Molecular Dynamics Simulation of Surface Wettability of Tobermorite Modified by Functionalized Graphene Sheets
Abstract
1. Introduction
2. Methods
2.1. Model Construction
2.2. Force Fields and Simulation Environments
3. Results and Discussion
3.1. Quantitative Characterization of Droplet Wettability
3.2. Atomic Intensity Distribution Properties
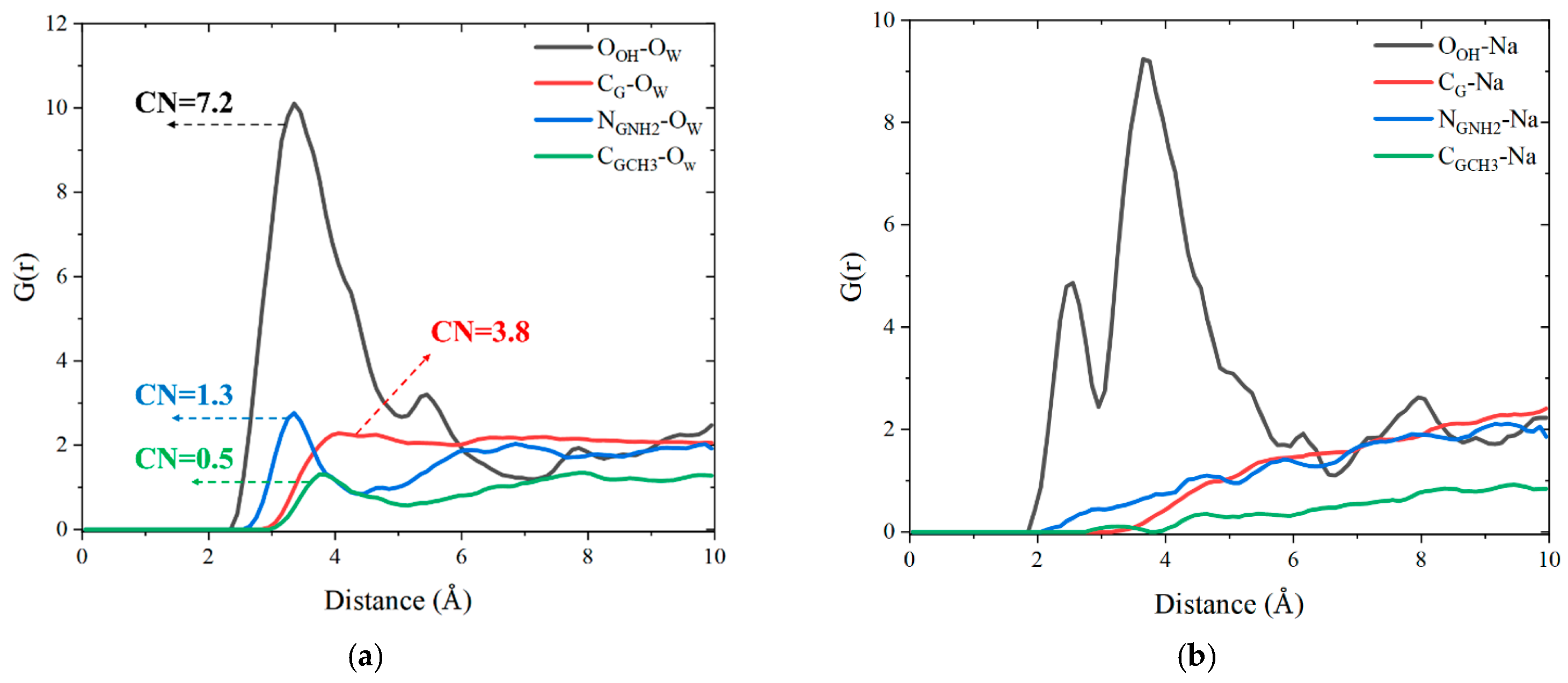
3.3. Local Structures Among Nanodroplets, Tobermorite and FGSs
3.4. Dipole Moment Magnitude Distribution of Water Molecules
3.5. Bond Stability Analysis Between Interfaces and Droplets
4. Conclusions
- (1)
- The combination of FGSs with a tobermorite substrate can significantly reduce the wettability of water and NaCl droplets. The wettability of droplets on different interfaces can be ranked as tobermorite > graphene > G-NH2 > G-CH3. Compared with the tobermorite surface, the increase in contact angle at the interface of graphene-based coatings under NaCl droplet wetting is significantly greater than that under water droplet wetting, which largely depends on the functional group properties of graphene-based coatings.
- (2)
- Structurally, the strong OOH-Ow and OOH-Na bonding structures on the tobermorite surface promote the wettability, whereas weak interactions between Ow, Na and graphene functional groups suppress it. The surface–ion configuration further influences the ionic hydration shell, and graphene-based coatings intensify ionic cage confinement. Moreover, compared with pristine graphene, functionalized graphene sheets exhibit stronger interfacial interlocking, thereby improving coating adhesion.
- (3)
- Dynamically, wettability correlates with interfacial bonding stability of water and ions. Hydrophilic sites on tobermorite prolong binding of water and ions, facilitating sustained droplet spreading. Conversely, hydrophobic functional groups in graphene coatings reduce bond lifetimes, inhibiting wetting. Critically, interfacial bonding stability modulates ionic hydration shell integrity: weak immobilization at FGS interfaces generates more free ionic hydration shells, thereby enhancing ionic suppression of wetting.
Author Contributions
Funding
Data Availability Statement
Conflicts of Interest
References
- Mehta, P.K.; Monteiro, P.J. Concrete: Microstructure, Properties, and Materials; McGraw-Hill Education: Columbus, OH, USA, 2014. [Google Scholar]
- Landsman, M.R.; Sujanani, R.; Brodfuehrer, S.H.; Cooper, C.M.; Darr, A.G.; Davis, R.J.; Kim, K.; Kum, S.; Nalley, L.K.; Nomaan, S.M. Water treatment: Are membranes the panacea? Annu. Rev. Chem. Biomol. Eng. 2020, 11, 559–585. [Google Scholar] [CrossRef]
- Law, K.-Y. Definitions for Hydrophilicity, Hydrophobicity, and Superhydrophobicity: Getting the Basics Right; ACS Publications: Washington, DC, USA, 2014; pp. 686–688. [Google Scholar]
- Graham, J.R.; Creegan, P.J.; Hamilton, W.S.; Hendrickson, J.; Kaden, R.A.; McDonald, J.E.; Noble, G.E.; Schrader, E.K. Erosion of concrete in hydraulic structures. ACI Mater. J. 1987, 84, 136–156. [Google Scholar] [CrossRef]
- Hilo, A.N.; Ghasham, T.S.; Hamedi, M.H.; Ayoob, N.S.; Abd, A.H. Numerical and experimental study of abrasion erosion in hydraulic structures of high-velocity water flow. In Proceedings of the 2019 12th International Conference on Developments in eSystems Engineering (DeSE), Kazan, Russia, 7–10 October 2019; pp. 415–420. [Google Scholar]
- Guo, J.J.; Wang, K.; Guo, T.; Yang, Z.Y.; Zhang, P. Effect of Dry-Wet Ratio on Properties of Concrete Under Sulfate Attack. Materials 2019, 12, 2755. [Google Scholar] [CrossRef]
- Powers, T.C. A working hypothesis for further studies of frost resistance of concrete. J. Proc. ACI 1945, 16, 245–272. [Google Scholar]
- Di Mundo, R.; Labianca, C.; Carbone, G.; Notarnicola, M. Recent advances in hydrophobic and icephobic surface treatments of concrete. Coatings 2020, 10, 449. [Google Scholar] [CrossRef]
- Al-Kheetan, M.J.; Rahman, M.M.; Chamberlain, D.A. Fundamental interaction of hydrophobic materials in concrete with different moisture contents in saline environment. Constr. Build. Mater. 2019, 207, 122–135. [Google Scholar] [CrossRef]
- Pan, X.; Shi, Z.; Shi, C.; Ling, T.-C.; Li, N. A review on concrete surface treatment Part I: Types and mechanisms. Constr. Build. Mater. 2017, 132, 578–590. [Google Scholar] [CrossRef]
- Wu, Y.; Dong, L.; Shu, X.; Yang, Y.; She, W.; Ran, Q. A review on recent advances in the fabrication and evaluation of superhydrophobic concrete. Compos. Part B Eng. 2022, 237, 109867. [Google Scholar] [CrossRef]
- Di Mundo, R.; Petrella, A.; Notarnicola, M. Surface and bulk hydrophobic cement composites by tyre rubber addition. Constr. Build. Mater. 2018, 172, 176–184. [Google Scholar] [CrossRef]
- Qu, L.; Song, W.; Wang, Q.; Xu, S.; Hou, C. Effects of hydrophobic modified fly ash on resistance of chloride corrosion and water penetration of cement mortar in the early hydration stage. J. Build. Eng. 2023, 64, 105573. [Google Scholar] [CrossRef]
- Zhang, M.; Xu, H.; Zeze, A.L.P.; Liu, X.; Tao, M. Coating performance, durability and anti-corrosion mechanism of organic modified geopolymer composite for marine concrete protection. Cem. Concr. Compos. 2022, 129, 104495. [Google Scholar] [CrossRef]
- Yang, Q.; Zhang, H.; Yuan, L.; Wang, Z.; Guo, H.; Zhang, S.; Li, G. Multi-component synergistically modified hydrophobic coatings used in concrete surface: High bonding properties and corrosion resistance. J. Build. Eng. 2025, 112, 113718. [Google Scholar] [CrossRef]
- Chuah, S.; Pan, Z.; Sanjayan, J.G.; Wang, C.M.; Duan, W.H. Nano reinforced cement and concrete composites and new perspective from graphene oxide. Constr. Build. Mater. 2014, 73, 113–124. [Google Scholar] [CrossRef]
- Norhasri, M.M.; Hamidah, M.; Fadzil, A.M. Applications of using nano material in concrete: A review. Constr. Build. Mater. 2017, 133, 91–97. [Google Scholar] [CrossRef]
- Bautista-Gutierrez, K.P.; Herrera-May, A.L.; Santamaría-López, J.M.; Honorato-Moreno, A.; Zamora-Castro, S.A. Recent progress in nanomaterials for modern concrete infrastructure: Advantages and challenges. Materials 2019, 12, 3548. [Google Scholar] [CrossRef]
- Liu, C.; Huang, X.; Wu, Y.-Y.; Deng, X.; Liu, J.; Zheng, Z.; Hui, D. Review on the research progress of cement-based and geopolymer materials modified by graphene and graphene oxide. Nanotechnol. Rev. 2020, 9, 155–169. [Google Scholar] [CrossRef]
- Zhi, D.; Li, T.; Li, J.; Ren, H.; Meng, F. A review of three-dimensional graphene-based aerogels: Synthesis, structure and application for microwave absorption. Compos. Part B Eng. 2021, 211, 108642. [Google Scholar]
- Krystek, M.; Pakulski, D.; Górski, M.; Szojda, L.; Ciesielski, A.; Samorì, P. Electrochemically Exfoliated Graphene for High-Durability Cement Composites. ACS Appl. Mater. Interfaces 2021, 13, 23000–23010. [Google Scholar] [CrossRef]
- Du, H.; Gao, H.J.; Dai Pang, S. Improvement in concrete resistance against water and chloride ingress by adding graphene nanoplatelet. Cem. Concr. Res. 2016, 83, 114–123. [Google Scholar] [CrossRef]
- Hou, D.S.; Zhang, Q.E.; Zhang, J.H.; Wang, P. Molecular Modeling of Capillary Transport in the Nanometer Pore of Nanocomposite of Cement Hydrate and Graphene/GO. J. Phys. Chem. C 2019, 123, 15557–15568. [Google Scholar] [CrossRef]
- Zeng, H.; Zhou, R.; Yu, J.; Hu, Y.; Qu, S.; Chen, J.; Hou, S. Experiment and Modelling of Degradation Mechanism of Cement Mortar with Graphene Oxide Nanosheets under Sulfate Attack. Cem. Concr. Compos. 2024, 155, 105833. [Google Scholar] [CrossRef]
- Indukuri, C.S.R.; Nerella, R. Enhanced transport properties of graphene oxide based cement composite material. J. Build. Eng. 2021, 37, 102174. [Google Scholar] [CrossRef]
- Joshi, R.; Carbone, P.; Wang, F.-C.; Kravets, V.G.; Su, Y.; Grigorieva, I.V.; Wu, H.; Geim, A.K.; Nair, R.R. Precise and ultrafast molecular sieving through graphene oxide membranes. Science 2014, 343, 752–754. [Google Scholar] [CrossRef]
- Zheng, W.; Chen, W.; Feng, T.; Li, W.; Liu, X.; Dong, L.; Fu, Y. Enhancing chloride ion penetration resistance into concrete by using graphene oxide reinforced waterborne epoxy coating. Prog. Org. Coat. 2020, 138, 105389. [Google Scholar] [CrossRef]
- Korayem, A.H.; Ghoddousi, P.; Javid, A.S.; Oraie, M.; Ashegh, H. Graphene oxide for surface treatment of concrete: A novel method to protect concrete. Constr. Build. Mater. 2020, 243, 118229. [Google Scholar] [CrossRef]
- Mohammed, A.; Sanjayan, J.G.; Duan, W.; Nazari, A. Incorporating graphene oxide in cement composites: A study of transport properties. Constr. Build. Mater. 2015, 84, 341–347. [Google Scholar] [CrossRef]
- Liang, C.; Zhao, P.; Xie, N.; Wang, S.; Huang, Y.; Lu, L.; Cheng, X. Enhanced comprehensive performance of polymer-CSA cement coating with graphene oxide. Constr. Build. Mater. 2023, 363, 129885. [Google Scholar] [CrossRef]
- Antolín-Rodríguez, A.; Merino-Maldonado, D.; Rodríguez-González, Á.; Fernández-Raga, M.; González-Domínguez, J.M.; Juan-Valdés, A.; García-González, J. Statistical study of the effectiveness of surface application of graphene oxide as a coating for concrete protection. Coatings 2023, 13, 213. [Google Scholar] [CrossRef]
- Barbhuiya, S.; Das, B.B. Molecular dynamics simulation in concrete research: A systematic review of techniques, models and future directions. J. Build. Eng. 2023, 76, 107267. [Google Scholar] [CrossRef]
- Pellenq, R.J.M.; Kushima, A.; Shahsavari, R.; Van Vliet, K.J.; Buehler, M.J.; Yip, S.; Ulm, F.J. A realistic molecular model of cement hydrates. Proc. Natl. Acad. Sci. USA 2009, 106, 16102–16107. [Google Scholar]
- Tao, L.; Shahsavari, R. Diffusive, Displacive Deformations and Local Phase Transformation Govern the Mechanics of Layered Crystals: The Case Study of Tobermorite. Sci. Rep. 2017, 7, 5907. [Google Scholar] [CrossRef]
- Zhu, X.; Zaoui, A.; Sekkal, W. Wettability and work of adhesion of water nanodroplet on (001) surface of cement paste. Cem. Concr. Res. 2022, 159, 106896. [Google Scholar] [CrossRef]
- Zheng, H.; Duan, Y.; Liu, L.; Wang, P.; Pang, B.; Duan, H.; Hou, D. Molecular structure and dynamics of water on the surfaces of cement hydration products and associated Minerals: Nanoscale wettability behavior. Appl. Surf. Sci. 2025, 687, 162274. [Google Scholar] [CrossRef]
- Li, G.; Akbar, A.; Zhang, L.-W.; Rosei, F.; Liew, K. Surface modification strategy for controlling wettability and ionic diffusion behaviors of calcium silicate hydrate. Appl. Surf. Sci. 2023, 622, 156993. [Google Scholar] [CrossRef]
- Gong, P.; Ren, Q.; Peng, S.; Mei, K.; Zhang, C.; Wu, Y.; Cheng, X. Influence of graphene oxide on the self-healing of cement paste fractures in CCUS cementing: A combined analysis of experiments and molecular dynamics simulations. Constr. Build. Mater. 2023, 404, 133067. [Google Scholar] [CrossRef]
- Miao, J.; Hu, J.; Lu, S.; Wang, S.; Lin, J.; Gao, Y. Molecular dynamics investigation on the crack-bridging role of coated graphene oxide on steel fiber reinforced concrete. Case Stud. Constr. Mater. 2025, 22, e04689. [Google Scholar] [CrossRef]
- Min, B.; Chen, G.; Sun, Y.; Li, K.; Chen, X.; Wang, Z. Enhancing the fracture properties of carbon fiber-calcium silicate hydrate interface through graphene oxide. Mater. Des. 2024, 241, 112916. [Google Scholar] [CrossRef]
- Wei, L.; Liu, G.; Wang, J. The influence of temperature and functional groups of graphene-reinforced CSH: Molecular dynamics study. Mater. Sci. Eng. B 2024, 303, 117336. [Google Scholar] [CrossRef]
- He, J.; Zhang, C. Effect of temperature on NaCl migration properties within nano-channels of graphene, graphene oxide, and nano-silica modified cementitious composites: A molecular dynamics study. Diam. Relat. Mater. 2025, 157, 112456. [Google Scholar] [CrossRef]
- Lai, L.; Chen, L.; Zhan, D.; Sun, L.; Liu, J.; Lim, S.H.; Poh, C.K.; Shen, Z.; Lin, J. One-step synthesis of NH2-graphene from in situ graphene-oxide reduction and its improved electrochemical properties. Carbon 2011, 49, 3250–3257. [Google Scholar] [CrossRef]
- Zhang, C.; Hao, R.; Liao, H.; Hou, Y. Synthesis of amino-functionalized graphene as metal-free catalyst and exploration of the roles of various nitrogen states in oxygen reduction reaction. Nano Energy 2013, 2, 88–97. [Google Scholar] [CrossRef]
- Gan, L.; Zhou, J.; Ke, F.; Gu, H.; Li, D.; Hu, Z.; Sun, Q.; Guo, X. Tuning the properties of graphene using a reversible gas-phase reaction. NPG Asia Mater. 2012, 4, e31. [Google Scholar] [CrossRef]
- Liao, L.; Song, Z.; Zhou, Y.; Wang, H.; Xie, Q.; Peng, H.; Liu, Z. Photoinduced methylation of graphene. Small 2013, 9, 1348–1352. [Google Scholar] [CrossRef] [PubMed]
- Qomi, M.A.; Krakowiak, K.; Bauchy, M.; Stewart, K.; Shahsavari, R.; Jagannathan, D.; Brommer, D.B.; Baronnet, A.; Buehler, M.J.; Yip, S. Combinatorial molecular optimization of cement hydrates. Nat. Commun. 2014, 5, 4960. [Google Scholar] [CrossRef]
- de Souza, F.B.; Shamsaei, E.; Chen, S.; Sagoe-Crentsil, K.; Duan, W. Controlled growth and ordering of poorly-crystalline calcium-silicate-hydrate nanosheets. Commun. Mater. 2021, 2, 84. [Google Scholar] [CrossRef]
- Hamid, S. The crystal structure of the 11Å natural tobermorite Ca2.25[Si3O7.5(OH)1.5]·1H2O. Z. Für Krist.-Cryst. Mater. 1981, 154, 189–198. [Google Scholar] [CrossRef]
- Yu, J.; Zheng, Q.; Hou, D.; Zhang, J.; Li, S.; Jin, Z.; Wang, P.; Yin, B.; Wang, X. Insights on the capillary transport mechanism in the sustainable cement hydrate impregnated with graphene oxide and epoxy composite. Compos. Part B Eng. 2019, 173, 106907. [Google Scholar] [CrossRef]
- Jiao, S.; Xu, Z. Selective gas diffusion in graphene oxides membranes: A molecular dynamics simulations study. ACS Appl. Mater. Interfaces 2015, 7, 9052–9059. [Google Scholar] [CrossRef]
- Min, B.; Wang, P.; Li, S.; Wang, Z. Mechanical influence of graphene oxide in the interface between calcium silicate hydrate and quartz: A molecular dynamics study. Constr. Build. Mater. 2022, 325, 126597. [Google Scholar] [CrossRef]
- Hou, D.; Yang, Q.; Wang, P.; Wang, M.; Zhang, Y.; Wang, X.; Zhang, J. Concentration-induced wettability alteration of nanoscale NaCl solution droplets on the CSH surface. Phys. Chem. Chem. Phys. 2021, 23, 7449–7461. [Google Scholar] [CrossRef]
- Cygan, R.T.; Liang, J.-J.; Kalinichev, A.G. Molecular models of hydroxide, oxyhydroxide, and clay phases and the development of a general force field. J. Phys. Chem. B 2004, 108, 1255–1266. [Google Scholar] [CrossRef]
- Kalinichev, A.G.; Wang, J.; Kirkpatrick, R.J. Molecular dynamics modeling of the structure, dynamics and energetics of mineral–water interfaces: Application to cement materials. Cem. Concr. Res. 2007, 37, 337–347. [Google Scholar] [CrossRef]
- Tang, S.; Hubao, A.; Chen, J.; Yu, W.; Yu, P.; Chen, E.; Deng, H.; He, Z. The interactions between water molecules and C-S-H surfaces in loads-induced nanopores: A molecular dynamics study. Appl. Surf. Sci. 2019, 496, 143744. [Google Scholar] [CrossRef]
- Berendsen, H.J.; Postma, J.P.; van Gunsteren, W.F.; Hermans, J. Interaction models for water in relation to protein hydration. In Intermolecular Forces; Springer: Berlin/Heidelberg, Germany, 1981; pp. 331–342. [Google Scholar]
- Dauber-Osguthorpe, V.A.R.P.; Osguthorpe, D.J.; Wolff, J.; Genest, M.; Hagler, A.T. Structure and energetics of ligand binding to proteins: Escherichia coli dihydrofolate reductase-trimethoprim, a drug-receptor system. Proteins Struct. Funct. Bioinform. 1988, 4, 31–47. [Google Scholar] [CrossRef] [PubMed]
- Wang, P.; Qiao, G.; Hou, D.; Jin, Z.; Wang, M.; Zhang, J.; Sun, G. Functionalization enhancement interfacial bonding strength between graphene sheets and calcium silicate hydrate: Insights from molecular dynamics simulation. Constr. Build. Mater. 2020, 261, 120500. [Google Scholar] [CrossRef]
- Mabudi, A.; Noaparast, M.; Gharabaghi, M.; Vasquez, V.R. A molecular dynamics study on the wettability of graphene-based silicon dioxide (glass) surface. Colloids Surf. A Physicochem. Eng. Asp. 2019, 569, 43–51. [Google Scholar]
- Lu, Z.; Yu, J.; Yao, J.; Hou, D. Experimental and molecular modeling of polyethylene fiber/cement interface strengthened by graphene oxide. Cem. Concr. Compos. 2020, 112, 103676. [Google Scholar] [CrossRef]
- Plimpton, S.; Crozier, P.; Thompson, A. LAMMPS-large-scale atomic/molecular massively parallel simulator. Sandia Natl. Lab. 2007, 18, 43. [Google Scholar]
- Hou, D.; Zheng, H.; Wang, P.; Wan, X.; Wang, M.; Wang, H. Molecular insight in the wetting behavior of nanoscale water droplet on CSH surface: Effects of Ca/Si ratio. Appl. Surf. Sci. 2022, 587, 152811. [Google Scholar] [CrossRef]
- Wang, P.; Duan, Y.; Zheng, H.; Chen, Z.; Wang, M.; Wang, X.; Li, H.; Hou, D. Molecular structure and dynamics of water on the surface of cement hydration products: Wetting behavior at nanoscale. Appl. Surf. Sci. 2023, 611, 155713. [Google Scholar] [CrossRef]
- Rafiee, J.; Mi, X.; Gullapalli, H.; Thomas, A.V.; Yavari, F.; Shi, Y.; Ajayan, P.M.; Koratkar, N.A. Wetting transparency of graphene. Nat. Mater. 2012, 11, 217–222. [Google Scholar] [CrossRef]
- Chen, Z.; Xu, W.; Tang, L. Theory and Practice of Molecular Simulation; Chemical Industry Press: Beijing, China, 2007. [Google Scholar]
- Youssef, M.; Pellenq, R.J.; Yildiz, B. Glassy nature of water in an ultraconfining disordered material: The case of calcium-silicate-hydrate. J. Am. Chem. Soc. 2011, 133, 2499–2510. [Google Scholar] [CrossRef]
- Coudert, F.-X.; Vuilleumier, R.; Boutin, A. Dipole moment, hydrogen bonding and IR spectrum of confined water. ChemPhysChem 2006, 7, 2464. [Google Scholar] [CrossRef]
- Huang, J.; Chen, R.; Zhou, Y.; Ming, J.; Liu, J. Molecular design and experiment of ion transport inhibitors towards concrete sustainability. Cem. Concr. Compos. 2022, 133, 104710. [Google Scholar] [CrossRef]













| Droplet Type | Tobermorite | Tobermorite/G | Tobermorite/G-NH2 | Tobermorite/G-CH3 |
|---|---|---|---|---|
| Water | 13.6° | 15.6° | 21.1° | 74.5° |
| NaCl | 15.2° | 35.9° | 48.6° | 94.8° |
Disclaimer/Publisher’s Note: The statements, opinions and data contained in all publications are solely those of the individual author(s) and contributor(s) and not of MDPI and/or the editor(s). MDPI and/or the editor(s) disclaim responsibility for any injury to people or property resulting from any ideas, methods, instructions or products referred to in the content. |
© 2025 by the authors. Licensee MDPI, Basel, Switzerland. This article is an open access article distributed under the terms and conditions of the Creative Commons Attribution (CC BY) license (https://creativecommons.org/licenses/by/4.0/).
Share and Cite
Liang, T.; Han, F.; Luo, Q.; Hou, D.; Zhang, X.; Yu, W.; Zhang, K. Molecular Dynamics Simulation of Surface Wettability of Tobermorite Modified by Functionalized Graphene Sheets. Coatings 2025, 15, 1166. https://doi.org/10.3390/coatings15101166
Liang T, Han F, Luo Q, Hou D, Zhang X, Yu W, Zhang K. Molecular Dynamics Simulation of Surface Wettability of Tobermorite Modified by Functionalized Graphene Sheets. Coatings. 2025; 15(10):1166. https://doi.org/10.3390/coatings15101166
Chicago/Turabian StyleLiang, Te, Fenglei Han, Qi Luo, Dongshuai Hou, Xuefu Zhang, Wenbing Yu, and Keping Zhang. 2025. "Molecular Dynamics Simulation of Surface Wettability of Tobermorite Modified by Functionalized Graphene Sheets" Coatings 15, no. 10: 1166. https://doi.org/10.3390/coatings15101166
APA StyleLiang, T., Han, F., Luo, Q., Hou, D., Zhang, X., Yu, W., & Zhang, K. (2025). Molecular Dynamics Simulation of Surface Wettability of Tobermorite Modified by Functionalized Graphene Sheets. Coatings, 15(10), 1166. https://doi.org/10.3390/coatings15101166

