Next Article in Journal
A Novel Organic–Inorganic Composite with Outstanding Comprehensive Reinforcement Properties for Dealing with Salt Efflorescence of Pottery
Previous Article in Journal
Numerical Investigation of Ice Crystal Effects on Aircraft Icing Under Mixed-Phase Conditions
 
 
Font Type:
Arial Georgia Verdana
Font Size:
Aa Aa Aa
Line Spacing:
Column Width:
Background:
Article

Synergistic Enhancement of Microbial Fuel Cell Performance via Hierarchical NiCo2O4/Polypyrrole-Modified Carbon Felt Anode

1
College of Energy and Architectural Engineering, Harbin University of Commerce, Harbin 150028, China
2
Ecological Environment Monitoring Station, Lincang Ecological Environment Bureau, Lincang 677000, China
3
College of Light Industry, Harbin University of Commerce, Harbin 150028, China
4
College of Food Engineering, Harbin University of Commerce, Harbin 150028, China
5
Teaching Affairs Office, Harbin University of Commerce, Harbin 150028, China
*
Authors to whom correspondence should be addressed.
These authors contributed equally to this work.
Coatings 2025, 15(10), 1208; https://doi.org/10.3390/coatings15101208
Submission received: 23 August 2025 / Revised: 1 October 2025 / Accepted: 13 October 2025 / Published: 14 October 2025

Abstract

In this study, a carbon felt (CF)-based ternary composite anode was developed through the decoration of nickel cobaltite (NiCo2O4) nano-needles and subsequent in situ electropolymerization of polypyrrole (PPy). The structural and electrochemical properties of the modified electrodes were systematically characterized. The CF/NiCo2O4/PPy anode demonstrated significantly enhanced bioelectrochemical activity, achieving a peak current density of 96.0 A/m2 and a steady-state current density of 28.9 A/m2, which were 4.85 and 5.90 times higher than those of bare carbon felt, respectively. Geobacteriaceae is a type of electrogenic bacteria. It was hardly detected on the bare CF substrate; however, in the ternary CF/NiCo2O4/PPy electrode, the relative abundance of Geobacteriaceae significantly increased to 43%. Moreover, the composite electrode exhibited superior charge storage performance, with a total charge (Qt) of 32,509.0 C/m2 and a stored charge (Qs) of 3609.0 C/m2 measured under a 1000 s charging/discharging period. The MFC configured with the CF/NiCo2O4/PPy anode reached a maximum power density of 1901.25 mW/m2 at an external resistance of 200 Ω, nearly six times that of the unmodified CF-based MFC. These improvements are attributed to the synergistic interaction between the pseudocapacitive NiCo2O4 and conductive PPy, which collectively facilitate electron transfer, promote microbial colonization, and enhance interfacial redox kinetics. This work provides an effective strategy for designing high-performance MFC electrodes with dual functionality in energy storage and power delivery.

1. Introduction

Microbial fuel cells (MFCs) are devices that integrate microbial metabolism with electrochemical energy conversion technology, characterized by significant advantages such as compact volume, high portability, and pollution-free operation [1,2,3]. Their ability to generate bioelectricity while treating wastewater makes them promising for powering miniaturized electronic devices. However, several persistent challenges remain: The bioelectrocatalytic activity of MFCs is relatively low, resulting in insufficient power density that presents a major obstacle for powering high-energy-consumption instruments. Furthermore, MFC stability is constrained by inherent limitations, making long-term operation difficult to sustain, whereas wastewater treatment processes typically require continuous and stable functionality.
In MFC research, the composition of electrode materials constitutes a critical factor influencing energy output. As microbial degradation primarily occurs at the anode, governing the power generation and energy storage capacity of MFCs, the anode serves as the key core component. An ideal anode electrode must possess distinct characteristics, including high surface area, excellent conductivity, biocompatibility, corrosion resistance, and durability [4,5]. Carbon-based materials, such as carbon cloth, carbon felt, graphite rods, and graphene, are widely recognized for this application. Among these, carbon felt is extensively employed as an MFC electrode owing to its exceptional electronic conductivity, large surface area, corrosion resistance [6,7,8,9], high porosity, and low cost. Alterman et al. [10] utilized a graphite felt anode, achieving a maximum power output of 386 W·m−3 in the anode chamber. Similarly, Zhao et al. [11] implemented an activated anode composed of akaganéite (β-FeOOH) coated carbon felt, resulting in a maximum power density of approximately 504.2 mW·m−2 in the BMFC. This represented a 2.3-fold increase compared to the unmodified anode, demonstrating significant enhancement in electrochemical performance.
In the aforementioned experimental cases, anode modification strategies successfully enhanced charge transfer efficiency, thereby improving bioelectrocatalytic activity to some extent. Current research on MFC anode modification materials primarily focuses on metal oxides and conductive polymers. When carbon-based anodes are modified with metals or metal oxides in MFCs, alterations occur in their electrochemical behavior and the microbial communities enriched on the anode [12]. This subsequently enhances charge transfer efficiency and bioelectrocatalytic activity, leading to significant improvements in power density. Mohamed et al. [13] successfully developed a high-performance MFC anode material by depositing novel metal oxide-coated nanoparticles onto carbon paper (CP). This material increased power generation and current density to 140% and 210% of pristine CP, respectively, significantly outperforming non-metallic oxide anode modifications in MFCs. Similarly, Xue et al. [14] modified carbon felt with bimetallic MnFe2O4 nanoparticles, substantially increasing the electrode’s specific surface area and electrical conductivity. The MFC achieved a maximum power density of 620 mW·m−2, representing a 2.5-fold increase over the unmodified electrode. At a higher modification loading (1 mg·cm−2), power density reached 3836 mW·m−2, markedly enhancing MFC power generation performance. Particularly, spinel nickel cobaltite (NiCo2O4) stands out as a highly suitable coating material due to its rich redox chemistry, high theoretical capacitance, and proven capability to form favorable nanostructures (e.g., nano-urchins) for microbial attachment and interfacial charge storage [15,16,17], directly contributing to enhanced energy storage and power delivery in MFCs. Saranya et al. [18] developed a NiCo2O4/PANI-modified carbon cloth cathode for MFCs, achieving a maximum power density of 12.19 ± 0.59 mW/m2—15.9 times higher than unmodified carbon cloth. The composite also promoted enrichment of electroactive genera such as Alcaligenes (42.7%) and Desulfurivibrio (9.34%), confirming that NiCo2O4 enhances specific surface area for microbial attachment and synergizes with conductive polymers to improve interfacial charge transfer. This study supports the design strategy of NiCo2O4-based composite electrodes for MFC applications.
Concurrently, conductive polymers such as polypyrrole (PPy) and polyaniline (PANI) are also widely applied for anode modification due to their excellent conductivity and biocompatibility. Wu et al. [19] fabricated a PPy/Sargassum-derived activated carbon composite to modify a stainless-steel sponge (SS) anode, achieving a maximum power density of 45.2 W·m−3—approximately 100 times higher than the unmodified anode. Sonawane et al. [20] demonstrated that a PANI-modified stainless-steel plate (SS-P) anode generated startup currents 13 times greater than the unmodified SS-P anode, further validating the potential of conductive polymers for enhancing MFC performance. Recent studies highlight PPy’s role in enhancing MFC electrode performance. Dumitru A. et al. [21] demonstrated that PPy nanocomposites with metal oxides (TiO2, WO3) increased power density by 34.7% compared to pure PPy anodes, while improving cycling stability. Separately, Li et al. [22] showed that PPy-wrapped NiCo2S4 maintained over 92.8% capacitance retention after 5000 cycles and enhanced electron transfer. These findings support the use of PPy in composite electrodes like PPy/NiCo2O4 to achieve both structural stability and high interfacial conductivity for sustained MFC operation [21,22].
Anodes modified solely with conductive polymers undergo pronounced degradation in conductivity after multiple cycles, resulting in significant capacitance decay and unstable performance. While metal oxides can substantially enhance capacitance values, their cycling stability is chronically insufficient to meet the demands of long-term wastewater treatment. Consequently, constructing conductive polymer–metal oxide composite systems for anode modification is essential to leverage the advantages and mitigate the limitations of both materials. To synergize the benefits of NiO and PANI, Zhong et al. [23] synthesized a novel petal-like nickel oxide-based polyaniline electrode (NiO@PANI–CF) via in situ polymerization. This material ingeniously integrates the high capacity of NiO with the superior conductivity of PANI. The resulting MFC achieved a maximum power density of 1078.8 mW·m−2—representing a 6.6-fold increase over the pristine CF-MFC—significantly boosting power generation efficiency and substantially enhancing the output capability of the nickel oxide fuel cell (NiO@PANI–MFC).
Currently, to synergize the advantages of both materials and address the limitations of MFCs in practical applications, composite systems integrating carbon materials, conductive polymers, and metal oxides for anode modification have been widely investigated. Among conductive polymers, PPy is extensively utilized in constructing composite anodes due to its compatibility with metal oxide-modified electrodes, coupled with distinctive properties including high conductivity, structural tunability, and biocompatibility. In this study, nickel cobalt oxides in the form of sea urchin-like bimetallic oxides were synthesized by hydrothermal reaction and low-temperature polymerization on the pretreated three-dimensional carbon felt electrode, and polypyrrole was further grown in situ under an ice bath. This design leverages the complementary strengths of PPy and NiCo2O4, simultaneously mitigating multiple drawbacks of conventional MFC anodes. The composite significantly enhances electrode conductivity and electrochemical activity, achieving superior power output, operational stability, and improved energy storage capacity. These advancements hold substantial significance for applications such as wastewater treatment and powering high-demand devices, demonstrating considerable potential for future environmental and biological applications.

2. Materials and Methods

2.1. Preparation of CF/NiCo2O4/PPy Electrode

The CF/NiCo2O4 electrode was fabricated using a two-step method involving constant-current electrodeposition followed by calcination [16,17]. First, 2 mmol of Ni(NO3)2·6H2O (AR, 99%, Harbin Kaimesi Technology Co., Ltd., Harbin, China) and 4 mmol of Ni(NO3)2·6H2O (AR, 98%, Harbin Kaimesi Technology Co., Ltd., Harbin, China) were dissolved in 100 mL of deionized water. The solution was magnetically stirred for 30 min to ensure homogeneity, followed by ultrasonication for an additional 30 min. Subsequently, pre-treated CF was immersed in the resulting homogeneous solution. After complete wetting of the CF, the NiCo2O4 precursor was deposited onto the carbon felt at room temperature. During electrodeposition process, through a CHI760e electrochemical workstation (Shanghai Chenhua Instrument Co., Ltd., Shanghai, China), the CF served as the working electrode, an Ag/AgCl electrode was used as the reference electrode, and a Pt electrode acted as the counter electrode. Deposition was performed at a constant current density of −3 mA·cm−2 for 900 s. Following electrodeposition, the electrode was rinsed several times with deionized water and anhydrous ethanol, respectively, and then dried in an oven at 60 °C for 12 h. Finally, the dried electrode was calcined in a muffle furnace at 300 °C for 3 h (with a heating rate of 5 °C·min−1) to obtain the NiCo2O4-modified carbon felt electrode. This electrode is denoted as CF/NiCo2O4.
Subsequently, the PPy modification was performed on the CF/NiCo2O4 electrode within a three-electrode system. The CF/NiCo2O4 electrode served as the working electrode and was secured using a titanium wire. A platinum sheet electrode (20 × 20 × 0.1 mm) acted as the counter electrode, and an Ag/AgCl electrode was employed as the reference electrode. Sodium p-toluenesulfonate (pTS) (96%, Shanghai Ronen Reagent Co., Ltd., Shanghai, China) was selected as the dopant, as it not only enhances the conductivity of PPy but also promotes the formation of an ordered PPy polymer morphology. Electropolymerization was carried out in an aqueous solution containing 500 mmol·L−1 sodium p-toluenesulfonate and 10 mmol·L−1 pyrrole (AR, Shanghai Ronen Reagent Co., Ltd., Shanghai, China) monomer (pH 6.5). Chronoamperometry was applied within a potential range of 0.1 V to 0.4 V vs. Ag/AgCl for a duration of 30 min. Following polymerization, the PPy-modified electrode was rinsed thoroughly with deionized water, dried in an oven, and denoted as the CF/NiCo2O4/PPy electrode.

2.2. MFC Construction and Operation

The MFC employed a dual-chamber configuration with anode and cathode compartments separated by a proton exchange membrane (Suzhou Yilongsheng Energy Technology Co., Ltd., Suzhou, China). Modified carbon felt (Go/Pth) served as the anode material, while a commercial carbon rod (Carbon Energy Technology Co., Ltd., Beijing, China) functioned as the cathode. Both chambers featured symmetrically aligned upper ports penetrating the membrane, allowing suspension of their respective electrodes within the compartments. The catholyte consisted of a 10 g/L potassium ferricyanide solution (A.R. 99.5%; Tianjin Guangfu Fine Chemical Co., Ltd., Tianjin, China). Anode inoculum was sourced from anaerobic wastewater treatment sludge and acclimatized via temperature and external resistance adjustments. Sodium acetate (2.5 g/L, A.R.; Tianjin Komeo Chemical Reagent Co., Ltd., Tianjin, China) provided the carbon source. All experiments were conducted at room temperature, with MFC performance evaluated post-stabilization.

2.3. Characterization and Measurement

Electrode surface morphology and elemental composition were analyzed using a Hitachi SU5000 scanning electron microscope (Hitachi High-Technologies, Tokyo, Japan) coupled with an Oxford Ultim Max40 energy dispersive spectrometer (Oxford Instruments, Oxfordshire, UK) at 20 kV acceleration voltage. Material phase analysis was performed via X-ray diffraction (XRD, Rigaku SMARTLAB 9kW, Tokyo, Japan) with a 10°/min scan rate over 5–90° 2θ range, with phase identification against standard reference patterns. All electrochemical characterization utilized the MFC reactor system, where the prepared anode served as the working electrode, a carbon rod cathode as the counter electrode, and Ag/AgCl as the reference electrode. MFC performance was evaluated through voltage measurements under varying external resistances at optimal conditions, with corresponding current values calculated to construct power density and polarization curves. Chronopotentiograms were simultaneously recorded under constant resistance conditions. Electrode kinetics, double-layer effects, and diffusion processes were analyzed via electrochemical impedance spectroscopy (EIS) with 5 mV perturbation amplitude across 0.01 Hz–100 kHz, determining internal resistance. All experiments employed a CHI760e electrochemical workstation (Shanghai Chenhua Instrument Co., Ltd., Shanghai, China) in a dual-chamber configuration.

2.4. Microbial Characterization Techniques

High-throughput sequencing was performed according to a standardized protocol provided by Shanghai Shengong Biological Company (Shanghai, China). The main processes were gDNA extraction, library construction and sequencing. gDNA was extracted using extraction kits, the target sequences were enriched using highly specific primers, and the data were sequenced for bioinformatics analysis [24].

3. Results and Discussion

3.1. Morphological and Structural Characterization of the Composite Electrodes

The three-dimensional reticulated framework of the bare CF electrode (Figure 1a–c) exhibits a highly interconnected porous skeleton. This open topology provides continuous pathways for electron conduction; however, the intrinsically smooth surface of the carbon fibers, while possessing fundamental conductivity, offers limited active sites, constraining the electrochemical response. Following hydrothermal modification, the CF/NiCo2O4 electrode (Figure 1d–f) undergoes a significant morphological evolution: NiCo2O4 microspheres serve as core units, uniformly decorated with radially aligned nano-needle arrays, forming a characteristic urchin-like hierarchical structure [25,26]. These sharp nano-needles are densely anchored perpendicularly onto the carbon fiber surfaces. This architecture not only multiplies the specific surface area compared to pristine CF but also substantially enhances charge collection capability. The intimate electronic pathways formed between the nano-needles and the carbon fiber substrate, coupled with the micron-scale pores between needle clusters facilitating electrolyte infiltration, collectively optimize interfacial ion/electron transfer kinetics.
The ternary CF/NiCo2O4/PPy electrode (Figure 1g–i), constructed subsequently, achieves further functional integration: PPy is selectively deposited as sub-micron spherical particles within the interstices of the NiCo2O4 nano-needles [27], forming a unique “needle-sphere interlocked” composite. The PPy spheres enhance electrode performance through two primary mechanisms: (i) Their nitrogen-rich molecular chains provide abundant hydrophilic functional groups, significantly improving electrode biocompatibility to promote electroactive microbial adhesion and biofilm formation; (ii) the intrinsic high conductivity of PPy synergizes with the NiCo2O4 nano-needles to establish a hierarchical “electron highway” in three dimensions. The nano-needles act as vertical charge transport backbones, while the PPy spheres bridge adjacent needle clusters laterally, creating a multi-dimensional conductive network. This configuration significantly shortens electron transfer pathways, while the amplified surface roughness creates an ideal microenvironment for microbial colonization.
The SEM images reveal the hierarchical architecture of the composite electrode. As shown in Figure 1a–c, the bare carbon felt exhibits a macroporous and interconnected network of fibers, which serves as a conductive scaffold. Upon modification, the NiCo2O4 nano-needles create an urchin-like morphology that densely anchors onto the carbon fibers (Figure 1d–f). Subsequently, the PPy is deposited as sub-micron spherical particles within the interstices of the nano-needles, forming a “needle-sphere interlocked” composite structure (Figure 1g–i). This multi-level architecture, observed across the images, significantly increases the specific surface area and is expected to facilitate mass transport and provide abundant sites for microbial colonization and electron transfer.
Ultimately, the synergistic effect between the 3D conductive skeleton of carbon felt and the multi-level functional modifications achieves a breakthrough in electrode performance: The open channels ensure efficient mass transport, the NiCo2O4 urchin structure expands the reactive interface, and the PPy composite layer, optimized for dual conductivity–biofunctionality, constructs an efficient microbe–electrode electron transfer bridge.
To validate the compositional distribution and modification effects of the composite electrodes, selected-area energy-dispersive X-ray spectroscopy (EDS) analysis was performed (Figure 2). The SEM image of blank carbon felt (CF) exhibited clean and smooth fiber surfaces (Figure 2a), with corresponding elemental mapping revealing a uniform and continuous distribution of C (Figure 2b) and a sparse, scattered presence of O (Figure 2c), consistent with intrinsic oxygen-containing groups in carbon felt. Upon NiCo2O4 modification, EDS analysis of the CF/NiCo2O4 composite electrode revealed compositional evolution: Within the selected region (Figure 2b), the C signal maintained skeletal continuity but demonstrated significant attenuation in intensity. Conversely, the O signal density substantially increased with expanded distribution coverage. Highly overlapping punctate distributions of Co and Ni elements directly confirmed the formation of a dense NiCo2O4 nanoneedle coating on the fiber surfaces [22]. Upon introducing polypyrrole to form the ternary composite electrode, the EDS mapping displayed new characteristics (Figure 2c): The uniform and continuous distribution of N confirmed the complete encapsulation of NiCo2O4 nanostructures by the PPy coating. The C signal intensity recovered and exhibited edge blurring, reflecting the secondary coating of carbon fibers by the PPy layer. While the Co and Ni elements maintained their co-distribution pattern, their signal intensity attenuated due to absorption of low-energy X-rays (Co-Kα: 6.93 keV, Ni-Kα: 7.47 keV) by the PPy layer. The O distribution further expanded and demonstrated gradient variations, corresponding to the combined contributions of NiCo2O4 lattice oxygen and oxygen-containing functional groups on the PPy surface [28].
Elemental composition evolution of the electrodes was quantitatively analyzed by EDS (Figure 3). The pristine CF electrode (Figure 3a) exhibited carbon-dominated characteristics with C and O contents of 94.55 wt% and 5.45 wt%, respectively, yielding a C/O mass ratio of 17.35. Upon NiCo2O4 modification (Figure 3b), significant elemental redistribution occurred: characteristic Co (26.46 wt%) and Ni (12.85 wt%) signals emerged alongside elevated O content (31.66 wt%, representing a 480.9% increase relative to CF), while carbon content decreased to 31.66 wt%. The atomic ratio of Ni/Co was calculated as 1:2.05, deviating merely 2.5% from the theoretical stoichiometry of NiCo2O4 (1:2), confirming successful oxide loading [29]. Further PPy deposition (Figure 3c) introduced distinct nitrogen signatures (5.64 wt%) attributable to pyrrolic rings (C4H4NH), with concurrent carbon content adjustment to 30.31 wt% (reflecting polymeric carbon backbone contributions) and oxygen reduction to 29.78 wt%. The observed elemental progression—from carbon–oxygen dominance to transition metal–oxygen coexistence and finally nitrogen emergence—systematically validates the hierarchical electrode architecture: carbon felt substrate to NiCo2O4 decoration to conductive polymer encapsulation.
The FTIR spectrum (Figure 4) of pristine CF exhibits distinct features reflecting surface chemistry evolution during pretreatment. The absence of C-H stretching vibrations (2800–3000 cm−1, transmittance >99%) confirms efficient removal of aliphatic contaminants through alcohol cleaning. Characteristic C-O stretching bands (1000–1300 cm−1, transmittance 40%–60%) indicate successful introduction of oxygen-containing groups (e.g., hydroxyl, carboxyl) via H2O2 oxidation, which enhances hydrophilicity. Deposition of spinel-type NiCo2O4 onto CF is validated by metal–oxygen vibrational modes below 800 cm−1. Characteristic dips in transmittance at 560 cm−1 (Ni2+-O) and 655 cm−1 (Co3+-O) confirm the formation of a crystalline spinel structure. The absence of nitrate precursor residues (no absorption at 1380 cm−1, transmittance >85%) indicates complete decomposition during hydrothermal-annealing synthesis [30]. Broad O-H stretching at 3400 cm−1 (transmittance drop: 60%→40%) and H-O-H bending at 1630 cm−1 (transmittance: 85%→80%) reveal adsorbed water, attributable to the hygroscopic nature of the high-surface-area nanostructure. These features collectively affirm successful NiCo2O4 growth on CF.
In situ polymerization of PPy on CF/NiCo2O4 yields a ternary composite with identifiable interfacial interactions. Signature PPy peaks include C=C/C-C skeletal vibrations at 1600 cm−1 (transmittance ~15%), C-N stretching at 1290 cm−1 (~16.5%), N-H deformation at 1040 cm−1 (~19.7%), and C-H bending at 790 cm−1 (~23.6%). Critically, the bipolaron band at 920 cm−1 (~22.5% transmittance) confirms PPy in a conductive oxidized state, favorable for charge transfer [31]. The persistent sub-650 cm−1 absorption (near 0% transmittance) verifies retained NiCo2O4, while a shifted C-N peak (vs. pure PPy) suggests potential Co/Ni-N coordination at the interface. The intensified O-H stretch at 3430 cm−1 (near 0% transmittance) implies enhanced hydrophilicity from PPy incorporation. Broadened PPy peaks indicate polymer chain disorder, possibly arising from kinetically limited polymerization in mixed solvents [32].
The FTIR results demonstrate a progressive optimization of electrode interfaces: CF provides a functionalized substrate, NiCo2O4 contributes spinel-phase conductivity, and PPy coating establishes a conductive polymer network with synergistic metal–polymer interactions. Next, electrochemical analysis (CV/EIS) will be carried out for verification, so as to correlate the spectral characteristics with the charge transfer efficiency.
X-ray diffraction (XRD) analysis confirmed the crystallographic evolution and interfacial interactions within the composite electrodes (Figure 5). For the CF/NiCo2O4 composite, distinct diffraction peaks observed at 31.1°, 36.6°, 44.6°, 58.9°, and 64.7° 2θ were unambiguously indexed to the (220), (311), (400), (511), and (440) planes of cubic spinel NiCo2O4 (PDF#02-1074, space group Fd-3m), verifying phase-pure synthesis without detectable impurities [33]. The calculated lattice parameter (a = 8.128 Å) aligned closely with theoretical values (8.11 Å), indicating structural integrity essential for Faradaic redox reactions. Upon introducing polypyrrole (PPy) to form the CF/NiCo2O4/PPy ternary composite, characteristic NiCo2O4 peaks persisted at 32.8°, 36.7°, 46.7°, 59.3°, and 65.2° 2θ with marginal peak shifts (<0.5°), confirming that PPy deposition preserved the spinel framework and crystallinity of NiCo2O4. Notably, a broad scattering hump emerged within 10–30° 2θ exclusively in the ternary system, attributable to the amorphous nature of conductive PPy chains [34]. This feature signifies successful PPy encapsulation and suggests interfacial interactions (e.g., π–π stacking or H-bonding) between PPy and the CF/NiCo2O4 substrate, which facilitates charge transfer across the hybrid interface.
The synergistic configuration endows the electrode with dual functionality: (1) The well-maintained NiCo2O4 spinel structure provides abundant pseudocapacitive sites for rapid ion adsorption/desorption, while (2) the conformal PPy coating enhances electrode conductivity, prevents active material dissolution, and crucially improves biocompatibility for microbial colonization in MFCs. This unique integration enables simultaneous energy harvesting (via bioelectrochemical reactions) and in situ energy storage (through pseudocapacitance), collectively boosting the power density and operational stability of MFC systems.

3.2. Electrochemical Performance Analysis

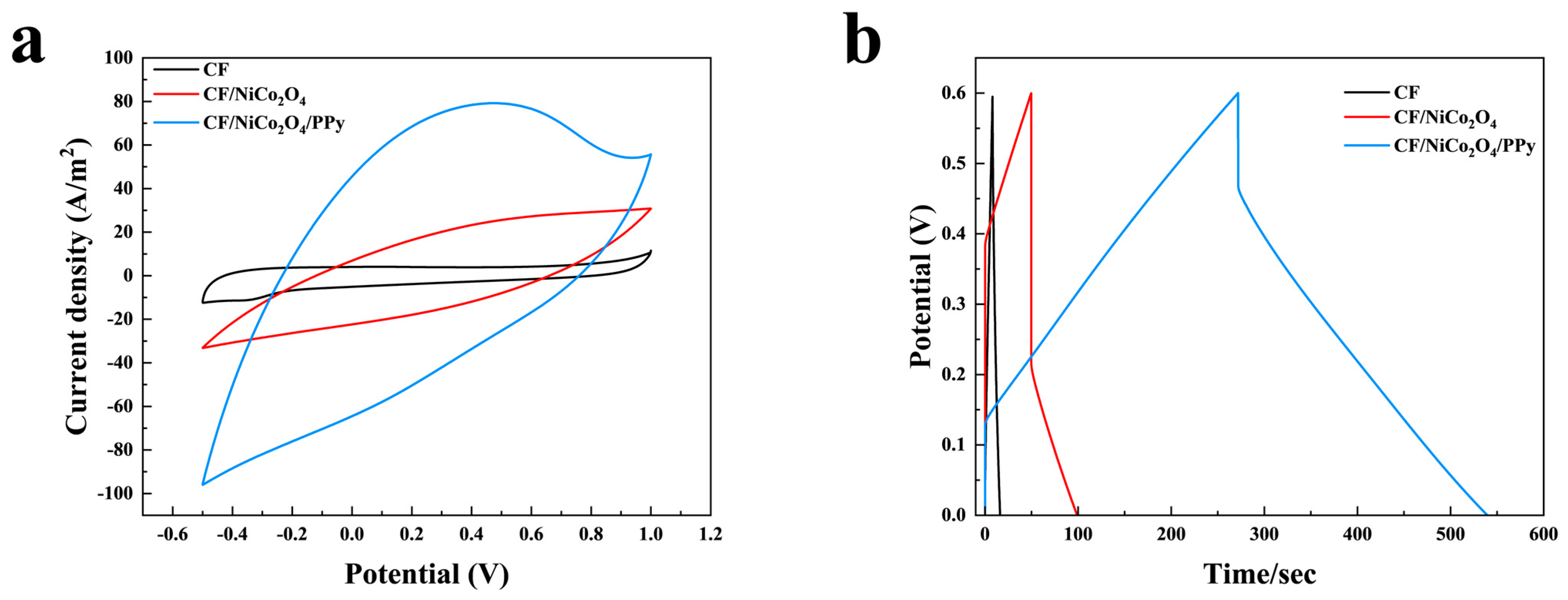
Cyclic voltammetry (CV) measurements (scan rate: 5 mV/s, potential window: 1 V to −0.5 V to 1 V; Figure 6a) were performed to evaluate the electrochemical properties of CF-based electrodes. Analysis of the CV data revealed that the pristine CF electrode exhibited behavior characteristic of electric double-layer capacitance (EDLC), evidenced by a quasi-rectangular CV curve devoid of distinct redox peaks and a specific capacitance of approximately 5.5 F/g. This confirmed minimal Faradaic activity. Upon modification with NiCo2O4, the CF/NiCo2O4 electrode displayed pronounced redox peaks at approximately 0.98 V (anodic) and 0.20 V (cathodic). These peaks were attributed to the reversible redox reactions of Co2+/Co3+ and Ni2+/Ni3+ within the NiCo2O4, signifying a substantial pseudocapacitive contribution [35,36]. Consequently, the specific capacitance increased to 15.0 F/g. However, the peak potential separation (ΔEp = 0.78 V) indicated limited reaction reversibility.
Further modification with PPy to form the CF/NiCo2O4/PPy composite electrode resulted in a significant performance enhancement. This electrode exhibited markedly higher redox peak current densities of 55.73 A/m2 (anodic) and −95.85 A/m2 (cathodic), representing an 85% increase compared to the CF/NiCo2O4 electrode. Concurrently, a positive shift in the cathodic peak potential to 0.25 V and a reduced ΔEp of 0.73 V were observed. These changes confirmed that the incorporation of PPy improved reaction reversibility by enhancing electrode conductivity and accelerating ion diffusion kinetics. The specific capacitance of the CF/NiCo2O4/PPy electrode reached 28.0 F/g, which is five times greater than that of the pristine CF. This substantial improvement highlights a pronounced synergistic effect between PPy and NiCo2O4. The PPy layer not only expanded the active electrode/electrolyte interfacial area but also significantly reduced charge transfer resistance [37].
In summary, the PPy modification constructed a conductive network and optimized the interface, rendering the CF/NiCo2O4/PPy composite a high-performance pseudocapacitive electrode.
Figure 6b presents the CP curves acquired through potentiostatic analysis of the blank CF, CF/NiCo2O4, and CF/NiCo2O4/PPy anodes. The specific capacitance (Csp), expressed in F/cm2, was determined using Equation (1):
C s p = I × t A × V
where I is the discharge current (A); t is the discharge time (s); V is the working voltage window during discharge (V); and A is the electrode geometric area (in cm2).
The Csp value of the CF/NiCo2O4 electrode was 0.206 F/cm2. This value signifies an enhancement in capacitance performance by 6.06 times compared to the blank CF electrode (Csp = 0.034F/cm2) under the identical current density of 2.5 mA/cm2. The Csp value of the CF/NiCo2O4/PPy electrode reached 1.115 F/cm2. This represents a remarkable improvement of 32.79 times over the blank CF electrode and 5.41 times over the CF/NiCo2O4 electrode at the same current density. Furthermore, the CP curve recorded at a current density of 2.5 mA/cm2 exhibited a characteristic profile that strongly aligns with the high capacitive behavior typically associated with double-layer capacitors, indicating excellent charge storage capability primarily through electrostatic processes.
Figure 7a shows that the interfacial kinetics of the composite electrode gradually increases, as revealed by EIS analysis. The solution resistance (Rs) derived from the high-frequency intercept decreases from 3.56 Ω for pristine CF to 2.36 Ω after NiCo2O4 modification, with PPy incorporation (CF/NiCo2O4/PPy) further reducing Rs to 2.14 Ω (39.9% reduction versus CF). This trend indicates optimized electronic pathways through conductive polymer integration. Concomitantly, the charge transfer resistance (Rct) determined from semicircle diameters exhibits a dramatic decline: 10.4 Ω (CF)→6.1 Ω (CF/NiCo2O4)→1.9 Ω (CF/NiCo2O4/PPy; 68.9% decrease versus CF/NiCo2O4). Such reduction signifies accelerated Faradaic processes at the electrode–electrolyte interface due to PPy’s charge-transfer mediation. Furthermore, low-frequency diffusion behavior evolves from a restricted Warburg characteristic (~45° slope for CF) to improved ion accessibility (~60° for CF/NiCo2O4), culminating in near-ideal capacitive behavior (~75° slope for CF/NiCo2O4/PPy). These collective improvements—facilitated electron conduction, enhanced charge transfer kinetics, and optimized ion diffusion pathways—demonstrate PPy’s critical role in elevating the electrochemical performance. This conclusion aligns with earlier galvanostatic charge–discharge results where CF/NiCo2O4/PPy delivered 29-fold higher capacitance than CF/NiCo2O4 [38,39].

3.3. Charge Storage Capacity of MFCs

Figure 8 displays the discharge profiles of MFCs equipped with three different electrodes under an external resistance of 100 Ω, at discharge cycles of 250 s, 500 s, 750 s, and 1000 s, respectively. As shown in Figure 6a–d, the discharge curves of all three electrodes exhibited a peak current density, followed by a gradual decrease over time, eventually reaching a relatively stable state. Based on the available data, Table 1 was derived, which summarizes the peak current density (ih), steady-state current density (is), charge storage capacity (Qs), and total charge amount (Qt) for each electrode at different cycling periods. According to Table 1, during the 1000 s charge–discharge cycle, the MFC with the CF/NiCo2O4/PPy electrode achieved an ih of 96.0 A/m2, which was significantly higher than those of the bare CF electrode (19.8 A/m2) and the CF/NiCo2O4 electrode (22.1 A/m2). Similarly, the is of the CF/NiCo2O4/PPy cell reached 28.9 A/m2, markedly superior to those of the bare CF (4.9 A/m2) and CF/NiCo2O4 (6.0 A/m2) cells. Notably, the Qt and Qs for the CF/NiCo2O4/PPy electrode were calculated to be 32,509.0 C/m2 and 3609.0 C/m2, respectively, significantly exceeding those of the bare CF electrode (Qt = 6189.9 C/m2, Qs = 1327.45 C/m2) and the CF/NiCo2O4 electrode (Qt = 8470.6 C/m2, Qs = 2460.6 C/m2). The total and stored charge values of the CF/NNiCo2O4/PPy electrode were 5.3 times and 2.7 times those of the bare CF, and 3.8 times and 1.5 times that of the CF/NiCo2O4 electrode, respectively.
Chronoamperometry (CA) revealed that the MFC with the CF/NiCo2O4/PPy electrode exhibited superior peak and steady-state current densities, along with the highest Qt and Qs, values that were 5.3 and 2.7 times greater, respectively, than those of the bare CF electrode. This enhancement is attributed to the NiCo2O4 modification, which significantly improves energy storage and power output. The uniform deposition of NiCo2O4 on carbon fibers increased the specific surface area, promoting microbial colonization and providing additional active sites, thereby enhancing electrochemical activity. As an efficient catalyst, NiCo2O4 accelerated reaction kinetics, yielding higher current density and improved output at equal potential. Furthermore, it enhanced the electrode’s electric double-layer capacitance, leading to greater charge storage without compromising conductivity.
The elevated surface area from NiCo2O4 deposition facilitated higher PPy loading. PPy, as a conductive polymer, improved overall electrode conductivity and charge transfer efficiency. Both NiCo2O4 and PPy contributed electrocatalytic activity, synergistically boosting reaction kinetics and current density. Their combination provided additional active sites and improved reactant accessibility. The modified surface also strengthened microbe–electrode interactions, enhancing bio-catalytic activity and energy conversion efficiency. During energy deficits, the capacitive anode stores microbial metabolic energy; upon demand, the MFC delivers increased current through combined newly produced and stored charge, thereby improving overall power performance.

3.4. Open-Circuit Potential and Stability Analysis

Figure 9a–d present the open-circuit potential-time profiles of MFCs employing CF, CF/NiCo2O4, and CF/NiCo2O4/PPy electrodes, measured at intervals of 250 s, 500 s, 750 s, and 1000 s. Notably, the open-circuit potentials of all three anodes exhibited a similar downward trajectory across the 250 s, 500 s, 750 s, and 1000 s datasets. However, distinct disparities in the decay rates were evident among the anodes in each measurement period. Among them, the bare CF anode displayed the most pronounced potential decline, followed by the CF/NiCo2O4 anode, while the CF/NiCo2O4/PPy composite anode demonstrated the weakest downward trend. In Figure 9d, the potential of the bare CF anode plummeted from 0.05 V to −0.34 V. In contrast, the potential decay of the CF/NiCo2O4 anode was relatively slower, decreasing from an initial potential of 0.17 V to 0.01 V over the 1000 s period. Compared to the bare CF anode, this modified electrode exhibited a higher initial potential and suppressed potential decay. This behavior suggests that NiCo2O4’s inherent electrochemical activity enhanced charge transfer kinetics, while its uniform nanostructure coating (as evidenced in Figure 1) reduced interfacial resistance. These combined effects enabled the CF/NiCo2O4 anode to sustain a higher initial potential with mitigated current loss, thereby prolonging its potential retention. Most significantly, the initial potential of the CF/NiCo2O4/PPy anode decreased from 0.18 V to 0.17 V after 1000 s. This decay of Δ V 0.1 V was substantially smaller than the losses of Δ V 0.39 V and Δ V 0.16 V observed for the bare CF and CF/NiCo2O4 anodes, respectively. The incorporation of NiCo2O4 provided a significantly larger specific surface area and active sites on the CF fibers, facilitating the effective deposition of the PPy layer. Concurrently, the pseudocapacitive nature of both NiCo2O4 and PPy enabled rapid Faradaic redox reactions (involving cation doping/dedoping for PPy and reversible Co2+/Co3+ and Ni2+/Ni3+ transitions for NiCo2O4), ultimately leading to enhanced interfacial charge storage capacity. Consequently, the CF/NiCo2O4/PPy composite electrode stored a greater amount of charge compared to the CF/NiCo2O4 and bare CF electrodes, achieved a higher initial potential, exhibited superior electrical conductivity and interfacial stability, thereby augmenting the energy storage capability within the MFC system and significantly retarding the decrease in anode potential [40,41,42].

3.5. Power Output and Polarization Behavior

The power density profiles of the CF, CF/NiCo2O4, and CF/NiCo2O4/PPy anodes under varying external resistances (10–9000 Ω) are systematically compared in Figure 10a. All three electrodes exhibited characteristic parabolic trends, with power densities initially rising and subsequently declining as resistance decreased. Critically, the CF/NiCo2O4/PPy ternary composite achieved a maximum power density of 1901.25 mW/m2 at 200 Ω, surpassing the peak values of the CF/NiCo2O4 binary electrode (1020.10 mW/m2 at 100 Ω) and the bare CF anode (319.70 mW/m2 at 600 Ω) by 86.4% and 495%, respectively. This superiority was consistently maintained across both high- and low-resistance regimes: at 9000 Ω, the ternary electrode generated 157.92 mW/m2, exceeding the binary (96.04 mW/m2) and CF (42.47 mW/m2) outputs; at 1000 Ω, it delivered 1074.68 mW/m2, nearly double that of the binary electrode (567.51 mW/m2) and quadruple the CF baseline (275.63 mW/m2). Notably, the ternary composite demonstrated exceptional stability under high-current conditions (100–300 Ω), where its power density retained >87% of peak performance (1742.40 mW/m2 at 100 Ω), contrasting sharply with the binary electrode’s 18.3% decline and the CF anode’s 32% loss in the same resistance range. Such enhancements are attributed to the synergistic interplay between NiCo2O4 and PPy: the spinel oxide provides a high-surface-area conductive scaffold facilitating rapid charge transfer, while the pseudocapacitive PPy layer augments interfacial Faradaic reactions and charge storage capacity, collectively optimizing energy extraction efficiency across diverse operational loads [43].
The polarization curves of MFCs equipped with CF, CF/NiCo2O4, and CF/NiCo2O4/PPy anodes reveal significant improvements in electrochemical performance through electrode modification (Figure 10b). The ternary CF/NiCo2O4/PPy electrode exhibited the highest open-circuit voltage of 754 mV, substantially exceeding the CF/NiCo2O4 (588 mV) and bare CF (391 mV) anodes, indicating enhanced thermodynamic driving force for electron transfer. Under operational loads, the composite electrode demonstrated superior polarization resistance mitigation: at a current density of 2 A/m2, it maintained a voltage of 584 mV, while the binary and bare anodes dropped to 421 mV and 84 mV, respectively. This advantage amplified at higher current densities (>5 A/m2), where the ternary electrode sustained 219 mV at 6.84 A/m2—2.2× and 3.2× higher than the current densities achievable by CF/NiCo2O4 (3.18 A/m2 at 219 mV) and CF (0.95 A/m2 at 304 mV) at equivalent voltage. Notably, the voltage decay slope for the ternary anode was −70.2 mV·m2/A (754→40 mV over 0.21→10 A/m2), markedly shallower than the binary (−69.5 mV·m2/A) and bare CF (−116.3 mV·m2/A) electrodes, confirming reduced activation and concentration polarization.
The anodic polarization profiles in Figure 10c demonstrate markedly enhanced reaction kinetics for modified electrodes across operational current densities (0.2–10 A/m2). The CF/NiCo2O4/PPy ternary anode exhibited the most negative onset potential (−489 mV at 0.21 A/m2), significantly lower than CF/NiCo2O4 (−378 mV) and bare CF (−136 mV), confirming superior bioelectrocatalytic activity for substrate oxidation. This kinetic advantage persisted under high-current regimes: at 2 A/m2, the ternary electrode maintained −394 mV, while the binary and bare anodes operated at −256 mV and −81 mV, respectively, indicating 54% and 79% reductions in activation overpotential. Crucially, the composite electrode sustained stable performance at ultrahigh current densities (>5 A/m2), delivering −147 mV at 7.1 A/m2—a voltage 2× more negative than the binary anode (−73 mV) at equivalent current density. The polarization resistance, quantified by the voltage decay slope (ΔV/ΔJ), was minimized for the ternary electrode (−39.1 mV·m2/A from 0.21 to 10 A/m2), compared to −48.8 mV·m2/A (binary) and −42.3 mV·m2/A (CF), reflecting synergistic mitigation of charge transfer limitations. These improvements originate from the dual-functional modification: NiCo2O4 nanowires enhance interfacial electron collection efficiency, while the conductive PPy matrix facilitates rapid extracellular electron transfer through reversible quinone/hydroquinone redox mediation, collectively suppressing anode polarization across the microbial electrochemical activity spectrum.

3.6. Microbial Community Structure and Biodiversity Analysis

High-throughput sequencing at the family level (Figure 11a) revealed significant restructuring of electroactive communities driven by anode modifications. The ternary CF/NiCo2O4/PPy electrode (A3) exhibited dominant enrichment of Geopsychrobacteraceae (43% relative abundance), a known exoelectrogen family capable of direct electron transfer via cytochrome c pathways. This represented a 2.7-fold increase compared to the binary CF/NiCo2O4 anode (A2, 16%) and near absence in bare CF (A1, <1%). Critically, synergistic selection for secondary electroactive taxa was observed: Desulfuromonadaceae (32% in A3 vs. 12% in A2) and Desulfobulbaceae (22% in A3 vs. 8% in A2)—both sulfate-reducing bacteria with extracellular electron transfer competence—collectively constituted 54% of the ternary biofilm community. Conversely, non-electrogenic families (e.g., Methanosacetaceae and Christensenellaceae) were suppressed to <5% in A3, contrasting with their proliferation in CF (15–28%) [44]. This selective enrichment of highly efficient exoelectrogens provides a direct biological explanation for the superior charge transfer kinetics, evidenced by the lowest charge transfer resistance (Rct, Figure 7a) and highest current outputs (Table 1) achieved with the CF/NiCo2O4/PPy anode. This microbial selection correlates with the hierarchical electrode architecture: the NiCo2O4 nanowire substrate provides high surface area for biofilm anchoring, while the conductive PPy matrix enhances interfacial redox kinetics through quinone-mediated electron shuttling, preferentially enriching electroactive consortia that maximize current generation efficiency.
During different electrode modification processes, the anode microbial community was observed to reorganize, as shown in Figure 11b,c. The unmodified CF was dominated by Trichloromonas (17.69%), Thermovirga (6.74%), and unclassified Bacteroidales (6.73%). Coating with cobalt–nickel oxide (CF/NiCo2O4) induced a significant shift, enriching Alcaligenes from 1.41% (CF) to 30.51% (CF/NiCo2O4) and Methanothrix to 9.71%. Further functionalization with polypyrrole (CF/NiCo2O4/PPy) intensified this selection: Alcaligenes became overwhelmingly dominant (42.70%), while the known electrogenic genus Desulfurivibrio exhibited substantial enrichment (0.03%→0.83%→9.34%). This microbial restructuring is directly correlated with the superior electrochemical performance observed in the polarization and anodic polarization curves (Figure 10b,c). The progressively enriched electroactive consortia synergistically enhance the bioelectrocatalytic activity, serving as the fundamental driver for the enhanced power output and stability.
Based on the high-throughput sequencing data of anodic microbial communities (Figure 11d,e), the CF/NiCo2O4/PPy composite electrode (A3) exhibited significantly enhanced biodiversity compared to the CF/NiCo2O4 (A2) and bare CF (A1) anodes. Specifically, the total number of observed species increased progressively from 358 (A1) to 369 (A2) and further to 399 (A3), indicating superior bio-affinity of the NiCo2O4/PPy-modified surface for electroactive consortia. Venn analysis revealed that A3 possessed the highest number of unique species (48), substantially exceeding those of A1 (25) and A2 (30). The expanded biodiversity and unique species suggest the formation of a more robust and functionally resilient biofilm, which underpins the outstanding long-term operational stability and charge storage performance (Qt, Table 1) of the MFC. Furthermore, the increased species overlap between A2 and A3 (40 unique shared species) compared to A1–A2 (22) or A1–A3 (34) pairs suggests a synergistic effect of the NiCo2O4/PPy composite in enriching specialized electrogens. This expansion in microbial diversity and abundance directly correlates with the improved electrogenic activity, as evidenced by the concurrent enhancement in power density (Figure 10a). The results validate the efficacy of the hierarchical NiCo2O4/PPy coating in optimizing the bioelectrochemical interface for microbial fuel cells.

4. Conclusions

This study successfully developed a hierarchical CF/NiCo2O4/PPy ternary composite anode that significantly advances MFC performance through synergistic material design. The unique “needle-sphere interlocked” architecture, comprising NiCo2O4 nano-needles and PPy spherical particles, creates an ideal interface for both electron transfer and microbial colonization. The composite anode demonstrated dual functionality in simultaneous energy generation and storage, achieving remarkable improvements in both power output and charge capacity compared to conventional electrodes. More importantly, the modified surface selectively enriched electroactive microbial communities while suppressing non-electrogenic populations, creating a self-sustaining bioelectrochemical system. This work provides not only a high-performance electrode material but also a viable design strategy for developing multifunctional electrodes in advanced bioelectrochemical systems, with promising applications in sustainable wastewater treatment and power supply for small-scale electronic devices.

Author Contributions

Conceptualization, Z.W.; Methodology, J.L. (Jiuming Lei); Validation, J.Z. and Y.W.; Formal analysis, X.K. and T.Z.; Data curation, J.L. (Jiuming Lei), Y.L. and X.Y.; Writing—original draft, Y.C.; Writing—review & editing, J.Z. and J.L. (Jie Li). All authors have read and agreed to the published version of the manuscript.

Funding

This research was funded by the 2023 Heilongjiang Natural Science Foundation Joint Guidance Project (LH2023E029).

Institutional Review Board Statement

Studies not involving humans or animals.

Informed Consent Statement

Not applicable.

Data Availability Statement

The original contributions presented in this study are included in the article. Further inquiries can be directed to the corresponding authors.

Conflicts of Interest

The authors declare no conflicts of interest.

References

  1. Yong, Y.-C.; Yu, Y.-Y.; Yang, Y.; Liu, J.; Wang, J.-Y.; Song, H. Enhancement of Extracellular Electron Transfer and Bioelectricity Output by Synthetic Porin. Biotechnol. Bioeng. 2013, 110, 408–416. [Google Scholar] [CrossRef]
  2. Ma, Q.; Duan, Z.; Zhi, P.; Ma, J.; Du, Q.; Jiao, K.; Liu, Z. Research on the Effect of Catalyst Structure on an Air-Breathing Microfluidic Fuel Cell with Crevice. Int. J. Green Energy 2025, 22, 921–929. [Google Scholar] [CrossRef]
  3. Liu, X.; Sun, X.; Huang, Y.; Wang, X.; Yang, L.; Wang, M.; Zhang, Q. Nano-Structured Manganese Oxide as a Cathodic Catalyst for Enhanced Oxygen Reduction in a Microbial Fuel Cell Fed with a Synthetic Wastewater. Water Res. 2010, 44, 5298–5305. [Google Scholar] [CrossRef]
  4. Rathinavel, N.; Veleeswaran, A.; Rathinam, Y.; Mani, P.; Kumar, S.S. Turning Waste into Watt: Usage of Natural Biomass Activated Carbon-Based Anode and Septic Tank Wastewater for Microbial Fuel Cell (MFC) Based Electricity Generation. Carbon Trends 2025, 19, 100461. [Google Scholar] [CrossRef]
  5. Xiao, N.; Wu, R.; Huang, J.J.; Chen, Y.; Zhou, L.; Li, W. Anode Surface Modification Regulates Biofilm Community Population and the Performance of Micro-MFC Based Biochemical Oxygen Demand Sensor. Chem. Eng. Sci. 2020, 221, 115691. [Google Scholar] [CrossRef]
  6. Gonzalez Olias, L.; Cameron, P.J.; Di Lorenzo, M. Effect of Electrode Properties on the Performance of a Photosynthetic Microbial Fuel Cell for Atrazine Detection. Front. Energy Res. 2019, 7, 105. [Google Scholar] [CrossRef]
  7. Schilirò, T.; Tommasi, T.; Armato, C.; Hidalgo, D.; Traversi, D.; Bocchini, S.; Gilli, G.; Pirri, C.F. The Study of Electrochemically Active Planktonic Microbes in Microbial Fuel Cells in Relation to Different Carbon-Based Anode Materials. Energy 2016, 106, 277–284. [Google Scholar] [CrossRef]
  8. Hidalgo, D.; Tommasi, T.; Bocchini, S.; Chiolerio, A.; Chiodoni, A.; Mazzarino, I.; Ruggeri, B. Surface Modification of Commercial Carbon Felt Used as Anode for Microbial Fuel Cells. Energy 2016, 99, 193–201. [Google Scholar] [CrossRef]
  9. Le, T.X.H.; Bechelany, M.; Cretin, M. Carbon Felt Based-Electrodes for Energy and Environmental Applications: A Review. Carbon 2017, 122, 564–591. [Google Scholar] [CrossRef]
  10. Aelterman, P.; Versichele, M.; Marzorati, M.; Boon, N.; Verstraete, W. Loading Rate and External Resistance Control the Electricity Generation of Microbial Fuel Cells with Different Three-Dimensional Anodes. Bioresour. Technol. 2008, 99, 8895–8902. [Google Scholar] [CrossRef]
  11. Zhao, Y.-G.; Ying, M.; Fu, Y.-B.; Chen, W. Improving Electrochemical Performance of Carbon Felt Anode by Modifying with Akaganeite in Marine Benthic Microbial Fuel Cells. Fuel Cells 2019, 19, 190–199. [Google Scholar] [CrossRef]
  12. Xu, H.; Quan, X.; Xiao, Z.; Chen, L. Effect of Anodes Decoration with Metal and Metal Oxides Nanoparticles on Pharmaceutically Active Compounds Removal and Power Generation in Microbial Fuel Cells. Chem. Eng. J. 2018, 335, 539–547. [Google Scholar] [CrossRef]
  13. Mohamed, H.O.; Sayed, E.T.; Obaid, M.; Choi, Y.-J.; Park, S.-G.; Al-Qaradawi, S.; Chae, K.-J. Transition Metal Nanoparticles Doped Carbon Paper as a Cost-Effective Anode in a Microbial Fuel Cell Powered by Pure and Mixed Biocatalyst Cultures. Int. J. Hydrogen Energy 2018, 43, 21560–21571. [Google Scholar] [CrossRef]
  14. Xu, P.; Jiang, S.; Li, W.; Shi, K.; Ma, L.; Li, P. Bimetallic Oxide MnFe2O4 Modified Carbon Felt Anode by Drip Coating: An Effective Approach Enhancing Power Generation Performance of Microbial Fuel Cell. Bioprocess Biosyst. Eng. 2021, 44, 1–12. [Google Scholar] [CrossRef]
  15. Ge, B.; Li, K.; Fu, Z.; Pu, L.; Zhang, X.; Liu, Z.; Huang, K. The performance of nano urchin-like NiCo2O4 modified activated carbon as air cathode for microbial fuel cell. J. Power Sources 2016, 303, 325–332. [Google Scholar] [CrossRef]
  16. Padmaraj, O.; Austin, S.; Yesuraj, J.; Yashwant, P.; Venkateswaran, C. A study of synergistic effect on oxygen reduction activity and capacitive performance of NiCo2O4/rGO hybrid catalyst for rechargeable metal-air batteries and supercapacitor applications. Compos. Part B-Eng. 2019, 176, 107327. [Google Scholar]
  17. Li, J.; Liu, Y.; Zhan, D.; Zou, Y.; Xu, F.; Sun, L.; Xiang, C.; Zhang, J. Electrospinning synthesis of NiCo2O4 embedded N-doped carbon for high-performance supercapacitors. J. Energy Storage 2021, 39, 102665. [Google Scholar] [CrossRef]
  18. Saranya, N.; Jayapriya, J. Carbon Cloth/Nickel Cobaltite (NiCo2O4)/Polyaniline (PANI) Composite Electrodes: Preparation, Characterization, and Application in Microbial Fuel Cells. Fuel 2021, 301, 118984. [Google Scholar]
  19. Wu, G.; Bao, H.; Xia, Z.; Yang, B.; Lei, L.; Li, Z.; Liu, C. Polypyrrole/Sargassum Activated Carbon Modified Stainless-Steel Sponge as High-Performance and Low-Cost Bioanode for Microbial Fuel Cells. J. Power Sources 2018, 384, 86–92. [Google Scholar] [CrossRef]
  20. Sonawane, J.M.; Al-Saadi, S.; Singh Raman, R.K.; Ghosh, P.C.; Adeloju, S.B. Exploring the Use of Polyaniline-Modified Stainless Steel Plates as Low-Cost, High-Performance Anodes for Microbial Fuel Cells. Electrochim. Acta 2018, 268, 484–493. [Google Scholar] [CrossRef]
  21. Dumitru, A.; Dinu, A.; Iurescu, I.C.; Toader, S. Investigation of Polypyrrole/TiO2 and Polypyrrole/WO3 Nanocomposites as Anode Modifier in Salt Bridge Microbial Fuel Cell Using Municipal Wastewater. Rom. Rep. Phys. 2024, 76, 502. [Google Scholar]
  22. Li, J.; Zou, Y.J.; Li, B.; Xu, F.; Chu, H.L.; Qiu, S.J.; Zhang, J.; Sun, L.X.; Xiang, C.L. Polypyrrole-wrapped NiCo2S4 nanoneedles as an electrode material for supercapacitor applications. Ceram. Int. 2021, 47, 16562–16569. [Google Scholar] [CrossRef]
  23. Zhong, D.; Liao, X.; Liu, Y.; Zhong, N.; Xu, Y. Enhanced Electricity Generation Performance and Dye Wastewater Degradation of Microbial Fuel Cell by Using a Petaline NiO@Polyaniline-Carbon Felt Anode. Bioresour. Technol. 2018, 258, 125–134. [Google Scholar] [CrossRef]
  24. Sun, G.; Kang, K.; Qiu, L.; Guo, X.; Zhu, M. Electrochemical performance and microbial community analysis in air cathode microbial fuel cells fuelled with pyroligneous liquor. Bioelectrochemistry 2019, 126, 12–19. [Google Scholar] [CrossRef] [PubMed]
  25. Khajeh, R.T.; Aber, S.; Zarei, M. Comparison of NiCo2O4, CoNiAl-LDH, and CoNiAl-LDH@NiCo2O4 Performances as ORR Catalysts in MFC Cathode. Renew. Energy 2020, 154, 1263–1271. [Google Scholar] [CrossRef]
  26. Liu, Z.-Q.; Xu, Q.-Z.; Wang, J.-Y.; Li, N.; Guo, S.-H.; Su, Y.-Z.; Wang, H.-J.; Zhang, J.-H.; Chen, S. Facile Hydrothermal Synthesis of Urchin-Like NiCo2O4 Spheres as Efficient Electrocatalysts for Oxygen Reduction Reaction. Int. J. Hydrogen Energy 2013, 38, 6657–6662. [Google Scholar] [CrossRef]
  27. Prathap, M.U.A.; Srivastava, R. Synthesis of NiCo2O4 and Its Application in the Electrocatalytic Oxidation of Methanol. Nano Energy 2013, 2, 1046–1053. [Google Scholar] [CrossRef]
  28. Li, M.; Zhang, H.; Xiao, T.; Zhang, B.; Yan, J.; Chen, D.; Chen, Y. Rose Flower-Like Nitrogen-Doped NiCo2O4/Carbon Used as Cathode Electrocatalyst for Oxygen Reduction in Air Cathode Microbial Fuel Cell. Electrochim. Acta 2017, 258, 1219–1227. [Google Scholar] [CrossRef]
  29. Hu, Y.; Wang, Q.; Chen, S.; Xu, Z.; Miao, M.; Zhang, D. Flexible Supercapacitors Fabricated by Growing Porous NiCo2O4 In Situ on a Carbon Nanotube Film Using a Hyperbranched Polymer Template. ACS Appl. Energy Mater. 2020, 3, 4043–4050. [Google Scholar] [CrossRef]
  30. Wang, Y.; Wang, Z.; Hu, G. Bifunctional Polypyrrole/Ferroferric Oxide as Anode Material for Enhanced Electricity Generation and Energy Storage in Microbial Fuel Cell. Renew. Energy 2023, 219 Pt 1, 119518. [Google Scholar] [CrossRef]
  31. Rani, B.J.; Raj, S.P.; Saravanakumar, B.; Ravi, G.; Ganesh, V.; Ravichandran, S.; Yuvakkumar, R. Controlled Synthesis and Electrochemical Properties of Ag-Doped Co3O4 Nanorods. Int. J. Hydrogen Energy 2017, 42, 29666–29671. [Google Scholar] [CrossRef]
  32. Syu, J.M.; Hsiao, M.L.; Lo, C.T. Electrospun Carbon Fiber/Ni–Co Composites as Binder-Free Anodes for Lithium-Ion Batteries. J. Electrochem. Soc. 2017, 164, A3903–A3913. [Google Scholar] [CrossRef]
  33. Ghasemi, M.; Daud, W.R.W.; Hassan, S.H.A.; Jafary, T.; Rahimnejad, M.; Ahmad, A.; Yazdi, M.H. Carbon Nanotube/Polypyrrole Nanocomposite as a Novel Cathode Catalyst and Proper Alternative for Pt in Microbial Fuel Cell. Int. J. Hydrogen Energy 2016, 41, 4872–4878. [Google Scholar] [CrossRef]
  34. Zhang, F.; Yuan, C.; Lu, X.; Zhang, L.; Che, Q.; Zhang, X. Facile Growth of Mesoporous Co3O4 Nanowire Arrays on Ni Foam for High Performance Electrochemical Capacitors. J. Power Sources 2012, 203, 250–256. [Google Scholar] [CrossRef]
  35. Xiao, J.; Yang, S. Sequential Crystallization of Sea Urchin-Like Bimetallic (Ni, Co) Carbonate Hydroxide and Its Morphology Conserved Conversion to Porous NiCo2O4 Spinel for Pseudocapacitors. RSC Adv. 2011, 1, 588–595. [Google Scholar] [CrossRef]
  36. Song, L. High Performance Supercapacitor Based on Polypyrrole/Melamine Formaldehyde Resin Derived Carbon Material. Int. J. Electrochem. Sci. 2017, 12, 1014–1024. [Google Scholar] [CrossRef]
  37. Min, K.; Zhong, Q.W.; Xiao, L.G.; Sheng, M.Z.; Yu, X.Z. Engineering Firecracker-Like Beta-Manganese Dioxides@Spinel Nickel Cobaltates Nanostructures for High-Performance Supercapacitors. J. Power Sources 2014, 270, 426–433. [Google Scholar]
  38. Wen, S.; Liu, Y.; Zhu, F.; Shao, R.; Xu, W. Hierarchical MoS2 Nanowires/NiCo2O4 Nanosheets Supported on Ni Foam for High-Performance Asymmetric Supercapacitors. Appl. Surf. Sci. 2018, 428, 616–622. [Google Scholar] [CrossRef]
  39. Cui, H.; Du, L.; Guo, P.; Zhu, B.; Luong, J.H. Controlled Modification of Carbon Nanotubes and Polyaniline on Macroporous Graphite Felt for High-Performance Microbial Fuel Cell Anode. J. Power Sources 2015, 283, 46–53. [Google Scholar] [CrossRef]
  40. Wang, Y.; Huang, H.; Li, B.; Li, W. Novelly Developed Three-Dimensional Carbon Scaffold Anodes from Polyacrylonitrile for Microbial Fuel Cells. J. Mater. Chem. A 2015, 3, 5110–5118. [Google Scholar] [CrossRef]
  41. Li, Q.; Liu, J.H.; Zou, J.H. Synthesis and Electrochemical Performance of Multiwalled Carbon Nanotube/Polyaniline/MnO2 Ternary Coaxial Nanostructures for Supercapacitors. J. Power Sources 2011, 196, 565–572. [Google Scholar] [CrossRef]
  42. Liang, P.; Zhang, C.; Jiang, Y.; Bian, Y.; Zhang, H.; Sun, X.; Yang, X.; Zhang, X.; Huang, X. Performance Enhancement of Microbial Fuel Cell by Applying Transient-State Regulation. Appl. Energy 2017, 185, 582–588. [Google Scholar] [CrossRef]
  43. Dunaj, S.J.; Vallino, J.J.; Hines, M.E.; Gay, M.; Kobyljanec, C.; Rooney-Varga, J.N. Relationships Between Soil Organic Matter Nutrients Bacterial Community Structure, and the Performance of Microbial Fuel Cells. Environ. Sci. Technol. 2012, 46, 1914–1922. [Google Scholar] [CrossRef] [PubMed]
  44. Zhang, B.; Zhang, J.; Liu, Y.; Hao, C.; Tian, C.; Feng, C.; Lei, Z.; Huang, W.; Zhang, Z. Identification of Removal Principles and Involved Bacteria in Microbial Fuel Cells for Sulfide Removal and Electricity Generation. Int. J. Hydrogen Energy 2013, 38, 14348–14355. [Google Scholar] [CrossRef]
Figure 1. Multi-scale SEM images of the CF-based composite electrodes. Bare CF electrode at (a) 500×, (b) 3000×, and (c) 5000× magnification. CF/NiCo2O4 electrode at (d) 500×, (e) 3000×, and (f) 5000× magnification. CF/NiCo2O4/PPy ternary composite electrode at (g) 500×, (h) 3000×, and (i) 5000× magnification.
Figure 1. Multi-scale SEM images of the CF-based composite electrodes. Bare CF electrode at (a) 500×, (b) 3000×, and (c) 5000× magnification. CF/NiCo2O4 electrode at (d) 500×, (e) 3000×, and (f) 5000× magnification. CF/NiCo2O4/PPy ternary composite electrode at (g) 500×, (h) 3000×, and (i) 5000× magnification.
Coatings 15 01208 g001
Figure 2. The distribution of elements in the mapping images of the (a) CF electrode, the (b) CF/NiCo2O4 electrode, and the (c) CF/NiCo2O4/PPy electrode.
Figure 2. The distribution of elements in the mapping images of the (a) CF electrode, the (b) CF/NiCo2O4 electrode, and the (c) CF/NiCo2O4/PPy electrode.
Coatings 15 01208 g002
Figure 3. (ac) EDS of the CF, CF/NiCo2O4, and CF/NiCo2O4/PPy electrodes.
Figure 3. (ac) EDS of the CF, CF/NiCo2O4, and CF/NiCo2O4/PPy electrodes.
Coatings 15 01208 g003
Figure 4. Fourier transform infrared (FTIR) spectra of CF, CF/NiCo2O4, and CF/NiCo2O4/PPy electrodes.
Figure 4. Fourier transform infrared (FTIR) spectra of CF, CF/NiCo2O4, and CF/NiCo2O4/PPy electrodes.
Coatings 15 01208 g004
Figure 5. X-ray diffraction (XRD) patterns of CF, CF/NiCo2O4, and CF/NiCo2O4/PPy electrodes.
Figure 5. X-ray diffraction (XRD) patterns of CF, CF/NiCo2O4, and CF/NiCo2O4/PPy electrodes.
Coatings 15 01208 g005
Figure 6. Electrochemical performance: (a) CV profiles at 5 mV/s, (b) Chronopotentiometry (CP) curves at 2.5 mA/cm2.
Figure 6. Electrochemical performance: (a) CV profiles at 5 mV/s, (b) Chronopotentiometry (CP) curves at 2.5 mA/cm2.
Coatings 15 01208 g006
Figure 7. (a) Nyquist plots of EIS spectra, and (b) Equivalent circuit model for impedance fitting. The samples involved in the figure are pristine CF, CF/NiCo2O4, and CF/NiCo2O4/PPy.
Figure 7. (a) Nyquist plots of EIS spectra, and (b) Equivalent circuit model for impedance fitting. The samples involved in the figure are pristine CF, CF/NiCo2O4, and CF/NiCo2O4/PPy.
Coatings 15 01208 g007
Figure 8. Chronoamperometry test results for the three different anodes used in the MFCs: (a) 250 s, (b) 500 s, (c) 750 s, and (d) 1000 s, demonstrating performance under varying charging durations with a 100 Ω load resistor.
Figure 8. Chronoamperometry test results for the three different anodes used in the MFCs: (a) 250 s, (b) 500 s, (c) 750 s, and (d) 1000 s, demonstrating performance under varying charging durations with a 100 Ω load resistor.
Coatings 15 01208 g008
Figure 9. Open circuit potential–time curves of the three different anodes used in the MFCs: (a) 250 s, (b) 500 s, (c) 750 s, (d) 1000 s, demonstrating performance under varying charging durations with a 100 Ω load resistor.
Figure 9. Open circuit potential–time curves of the three different anodes used in the MFCs: (a) 250 s, (b) 500 s, (c) 750 s, (d) 1000 s, demonstrating performance under varying charging durations with a 100 Ω load resistor.
Coatings 15 01208 g009
Figure 10. (a) Power density curves, (b) polarization curves of the MFC, and (c) polarization curves of the anodes. Data were measured for MFCs equipped with CF, CF/NiCo2O4, and CF/NiCo2O4/PPy electrodes under an external resistance of 10–9000 Ω.
Figure 10. (a) Power density curves, (b) polarization curves of the MFC, and (c) polarization curves of the anodes. Data were measured for MFCs equipped with CF, CF/NiCo2O4, and CF/NiCo2O4/PPy electrodes under an external resistance of 10–9000 Ω.
Coatings 15 01208 g010
Figure 11. High-throughput sequencing results of MFCs equipped with A1 (CF), A2 (CF/NiCo2O4), and A3 (CF/NiCo2O4/PPy) electrodes were determined after the same operation time. (a) Bubble chart at the species level of the family; (b,c) Bar chart at the genus level; (d,e) Venn diagram of microbial species abundance at the species level.
Figure 11. High-throughput sequencing results of MFCs equipped with A1 (CF), A2 (CF/NiCo2O4), and A3 (CF/NiCo2O4/PPy) electrodes were determined after the same operation time. (a) Bubble chart at the species level of the family; (b,c) Bar chart at the genus level; (d,e) Venn diagram of microbial species abundance at the species level.
Coatings 15 01208 g011
Table 1. Anode timing current measurement results after different anode charging and discharging times of MFC. (C250/D250: Charging 250 s/Discharging 250 s; C500/D500: Charging 500 s/Discharging 500 s; C750/D750: Charging 750 s/Discharging 750 s; and C1000/D1000: Charging 1000 s/Discharging 1000 s).
Table 1. Anode timing current measurement results after different anode charging and discharging times of MFC. (C250/D250: Charging 250 s/Discharging 250 s; C500/D500: Charging 500 s/Discharging 500 s; C750/D750: Charging 750 s/Discharging 750 s; and C1000/D1000: Charging 1000 s/Discharging 1000 s).
AnodeParameterC250/D250C500/D500C750/D750C1000/D1000
CF i h (A/m2)9.237.8010.2819.80
i s (A/m2)4.093.253.814.86
Q s (C/m2)187.66327.97771.651327.45
Q t (C/m2)1208.911950.473627.276189.95
CF/NiCo2O4 i h (A/m2)12.649.7522.3322.09
i s (A/m2)6.605.655.756.01
Q s (C/m2)159.76350.871659.112460.55
Q t (C/m2)1808.513174.625967.868470.55
CF/NiCo2O4/PPy i h (A/m2)45.655.43103.1596.00
i s (A/m2)9.2911.1121.6028.90
Q s (C/m2)1125.702306.553953.853609.00
Q t (C/m2)3446.957861.5520,150.1325,09.00
Disclaimer/Publisher’s Note: The statements, opinions and data contained in all publications are solely those of the individual author(s) and contributor(s) and not of MDPI and/or the editor(s). MDPI and/or the editor(s) disclaim responsibility for any injury to people or property resulting from any ideas, methods, instructions or products referred to in the content.

Share and Cite

MDPI and ACS Style

Chen, Y.; Lei, J.; Wang, Z.; Kong, X.; Zhang, T.; Li, Y.; Yang, X.; Zuo, J.; Li, J.; Wang, Y. Synergistic Enhancement of Microbial Fuel Cell Performance via Hierarchical NiCo2O4/Polypyrrole-Modified Carbon Felt Anode. Coatings 2025, 15, 1208. https://doi.org/10.3390/coatings15101208

AMA Style

Chen Y, Lei J, Wang Z, Kong X, Zhang T, Li Y, Yang X, Zuo J, Li J, Wang Y. Synergistic Enhancement of Microbial Fuel Cell Performance via Hierarchical NiCo2O4/Polypyrrole-Modified Carbon Felt Anode. Coatings. 2025; 15(10):1208. https://doi.org/10.3390/coatings15101208

Chicago/Turabian Style

Chen, Yuchu, Jiuming Lei, Zhijie Wang, Xiangquan Kong, Ting Zhang, Yishuai Li, Xianheng Yang, Jinlong Zuo, Jie Li, and Yuyang Wang. 2025. "Synergistic Enhancement of Microbial Fuel Cell Performance via Hierarchical NiCo2O4/Polypyrrole-Modified Carbon Felt Anode" Coatings 15, no. 10: 1208. https://doi.org/10.3390/coatings15101208

APA Style

Chen, Y., Lei, J., Wang, Z., Kong, X., Zhang, T., Li, Y., Yang, X., Zuo, J., Li, J., & Wang, Y. (2025). Synergistic Enhancement of Microbial Fuel Cell Performance via Hierarchical NiCo2O4/Polypyrrole-Modified Carbon Felt Anode. Coatings, 15(10), 1208. https://doi.org/10.3390/coatings15101208

Note that from the first issue of 2016, this journal uses article numbers instead of page numbers. See further details here.

Article Metrics

Back to TopTop