Mechanosynthesis of SbSI Targets for Pulsed Electron Deposition of Ferro-Photovoltaic Thin Films
Abstract
1. Introduction
2. Materials and Methods
3. Results
3.1. Mechanosyntesis of SbSI Powders
3.2. Fabrication of SbSI Targets for Pulsed Electron Deposition
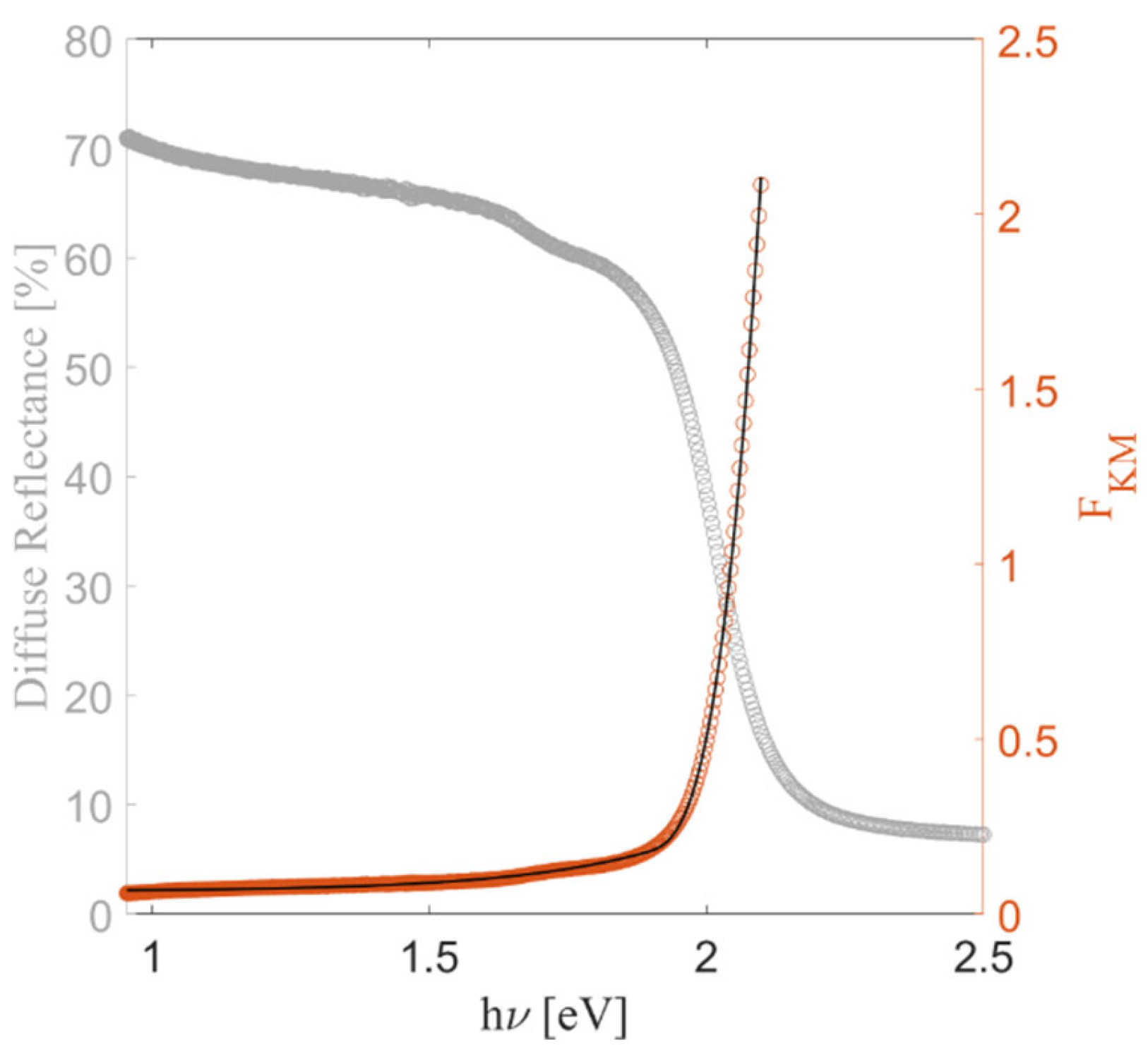
3.3. Pulsed Electron Deposition of SbSI Thin-Films
3.4. Post-Deposition Annealing of SbSI Films
3.4.1. Vacuum Annealing
3.4.2. Air Annealing
4. Discussion
Supplementary Materials
Author Contributions
Funding
Institutional Review Board Statement
Informed Consent Statement
Data Availability Statement
Acknowledgments
Conflicts of Interest
Abbreviations
| FE-PV | Ferro-Photovoltaic |
| FERAM | Ferroelectric Random-Access Memory |
| MC | Mechanochemistry |
| PED | Pulsed Electron Deposition |
| RPM | Rotational speed |
| BPR | Ball-to-Powder mass ratio |
| FTO | Fluorine-doped Tin Oxide |
| PXRD | Powder X-Ray Diffraction |
| SEM | Scanning Electron Microscopy |
| EDX | Energy-Dispersive X-ray |
| XPS | X-ray Photoelectron Spectroscopy |
| AFM | Atomic Force Microscopy |
| RT | Room temperature |
References
- Aguiar, I.; Mombrú, M.; Pérez Barthaburu, M.; Bentos Pereira, H.; Fornaro, L. Influence of solvothermal synthesis conditions in BiSI nanostructures for application in ionizing radiation detectors. Mater. Res. Express 2016, 3, 025012. [Google Scholar] [CrossRef]
- Limin, S.; Shujuan, Z.; Qingwu, W. Porous BiOI Sonocatalysts: Hydrothermal Synthesis, Characterization, Sonocatalytic, and Kinetic. Ind. Eng. Chem. Res. 2012, 51, 1193–1197. [Google Scholar] [CrossRef]
- Kijima, N.; Matano, K.; Saito, M.; Oikawa, T.; Konishi, T.; Yasuda, H.; Sato, T.; Yoshimura, Y. Oxidative catalytic cracking of n-butane to lower alkenes over layered BiOCl catalyst. Appl. Catal. A Gen. 2001, 206, 237–244. [Google Scholar] [CrossRef]
- Li, X.-H.; Shi, Z.-H.; Yang, M.; Liu, W.; Guo, S.-P. Sn7Br10S2: The First Ternary Halogen-Rich Chalcohalide Exhibiting a Chiral Structure and Pronounced Nonlinear Optical Properties. Angew. Chem. Int. Ed. 2022, 61, e202115871. [Google Scholar] [CrossRef] [PubMed]
- Fong, C.Y.; Wooten, F. Experimental and Theoretical Study of the Feasibility of the Gunn Effect in BiSCl, BiSBr, BiSI, BiSeI, BiSeBr and BiSeCl; The Department of Applied Science, University of California: Davis, CA, USA, 1981; AFOSR-TR-81-0452. [Google Scholar] [CrossRef]
- Starczewska, A. New approach to well-known compounds: Fabrication and characterization of AVBVICVII nanomaterials. Acta Phys. Pol. A 2021, 139, 394–400. [Google Scholar] [CrossRef]
- Audzijonis, A.; Sereika, R.; Žaltauskas, R. Antiferroelectric phase transition in SbSI and SbSeI crystals. Solid State Commun. 2008, 147, 88–89. [Google Scholar] [CrossRef]
- Zhang, Y.; Mao, J.; Zheng, R.-K.; Zhang, J.; Wu, Y.; Wang, X.; Miao, K.; Yao, H.; Yang, L.; Zheng, H. Ferroelectric Polarization-Enhanced Performance of Flexible CuInP2S6 Piezoelectric Nanogenerator for Biomechanical Energy Harvesting and Voice Recognition Applications. Adv. Funct. Mater. 2023, 33, 2214745. [Google Scholar] [CrossRef]
- Xu, T.; Switkowski, K.; Chen, X.; Liu, S.; Koynov, K.; Yu, H.; Zhang, H.; Wang, J.; Sheng, Y.; Krolikowski, W. Three-dimensional nonlinear photonic crystal in ferroelectric barium calcium titanate. Nat. Phot. 2018, 12, 591–595. [Google Scholar] [CrossRef]
- Huang, Q.; Ma, C.; Wang, N.; Zhang, H.; Lee, C.; Ma, Y. Photodetectors based on two-dimensional materials/ferroelectrics hybrid system: Physics, structures, and applications. Mater. Sci. Eng. R Rep. 2025, 164, 100986. [Google Scholar] [CrossRef]
- Pan, J.; Wang, Z.; Zhao, B.; Yin, J.; Guo, P.; Yang, Y.; Ren, T.-L. Recent Progress of Non-Volatile Memory Devices Based on Two-Dimensional Materials. Chips 2024, 3, 271–295. [Google Scholar] [CrossRef]
- Mistewicz, K.; Nowak, M.; Stróż, D. A Ferroelectric-Photovoltaic Effect in SbSI Nanowires. Nanomaterials 2019, 9, 580. [Google Scholar] [CrossRef]
- Caño, I.; Navarro-Güell, A.; Maggi, E.; Gon Medaille, A.; Rovira, D.; Jimenez-Arguijo, A.; Segura, O.; Torrens, A.; Jimenez, M.; López, C.; et al. Ribbons of Light: Emerging (Sb,Bi)(S,Se)(Br,I) Van der Waals Chalcohalides for Next-Generation Energy Applications. Small 2025, 21, e05430. [Google Scholar] [CrossRef] [PubMed]
- Yang, S.Y.; Seidel, J.; Byrnes, S.J.; Shafer, P.; Yang, C.H.; Rossell, M.D.; Yu, P.; Chu, Y.H.; Scott, J.F.; Ager, J.W., 3rd; et al. Above-bandgap voltages from ferroelectric photovoltaic devices. Nat. Nanotechnol. 2010, 5, 143–147. [Google Scholar] [CrossRef] [PubMed]
- Zenkevich, A.; Matveyev, Y.; Maksimova, K.; Gaynutdinov, R.; Tolstikhina, A.; Fridkin, V. Giant bulk photovoltaic effect in thin ferroelectric BaTiO3 films. Phys. Rev. B 2014, 90, 161409. [Google Scholar] [CrossRef]
- Ichiki, M.; Maeda, R.; Morikawa, Y.; Mabune, Y.; Nakada, T.; Nonaka, K. Photovoltaic effect of lead lanthanum zirconate titanate in a layered film structure design. Appl. Phys. Lett. 2004, 84, 395–397. [Google Scholar] [CrossRef]
- Han, X.; Ji, Y.; Yang, Y. Ferroelectric photovoltaic materials and devices. Adv. Funct. Mater. 2022, 32, 2109625. [Google Scholar] [CrossRef]
- Fatuzzo, E.; Harbeke, G.; Merz, W.J.; Nitsche, R.; Roetschi, H.; Ruppel, W. Ferroelectricity in SbSI. Phys. Rev. 1962, 127, 2036–2037. [Google Scholar] [CrossRef]
- Wang, Y.; Hu, Y.; Chen, Z.; Guo, Y.; Wang, D.; Wertz, E.A.; Shi, J. Effect of strain on the Curie temperature and band structure of low-dimensional SbSI. Appl. Phys. Lett. 2018, 112, 183104. [Google Scholar] [CrossRef]
- Kern, R. An electro-optical and electromechanical effect in SbSI. J. Phys. Chem. Solids 1962, 23, 249–253. [Google Scholar] [CrossRef]
- Ibanez, A.; Jumas, J.-C.; Olivier-Fourcade, J.; Philippot, E.; Maurin, M. Sur les chalcogeno-iodures d’antimoine SbXI(X = S, Se, Te): Structures et spectroscopie Mo¨ssbauer de121Sb. J. Solid State Chem. 1983, 48, 272–283. [Google Scholar] [CrossRef]
- Su, X.; Liu, Y.; Xiao, C.; Zhang, G.; Liu, T.; Qin, J.; Chen, C. A facile, clean and quantitative synthesis of antimony chloride oxide single crystals. Mat. Lett. 2006, 60, 3879–3881. [Google Scholar] [CrossRef]
- Dubey, H.K.; Deshmukh, L.P.; Kshirsagar, D.E.; Sharon, M.; Sharon, M. A study of the electrical properties of SbSI synthesized using CVD techniques. QScience Connect 2013, 2013, 40. [Google Scholar] [CrossRef]
- Szperlich, P.; Toroń, B.; Nowak, M.; Jesionek, M.L.; Kępińska, M.; Bogdanowicz, W. Growth of large SbSI crystals. Mater. Sci.-Pol. 2014, 32, 669–675. [Google Scholar] [CrossRef]
- Delmonte, D.; Manfredi, R.; Calestani, D.; Mezzadri, F.; Righi, L.; Mazzer, M.; Pattini, F.; Rampino, S.; Spaggiari, G.; Gilioli, E. An affordable method to produce CuInS2 ‘mechano-targets’ for film deposition Semicond. Sci. Technol. 2020, 35, 045026. [Google Scholar] [CrossRef]
- Casappa, M.; Pattini, F.; Spaggiari, G.; Mezzadri, F.; Rampino, S. Growth of multiferroic γ-BaFe2O4 thin films by Pulsed Electron Deposition technique. J. Alloys Compd. 2024, 987, 174193. [Google Scholar] [CrossRef]
- Spaggiari, G.; Bersani, D.; Calestani, D.; Gilioli, E.; Gombia, E.; Mezzadri, F.; Casappa, M.; Pattini, F.; Trevisi, G.; Rampino, S. Exploring Cu-Doping for Performance Improvement in Sb2Se3 Photovoltaic Solar Cells. Int. J. Mol. Sci. 2022, 23, 15529. [Google Scholar] [CrossRef]
- Stancari, F.; Rampino, S.; Pattini, F.; Mezzadri, F.; Spaggiari, G.; Parisini, A.; Pavesi, M.; Baraldi, A.; Rancan, M.; Armelao, L.; et al. Tetravalent element doping of β-Ga2O3 films grown by Pulsed Electron Deposition technique. J. Alloys Compd. 2025, 1027, 180581. [Google Scholar] [CrossRef]
- Kikuchi, A.; Oka, Y.; Sawaguchi, E. Crystal structure determination of SbSI. J. Phys. Soc. Jpn. 1967, 23, 337–354. [Google Scholar] [CrossRef]
- Altomare, A.; Cuocci, C.; Giacovazzo, C.; Moliterni, A.; Rizzi, R.; Corriero, N.; Falcicchio, A. EXPO2013: A kit of tools for phasing crystal structures from powder data. J. Appl. Cryst. 2013, 46, 1231–1235. [Google Scholar] [CrossRef]
- Rodríguez-Carvajal, J. Recent advances in magnetic structure determination by neutron powder diffraction. Phys. B Condens. Matter 1993, 192, 55–69. [Google Scholar] [CrossRef]
- Balkanski, M.; Teng, M.K.; Shapiro, S.M.; Ziolkiewicz, M. Lattice modes and phase transition in SbSI. Phys. Stat. Sol. 1971, 44, 355–368. [Google Scholar] [CrossRef]
- Özer, T. Investigation of pressure dependence of mechanical properties of SbSI compound in paraelectric phase by Ab Initio method. Comput. Condens. Matter 2021, 28, e00568. [Google Scholar] [CrossRef]
- Grigas, J.; Talik, E.; Lazauskas, V. Splitting of the XPS in Ferroelectric SbSI crystals. Ferroelectrics 2003, 284, 147–160. [Google Scholar] [CrossRef]
- Grigas, J.; Talik, E.; Lazauskas, V. X-ray photoelectron spectroscopy of ferroelectric semiconductor SbSI crystals. Lith. J. Phys. 2004, 44, 427–438. [Google Scholar] [CrossRef]
- Ikemoto, I. X-ray photoelectron spectroscopic studies of SbSI. Bull. Chem. Soc. Jpn. 1981, 54, 2519–2520. [Google Scholar] [CrossRef]
- Yuan, Y.; Xiao, Z.; Yang, B.; Huang, J. Arising applications of ferroelectric materials in photovoltaic devices. J. Mater. Chem. A 2014, 2, 6027–6041. [Google Scholar] [CrossRef]
- Nowak, M.; Kauch, B.; Szperlich, P. Determination of energy band gap of nanocrystalline SbSI using diffuse reflectance spectroscopy. Rev. Sci. Instrum. 2009, 80, 046107. [Google Scholar] [CrossRef]
- NIST X-Ray Photoelectron Spectroscopy Database, Version 5.0 (Last Update 2023). Available online: https://doi.org/10.18434/T4T88K (accessed on 18 April 2025).
- Altomare, A.; Campi, G.; Cuocci, C.; Eriksson, L.; Giacovazzo, C.; Moliterni, A.; Rizzi, R.; Werner, P.-E. Advances in Powder Diffraction Pattern Indexing: N-TREOR09. J. Appl. Cryst. 2009, 42, 768–775. [Google Scholar] [CrossRef]
- De Wolff, P.M. A Simplified Criterion for the Reliability of a Powder Pattern Indexing. J. Appl. Cryst. 1968, 1, 108–113. [Google Scholar] [CrossRef]
- Altomare, A.; Camalli, M.; Cuocci, C.; Giacovazzo, C.; Moliterni, A.G.G.; Rizzi, R. Advances in Space-Group Determination from Powder Diffraction Data. J. Appl. Cryst. 2007, 40, 743–748. [Google Scholar] [CrossRef]
- Altomare, A.; Caliandro, R.; Camalli, M.; Cuocci, C.; Da Silva, I.; Giacovazzo, C.; Moliterni, A.G.G.; Spagna, R. Space-Group Determination from Powder Diffraction Data: A Probabilistic Approach. J. Appl. Cryst. 2004, 37, 957–966. [Google Scholar] [CrossRef]
- Le Bail, A.; Duroy, H.; Fourquet, J.L. Ab-Initio Structure Determination of LiSbWO6 by X-Ray Powder Diffraction. Mat. Res. Bull. 1988, 23, 447–452. [Google Scholar] [CrossRef]
- Giacovazzo, C. Phasing in Crystallography—A Modern Perspective; International Union of Crystallography/Oxford University Press: Chester, UK, 2013; ISBN 9780199686995. [Google Scholar]
- Rietveld, H.M. A profile refinement method for nuclear and magnetic structures. J. Appl. Cryst. 1969, 2, 65–71. [Google Scholar] [CrossRef]


















| Sample Name | Mechanical Media | RPM | BPR | TIME [h] | SbSI Formation |
|---|---|---|---|---|---|
| A | SiO2 | 500 | 14 | 3 | NO |
| B | SiO2 | 700 | 14 | 1 | NO |
| C | Y:ZrO2 | 600 | 14 | 12 | Incomplete |
| D | Y:ZrO2 | 600 | 14 | 20 | Incomplete |
| E | Y:ZrO2 | 650 | 14 | 20 | YES |
| SbSI Phase | Peak Position (cm−1) | ||||||||||||
|---|---|---|---|---|---|---|---|---|---|---|---|---|---|
| Paraelectric | 39 | 52 | 69 | 105 | 138 | 148 | 215 | 307 | 319 | ||||
| Ferroelectric | 30 | 40 | 45 | 51 | 58 | 72 | 110 | 140 | 153 | 206 | 252 | 316 | 322 |
| Element | Powders (by EDX) | Target (by XPS) | PED Film (by EDX) |
|---|---|---|---|
| Sb | 34% | 33.3% | 34% |
| S | 33% | 33.4% | 33% |
| I | 33% | 33.3% | 33% |
| Peak BE (eV) | Atomic % | |
|---|---|---|
| S 2p3/2 | 161.7 | 12.5 |
| Sb 3d5/2 (Sb) | 528.5 | 1.3 |
| Sb 3d5/2 (SbSI) | 530.0 | 12.4 |
| Sb 3d5/2 (Sb2O3/SbI3) | 530.6 | 22.2 |
| O 1s | 531.0 | 27.4 |
| I 3d5/2 | 619.0 | 24.2 |
Disclaimer/Publisher’s Note: The statements, opinions and data contained in all publications are solely those of the individual author(s) and contributor(s) and not of MDPI and/or the editor(s). MDPI and/or the editor(s) disclaim responsibility for any injury to people or property resulting from any ideas, methods, instructions or products referred to in the content. |
© 2025 by the authors. Licensee MDPI, Basel, Switzerland. This article is an open access article distributed under the terms and conditions of the Creative Commons Attribution (CC BY) license (https://creativecommons.org/licenses/by/4.0/).
Share and Cite
Casappa, M.; Del Canale, E.; Delmonte, D.; Pattini, F.; Spaggiari, G.; Moliterni, A.; Giannini, C.; Aroldi, A.; Saucedo Silva, E.A.; Navarro, A.; et al. Mechanosynthesis of SbSI Targets for Pulsed Electron Deposition of Ferro-Photovoltaic Thin Films. Coatings 2025, 15, 1232. https://doi.org/10.3390/coatings15101232
Casappa M, Del Canale E, Delmonte D, Pattini F, Spaggiari G, Moliterni A, Giannini C, Aroldi A, Saucedo Silva EA, Navarro A, et al. Mechanosynthesis of SbSI Targets for Pulsed Electron Deposition of Ferro-Photovoltaic Thin Films. Coatings. 2025; 15(10):1232. https://doi.org/10.3390/coatings15101232
Chicago/Turabian StyleCasappa, Michele, Elena Del Canale, Davide Delmonte, Francesco Pattini, Giulia Spaggiari, Anna Moliterni, Cinzia Giannini, Andrea Aroldi, Edgardo Ademar Saucedo Silva, Alejandro Navarro, and et al. 2025. "Mechanosynthesis of SbSI Targets for Pulsed Electron Deposition of Ferro-Photovoltaic Thin Films" Coatings 15, no. 10: 1232. https://doi.org/10.3390/coatings15101232
APA StyleCasappa, M., Del Canale, E., Delmonte, D., Pattini, F., Spaggiari, G., Moliterni, A., Giannini, C., Aroldi, A., Saucedo Silva, E. A., Navarro, A., Calestani, D., Trevisi, G., Rancan, M., Armelao, L., Bronzoni, M., Gilioli, E., & Rampino, S. (2025). Mechanosynthesis of SbSI Targets for Pulsed Electron Deposition of Ferro-Photovoltaic Thin Films. Coatings, 15(10), 1232. https://doi.org/10.3390/coatings15101232

