The Effect of Oxidation Time on the Organization and Corrosion Performance of 6061 Aluminum Alloy Micro-Arc Oxidation Coatings
Abstract
1. Introduction
2. Test Materials and Methods
2.1. Test Materials
2.2. Micro-Arc Oxidation Preparation
2.3. Performance Tests
3. Results and Discussion
3.1. Process of Anode Voltage Change
3.2. Effect of Oxidation Time on Film Thickness and Surface Roughness
3.2.1. Film Thickness
3.2.2. Surface Roughness
3.3. The Effect of the Oxidization Time on the Surface Morphology of the Coatings
3.4. The Effect of the Oxidation Time on the Cross-Sectional Morphology of the Coatings
3.5. The Effect of the Oxidation Time on the Phase Composition of the Coatings
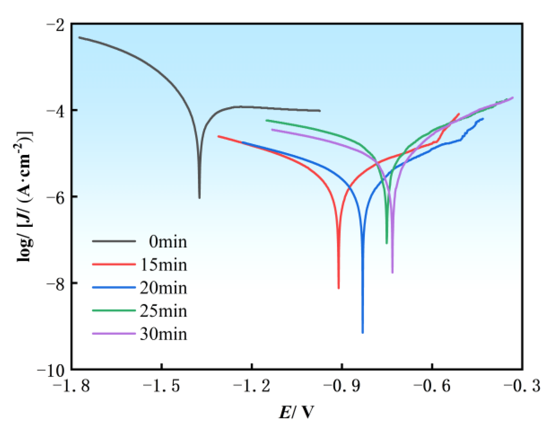
3.6. The Effect of the Oxidation Time on the Electrochemical Corrosion Properties
4. Conclusions
- As the micro-arc oxidation time increases, the thickness and surface roughness of the coatings also increase, with the “volcanic rock”-like morphology becoming more pronounced. The growth rate of the coatings exhibits an initial rise followed by a decline with extended oxidation time. Conversely, the porosity of the coatings, along with the maximum pore diameter and pore distribution, tends to decrease initially before increasing again as the oxidation time is prolonged.
- The oxidation time does not alter the physical phase composition of the coatings, which predominantly consists of γ-Al2O3, α-Al2O3, and Al. Notably, the relative content of γ-Al2O3 and α-Al2O3 within the coatings progressively increases with the extension of oxidation time.
- The micro-arc oxidation process markedly enhances the corrosion resistance of the specimens. Compared to the aluminum alloy substrate, the corrosion potential of the coatings after varying oxidation durations gradually increases, while the corrosion current density significantly decreases by two orders of magnitude. Specifically, the coating resulting from 20 min of oxidation exhibits a corrosion current of 1.545 × 10−6 A·cm−2 and a polarization resistance of 2.716 × 104 Ω·cm2, showcasing the best corrosion resistance among the tested specimens.
Author Contributions
Funding
Informed Consent Statement
Data Availability Statement
Acknowledgments
Conflicts of Interest
References
- Liu, T.S.; Chen, P.; Qiu, F.; Yang, H.Y.; Jin, N.T.Y.; Chew, Y.X.; Wang, D.; Li, R.D.; Jiang, Q.C.; Tan, C.L. Review on laser directed energy deposited aluminum alloys. Int. J. Extrem. Manuf. 2024, 6, 022004. [Google Scholar] [CrossRef]
- Hu, Y.; Wu, S.C.; Guo, Y.; Shen, Z.; Korsunsky, A.M.; Yu, Y.K.; Zhang, X.; Fu, Y.N.; Che, Z.G.; Xiao, T.Q.; et al. Inhibiting weld cracking in high-strength aluminium alloys. Nat. Commun. 2022, 13, 5816. [Google Scholar] [CrossRef] [PubMed]
- Stojanovic, B.; Bukvic, M.; Epler, I. Application of aluminum and aluminum alloys in engineering. Appl. Eng. Lett. J. Eng. Appl. Sci. 2018, 3, 52–62. [Google Scholar] [CrossRef]
- Hu, L.J.; Yan, D.D.; Zou, T.T.; Xu, J.P.; Li, L.; Zhang, R.Z.; Yang, J.J. Ultra-corrosion-resistant aluminum alloys achieved by femtosecond laser complete remediation of microarc oxidation defects. Appl. Surf. Sci. 2024, 663, 160160. [Google Scholar] [CrossRef]
- Wagner, L. Mechanical surface treatments on titanium, aluminum and magnesium alloys. Mater. Sci. Eng. A 1999, 263, 210–216. [Google Scholar] [CrossRef]
- Kaur, M.; Gautam, S.; Goyal, N. Ion-implantation and photovoltaics efficiency: A review. Mater. Lett. 2022, 309, 131356. [Google Scholar] [CrossRef]
- Deng, Y.; Chen, W.L.; Li, B.X.; Wang, C.Y.; Kuang, T.C.; Li, Y.Q. Physical vapor deposition technology for coated cutting tools: A review. Ceram. Int. 2020, 46, 18373–18390. [Google Scholar] [CrossRef]
- Cai, Z.Y.; Liu, B.L.; Zou, X.L.; Cheng, H.M. Chemical vapor deposition growth and applications of two-dimensional materials and their heterostructures. Chem. Rev. 2018, 118, 6091–6133. [Google Scholar] [CrossRef]
- Xiong, L.D.; Wang, C.J.; Wu, W.; Xu, L.J.; Wang, C.N.; Deng, H. The surface softening mechanism of AlN ceramic by laser treatment. Surf. Interfaces 2024, 46, 104023. [Google Scholar] [CrossRef]
- Pecherskaya, E.A.; Golubkov, P.E.; Artamonov, D.V.; Melnikov, O.A.; Karpanin, O.V.; Zinchenko, T.O. Intelligent technology of oxide layer formation by micro-arc oxidation. IEEE Trans. Plasma Sci. 2021, 49, 2613–2617. [Google Scholar] [CrossRef]
- Gao, Y.X.; Chen, Y.N.; Xiao, S.; Li, T.J.; Wu, H.; Meng, X.Y.; Li, W.J.; Fan, S.Y.; Ye, Z.S.; Chen, G.H.; et al. Effects and mechanism of Zn on the structure and corrosion resistance of microarc oxidation coatings on aluminum alloy. Appl. Surf. Sci. 2024, 659, 159909. [Google Scholar] [CrossRef]
- Dehnavi, V.; Shoesmith, D.W.; Luan, B.L.; Yari, M.; Liu, X.Y.; Rohani, S. Corrosion properties of plasma electrolytic oxidation coatings on an aluminum alloy—The effect of the PEO process stage. Mater. Chem. Phys. 2015, 161, 49–58. [Google Scholar] [CrossRef]
- Mengesha, G.A.; Chu, J.P.; Lou, B.S.; Lee, J.W. Corrosion performance of plasma electrolytic oxidation grown oxide coating on pure aluminum: Effect of borax concentration. J. Mater. Res. Technol. 2020, 9, 8766–8779. [Google Scholar] [CrossRef]
- Chen, J.; Lin, W.; Liang, S.; Zou, L.; Wang, C.; Wang, B.; Yan, M.; Cui, X. Effect of alloy cations on corrosion resistance of LDH/MAO coating on magnesium alloy. Appl. Surf. Sci. 2019, 463, 535–544. [Google Scholar] [CrossRef]
- Kaseem, M.; Fatimah, S.; Nashrah, N.; Ko, Y.G. Recent progress in surface modification of metals coated by plasma electrolytic oxidation: Principle, structure, and performance. Prog. Mater. Sci. 2021, 117, 100735. [Google Scholar] [CrossRef]
- Abbas, A.; Kung, H.P.; Lin, H.C. Effects of electrical parameters on micro-arc oxidation coatings on pure titanium. Micromachines 2023, 14, 1950. [Google Scholar] [CrossRef]
- Ma, G.; Li, Z.; Zhao, X.; Wang, Z.; Sun, S.; Yang, Y.; Sun, Y.; Wang, S.; Ren, S.; Kou, R. Growth mechanism and product formation of Micro-arc oxide film layers on aluminum matrix composites: An analytical experimental and computational simulation study. Appl. Surf. Sci. 2025, 684, 161968. [Google Scholar] [CrossRef]
- Souza, C.d.S.; Antunes, M.L.P.; Dalla Valentina, L.V.O.; Rangel, E.C.; Cruz, N.C.d. Use of waste foundry sand (WFS) to produce protective coatings on aluminum alloy by plasma electrolytic oxidation. J. Clean. Prod. 2019, 222, 584–592. [Google Scholar] [CrossRef]
- Chai, Y.; Yan, J.; Wang, C.; Mei, L. Effect of electrical parameters on the growth and properties of 7075 aluminum alloy film based on scanning micro-arc oxidation with mesh electrode. J. Mater. Res. Technol. 2023, 25, 988–998. [Google Scholar] [CrossRef]
- Zheng, Y.G.; Zhou, H.; Hu, H.J.; Zhang, K.F.; Wang, Z.H.; Zhang, Y.S. Study of tribological properties of micro-arc oxidation ceramic coatings prepared with different impulse frequency on aluminum alloy. Adv. Mater. Res. 2012, 538, 368–372. [Google Scholar] [CrossRef]
- Abbas, A.; Wang, T.Y.; Lin, H.C. Effects of electrolyte compositions and electrical parameters on micro-arc oxidation coatings on 7075 aluminum alloy. J. Compos. Sci. 2023, 7, 472. [Google Scholar] [CrossRef]
- Jovović, J.; Stojadinović, S.; Šišović, N.M.; Konjević, N. Spectroscopic characterization of plasma during electrolytic oxidation (PEO) of aluminium. Surf. Coat. Technol. 2011, 206, 24–28. [Google Scholar] [CrossRef]
- Li, Z.Y.; Cai, Z.B.; Cui, Y.; Liu, J.H.; Zhu, M.H. Effect of oxidation time on the impact wear of micro-arc oxidation coating on aluminum alloy. Wear 2019, 426, 285–295. [Google Scholar] [CrossRef]
- Liu, R.; Wu, J.; Xue, W.; Qu, Y.; Yang, C.; Wang, B.; Wu, X. Discharge behaviors during plasma electrolytic oxidation on aluminum alloy. Mater. Chem. Phys. 2014, 148, 284–292. [Google Scholar] [CrossRef]
- Wang, Z.; Wang, Z.Y.; Wang, A.Y.; Yang, W.; Ke, P.L. Influence of Micro-Arc Oxidation Time on Structure and Properties of MAO/Cr Composite Coatings. Acta Metall. Sin. 2023, 60, 691–698. [Google Scholar]
- Aliofkhazraei, M.; Macdonald, D.D.; Matykina, E.; Parfenov, E.V.; Egorkin, V.S.; Curran, J.A.; Troughton, S.C.; Sinebryukhov, S.L.; Gnedenkov, S.V.; Lampke, T.; et al. Review of plasma electrolytic oxidation of titanium substrates: Mechanism, properties, applications and limitations. Appl. Surf. Sci. Adv. 2021, 5, 100121. [Google Scholar] [CrossRef]
- Wasekar, N.P.; Jyothirmayi, A.; Krishna, L.R.; Sundararajan, G. Effect of micro arc oxidation coatings on corrosion resistance of 6061-Al alloy. J. Mater. Eng. Perform. 2008, 17, 708–713. [Google Scholar] [CrossRef]
- Wang, S.S.; Zhang, J.B.; Gharbi, O.; Vivier, V.; Gao, M.; Orazem, M.E. Electrochemical impedance spectroscopy. Nat. Rev. Methods Primers 2021, 1, 41. [Google Scholar] [CrossRef]











| Si | Mg | Fe | Cu | Mn | Cr | Zn | Ti | Al |
|---|---|---|---|---|---|---|---|---|
| 0.4~0.8 | 0.8~1.2 | 0.7 | 0.15~0.4 | 0.15 | 0.25 | 0.25 | 0.15 | Bal |
| Oxidation Time (min) | Element Content (wt.%) | |||
|---|---|---|---|---|
| Al | O | Si | F | |
| 15 | 42.43 | 40.38 | 16.49 | 0.70 |
| 20 | 43.16 | 41.77 | 14.49 | 0.68 |
| 25 | 42.95 | 41.29 | 15.26 | 0.50 |
| 30 | 40.51 | 42.23 | 16.68 | 0.58 |
| Oxidation Time (min) | Ecorr (V) | Jcorr (A·cm−2) | Rp (Ω·cm2) |
|---|---|---|---|
| 0 | −1.374 | 1.077 × 10−4 | 4.314 × 102 |
| 15 | −0.911 | 2.025 × 10−6 | 2.116 × 104 |
| 20 | −0.831 | 1.545 × 10−6 | 2.716 × 104 |
| 25 | −0.751 | 7.767 × 10−6 | 5.784 × 103 |
| 30 | −0.732 | 4.982 × 10−6 | 8.448 × 103 |
| Oxidation Time/(min) | Rs/(Ω·cm2) | CPE1/(Ω−1·sn·cm2) | n1 | R1/(Ω·cm2) | CPE2/(Ω−1·sn·cm2) | n2 | R2/(Ω·cm2) | Equivalence Model |
|---|---|---|---|---|---|---|---|---|
| 0 | 38.54 | 8.182 × 10−6 | 0.877 | 3.208 × 103 | ---- | ---- | ---- | R(QR) |
| 15 | 25.61 | 3.870 × 10−7 | 0.766 | 7.853 × 103 | 2.197 × 10−6 | 0.649 | 1.584 × 104 | R{Q[R(QR)]} |
| 20 | 36.54 | 2.084 × 10−7 | 0.856 | 2.238 × 103 | 5.080 × 10−6 | 0.509 | 2.261 × 104 | R{Q[R(QR)]} |
| 25 | 40.39 | 6.813 × 10−7 | 0.779 | 4.047 × 103 | 3.146 × 10−5 | 0.899 | 1.127 × 103 | R{Q[R(QR)]} |
| 30 | 44.44 | 1.053 × 10−6 | 0.751 | 5.076 × 103 | 4.519 × 10−6 | 0.773 | 4.893 × 103 | R{Q[R(QR)]} |
Disclaimer/Publisher’s Note: The statements, opinions and data contained in all publications are solely those of the individual author(s) and contributor(s) and not of MDPI and/or the editor(s). MDPI and/or the editor(s) disclaim responsibility for any injury to people or property resulting from any ideas, methods, instructions or products referred to in the content. |
© 2025 by the authors. Licensee MDPI, Basel, Switzerland. This article is an open access article distributed under the terms and conditions of the Creative Commons Attribution (CC BY) license (https://creativecommons.org/licenses/by/4.0/).
Share and Cite
Yang, X.; Huang, Z.; Liao, X.; Lei, H.; Hao, D.; Zhang, T.; Jiang, B. The Effect of Oxidation Time on the Organization and Corrosion Performance of 6061 Aluminum Alloy Micro-Arc Oxidation Coatings. Coatings 2025, 15, 117. https://doi.org/10.3390/coatings15020117
Yang X, Huang Z, Liao X, Lei H, Hao D, Zhang T, Jiang B. The Effect of Oxidation Time on the Organization and Corrosion Performance of 6061 Aluminum Alloy Micro-Arc Oxidation Coatings. Coatings. 2025; 15(2):117. https://doi.org/10.3390/coatings15020117
Chicago/Turabian StyleYang, Xing, Zhu Huang, Xiuxiang Liao, Heping Lei, Daichao Hao, Tong Zhang, and Bingchun Jiang. 2025. "The Effect of Oxidation Time on the Organization and Corrosion Performance of 6061 Aluminum Alloy Micro-Arc Oxidation Coatings" Coatings 15, no. 2: 117. https://doi.org/10.3390/coatings15020117
APA StyleYang, X., Huang, Z., Liao, X., Lei, H., Hao, D., Zhang, T., & Jiang, B. (2025). The Effect of Oxidation Time on the Organization and Corrosion Performance of 6061 Aluminum Alloy Micro-Arc Oxidation Coatings. Coatings, 15(2), 117. https://doi.org/10.3390/coatings15020117

