Next Article in Journal
Formation of Titanium Oxynitride Films by Reactive Magnetron Sputtering, Their Structural Features and Properties
Previous Article in Journal
The Influence of Modifiers on the Performance of Recycled Asphalt Mixtures
 
 
Font Type:
Arial Georgia Verdana
Font Size:
Aa Aa Aa
Line Spacing:
Column Width:
Background:
Article

The Cu Ions Releasing Behavior of Cu-Ti Pseudo Alloy Antifouling Anode Deposited by Cold Spray in Marine Environment

1
Southwest Technology and Engineering Research Institute, China South Industries Group Corporation, Chongqing 400039, China
2
State Key Laboratory of Advanced Technology for Materials Synthesis and Processing, Wuhan University of Technology, Wuhan 430070, China
3
National Key Laboratory of Marine Corrosion and Protection, Luoyang Ship Material Research Institute, Qingdao 266237, China
4
Qingdao Innovation and Development Base, Harbin Engineering University, Qingdao 266000, China
*
Author to whom correspondence should be addressed.
Coatings 2025, 15(12), 1433; https://doi.org/10.3390/coatings15121433
Submission received: 3 October 2025 / Revised: 15 November 2025 / Accepted: 25 November 2025 / Published: 5 December 2025
(This article belongs to the Section Surface Coatings for Biomedicine and Bioengineering)

Abstract

Many special structures such as pipeline, revolving gears, and tanks suffer from biofouling used in marine environment, which could induce serious results in the ship system such as blockage and stuck, consequently lead to failure of the mechanical system and power system. Generally, coatings with antifouling agents are used for protecting metal structures from biofouling, but coatings are not conveniently applicable in the high velocity flowing seawater and narrow space. Electrochlorination and electrolysis of copper and aluminum anode are usually used in these circumstances, but the electric power will lead to stray current corrosion to the component. For the sake of convenience and safety, Cu-Ti pseudo alloy antifouling anode was proposed in this work for antifouling in pipeline and other narrow spaces without external electric power. Four Cu-Ti pseudo alloy antifouling anodes with different Ti contents (mass fraction) of 0 wt.%, 5 wt.%, 10 wt.%, and 15 wt.% were investigated with computational method, and a 15 wt.% Ti content Cu-Ti pseudo alloy antifouling anode was prepared by cold spray, and the microstructure and composition of the anode were observed by scanning electron microscope (SEM) and energy dispersive spectroscopy (EDS). Electrochemical tests were conducted to obtain the corrosion potential, potentiodynamic polarization curve, and micro zone electrochemical information in natural seawater, and the Cu ions releasing behavior were analyzed using inductively coupled plasma (ICP). The results indicated that in natural seawater, copper particles, and titanium particles on the surface of anode samples can form micro galvanic couples. With the increase in Ti mass fraction, the number of micro primary cells composed of copper particles and titanium particles increases, and the corrosion rate of Cu particles increased. When the Ti mass fraction is 15%, the corrosion rate is the fastest, and the copper ion release rate increases by nearly ten times, reaching 147 μg/(cm2·d). This method can effectively accelerate the releasing rate of Cu ions in Cu-Ti pseudo alloy anode and promote the antifouling effect.

1. Introduction

Marine biofouling typically refers to the phenomenon of bacteria, algae, barnacles, and other organisms attached to marine infrastructures and facilities, growing and reproducing. This occurrence causes significant damage to ships, seawater nets, and other facilities, leading to accidents, economic losses, and ecosystem damage. Marine biofouling presents numerous challenges, including increased drag, reduced efficiency, and ecological imbalance. Existing biofouling control technologies mainly include physical, chemical, and biological aspects, among which antifouling coatings are the most mainstream anti-fouling method in chemical control technology [1,2]. Generally, coatings with antifouling agents are used for protecting metal structures from biofouling in marine environment [3,4,5], but coatings are not applicable in the high velocity flowing seawater and narrow space component, such as pipeline and tanks for short term protection life. Electrochlorination and electrolysis of copper aluminum anode are usually used in these circumstances. Electrochlorination can produce hypochlorous acid by applying a potential or imposing a current to an MMO (mixed metal oxides) or noble metal (Pt) electrode placed at the vicinity of the material to be protected or to the material surface itself. This imposition leads to the generation of strong oxidants by oxidation of ions present in water (Cl, Br) or by water reduction with the generation of H2O2 or with gas evolution; also, an electrical field could be applied in order to obtain electrostatic repulsion of the bacteria. The other strategy is to perform a pretreatment of the material in view of either immobilizing on its surface a biocide agent (Cu, Ag, >N-Cl…) which could be released or organic coating having antifouling properties or to micro or nanostructure the material surface [6,7]. The electrolysis of copper aluminum anode can produce Cu ions into the environment. Cu ions are strong biocides that can kill or poison the biology; the Al3+ reacts with water to form flocculation and fixes the Cu ions on the surface to be protected, which can prolong the protection time period. However, electricity may lead to stray current corrosion to the pipelines or the structures, and it is very difficult to manage the disadvantages induced by the electricity. For the sake of convenience and safety, Cu-Ti pseudo alloy antifouling anode was proposed based on the micro galvanic corrosion between the Cu and Ti particles without external power source in this work for antifouling in pipeline and other narrow spaces.
The macro galvanic corrosion principle could be seen in Figure 1a. The Ti metal has a positive potential that polarizes the copper to a more positive potential, as shown in Figure 2. There are anodic and cathodic reaction on Cu anode and Ti cathode, respectively. The anodic reaction is the corrosion of the metal (reaction (a)), the cathodic reaction on the metal surface in the neutral seawater is the reduction of oxygen (reaction (b)) [8,9,10]. The Ti cathode can polarize the Cu particle to a more positive potential, which accelerates the corrosion rate of the copper by exponential growth. However, there are some fatal defects for macro galvanic corrosion, as shown in Figure 1b. The corrosion concentrates within the very narrow area near to the boundary between two metals. The metal consumes locally and rapidly because of shielding effect of the current in narrow space [11,12,13]. This can lead to structure danger because of attenuating and penetrating.
Cu→Cu2+ + e
O2 + 2H2O + 4e→4OH
Thus, based on the disadvantages of the macro galvanic corrosion, as shown in Figure 3a, we propose a micro galvanic corrosion system, as shown in Figure 3b, that the anode becomes thinner uniformly as the corrosion occurs [14,15,16]. The micro galvanic corrosion system is composed of Cu particles and Ti particles, as shown in Figure 3b. Ti as cathode accelerates the corrosion rate of Cu, and Cu as anode accelerates the corrosion rate. The Cu particles and Ti particles aggregate together to form a pseudo alloy system that can be fabricated by cold spray, casting, and so on. The Cu and Ti particles randomly distribute in the anode. As the consumption of the Cu particles increases, the Ti particles peel off from the pseudo alloy [17,18,19]; then, the Cu-Ti pseudo alloy antifouling anode can kill the marine organisms or hold back the attachment continuously with high Cu ions releasing rate.
In present work, a micro Cu-Ti pseudo alloy galvanic corrosion system was proposed as antifouling material. The content and the particle size of the Cu influencing the Cu ions releasing behavior was investigated by simulation and experimental method. The microstructure and the composites after immersion were observed; the optimal content and structures were discussed to obtain a highly efficient antifouling anode material.

2. Experiments and Methods

2.1. Cu Ions Releasing Rate Simulation

In this part, COMSOL Multiphysics was used to simulate the current and potential distribution on the surface of Cu-Ti pseudo alloy anode to obtain an optimal microstructure for high Cu(I) or Cu(II) (Cu ions) releasing rate. The simulation procedures were as follows: physical problem description, calculation domain simplification, calculation domain discretization, and solution.

2.1.1. Physical Problem

Copper ions are usually used as antifouling agents in marine environment in the form of Cu2O additive to the organic coatings. The Cu2O dissolves into the seawater to form Cu ions, which has a poisonous effect to marine biology, which can kill the biology and keep the larva from attaching to the structure surface. The Cu ions are a broad spectrum of biocides. The antifouling effect is determined by the Cu ions concentration; the concentration is determined by the corrosion rate of copper. However, the copper alloy is a low corrosion rate metal; the corrosion rate decreases as the formation of corrosion products (passivation film) in seawater during long-term immersion increases, so the copper alloys rarely have long-term antifouling performance as the corrosion rate decreases [20,21]. To keep the long-term antifouling ability for copper, the corrosion rate should be maintained continuously; one is holding back the passivation film formation, the other is maintaining a more positive potential, as shown in Figure 2. The passivation film formation is a spontaneous process for copper alloy in seawater, and there is no convenient way to change it. Fortunately, the Cu alloy has a very famous corrosion phenomenon, called “infancy corrosion”; the Cu alloys need about one month to form passivation film in the seawater, and will corrode rapidly if the film does not form completely, which can be used for designing high corrosion rate copper alloy. The corrosion potential of Cu alloy in seawater can be easily changed by additive of more noble metal such as Ti metal. The reaction (a) occuring on the anode is the corrosion of Cu, the reaction (b) occuring on the cathode is the reduction of oxygen (which has little to do with Ti particles; Ti particles only provide a reaction place). The corrosion potential of oxygen reduction is influenced both by the solution and the metal. The solution for seawater is fixed; the metal could be changed easily. However, there are some engineering metals that have a more noble potential than copper—titanium is an ideal and economic one. The corrosion potential of the Cu is influenced by the Ti content since the total input current provided by the Ti particles is influenced by the total area of Ti particles. The corrosion current density distribution of Cu is also influenced by the Ti particles distribution, which is important for the Ti particles’ peeling off behavior too. Thus, the most important thing for high antifouling performance is to optimize the Ti content and shape.
A mixture of Cu and Ti particles formed a Cu-Ti pseudo alloy antifouling anode, and the anode was immersed in the seawater. The corrosion behavior of the mixed anode is simulated with a Comsol 5.0 software by analyzing the corrosion current and corrosion potential distribution to provide design data for the antifouling anode. The corrosion potential and corrosion current is influenced by the Ti particles content, Ti particles size, and the corrosion status. The size and the content could be reached by geometry information, the corrosion status that influences the corrosion current could be taken into consideration by the polarization curves. The COMSOL Corrosion Module is an add-on to the COMSOL Multiphysics software 5.0 that allows for the simulation of various corrosion processes such as electrochemical corrosion, cathodic protection, and more. The corrosion potential and corrosion current density can be calculated by the Comsol software; the corrosion current and the corrosion potential can optimize the anode content to obtain an ideal antifouling performance.

2.1.2. Geometry Model

To achieve high computational efficiency, the real 3D physical domain (Cu-Ti anode immersed in seawater) was simplified to a 2D plain domain (as shown in Figure 4, the upper part is seawater and the bottom part is Cu-Ti anode). The electrolyte is natural seawater, which has a size of 200 μm × 100 μm. The Cu particles act as an anode, Ti particles as a cathode, which has a size of 200 μm × 40 μm. Regarding accuracy, the Cu particles and the Ti particles were imported from the SEM pictures, and the geometry in the computational domain can be expressed as Equation (1) in the form of chart function [22,23,24]. The model geometry considered in this example is shown in Figure 3, along with a representative cross-sectional microstructure, which consists of the alpha phase (Ti cathode) and beta phase (Cu anode) exposed to the electrolyte solution.
m i c r o x , y = 1 ,   cathode 0 ,   anode
The cross-sectional microstructure shown in Figure 4 is represented in terms of an interpolation function called “micro” which has a value of 0 and 1 for the alpha phase and beta phase, respectively. Figure 4 shows the computational domain of Cu Ti anode; the total anode size is 200 μm × 40 μm. Figure 4a–d stand for 4 different Ti contents (5 wt.%, 10 wt.%, 15 wt.%, 50 wt.%; Cu particle size is 15 μm), respectively. Figure 4e–g stand for 3 different Ti sizes (5 μm, 15 μm, 30 μm; Ti particles content is 15 wt.%), respectively.
Computational domain discrete (meshing) is very important for high-quality simulation, since all calculation data are transferred among meshes. The Comsol software provides a convenient automatic mesh partitioning method. In this work, the mesh at the interface between Cu and Ti particles is fine (the size is about 0.2 μm) and increases gradually to the electrolyte and the inner part of the Ti and Cu particles. The total mesh amount is about 10,000, which can be found in Figure 5, and the computational results independent to the mesh scale are verified.

2.1.3. State Equations

The delivery of electrolyte i can be expressed with Nernst–Planck Equation (2):
N i = D i c i z i u i F c i φ + c i v
In which Ni is the total flux of material i, mol/m2·s; Di is the diffusion efficiency of material I; ci is the content of material I; zi is the charge number; F is the Faraday constant (F = 96,485 C/mol); φl is the electrolyte potential; v is the flow rate of the electrolyte [25,26,27].
According to energy conservation law, the delivery equation of the electrolyte for the transient status can be expressed as Equation (3).
c i t = · N i = D i 2 c i z i F u i · c i φ + · ( c i v )
The following simplification is necessary for calculation:
(1) The electrolyte is uniform everywhere.
(2) The electrolyte is incompressible.
(3) The electrolyte is neutral.
(4) The corrosion rate on the cathode is zero; an Equation (3) could be simplified as Equation (4).
2 = 0
Furthermore, the computational domain based on Equation (3) can be expressed as Figure 6. The boundary conditions for Cu and Ti are their corresponding polarization curves, which can be written by Equations (5) and (6).
n φ = f a ( ) σ
n φ = f c ( ) σ
In which σ is the conductivity of the electrolyte, fa(φ) is the current density of anodic reaction, fc(φ) is the current density of cathodic reaction, fa(φ) and fc(φ) correspond to the polarization curve of anode and cathode.
The current density in the electrolyte can be expressed as Equation (7).
i l = F i = 1 n z i N i
The other physical boundary is insulation. The electric condition can be written as Equation (8).
n = 0

2.1.4. Level Set Method

The present model considers a different cross-sectional microstructure that could potentially lead to topological changes. Since the deformed geometry formulation used in the localized corrosion example cannot handle topological changes, the level set method is used in the present model to capture dissolution of a constituent phase [28,29,30]. The topological changes (boundary and structures changes) induced by the dissolution of Cu particles and the spalling of Ti particles could be captured by the level set method. The computation will go on as the Ti particle peels off from the anode when the Cu around the Ti particles dissolved completely. Use the level set interface to keep track of dissolution of the alpha phase. The level set interface automatically sets up the equations for the movement of the interface between the electrolyte and electrode domains. The interface is represented by the 0.5 contour of the level set variable ϕ. The level set variable varies from 1 in the electrode domain to 0 in the electrolyte domain. The transport of the level set variable is given by Equation (9):
φ t + u · φ = γ · ε φ φ 1 φ φ | φ |
In which ε parameter determines the thickness of the interface and is defined as ε = hmax/4; hmax is the maximum mesh element size in the domain. The γ parameter determines the amount of reinitialization. A suitable value for γ is the maximum velocity magnitude occurring in the model.
The level set δ function is approximated by Equation (10):
δ = 6 | φ 1 φ | | φ |
In this model formulation, it is assumed that the anodic dissolution reaction takes place at the alpha phase (Cu) surface, and that the cathodic hydrogen evolution/oxygen reduction reaction (which is not associated with any loss of material) takes place at the beta phase (Ti) surface [31]. Hence, the alpha phase surface will move (dissolve) whereas the beta phase surface remains intact. This is achieved in the model by setting the alpha phase dissolution velocity in normal direction according to Equation (11):
u = i l o c 2 F M C u ρ C u × 1 m i c r o x , y
In which MCu is the mean molar mass, 63.546 g/mol; ρCu is the density of TUP2 (8940 kg/m3).
Use the inlet boundary node for the exterior boundaries of the electrolyte domain and set the level set variable to 0 at those boundaries. Use the outlet boundary node for the exterior boundaries of the electrode domain.
To set the initial interface position, use the initial interface boundary node for the interior boundary between the electrolyte and electrode domains. The controlling equation for the upper boundary can be written as Equation (12), and the changing boundary can be written as Equation (13).
φ = φ 0
ϵ l s φ φ 1 φ φ | φ | · n = 0

2.1.5. Boundary Condition Setting

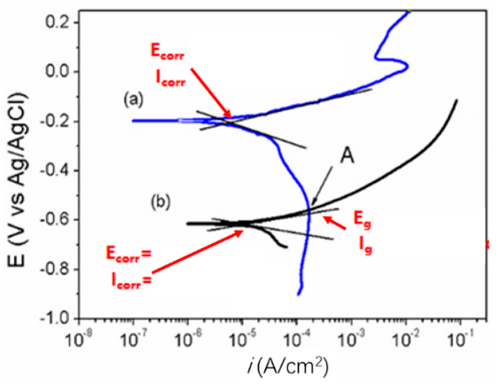
The polarization curve was obtained with potentiodynamic polarization method. The parameters for the test are as follows: the Cu (pure copper TUP2) and the Ti (TA2 alloy) test samples were abraded with sandpaper of 200# to 600#; the electrolyte was obtained from the Qingdao corrosion test site (authorized by the Ship Industry of China). The potential scanning rate is 0.167 mV/s; the scanning range is from open circuit potential (OCP) to −0.5~+0.5V (OCP) for Cu; the scanning range is from open circuit potential (OCP) to −0.5V~+0.5V (OCP) for Ti. The test was carried out in a conventional three electrodes system (Pt as a count electrode and SCE as a reference electrode). The polarization curves for Cu and Ti are shown in Figure 7. The physical parameters for seawater, copper alloy, and titanium alloy are listed in Table 1 and Table 2 [32,33].

2.2. Cu Ions Releasing Rate Verification

Anode Preparation

A Cu-15%Ti anode was prepared by cold spraying copper and titanium powders with a commercial cold spray system (PCS-1000 high-pressure CS system, Plasma Giken company, Saitama, Japan) with N2 as carrier gas. The detailed CS parameters are shown in Table 3. The anode was deposited on a 5083-aluminum alloy substrate; when the anode was prepared, the 5083-aluminum alloy substrate was excised from the deposited Cu-Ti anode. The Cu and Ti powders were provided by a commercial powder company (Hangdun powder materials company, Beijing, China) and they have smooth surface and good fluidity. The powder morphologies were observed under a field-emission scanning electron microscopy (Ultra55, FE-SEM, Zeiss, Oberkochen, Germany) with a beam energy of 5.0 kV. It can be seen from Figure 8a that the Ti powders have a spherical shape; this shape is a typical feature of ion gas atomization powder. The size of the powder particles is about 5.0~45.0 μm. The Cu powders have an irregular shape as shown in Figure 8b.

2.3. Microstructure Characterization

Samples preparation: Samples with dimensions of 10 mm × 10 mm were cut from the as-sprayed Cu-Ti anode sample for microstructural and composition analysis. The cross-sections of the samples were successively polished to a smooth status using sandpapers of different grit sizes (240#, 400#, 800#, 1000#, 1500#, 2000#). Afterwards, deionized water and anhydrous ethanol were used to clean the cross-section of the test samples, followed by drying with an air dryer.
Observation: Samples were observed under the magnification factors of 800×, 1000×, and 2000× for SEM testing (the Ultra55 scanning electron microscope and X-max energy dispersive spectrometer produced by Germany’s Zeiss company, Oberkochen, Germany). The working voltage is 15 kV when observing the metal matrix and 2 kV when observing corrosion products, after rinsing with water and blow-drying.

2.4. Cu Ions Relaeasing Behavior

Traditional electrochemical test method can only obtain the average information from the surface of the electrode and obtain a mixture data of cathode and anode, since the electric circuit around the test site cannot be shielded. Also, it cannot tell the detailed information of cathode and anode. Scanning vibrating electrode technique, SVET, utilizes the local ion diffusion-induced electric current flow to measure the potential difference on the surface. A vibration detector is used to measure the potential difference at different sites of the surface and obtain the potential distribution. Then, this technique can also be used for calculating the corrosion current distribution as Equation (14) through ohm’s Law.
j = σ Δ V A
In which j is the current induced by ions diffusion, (A/m2); σ is the conductivity (S/m), 4 S/m for natural seawater; ΔV is the potential difference (V); A is the vibration amplitude, 30 μm for this experiment.
The SVET test equipment is a VersaScan from perkinelmer company. The data were collected as the potential became stable; at 24 h, the electrolyte is seawater, the sample size is 10 mm × 10 mm × 10 mm, the detector is Pt electrode. The distance from the Pt detector to the surface is 50 μm, the vibration frequency is 80 Hz, the scanning rate is 100 μm/s.
The Cu-Ti anode was sealed in the resin epoxy and immersed in the beaker with 1000 mL seawater for 1, 3, 7, 14, 21, 30 d [34]. Then, the samples were taken out from the beaker and put into an exfiltration trough for 24 h. The concentrations of the exfiltration liquid were measured with an ICP720-ES instrument (Agilent Technologies company, Santa Clara, CA, USA) to obtain the Cu ions concentration. The releasing rate was calculated by Equation (15).
Rx = CxV/tS
In which Rx is the releasing rate of Cu ions at X day, μg/(cm2·d); Cx is the concentration of Cu ions at X day, μg/mL; V is the volume of the electrolyte, S is the area of the samples, cm2; t is the test time, d.

3. Results

3.1. The Ti Content Influene on the Releasing Current

Figure 9 shows the computational cross-sectional morphology of 5 wt.%, 10 wt.%, 15 wt.%, 50 wt.% Ti content Cu-Ti anode in seawater after 720 h corrosion by computational method. The Cu anode particles lose electrons and release Cu ions into the solution, and this process was accelerated by the Ti cathode; the anode becomes thinner as the releasing of Cu ions. It can be seen that the corrosion depth is 1 μm for 5 wt.%, 2 μm for 10 wt.%, 10 μm for 15 wt.%, and 35 μm for 50 wt.%. Subtracting the Ti particles peeling off, the corrosion depth is 0.95 μm for 5 wt.%, 1.8 μm for 10 wt.%, 8.5 μm for 15 wt.% and 17.5 μm for 50 wt.%. The corrosion rate of Cu increases with the content of Ti particles content; additionally, the cathode to anode ratio increases, the potential of the Cu can be polarized to more positive value, and the corrosion rate then be accelerated to a higher rate. As for the consumption of the Cu, the Ti particle peels off from the Cu Ti anode and the new Ti particles are exposed to the electrolyte.
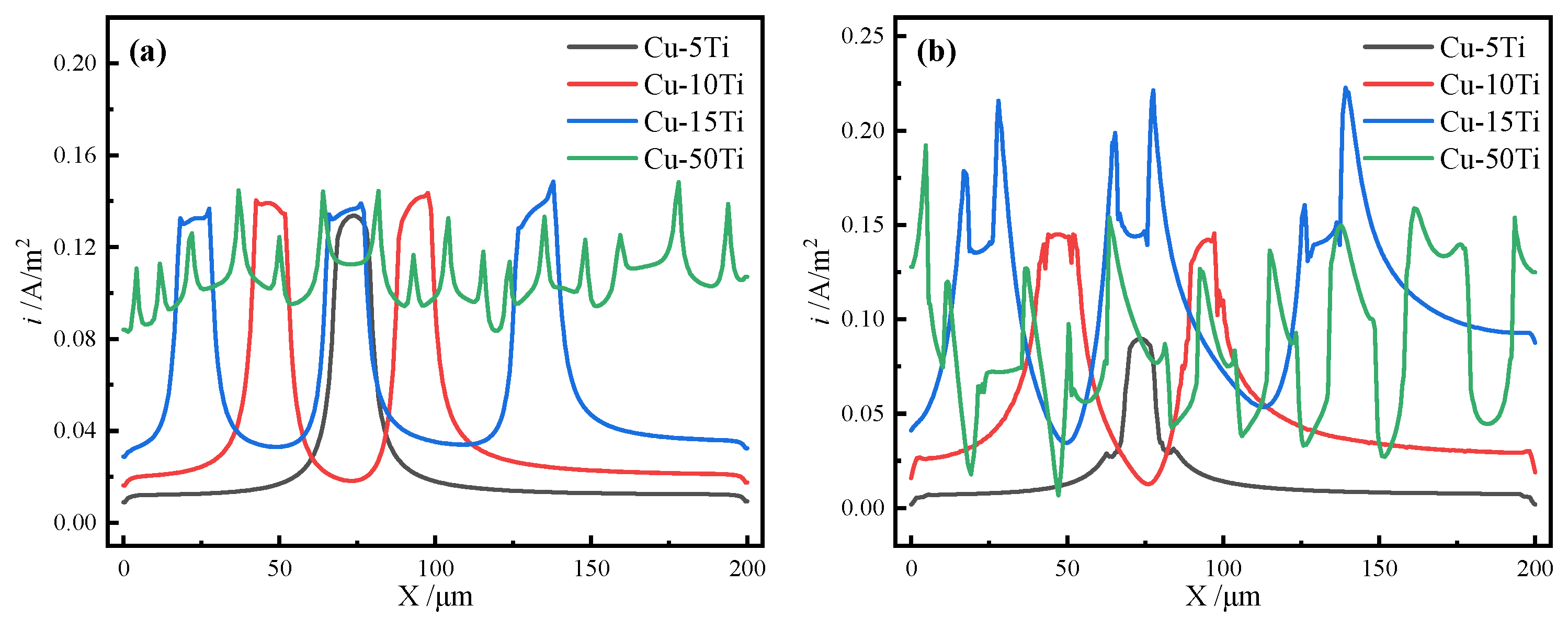
Figure 10 and Figure 11 show the corrosion current distribution on the Cu-Ti anode after 1000 h immersion. The Cu particles (anode) emit current to the Ti particles (cathode). The highest current is 0.1 A/m2, 0.16 A/m2, 0.3 A/m2, and 0.8 A/m2 for 5 wt.%, 10 wt.%, 15 wt.%, and 50 wt.% anode, respectively. The lowest corrosion current on the surface is 0.01 A/m2, 0.02 A/m2, 0.05 A/m2, and 0.1 A/m2 for 5 wt.%, 10 wt.%, 15 wt.%, and 50 wt.% anode, respectively. The maximum corrosion current for Cu particles is at the boundary between Cu particle and Ti particle. The average current density increases as the Ti particles content increases.
At the beginning of the immersion, the corrosion current distribution is much uniform when the Ti particles content is high; during that period, the minimum current and the maximum current difference is 0.038 A/m2. Meanwhile, regarding the lowest Ti particles content, the minimum current and the maximum current difference is about 0.12 A/m2. It means that the uniform current distribution also needs uniform particles distribution and enough content. The micro galvanic corrosion current also has a very strong space limitation. As the immersion time prolongs, the current distribution changes—the anode with 15 wt.% Ti particles content has the maximum current density, the anode with 5 wt.% Ti particles content has the minimum current density. However, the anode with 50 wt.% Ti particles content has the highest total corrosion current. This may be caused by the Ti particles peeling off or uneven peeling off.

3.2. The Ti Particle Diameter Influence the Releasing Current

Figure 12 shows the corrosion morphology of the 15 wt.% Ti content Cu-Ti anode in marine seawater after 720 h. It can be seen that when the Ti particles have 5 μm, 15 μm, and 30 μm diameter, the small particles have a larger exposing area and the corrosion rate is a bit higher. The anode with larger Ti particles has an uneven corrosion morphology and a small depth corrosion. Meanwhile, the anode with 5 and 15 μm titanium particles has a larger corrosion rate and the corrosion depth is larger than that of the anode with 30 μm Ti particles.
Figure 13 and Figure 14 show the corrosion current distribution on the Cu-Ti anode after 1000 h immersion. The Cu particles (anode) emit current to the Ti particles (cathode). The maximum current density at the boundary is 0.2 A/m2, 0.3 A/m2, 0.12 A/m2 for 5 μm, 15 μm, and 30 μm diameter Ti particles, respectively. The minimum corrosion current density is 0.05 A/m2, 0.05 A/m2, 0.02 A/m2 for 5 μm, 15 μm, and 30 μm diameter Ti particles, respectively. Figure 14 indicates that when the Ti particles content is 15 wt.%, the corrosion current density increases as the particle size increases to 15 μm, and then decreases as the Ti particles increases to 30 μm. When the Ti particles have the size of 15 μm, the Cu-Ti anode has the highest corrosion current density. As the immersion time prolonges, this trend does not change.
It can be inferred from the above analysis, the Ti particles content determines the corrosion current of the Cu-Ti anode; the corrosion current increases as the Ti content increases. However, as the Ti content increases to a certain value, the Cu content is low and the total Cu ions releasing amount do not increase correspondently. As the time prolongs, the Ti particles peeling off behavior also influence the corrosion current density. The Ti particles size also has a very important effect on the corrosion current density. Larger Ti particles have an uneven distribution; the area exposed to the electrolyte is smaller than that of the small Ti particles. Thus, there is an optimal Ti particles content and size for Cu-Ti anode, but the cold spray technique also has a narrow spraying parameters window; the optimal parameters for high efficiency Cu ions releasing need the combination of the electrochemical property and spraying property for the Cu and Ti particles.

3.3. The Real Corrosion Behavior of Cu-Ti Anode

Figure 15 shows the microstructure of the cold spray 15 wt.% Ti content Cu-Ti anode. It can be seen that the Ti particles distribute in the anode uniformly, and the anode has an excellent bonding character. As pointed out in previous research, the cold spray Cu-Ti anode has a yielding strength over 280 MPa and an elongation of about 17% at fracture, while the porosity of the Cu-Ti anode is less than 1%. Figure 16 shows the SVET map of corrosion current distribution at different immersions. It can be seen that the Ti cathode has a positive current emission and the Cu anode has a negative current absorption. The maximum current density matches the simulation result well; the maximum current density at 720 h is about 0.25 A/m2. Figure 17 shows the corrosion morphology with corrosion products and after removal of corrosion products. The EDS of the corrosion products indicates that the main composites are oxides of copper. It can also be seen that the oxides are not complete, and Ti particles can be found on the surface; additionally, the Ti particles in the Cu-Ti anode do not dissolve. After the removal of the corrosion products, obvious thinning can be found around the Ti particles. The Ti particles do not dissolve during the immersion and the removal of corrosion products. The releasing rate of Cu (I/II) is about 147 μg/cm2.d, which is about 3 times the pure copper corrosion rate. Interestingly, when the polarization potential lies in the area of activating, the copper corrosion rate could be 10 times as the corrosion rate at the OCP, which is why the Ti particles can accelerate the copper corrosion rate evidently. When the polarization potential increases to a more positive value, the corrosion rate will decrease again as the copper becomes passive.

4. Conclusions

In this paper, four Cu-Ti pseudo alloy antifouling anodes with different Ti contents (mass fraction) of 0 wt.%, 5 wt.%, 10 wt.%, and 15 wt.% were investigated to obtain an optimal content. A 15 wt.% Ti content Cu-Ti anode was prepared by the cold spraying method, and the microstructure and composition of the four anti fouling materials were observed by SEM and EDS. Electrochemical tests were conducted on corrosion potential, potentiodynamic polarization, and SVET micro electro-chemical tests in natural seawater, and the corrosion behavior and regular of antifouling anodes were analyzed using ICP.
Results indicated that in natural seawater, copper particles and titanium particles on the surface of anode samples can form micro galvanic couples. With the increase in Ti mass fraction, the number of micro primary cells composed of copper particles and titanium particles increase, and the corrosion rate of antifouling materials accelerates. When the Ti mass fraction is 15 wt.%, the corrosion rate is the fastest, and the copper ion release rate increases by nearly 3 times, reaching 147 μg/(cm2·d). This method can effectively accelerate the release of Cu ions in Cu-Ti pseudo alloy anode and promote the antifouling effect of Cu alloys.

Author Contributions

Conceptualization, L.M.; methodology, F.C.; investigation, H.W., G.H. and S.W.; writing—original draft preparation, Y.S.; writing—review and editing, G.H., Y.W. and J.Q. All authors have read and agreed to the published version of the manuscript.

Funding

This research was funded by the project <Multifunctional coatings manufacturing technologies for key components of ships in complicated marine environment>; grant number JCKY2023206A007. This work was supported by the Open Research Foundation of Southwest Technology and Engineering Research Institute (grant number HDHDW59A020104).

Institutional Review Board Statement

Not applicable.

Informed Consent Statement

Not applicable.

Data Availability Statement

Data are contained within the article.

Acknowledgments

The author thanks to Renzhong Huang for manufacturing cold spray Cu-Ti anode.

Conflicts of Interest

Authors Yan Su, Shuai Wu and Jiancai Qian were employed by the company China South Industries Group Corporation. The remaining authors declare that the research was conducted in the absence of any commercial or financial relationships that could be construed as a potential conflict of interest.

References

  1. Wang, X.Z.; Jiang, Q.T.; Han, D.X.; Chen, Y.; Liu, W.P.; Pei, Y.T.; Duan, J.Z.; Hou, B.R. Progress in anti-biofouling materials and coatings for the marine environment. J. Environ. Sci. 2025, in press. [CrossRef]
  2. Shi, X.; Liang, H.; Li, Y. Review of Progress in Marine Anti-Fouling Coatings: Manufacturing Techniques and Copper- and Silver-Doped Antifouling Coatings. Coatings 2024, 14, 1454. [Google Scholar] [CrossRef]
  3. Debiemme-Chouvy, C.; Cachet, H. Electrochemical (pre)treatments to prevent biofouling. Curr. Opin. Electrochem. 2018, 11, 48–54. [Google Scholar] [CrossRef]
  4. Li, S.; Feng, K.; Li, J. Marine antifouling strategies: Emerging opportunities for seawater resource utilization. Chem. Eng. J. 2024, 486, 149859. [Google Scholar] [CrossRef]
  5. Rubio, D.; Casanueva, J.F.; Nebot, E. Assessment of the antifouling effect of five different treatment strategies on a seawater cooling system. Appl. Therm. Eng. 2015, 85, 124–134. [Google Scholar] [CrossRef]
  6. Kumar, A.; Al-Jumaili, A.; Bazaka, O. Functional nanomaterials, synergisms, and biomimicry for environmentally benign marine antifouling technology. Mater. Horiz. 2021, 8, 3201–3238. [Google Scholar] [CrossRef] [PubMed]
  7. Cao, S.; Wang, J.; Chen, H. Progress of marine biofouling and antifouling technologies. Chin. Sci. Bull. 2010, 56, 598–612. [Google Scholar] [CrossRef]
  8. Jin, H.; Tian, L.; Bing, W. Bioinspired marine antifouling coatings: Status, prospects, and future. Prog. Mater. Sci. 2022, 124, 100889. [Google Scholar] [CrossRef]
  9. Han, X.; Wu, J.; Zhang, X. Special issue on advanced corrosion-resistance materials and emerging applications. The progress on antifouling organic coating: From biocide to biomimetic surface. J. Mater. Sci. Technol. 2021, 61, 46–62. [Google Scholar] [CrossRef]
  10. Luo, W.H.; Wang, H.T.; Yu, L. Effect of Zn Content on Electrochemical Properties of Al-Zn-In-Mg Sacrificial Anode Alloy. J. Chin. Soc. Corros. Prot. 2023, 43, 1071–1078. [Google Scholar]
  11. Duan, J.Z.; Liu, C.; Liu, H.L. Research progress of biofouling and its control technology in marine underwater facilities. Mar. Sci. 2020, 44, 162–177. [Google Scholar]
  12. Chen, J.J. Research of the Chlorine in the Seawater Electrolysis Antifouling System. Master’s Thesis, Ocean University of China, Qingdao, China, 2006. [Google Scholar]
  13. Chen, Y.F.; Li, Z.X.; Wang, H.N. Corrosion Behavior of T2 Copper in Static Artificial Seawater. Mater. Prot. 2018, 51, 14–17+52. [Google Scholar]
  14. Pang, J.; Liu, X.J.; Liu, N.Z. Galvanic Corrosion of T2 Cu-alloy and Q235 Steel in Simulated Beishan Groundwater Environment. J. Chin. Soc. Corros. Prot. 2024, 44, 1435–1442. [Google Scholar]
  15. Chen, Y.F.; Li, Z.X.; Wang, H.N. Galvanic corrosion behavior of T2/TC4 galvanic couple in static artificial seawater. Rare Met. Mater. Eng. 2019, 48, 1161–1167. [Google Scholar]
  16. Tian, J.; Xu, K.; Hu, J. Durable self-polishing antifouling Cu-Ti coating by a micron-scale Cu/Ti laminated microstructure design. J. Mater. Sci. Technol. 2021, 79, 62–74. [Google Scholar] [CrossRef]
  17. Li, W.Y.; Cao, C.C.; Yang, X.W. Cold spraying hybrid processing technology and its application. J. Mater. Eng. 2019, 47, 53–63. [Google Scholar]
  18. Li, T.R.; Li, X.; Liu, C. Principle and application of localized scanning electrochemical measurement technology. Mod. Chem. Res. 2024, 8, 14–16. [Google Scholar]
  19. Milagre, M.X.; Donatus, U.; Mogili, N.V. Galvanic and asymmetry effects on the local electrochemical behavior of the 2098-T351 alloy welded by friction stir welding. J. Mater. Sci. Technol. 2020, 45, 162–175. [Google Scholar] [CrossRef]
  20. Wu, Y.D.; Lu, J.; Sun, C.C. Progress of the additive manufacturing applications of cold spray technique. Surf. Technol. 2024, 53, 19–34. [Google Scholar]
  21. Huang, G.; Wang, H.; Li, X. Deposition efficiency of low pressure cold sprayed aluminum coating. Mater. Manuf. Process. 2017, 33, 1100–1106. [Google Scholar] [CrossRef]
  22. Goldbaum, D.; Shockley, J.M.; Chromik, R.R. The Effect of Deposition Conditions on Adhesion Strength of Ti and Ti6Al4V Cold Spray Splats. J. Therm. Spray Technol. 2011, 21, 288–303. [Google Scholar] [CrossRef]
  23. Yang, J.W.; Li, W.Y.; Xing, C.H. Research Progress in Cold Spraying of Copper Coating. Mater. Prot. 2022, 55, 58–70+85. [Google Scholar]
  24. Sun, Y.J.; Zhang, J.L.; Zhai, H.M. Corrosion behaviors cold spraying Zn-Al composite coating in 3.5 wt.% NaCl solution. J. Lanzhou Univ. Technol. 2023, 49, 17–23. [Google Scholar]
  25. Zeng, Y.; Yang, F.; Chen, Z. Enhancing mechanical properties and corrosion resistance of nickel-aluminum bronze via hot rolling process. J. Mater. Sci. Technol. 2021, 61, 186–196. [Google Scholar] [CrossRef]
  26. Gao, Y.B.; Du, X.G.; Wang, Q.W. Corrosion Behavior of Copper in a Simulated Grounding Condition in Electric Power Grid. J. Chin. Soc. Corros. Prot. 2023, 43, 435–440. [Google Scholar]
  27. Wang, K.; Xu, K.; Tian, J. Tailoring the Micro-galvanic Dissolution Behavior and Antifouling Performance Through Laminated-Structured Cu-X Composite Coating. J. Therm. Spray Technol. 2021, 30, 1566–1581. [Google Scholar] [CrossRef]
  28. Li, Z.Q.; Hu, J.Y.; Qiu, S.W. Analysis on Galvanic Corrosion Behavior of TA2, BAl7-7-2-2 and 921A. Dev. Appl. Mater. 2018, 33, 46–50. [Google Scholar]
  29. Zhang, X.Y.; Wang, L.D.; Sun, W. Effect of corrosion products of pure iron on the corrosion behavior of pure iron and its mechanism. Mater. Prot. 2021, 54, 30–36. [Google Scholar]
  30. Ding, R.; Li, X.B.; Wang, J. Study on antifouling effect of cold spray Cu-Cu2O coating. Paint. Coat. Ind. 2013, 43, 1–6. [Google Scholar]
  31. Elmas, S.; Skipper, K.; Salehifar, N. Cyclic Copper Uptake and Release from Natural Seawater-A Fully Sustainable Antifouling Technique to Prevent Marine Growth. Environ. Sci. Technol. 2020, 55, 757–766. [Google Scholar] [CrossRef]
  32. Tian, J.J.; Wang, K.; Xu, K.W. Effect of coating composition on the micro-galvanic dissolution behavior and antifouling performance of plasma-sprayed laminated-structured Cu Ti composite coating. Surf. Coat. Technol. 2021, 410, 126963. [Google Scholar] [CrossRef]
  33. Teng, L.; Chen, X. Research Progress of Galvanic Corrosion in Marine Environment. J. Chin. Soc. Corros. Prot. 2022, 42, 531–539. [Google Scholar]
  34. Gu, S.L.; Zhang, F.; Huang, G.S.; Jiang, D.; Dong, G.J. Corrosion Behavior of Cold Spray Cu-Ti Pseudo Alloy as Anti-fouling Material in Natural Seawater. J. Chin. Soc. Corros. Prot. 2025, 45, 1310–1321. [Google Scholar]
Figure 1. (a) The schematic diagram of macro galvanic corrosion between copper and titanium, (b) galvanic corrosion.
Figure 1. (a) The schematic diagram of macro galvanic corrosion between copper and titanium, (b) galvanic corrosion.
Coatings 15 01433 g001
Figure 2. The schematic diagram of polarization curves for galvanic corrosion between copper and titanium.
Figure 2. The schematic diagram of polarization curves for galvanic corrosion between copper and titanium.
Coatings 15 01433 g002
Figure 3. The schematic diagram of galvanic corrosion between copper and titanium, (a) macro galvanic corrosion, (b) micro galvanic corrosion.
Figure 3. The schematic diagram of galvanic corrosion between copper and titanium, (a) macro galvanic corrosion, (b) micro galvanic corrosion.
Coatings 15 01433 g003
Figure 4. The physical model for Cu-Ti anode corrosion behavior computational domain, (ad) different Ti contents for the same particles size, (eg) different particle size for the same Ti content.
Figure 4. The physical model for Cu-Ti anode corrosion behavior computational domain, (ad) different Ti contents for the same particles size, (eg) different particle size for the same Ti content.
Coatings 15 01433 g004
Figure 5. Mesh strategy for the computational domain, (a) electrolyte area, (b) electrode area.
Figure 5. Mesh strategy for the computational domain, (a) electrolyte area, (b) electrode area.
Coatings 15 01433 g005
Figure 6. The physical domain and boundary conditions.
Figure 6. The physical domain and boundary conditions.
Coatings 15 01433 g006
Figure 7. The polarization curves of Cu and Ti after a 5-day immersion in natural seawater.
Figure 7. The polarization curves of Cu and Ti after a 5-day immersion in natural seawater.
Coatings 15 01433 g007
Figure 8. SEM morphology of (a) Ti powders and (b) Cu powders.
Figure 8. SEM morphology of (a) Ti powders and (b) Cu powders.
Coatings 15 01433 g008
Figure 9. The potential contour of Cu-Ti anode in seawater after 720 h corrosion, (a) 5 wt.%, (b) 10 wt.%, (c) 15 wt.%, (d) 50 wt.%.
Figure 9. The potential contour of Cu-Ti anode in seawater after 720 h corrosion, (a) 5 wt.%, (b) 10 wt.%, (c) 15 wt.%, (d) 50 wt.%.
Coatings 15 01433 g009
Figure 10. The corrosion current density distribution of Cu-Ti anode influenced by Ti content, (a) 5 wt.%, (b) 10 wt.%, (c) 15 wt.%, (d) 50 wt.%.
Figure 10. The corrosion current density distribution of Cu-Ti anode influenced by Ti content, (a) 5 wt.%, (b) 10 wt.%, (c) 15 wt.%, (d) 50 wt.%.
Coatings 15 01433 g010
Figure 11. The time-dependent corrosion current density along the Cu-Ti anode interface, (a) 0 h, (b) 720 h.
Figure 11. The time-dependent corrosion current density along the Cu-Ti anode interface, (a) 0 h, (b) 720 h.
Coatings 15 01433 g011
Figure 12. The corrosion morphology of Cu-Ti anode (15 wt.% Ti) with different Ti particle size at 720 h, (a) 5 μm, (b) 15 μm, (c) 30 μm.
Figure 12. The corrosion morphology of Cu-Ti anode (15 wt.% Ti) with different Ti particle size at 720 h, (a) 5 μm, (b) 15 μm, (c) 30 μm.
Coatings 15 01433 g012
Figure 13. The corrosion current distribution of Cu-Ti anode (15 wt.% Ti) with different Ti particle size at 720 h, (a) 5 μm, (b) 15 μm, (c) 30 μm.
Figure 13. The corrosion current distribution of Cu-Ti anode (15 wt.% Ti) with different Ti particle size at 720 h, (a) 5 μm, (b) 15 μm, (c) 30 μm.
Coatings 15 01433 g013
Figure 14. The corrosion current distribution of Cu-Ti anode (15 wt.% Ti) along the surface with different Ti particle size at (a) 0 h, (b) 720 h.
Figure 14. The corrosion current distribution of Cu-Ti anode (15 wt.% Ti) along the surface with different Ti particle size at (a) 0 h, (b) 720 h.
Coatings 15 01433 g014
Figure 15. The microstructure of the cold spray Cu15%Ti anode, (a) low magnification, (b) larger magnification for the yellow area in (a).
Figure 15. The microstructure of the cold spray Cu15%Ti anode, (a) low magnification, (b) larger magnification for the yellow area in (a).
Coatings 15 01433 g015
Figure 16. The corrosion current density distribution on the cold spray Cu15%Ti anode in seawater, (a) 1 h, (b) 720 h.
Figure 16. The corrosion current density distribution on the cold spray Cu15%Ti anode in seawater, (a) 1 h, (b) 720 h.
Coatings 15 01433 g016
Figure 17. Corrosion morphologies and EDS of Cu-15 wt.% Ti anode in seawater, (a) with corrosion products, (b) removal of corrosion products.
Figure 17. Corrosion morphologies and EDS of Cu-15 wt.% Ti anode in seawater, (a) with corrosion products, (b) removal of corrosion products.
Coatings 15 01433 g017
Table 1. Physical parameters used for simulation.
Table 1. Physical parameters used for simulation.
Physical VariableValueDescription
σ4 S/mConductivity of seawater
M_Cu63.55 g/molMolecular mass of Cu
rho_Cu8940 kg/m3Density of Cu
n2Charge transfer numbers
Table 2. Corrosion parameters.
Table 2. Corrosion parameters.
ExpressionUnitDescription
(i_alpha(-phil)*(1 − micro(x,y)) + i_beta(-phil)*micro(x,y))
(y <= 0)
A/m2Local current density
(1/2)*i_loc/F_const*(1 − micro(x,y))mol/(m2·s)Corrosion rate
Rc*M/rho*(1 − micro(x,y))m/sReleasing rate
Sigma*ls.Vf1 + 0.1[S/m]*ls.Vf2S/mConductivity
Table 3. CS parameters for depositing Cu-Ti anode.
Table 3. CS parameters for depositing Cu-Ti anode.
Temperature (℃)900.0
Pressure (MPa)5.5
Temperature (℃)750
Stand-off distance (mm)25.0
Process gasN2
Powder feeding rate/(g·min−1)40.0
Disclaimer/Publisher’s Note: The statements, opinions and data contained in all publications are solely those of the individual author(s) and contributor(s) and not of MDPI and/or the editor(s). MDPI and/or the editor(s) disclaim responsibility for any injury to people or property resulting from any ideas, methods, instructions or products referred to in the content.

Share and Cite

MDPI and ACS Style

Su, Y.; Cai, F.; Wang, Y.; Wu, S.; Wang, H.; Qian, J.; Ma, L.; Huang, G. The Cu Ions Releasing Behavior of Cu-Ti Pseudo Alloy Antifouling Anode Deposited by Cold Spray in Marine Environment. Coatings 2025, 15, 1433. https://doi.org/10.3390/coatings15121433

AMA Style

Su Y, Cai F, Wang Y, Wu S, Wang H, Qian J, Ma L, Huang G. The Cu Ions Releasing Behavior of Cu-Ti Pseudo Alloy Antifouling Anode Deposited by Cold Spray in Marine Environment. Coatings. 2025; 15(12):1433. https://doi.org/10.3390/coatings15121433

Chicago/Turabian Style

Su, Yan, Fulei Cai, Yuhao Wang, Shuai Wu, Hongren Wang, Jiancai Qian, Li Ma, and Guosheng Huang. 2025. "The Cu Ions Releasing Behavior of Cu-Ti Pseudo Alloy Antifouling Anode Deposited by Cold Spray in Marine Environment" Coatings 15, no. 12: 1433. https://doi.org/10.3390/coatings15121433

APA Style

Su, Y., Cai, F., Wang, Y., Wu, S., Wang, H., Qian, J., Ma, L., & Huang, G. (2025). The Cu Ions Releasing Behavior of Cu-Ti Pseudo Alloy Antifouling Anode Deposited by Cold Spray in Marine Environment. Coatings, 15(12), 1433. https://doi.org/10.3390/coatings15121433

Note that from the first issue of 2016, this journal uses article numbers instead of page numbers. See further details here.

Article Metrics

Article metric data becomes available approximately 24 hours after publication online.
Back to TopTop