frequency condition experiment, based on the experimental findings, a stroke frequency of 320 times/min is optimal. When the stroke frequency is below 320 times/min, the number of strokes is insufficient. Consequently, the vibration frequency of the bed surface is reduced, leading to inadequate movement time for ore particles on the bed surface. This prevents ore particles from migrating and stratifying based on differences in particle size and density. Additionally, a lower stroke frequency results in weaker vibrational forces acting on the ore particles, which are insufficient to overcome the frictional and agglomeration forces between them. This leads to an increase in bed thickness and ineffective stratification, thereby diminishing the separation efficiency.
Conversely, when the stroke frequency exceeds 320 times/min, the number of strokes increases significantly. The bed surface vibrates more frequently within a unit of time, causing frequent changes in the acceleration of ore particles. This leads to disordered particle movement and enhanced “segregation” effects, pushing larger particles from the concentration zone and middling zone to the top of the bed and into the tailings. Moreover, excessive stroke frequency can create complex flow conditions on the bed surface, including vortices and rapids, complicating the stress conditions experienced by ore particles and making it difficult to achieve optimal separation [32].
Furthermore, the stroke frequency and amplitude must be well-coordinated; both excessively low or high stroke frequency will disrupt their synergistic effect and reduce separation efficiency. Öztürk enriched chromite ore with a Cr2O3 content of 3.98% to obtain a concentrate with a Cr2O3 content of 46.89% and a recovery of 85.18% by optimizing the stroke frequency of the shaking table. Additionally, Öztürk employed Yates’ method and ANOVA to verify that the stroke frequency significantly influenced the separation efficiency of the shaking table [25].
For Fuller distribution, the sample with a maximum particle size (dmax) of 250 μm exhibits an optimal crushing degree, resulting in a more reasonable particle size distribution and improved particle dispersion during the separation process, thereby enhancing the overall separation efficiency. Pyrite in coal gangue predominantly occurs in aggregate form [33,34], with a minor presence as single particles [16]. Regardless of its form, pyrite particles are typically very small (1–6 μm). Although some pyrite may dissociate from other minerals during crushing, most remain attached. The separation of six types of samples was conducted under identical stroke and stroke frequency conditions. When the particle size is large, insufficient crushing results in more agglomerates [35], with pyrite being significantly adhered to other minerals. This leads to ineffective dispersion of particles, resulting in elevated levels of SO3 and Fe2O3 in the tailings, which hinders effective separation.
Conversely, when the particle size is small, excessive crushing produces fine particles and significant slime. During the particle settling process, the influence of gravity cannot be overlooked as it plays a crucial role in particle settlement. Gravity, a fundamental natural force, consistently exerts a downward vertical force on particles [36]. When the ore mass is small and gravitational force is insufficient, the sedimentation velocity and viscous resistance between particles become comparable [37,38,39]. Consequently, the difference in sedimentation velocity between lighter and heavier minerals diminishes, leading to heterogeneous agglomeration [40,41]. This causes the separation process to primarily rely on particle size stratification rather than density classification, thereby reducing the overall separation efficiency.
For the RRSB distribution, the optimal separation effect is achieved when the characteristic particle size de is 40 μm, with the maximum particle size dmax of the sample being 250 μm. While both the RRSB and Fuller distributions yield their best separation results at a maximum particle size dmax of 250 μm, the RRSB distribution demonstrates superior performance in terms of separation outcomes. Specifically, compared to the Fuller distribution, the SO3 and Fe2O3 content in the tailings obtained from the optimal RRSB distribution decreased by 7.89% and 6.92%, respectively. For the 250 μm sample, the d50 of the RRSB distribution is 21 μm, while the d50 of the Fuller distribution is 54 μm. This indicates that the RRSB distribution contains a higher proportion of fine particles compared to the Fuller distribution. As the particle size increases, the weight of the same mineral also increases. Under constant operating parameters, varying particle sizes result in different motion states on the bed surface. With increasing particle size, the maximum velocity and weighted average velocity of the particles increase, as does the longitudinal velocity. Consequently, most coarse particles are driven into the concentrate and middlings by the bed surface motion. This results in an increase in the SO3 and Fe2O3 content in the tailings while reducing the tailings yield. Therefore, the concentrations of SO3 and Fe2O3 in the tailings obtained under the optimal RRSB distribution are lower compared to those under the Fuller distribution.
The principle by which the Fuller distribution and RRSB distribution influence the separation efficiency of a shaking table is fundamentally the same. Both distributions affect the stratification and zoning of materials by altering their gradation and regulating the tightness of the bed layer, thereby influencing the separation efficiency of the shaking table. The maximum particle size dmax in the Fuller distribution and the characteristic particle size de in the RRSB distribution can both serve as indicators of material particle size characteristics. A comparative analysis of the separation results from these two distributions reveals that the separation efficiency of the shaking table generally increases as the particle size becomes finer. Still, it exhibits a downward trend to some extent beyond a certain threshold.
5. Conclusions
In this experiment, under the conditions of a fixed water flow rate and slope, it was determined that the optimal stroke and stroke frequency of the shaking table separation process were 12 mm and 320 times/min, respectively. Subsequently, by employing the Fuller distribution and RRSB distribution, the influence of material size distribution on the separation efficiency of the shaking table was emphatically investigated.
For the Fuller distribution, when the distribution modulus q was set to 0.45, and the maximum particle size dmax was 250 μm, the separation efficiency reached its optimal level. Tailings with a yield of 72.3% were obtained, containing 1.14% SO3 and 2.89% Fe2O3. The differences in the SO3 and Fe2O3 content between the concentrate and tailings were 5.29% and 9.14%, respectively.
For the RRSB distribution, when the uniformity coefficient n was 0.74, the characteristic particle size de is 40 μm, and the corresponding maximum particle size dmax was 250 μm, the separation efficiency reached its optimal level. Tailings with a yield of 73.7% were obtained, containing 1.05% SO3 and 2.69% Fe2O3. The differences in the SO3 and Fe2O3 content between the concentrate and tailings were 6.40% and 11.40%, respectively.
The separation efficiency of the RRSB distribution was superior to that of the Fuller distribution. When the RRSB particle size (de) was within the range of 37 to 42 μm, the maximum variation in the SO3 and Fe2O3 content in the tailings was only 0.10% and 0.16%, respectively, thereby achieving ideal separation results within this range.
The principle by which both Fuller distribution and RRSB distribution influence the separation efficiency of shaking tables is fundamentally the same. Both methods affect the stratification and zoning effects of materials by altering particle size distribution and regulating the compactness of the bed layer. At the optimal separation efficiency, the RRSB distribution is more reasonable compared to the Fuller distribution gradation, and its separation efficiency is better. In future studies, the influence of another parameter or two-parameter coupling of RRSB distribution and Fuller distribution on the separation effect of the shaking table can be further explored.
Author Contributions
Conceptualization, X.H. and W.J.; methodology, X.H. and W.J.; validation, W.J.; investigation, W.J.; writing—original draft preparation, W.J.; writing—review and editing, X.H.; visualization, X.F.; supervision, Y.W.; project administration, X.H., W.J. and H.L.; resources, H.L.; funding acquisition, X.H. All authors have read and agreed to the published version of the manuscript.
Funding
This work was funded by the Key Research and Development Plan of Shaanxi Province, with funding numbers 2024GX-YBXM-572 and 2019TSLGY05-04.
Institutional Review Board Statement
Not applicable.
Informed Consent Statement
Not applicable.
Data Availability Statement
The raw and processed data required to reproduce these results are available upon reasonable request.
Conflicts of Interest
Hao Li was employed by the company Shaanxi Nonferrous Metallurgy Technology Co., Ltd. The remaining authors declares that the research was conducted in the absence of any commercial or financial relationships that could be construed as a potential conflict of interest.
References
- Zhang, W.; Lang, L.; Dong, C.X.; Qi, Z.; Zhang, Z.R.; Li, J.S. Comprehensive study on coal gangue-based geopolymer activated by phosphoric acid: From macroscale properties to molecular simulation. Constr. Build. Mater. 2024, 438, 137271. [Google Scholar] [CrossRef]
- Qin, Q.Z.; Geng, H.H.; Deng, J.S.; Su, X.B.; Chen, M.; Park, C. Al and other critical metals co-extraction from coal gangue through delamination pretreatment and recycling strategies. Chem. Eng. J. 2023, 477, 147036. [Google Scholar] [CrossRef]
- Wang, G.; He, X.; Yang, Y.L.; Xiong, M.Z.; Ji, Y.H.; Qin, B.K. Experimental study on activation of coal gangue and preparation of cementing materials. J. Phys. Conf. Ser. 2024, 2842, 012029. [Google Scholar] [CrossRef]
- Li, Y.; Xia, J.W.; Xia, Z.; Chen, M.W.; Wang, J.; Zhang, Y.H. Study on the mechanical behavior and micro-mechanism of concrete with coal gangue fine and coarse aggregate. Constr. Build. Mater. 2022, 338, 127626. [Google Scholar]
- Ye, C.; Shen, Z.J.; Wang, Y.M.; Mei, N.; Li, C.X.; Liu, Y.J.; Ma, W.H.; Zhang, C.; Wang, D.Y. Tracing and quantifying the source of heavy metals in agricultural soils in a coal gangue stacking area: Insights from isotope fingerprints and receptor models. Sci. Total Environ. 2023, 863, 160882. [Google Scholar]
- Liu, X.; Jin, Z.; Qiang, L.; Weidong, L. Preparation of technosol based on coal gangue and its impact on plant growth in coal mining area. J. Clean. Prod. 2024, 467, 142998. [Google Scholar] [CrossRef]
- Bing, S.; Hui, W. The Influence of CO2 Curing on the Properties of Coal Gangue Non-Fired Blocks. Buildings 2024, 14, 1950. [Google Scholar] [CrossRef]
- Zhang, Y.; Gui, H.R.; Huang, Y.Z.; Yu, H.; Li, J.; Wang, M.C.; Fang, H.X.; Jiang, Y.; Wang, C.L.; Chen, C. Characteristics of Soil Heavy Metal Contents and its Source Analysis in Affected Areas of Luning Coal Mine in Huaibei Coalfield. Pol. J. Environ. Stud. 2021, 30, 1465–1476. [Google Scholar] [CrossRef]
- Li, J.T.; Liu, L.S.; Kang, X.J.; Li, K.; Zhang, S.; Liu, Q.F. Enrichment of lithium in the claystone coal gangue from the Malan mine, Xishan Coalfield, Shanxi Province, Northern China. Geochemistry 2023, 83, 125972. [Google Scholar] [CrossRef]
- Liu, L.H.; Liu, Q.F.; Li, Y.K.; Cao, H.Y.; Kang, X.J. Occurrence of Iron in the Minerals of Carboniferous Coal Gangue of the Pingshuo Open-pit Mine, North China. Clays Clay Miner. 2022, 70, 695–711. [Google Scholar] [CrossRef]
- Huang, Y.L.; Wang, W.F.; Bian, Z.F. Prospects of resource utilization and disposal of coal-based solid wastes in Xinjiang. Coal Sci. Technol. 2021, 49, 319–330. [Google Scholar]
- Liu, Y.D.; Wang, D.P. Research and application of pillar support form and new pump-filled pillar in coal mine roadways. Chin. J. Rock. Mech. Eng. 2024, 43, 2466–2484. [Google Scholar]
- Buyondo, A.K.; Kasedde, H.; Kirabira, J.B. A comprehensive review on kaolin as pigment for paint and coating: Recent trends of chemical-based paints, their environmental impacts and regulation. Case Stud. Chem. Environ. Eng. 2022, 6, 100244. [Google Scholar] [CrossRef]
- Nguyễn, T.T.; Bui, H.B. Characterization and thermal behavior of some types of kaolin of different origin from Northern Vietnam. Min. Sci. Technol. 2024, 9, 30–40. [Google Scholar]
- Chen, Z.H.; Huang, X.Y.; He, H.; Tang, J.L.; Tao, X.X.; Huang, H.Z.; Haider, R.; Ali, M.I.; Jamal, A.; Huang, Z.X. Bioleaching Coal Gangue with a Mixed Culture of Acidithiobacillus ferrooxidans and Acidithiobacillus thiooxidans. Minerals 2021, 11, 1043. [Google Scholar] [CrossRef]
- Liu, L.H.; Liu, Q.F.; Zhang, K.N.; Zhang, S.; Li, K.; Li, J.T.; Peng, G.Y. Thermal decomposition and oxidation of pyrite with different morphologies in the coal gangue of North China. J. Therm. Anal. Calorim. 2022, 148, 2023–2038. [Google Scholar]
- Ma, D.; Lin, C.; Zhang, F.; Duan, Y.G.; Feng, D.C. Accelerated oxidation behaviors and thermodynamic characteristics of unburned gangue for road applications. Fuel 2025, 387, 134371. [Google Scholar]
- Barbu, C.A.; Tomuș, N.; Radu, A.D.; Zlăgnean, M.; Popescu, I.-C. Gravity Separation: Highly Effective Tool for Gold-Bearing Slag’s Recycling. J. Sustain. Metall. 2021, 7, 1852–1861. [Google Scholar]
- Xu, P.Y.; Fang, H.; Chen, Z.; Liu, B.; Jiang, Z.K.; Guo, X.Y.; Xu, K.H. Chromite removal process from low-grade laterite nickel ore by classification and gravity-magnetic combined separation technology. J. Cent. South. Univ. Sci. Technol. 2020, 51, 567–578. [Google Scholar]
- Sajima, T.H.; Suyanti; Sudaryadi. Separation the zircon mineral from tailing Tin mining using shaking table. J. Phys. Conf. Ser. 2020, 1436, 012127. [Google Scholar] [CrossRef]
- Akbari, M.; Shafaei Tonkaboni, S.Z.; Khanchi, A.R. Thorium Recovery from Choghart Mining Waste by Beneficiation Processes. JOM 2023, 75, 1045–1058. [Google Scholar] [CrossRef]
- Ali, S.; Nawaz, F.; Iqbal, Y. Phase, Microstructural Characterization and Beneficiation of Iron Ore by Shaking Table. Pak. J. Sci. Ind. Res. 2021, 64, 19–25. [Google Scholar] [CrossRef]
- Kaseba, C.N.Y.L.; Nheta, W. Application of Response Surface Methodology on the Optimization of Chromite Recovery from the South African Middle Group Chromite Seams. J. Sustain. Metall. 2024, 10, 929–949. [Google Scholar] [CrossRef]
- Abaka-Wood, G.B.; Quast, K.; Zanin, M.; Addai-Mensah, J.; Skinner, W. A study of the feasibility of upgrading rare earth elements minerals from iron-oxide-silicate rich tailings using Knelson concentrator and Wilfley shaking table. Sci. Total Environ. 2019, 344, 897–913. [Google Scholar] [CrossRef]
- Öztürk, F.D.; Temel, H.A. Beneficiation of Konya-Beyşehir Chromite for Producing Concentrates Suitable for Industry. JOM 2016, 68, 2449–2454. [Google Scholar] [CrossRef]
- Cheng, H.; Xu, J.; Wang, S.J.; Lv, Z.H.; Wei, F.; Zhao, D.L.; Wu, D.Y. Mineralogical factors affecting the separation behavior of Ta-Nb-bearing minerals in the gravity field: Mineral grain size, liberation, and association relationship. Physicochem. Probl. Miner. Process 2023, 59, 174504. [Google Scholar] [CrossRef]
- GB/T 27974-2011; Methods for Chemical Analysis of Fly Ash and Coal Gangue as Buliding Material. Standardization Administration of China: Beijing, China, 2011; pp. 1–21.
- Nasution, S.H.; Irvani, I.; Rosita, A. Optimalisasi Shaking Table Dalam Pencucian Bijih Timah Low Grade Di PPBT Pemali Kabupaten Bangka PT Timah Tbk. Mineral 2019, 4, 37–43. [Google Scholar] [CrossRef]
- Panjaitan, K.D.; Pitulima, J.; Andini, D.E. Kajian Teknis Pengolahan SHP menggunakan Shaking Table untuk Mengoptimalkan Kadar dan Recovery Sn di TB Batu Besi PT Timah Tbk. Mineral 2023, 8, 31–38. [Google Scholar] [CrossRef]
- Win, N.Z.H.; Numprasanthai, A.; Laowattanabandit, P. The Effectiveness of Physical Separation Process for the Alluvial Tin (Heinda) Ore, Myanmar. MATTER Int. J. Sci. Technol. 2020, 6, 25–42. [Google Scholar] [CrossRef]
- Ibrahim, S.S.; Selim, A.Q.; Hagrass, A.A. Gravity Separation of Silica Sands for Value Addition. Part. Sci. Technol. 2013, 31, 590–595. [Google Scholar] [CrossRef]
- Teniola, O.S.; Adeleke, A.A.; Ibitoye, S.A.; Shitu, M.D. Effectiveness of Gravity Separation of Low Grade Nigerian Gold Ore Using Shaking Table. Int. J. Nonferrous Metall. 2022, 10, 15–22. [Google Scholar] [CrossRef]
- Ma, S.Y.; Shi, M.; Zhang, C.; Cao, Q.Y. Mineralogical Characteristics and Genetic Types of Pyrite with Different Occurrence: Constraints from Spectroscopy, Geochemistry and δ34S Stable Isotopes. Minerals 2024, 14, 52. [Google Scholar] [CrossRef]
- Gao, S.; Huang, F.; Gu, X.P.; Li, X.Y.; Meng, L.; Liu, R.; Sun, L.; Gao, W.Y.; Yu, H.T. Growth Pattern and Its Indication of Spheroidal Nano-Micro Crystal Aggregates of Pyrite in the Baiyunpu Pb-Zn Polymetallic Deposit, Central Hunan. Acta Geol. Sin. 2014, 88, 1770–1783. [Google Scholar] [CrossRef]
- Sun, F.S.; Dai, S.Q.; Wang, L.; Xing, Y.W.; Gui, X.H. Pre-enrichment experiment of high gradient magnetic separation based on lithium and gallium elements in coal gangue. Clean. Coal Technol. 2024, 30, 154–162. [Google Scholar]
- Bai, Y.Q.; Zhao, P.F.; Guo, M.Y.; Yan, G.H.; Zhou, C.Y.; Sun, Z.S.; Gao, T.Y.; Zhang, B. Apparent viscosity of high-density fluidized bed and synergistic effect of density and apparent viscosity on particle separation. Energy Sources Part A 2023, 45, 4822–4838. [Google Scholar] [CrossRef]
- Zeng, G.S.; Zhu, Y.G.; Chen, W. A Brief Review of Micro-Particle Slurry Rheological Behavior in Grinding and Flotation for Enhancing Fine Mineral Processing Efficiency. Minerals 2023, 13, 792. [Google Scholar] [CrossRef]
- Ye, L.P.; Penaloza-Giraldo, J.A.; Manning, A.J.; Holyoke, J.; Hsu, T.-J. Biophysical flocculation reduces variability of cohesive sediment settling velocity. Commun. Earth Environ. 2023, 4, 138. [Google Scholar] [CrossRef]
- Huber, C.; Parmentier, E.M.; Florez, D. Particle Sedimentation in a Fluid at Low Reynolds Number: A Generalization of Hindered Settling Described by a Two-Phase Continuum Model. Geochem. Geophys. Geosystems 2025, 26, e2024GC011820. [Google Scholar] [CrossRef]
- Fan, Y.; Qin, F.H.; Luo, X.S.; Liu, L.; Gui, H.Q.; Liu, J.G. Heterogeneous condensation on insoluble spherical particles: Modeling and parametric study. Chem. Eng. Sci. 2013, 102, 387–396. [Google Scholar] [CrossRef]
- Xu, Z.H.; Li, Z.Q.; Wang, Y.D.; Wu, Y.K.; Li, K.X.; Shi, H.Y. Numerical simulation of pneumatic conveying of wet particles based on CFD-DEM. Chin. Powder Sci. Technol. 2024, 171, 140–152. [Google Scholar]
Disclaimer/Publisher’s Note: The statements, opinions and data contained in all publications are solely those of the individual author(s) and contributor(s) and not of MDPI and/or the editor(s). MDPI and/or the editor(s) disclaim responsibility for any injury to people or property resulting from any ideas, methods, instructions or products referred to in the content. |
© 2025 by the authors. Licensee MDPI, Basel, Switzerland. This article is an open access article distributed under the terms and conditions of the Creative Commons Attribution (CC BY) license (https://creativecommons.org/licenses/by/4.0/).





