MnBi2Te4 Thin-Film Photodetector with a Millisecond Response Speed and Long-Term Air Stability
Abstract
1. Introduction
2. Experiment
3. Results and Discussion
3.1. Morphology and Composition Characterization of the MnBi2Te4 Thin Film
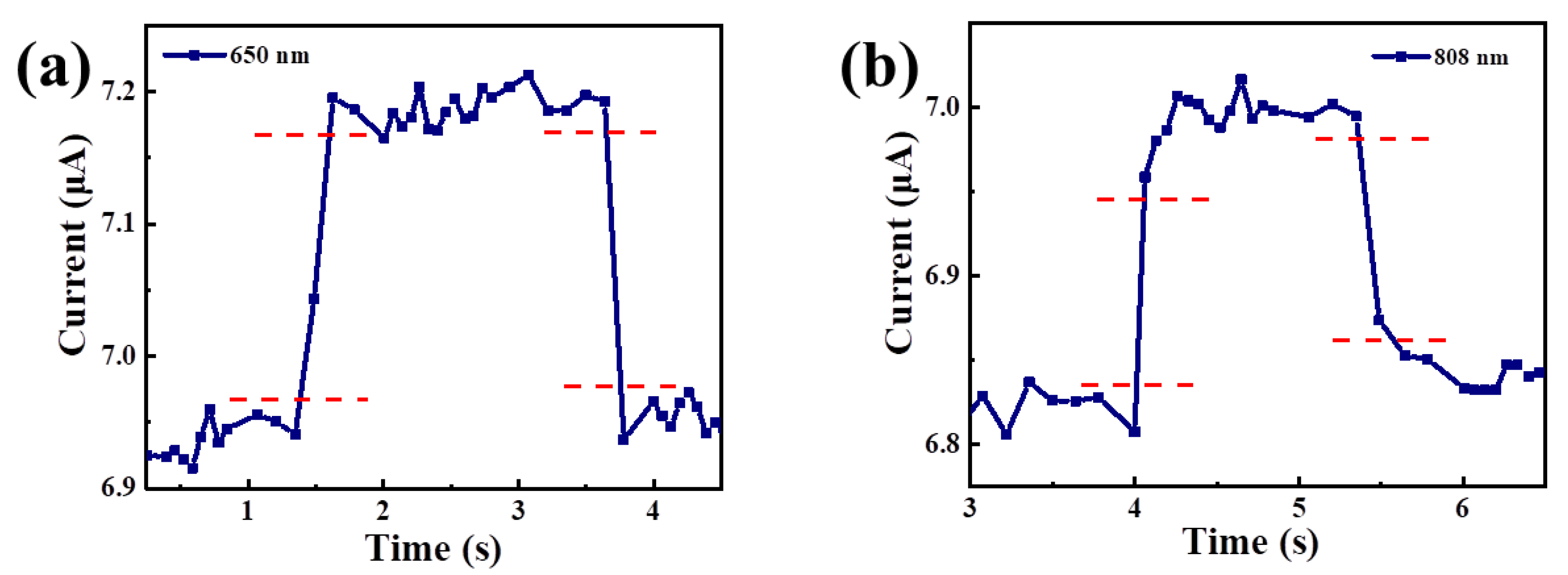
3.2. Photoelectric Performance Testing of MnBi2Te4 Thin-Film Device
3.3. Air Stability Testing and Photoelectric Conversion Performance Calculation of MnBi2Te4 Thin-Film Device
4. Conclusions
Author Contributions
Funding
Institutional Review Board Statement
Informed Consent Statement
Data Availability Statement
Conflicts of Interest
References
- Behura, S.; Wang, C.; Wen, Y.; Berry, V. Graphene—Semiconductor Heterojunction Sheds Light on Emerging Photovoltaics. Nat. Photonics 2019, 13, 312–318. [Google Scholar] [CrossRef]
- Pospischil, A.; Humer, M.; Furch, M.; Bchmann, D.; Guider, R.; Fromherz, T.; Mueller, T. CMOS-Compatible Graphene Photodetector Covering All Optical Communication Bands. Nat. Photonics 2013, 7, 892–896. [Google Scholar] [CrossRef]
- Chang, C.-Z.; Zhang, J.; Feng, X.; Shen, J.; Zhang, Z.; Guo, M.; Li, K.; Ou, Y.; Wei, P.; Wang, L.-L.; et al. Experimental Observation of the Quantum Anomalous Hall Effect in a Magnetic Topological Insulator. Science 2013, 340, 167–170. [Google Scholar] [CrossRef]
- Chang, C.-Z.; Zhao, W.; Kim, D.Y.; Zhang, H.; Assaf, B.A.; Heiman, D.; Zhang, S.-C.; Liu, C.; Chan, M.H.W.; Moodera, J.S. High-precision realization of robust quantum anomalous Hall state in a hard ferromagnetic topological insulator. Nat. Mater. 2015, 14, 473–477. [Google Scholar] [CrossRef] [PubMed]
- Kou, X.; Guo, S.-T.; Fan, Y.; Pan, L.; Lang, M.; Jiang, Y.; Shao, Q.; Nie, T.; Murata, K.; Tang, J.; et al. Scale-Invariant Quantum Anomalous Hall Effect in Magnetic Topological Insulators Beyond the Two-Dimensional Limit. Phys. Rev. Lett. 2014, 113, 137201. [Google Scholar] [CrossRef] [PubMed]
- Bestwick, A.J.; Fox, E.J.; Kou, X.; Pan, L.; Wang, K.L.; Goldhaber-Gordon, D. Precise Quantization of the Anomalous Hall Effect near Zero Magnetic Field. Phys. Rev. Lett. 2015, 114, 187201. [Google Scholar] [CrossRef]
- Checkelsky, J.G.; Ye, J.; Onose, Y.; Iwasa, Y.; Tokura, Y. Dirac-Fermion-Mediated Ferromagnetism in a Topological Insulator. Nat. Phys. 2012, 8, 729. [Google Scholar] [CrossRef]
- Liu, J.; Li, Y.; Song, Y.; Ma, Y.; Chen, Q.; Zhu, Z.; Lu, P.; Wang, S. Bi2Te3 Photoconductive Detectors on Si. Appl. Phys. Lett. 2017, 110, 141109. [Google Scholar] [CrossRef]
- Chen, Y.L.; Chu, J.H.; Analytis, J.G.; Liu, Z.K.; Igarashi, K.; Kuo, H.H.; Qi, X.L.; Mo, S.K.; Moore, R.G.; Lu, D.H.; et al. Massive Dirac Fermion on the Surface of a Magnetically Doped Topological Insulator. Science 2010, 329, 659–662. [Google Scholar] [CrossRef]
- Katmis, F.; Lauter, V.; Nogueira, F.S.; Assaf, B.A.; Jamer, M.E.; Wei, P.; Satpati, B.; Freeland, J.W.; Eremin, I.; Heiman, D.; et al. A High-Temperature Ferromagnetic Topological Insulating Phase by Proximity Coupling. Nature 2016, 533, 513–516. [Google Scholar] [CrossRef]
- Tang, C.; Chang, C.-Z.; Zhao, G.; Liu, Y.; Jiang, Z.; Liu, C.-X.; McCartney, M.R.; Smith, D.J.; Chen, T.; Moodera, J.S.; et al. Above 400-K Robust Perpendicular Ferromagnetic Phase in a Topological Insulator. Sci. Adv. 2017, 3, e1700307. [Google Scholar] [CrossRef] [PubMed]
- Li, J.; Wang, Z.X.; Wen, Y.; Chu, J.; Yin, L.; Cheng, R.Q.; Lei, L.; He, P.; Jiang, C.; Feng, L.P.; et al. High-performance near-infrared photodetector based on ultrathin Bi2O2Se nanosheets. Adv. Funct. Mater. 2018, 28, 1706437. [Google Scholar] [CrossRef]
- Yu, X.; He, L.; Lang, M.; Jiang, W.; Xiu, F.; Liao, Z.; Wang, Y.; Kou, X.; Zhang, P.; Tang, J. Separation of Top and Bottom Surface Conduction in Bi2Te3 Thin Films. Nanotechnology 2013, 24, 015705. [Google Scholar] [CrossRef] [PubMed]
- Ding, L.; Hu, C.; Ye, F.; Feng, E.; Ni, N.; Cao, H. Crystal and magnetic structures of magnetic topological insulators MnBi2Te4 and MnBi4Te7. Phys. Rev. B 2020, 101, 020412. [Google Scholar] [CrossRef]
- Wu, J.; Liu, F.; Sasase, M.; Ienaga, K.; Obata, Y.; Yukawa, R.; Horiba, K.; Kumigashira, H.; Okuma, S.; Inoshita, T.; et al. Natural van der Waals heterostructural single crystals with both magnetic and topological properties. Sci. Adv. 2019, 5, eaax9989. [Google Scholar] [CrossRef]
- Deng, Y.; Yu, Y.; Shi, M.; Guo, Z.; Xu, Z.; Wang, J.; Chen, X.; Zhang, Y. Quantum anomalous Hall effect in intrinsic magnetic topological insulator MnBi2Te4. Science 2020, 367, 895–900. [Google Scholar] [CrossRef]
- Vidal, R.C.; Bentmann, H.; Peixoto, T.R.F.; Zeugner, A.; Moser, S.; Min, C.-H.; Schatz, S.; Kißner, K.; Ünzelmann, M.; Fornari, C.I.; et al. Surface states and Rashba-type spin polarization in antiferromagnetic MnBi2Te4(0001). Phys. Rev. B 2020, 100, 121104. [Google Scholar] [CrossRef]
- Wu, Z.; Liu, G.; Wang, Y.; Yang, X.; Wei, T.; Wang, Q.; Liang, J.; Xu, N.; Li, Z.; Zhu, B.; et al. Seed-Induced Vertical Growth of 2D Bi2O2Se Nanoplates by Chemical Vapor Transport. Adv. Funct. Mater. 2019, 29, 1906639. [Google Scholar] [CrossRef]
- Wu, J.; Liu, Y.; Tan, Z.; Tan, C.; Yin, J.; Li, T.; Tu, T.; Peng, H. Chemical Patterning of High-Mobility Semiconducting 2D Bi2O2Se Crystals for Integrated Optoelectronic Devices. Adv. Mater. 2017, 29, 1704060. [Google Scholar] [CrossRef]
- Zhang, X.; Tang, H.; Huang, J.; Luo, L.; Zapien, J.; Lee, S. Surface-Enhanced Emission from Single Semiconductor Nanoribbons. Nano Lett. 2011, 11, 4626–4630. [Google Scholar] [CrossRef]
- Britnell, L.; Ribeiro, R.M.; Eckmann, A.; Jalil, R.; Belle, B.D.; Mishchenko, A.; Kim, Y.J.; Gorbachev, R.V.; Georgiou, T.; Morozov, S.V.; et al. Strong light-matter interactions in heterostructures of atomically thin films. Science 2013, 340, 1311–1314. [Google Scholar] [CrossRef]
- Liu, Y.; Guo, J.; Zhu, E.; Liao, L.; Lee, S.J.; Ding, M.; Shakir, I.; Gambin, V.; Huang, Y.; Duan, X. Approaching the Schottky—Mott limit in van der Waals metal—Semiconductor junctions. Nature 2018, 557, 696–700. [Google Scholar] [CrossRef]
- Yang, M.; Wang, J.; Zhao, Y.; He, L.; Ji, C.; Zhou, H.; Gou, J.; Li, W.; Wu, Z.; Wang, X. Polarimetric Three-Dimensional Topological Insulators/Organics Thin Film Heterojunction Photodetectors. ACS Nano 2019, 13, 10810–10817. [Google Scholar] [CrossRef] [PubMed]
- Wang, Q.; Li, C.Z.; Ge, S.; Li, J.G.; Lu, W.; Lai, J.; Liu, X.; Ma, J.; Yu, D.P.; Liao, Z.M.; et al. Ultrafast Broadband Photodetectors Based on Three-Dimensional Dirac Semimetal Cd3As2. Nano Lett. 2017, 17, 834–841. [Google Scholar] [CrossRef]
- Yavarishad, N.; Hosseini, T.; Kheirandish, E.; Weber, C.P.; Kouklin, N. Room-Temperature Self-Powered Energy Photodetector based on Optically Induced Seebeck Effect in Cd3As2. Appl. Phys. Express 2017, 10, 052201. [Google Scholar] [CrossRef]
- Yang, M.; Wang, J.; Han, J.; Ling, J.; Ji, C.; Kong, X.; Liu, X.; Huang, Z.; Gou, J.; Liu, Z.; et al. Enhanced Performance of Wideband Room Temperature Photodetector Based on Cd3As2 Thin Film/Pentacene Heterojunction. ACS Photonics 2018, 5, 3438–3445. [Google Scholar] [CrossRef]
- Chi, S.; Li, Z.; Xie, Y.; Zhao, Y.; Wang, Z.; Li, L.; Yu, H.; Wang, G.; Weng, H.; Zhang, H.; et al. Wide-Range Photosensitive Weyl Semimetal Single Crystal—TaAs. J. Adv. Mater. 2018, 30, 1801372. [Google Scholar] [CrossRef]
- Lai, J.; Liu, X.; Ma, J.; Wang, Q.; Zhang, K.; Ren, X.; Liu, Y.; Gu, Q.; Zhuo, X.; Lu, W.; et al. Anisotropic Broadband Photoresponse of Layered Type-II Weyl Semimetal MoTe2. Adv. Mater. 2018, 30, 1707152. [Google Scholar] [CrossRef]
- Xie, Y.; Zhang, B.; Wang, S.; Wang, D.; Wang, A.; Wang, Z.; Yu, H.; Zhang, H.; Chen, Y.; Zhao, M.; et al. Ultrabroadband MoS2 Photodetector with Spectral Response from 445 to 2717 nm. Adv. Mater. 2017, 29, 1605972. [Google Scholar] [CrossRef]






| Active Materials | Ri (mA/W) | Wavelength Range (nm) | τon/τoff (ms) | Ref. |
|---|---|---|---|---|
| Bi2Te3 | 133.2 | 1064–1550 | / | [8] |
| Bi2O2Se | 6500 | 808 | 3.2/4.6 | [12] |
| Cd3As2 plate | 5.9 | 532–10,600 | / | [24] |
| Cd3As2 platelets | 0.27 | 1064 | / | [25] |
| Cd3As2 thin film | 12.48 | 450–10,600 | 150/276 | [26] |
| TaAs crystal | 0.7 | 438–10,290 | 200/300 | [27] |
| MoTe2 | 0.4 | 532–10,600 | / | [28] |
| MoS2 | 50.7 | 445–2717 | / | [29] |
| MnBi2Te4 | 97 | 450–808 | 0.9/1.1 | This work |
Disclaimer/Publisher’s Note: The statements, opinions and data contained in all publications are solely those of the individual author(s) and contributor(s) and not of MDPI and/or the editor(s). MDPI and/or the editor(s) disclaim responsibility for any injury to people or property resulting from any ideas, methods, instructions or products referred to in the content. |
© 2024 by the authors. Licensee MDPI, Basel, Switzerland. This article is an open access article distributed under the terms and conditions of the Creative Commons Attribution (CC BY) license (https://creativecommons.org/licenses/by/4.0/).
Share and Cite
Yang, M.; Ren, H.; Deng, W.; Chang, H.; Li, Q.; Zhou, H.; Tu, X.; Zhong, M.; Li, F.; Zhu, X. MnBi2Te4 Thin-Film Photodetector with a Millisecond Response Speed and Long-Term Air Stability. Coatings 2024, 14, 1134. https://doi.org/10.3390/coatings14091134
Yang M, Ren H, Deng W, Chang H, Li Q, Zhou H, Tu X, Zhong M, Li F, Zhu X. MnBi2Te4 Thin-Film Photodetector with a Millisecond Response Speed and Long-Term Air Stability. Coatings. 2024; 14(9):1134. https://doi.org/10.3390/coatings14091134
Chicago/Turabian StyleYang, Ming, Haotian Ren, Wenze Deng, Haoliang Chang, Qiqin Li, Hongxi Zhou, Xiaoguang Tu, Mian Zhong, Fei Li, and Xinyu Zhu. 2024. "MnBi2Te4 Thin-Film Photodetector with a Millisecond Response Speed and Long-Term Air Stability" Coatings 14, no. 9: 1134. https://doi.org/10.3390/coatings14091134
APA StyleYang, M., Ren, H., Deng, W., Chang, H., Li, Q., Zhou, H., Tu, X., Zhong, M., Li, F., & Zhu, X. (2024). MnBi2Te4 Thin-Film Photodetector with a Millisecond Response Speed and Long-Term Air Stability. Coatings, 14(9), 1134. https://doi.org/10.3390/coatings14091134

