Next Article in Journal
Natural Selection on Hydroxyapatite Fiber Orientations for Resisting Damage of Enamel
Previous Article in Journal
In Situ Modulation of Oxygen Vacancy Concentration in Hf0.5Zr0.5O2−x Thin Films and the Mechanism of Its Impact on Ferroelectricity
 
 
Font Type:
Arial Georgia Verdana
Font Size:
Aa Aa Aa
Line Spacing:
Column Width:
Background:
Article

Rapid Synthesis and Sintering of La2O2S and Its Physical, Optical, and Mechanical Properties

1
School of Mechatronics Engineering, Nanyang Normal University, Nanyang 473061, China
2
Department of Materials Science and Engineering, Muroran Institute of Technology, Muroran 050-8585, Japan
*
Author to whom correspondence should be addressed.
Coatings 2024, 14(9), 1120; https://doi.org/10.3390/coatings14091120
Submission received: 25 July 2024 / Revised: 14 August 2024 / Accepted: 22 August 2024 / Published: 2 September 2024

Abstract

Rare-earth oxysulfides are a class of functional ceramic materials with excellent physico-chemical properties and rich functionality. In this study, La2O2S powders were prepared from La2S3 and La2O3 powders at 1000 °C by pressureless sintering. La2O2S compacts were synthesized from La2S3 and La2O3 powders at 800–1600 °C by spark plasma sintering. The influences of sintering temperature and time on the preparation of La2O2S were studied. XRD results indicated that La2O2S ceramics were synthesized successfully and that the lattice constants of La2O2S were close to the theoretical values. SEM showed that the microstructure of La2O2S compacts was homogeneous. The specific heat of La2O2S mainly came from lattice contribution, and its Debye temperature was 237 K. The UV–visible absorption spectra showed different absorption levels in the 240–300 nm range. Raman spectroscopy revealed distinct peaks at different temperatures, indicating changes in the covalence band. The relative density of La2O2S ceramics was 92% and lower than theoretical values. Hardness of the synthesized La2O2S was greater than that of Gd2O2S ceramics.

1. Introduction

In the current field of materials science, environmentally friendly preparation methods of various materials are the focus of research. The have always been a research hotspot in the field of materials preparation. Oxysulfides constitute a family of compounds with the ideal formula of Ln2O2S (Ln = rare-earth element). La2O2S, with a hexagonal crystal structure, has a layered structure that is suitable as a host material for phosphors [1]. Ln2O2S is also an attractive optical material [2,3], especially because of its absorption and luminescence characteristics [4].
The preparation of La2O2S is not an easy task and faces many challenges. The existing preparation methods have some limitations, such as complex processes, harsh conditions, high costs, or low product purity. To achieve efficient and high-quality preparation of La2O2S, numerous researchers have made unremitting efforts. Various preparation techniques have continuously emerged. There are about four known techniques for the synthesis of Ln2O2S with H2S/CS2 sulfurization of Ln2O3 or Ln2(SO4)3 at 500–1000 °C [5,6]. To avoid the use of toxic H2S and CS2 gas, some researchers try to employ H2 gas as a reducing agent and rare-earth sulfates as raw materials [7,8,9,10]. In one study, the preparation of Ln2O2S (Ln = Gd, Dy, Y, Er, and Lu) was carried out by subjecting rare-earth sulfates to hydrogen flowing at 500–600 °C, and subsequently to hydrogen sulfide at 850–950 °C [2]. Andreev P.O. et al. proposed the crystal growth mechanism of the Nd2O2S phase from Nd2O2SO4, and the nucleation site at the borders of the Nd2O2S phase [8]. In a dynamic air environment, the thermal stability of La2O2S–Y2O2S solid solutions has been investigated [11]. The La-O-S phase diagram was provided at 1100 K [12]. But these methods still have some aspects that need to be improved and optimized in practical applications. Therefore, exploring a more convenient, efficient, economical, and capable method of preparing high-purity La2O2S has become an important topic of current research.
Industrial production of rare-earth sulfides is ongoing in Baotou, China. Therefore, it is possible and meaningful to prepare Ln2O2S with a mixture of Ln2O3 and Ln2S3 as starting materials for the rapid synthesis of La2O2S powders in bulk. This method is fast, non-toxic, and efficient. Currently, reports on the properties of La2O2S are mainly focused on its optical properties [13], while the basic physical and mechanical properties of La2O2S are less reported.
In this study, a mixture of La2O3 and La2S3 was synthesized at 600–1600 °C to fabricate La2O2S powders. The chemical compositions of the sulfurization products were measured. The dependence of temperature and time on the sintering of La2O2S was systematically researched. The morphology of synthetic products was characterized. Specific heat, Raman spectrum, hardness, and three-point bending strength of La2O2S compacts were also researched. This work is meaningful as it may aid in developing novel applications for La2O2S.

2. Materials and Methods

For the preparation of the La2O2S powders, La2O3 (~1.8 μm, Ganzhou Xinzhen New Material Co., Ltd., Nanchang, China) and La2S3 were directly mixed in a ratio of 2:1 without a cold press. The mixtures (10 g) of La2O3 and La2S3 were placed on a quartz crucible and heated at 600–1000 °C in a tube furnace (SK2-5-17TPB3, Nanyang Xinyu New Material Technology Co., Ltd., Zhengzhou, China) and then put into an Al2O3 crucible heated at 1200 °C in a pit-type furnace (SX2-9-14TP, Nanyang Xinyu New Material Technology Co., Ltd., Zhengzhou, China). La2S3 was self-made in the laboratory with an average particle size of 1–2 µm. The parameters of the sulfurization process are described in detail in Ref. [14].
For the preparation of La2O2S bulk, the mixture of La2O3 and La2S3 was cold-pressed with a 25 MPa uniaxial applied stress after being inserted into a graphite die with an inner diameter of 15 mm. After that, the La2O3 and La2S3 mixture was sintered using spark plasma sintering at 800–1600 °C and heating rates of 0.42 K·s−1 under 50 MPa (Model SPS-511L, Sumitomo Coal Mining Co., Ltd., Tokyo, Japan). The vacuum used during sintering was less than 7 × 10−3 Pa.
Utilizing monochromatic Cu Kα radiation at 40 kV and 20 mA, X-ray diffraction (SmartLab series, Rigaku, Tokyo, Japan) was utilized to verify the phase compositions of the La2O2S sintering products. Lattice parameters of sintered compacts were measured with a scan step of 1.0 × 10−3 degree for 2 s. The morphology of sintered La2O2S was characterized by scanning electron microscopy (SEM, Model of SEM3200, CIQTEK Co., Ltd., Hefei, China) equipped with energy-dispersive spectroscopy (EDS, Oxford Explorer 30, Oxford Instruments, Oxford, UK) to reveal the microstructure and determine the distribution of elements and the chemical composition of sintered La2O2S compacts.
The density of the sintered compacts was determined by the Archimedes technique (±0.01 g/cm3) using an analytical balance (MH-300, Shenzhen Guangshengan Technology Co., Ltd., Guangzhou, China). Hardness of La2O2S compacts was measured using a Brinell hardness tester (BH, 500MRA, Walter Bert measuring instrument Co., Shanghai, China) with a load of 60 kg and a dwell duration of 60 s. At least ten tests were run, and the results were reported along with the mean values and fluctuating range.
The UV-Vis diffuse reflectance spectra (DRS) were obtained using a PerkinElmer Lambda 650 s UV-Vis spectrophotometer using BaSO4 as a reference. The Raman measurements were performed on cleaved surfaces in a quasiback scattering geometry that employed a triple spectrometer fitted with a charge-coupled device detector. The 514.5 nm line of an Ar+ ion laser with an incidence intensity of ~10 W/cm2 was utilized as an excitation source.
From the sintered La2O2S compacts, a little plate-shaped specimen measuring 3 mm in width, 2.5 mm in thickness, and 14 mm in length was removed. A three-point bending test was performed utilizing an Instron universal testing machine (Type 4204; Instron Corp., Norwood, MA, USA) to assess the mechanical strength of the sintered La2O2S compact.
With a support interval of 10 mm and a testing speed of 1 mm/min, the maximum strength till breakage was measured. Heat capacity of La2O2S was measured in a zero magnetic field across a temperature range of 2–373 K using a Quantum Design PPMS Heat Capacity Option (HC) Model P650.

3. Results

3.1. XRD and SEM of Synthetic La2O2S Powders

Figure 1 shows the XRD patterns of synthetic powders by solid-state reaction. XRD results show that hexagonal La2O2S (space group P-3m1) started to form at 600 °C, which closely matches the published data (JCPDS cards files: 71-2098). The main phase changed to the La2O2S phase at 800 °C and 1000 °C, but there was a second phase, namely La2O3. As the synthesis temperature increased to 1200 °C, the main phase La2O2S could be synthesized with traces of β-La2S3. The XRD results (Figure 1 of Ref. [15]), derived from using lanthanum nitrate hexahydrate and thiourea reacted in the solid phase at 1000 °C for 8 h, are significantly different from the present study, suggesting that raw materials have an influence on the preparation of La2O2S.
Similar to the study of doped La2O2S (Figure 1 of Refs. [13,16,17], Figures 1 and 2 of Ref. [18], Figure 3 of Ref. [19], and Figure 4 of Refs. [13,18,20]), the XRD patterns of La2O2S resulted in hexagonal structures. Unlike the multiphase characteristics of rare-earth sulfides, La2O2S exists only in hexagonal and tetragonal phases [21]. Tetragonal phase La2O2S was synthesized by modulation of La2O2S2 with Rb (molar ratio 1:2) via interlayer intercalation. XRD peaks of the tetragonal La2O2S phase were not observed in this study or in similar studies investigating the high-temperature solid-phase synthesis of La2O2S. Three S2− ions (3.037 Å) surrounded the three (m) sites of La3+ ions, three O2− ions (2.424 Å) surrounded it above, and one axial O2− ion (2.423 Å) surrounded it below. These results are consistent with those reported in Ref [22].
SEM images of the raw materials La2O3, La2S3, and La2O2S synthesized at 1000 °C are shown in Figure 2. The employed La2O3 and La2S3 powders were fine (Figure 2b,c), which is conducive to the rapid synthesis of the La2O2S phase. The particle size of the synthesized La2O2S ranged from 1 to 2 μm, and agglomeration was serious after high-temperature sintering. La2O2S particles varied in size (micrometric or nanometric, respectively) and form (plate-like or spherical). This result is similar to the particle morphology of La2O2S infrared transparent ceramics synthesized by sulfurization of a H2S/N2 gas mixture at 900 °C [13]. As a result of the high synthesis temperature, which is characteristic of the first step of solid-state sintering, necks between primary particles developed, resulting in an interconnected morphology. The La2O2S particle morphology is different from that of the La2O2S nanowires synthesized by the low-temperature boron–sulfur method, which is dependent on the precursor [23].

3.2. XRD and SEM of Synthetic La2O2S Bulks

Figure 3a shows XRD patterns of La2O2S bulks sintered at 800–1400 °C for 20 min by spark plasma sintering. XRD results show that La2O2S can be synthesized at 800 °C, which is lower than that of the solid-state reaction (1200 °C). When the sintering temperature was 800 °C, a small amount of impurity phase existed in the sintered product. For the short sintering time of 20 min, the lattice constant of La2O2S increased with the increase in the sintering temperature from 800 to 1200 °C (Figure 4). But the lattice constant suddenly decreased at 1400 °C. Simultaneously, the color of the sample changed with the increase in sintering temperature.
XRD patterns of La2O2S are shown in Figure 3b. La2O2S can be sintered from the mixture of La2O3 and La2S3 at 800–1500 °C for 1 h by spark plasma sintering. The characteristic peaks of La2O2S shifted to a lower angle following an increase in sintering temperature. This result indicates that crystals grow as the sintering temperature increases. Moreover, the plane (012) and (003) of La2O2S nearly disappeared at 1500 °C. There are several reasons for this phenomenon. One is the preferred orientation of crystal growth. The color of the sintered compacts became dark as the sintering temperature increased. Therefore, the carbon content may also affect this result. The hot-pressed La2O2S ceramics sintered at 1100–1400 °C exhibited similar crystal structures and lattice constants as those reported elsewhere [13]. It should be noted that when using graphite molds or graphite paper-wrapped sintered La2O2S compacts, sintering temperatures that are too high tend to lead to carburization, which may affect the performance of transparent ceramics.
The dependence of the lattice parameters of synthetic La2O2S on sintering temperature is shown in Figure 4. Table 1 compares the lattice parameters of La2O2S and doped La2O2S. Theoretical calculations indicate that the lattice constants of La2O2S are a = 4.03–4.06 Å and c = 6.91–6.95 Å [24]. The lattice constants of La2O2S sintered at 800 °C for 20 min are similar to those of La2O2S synthesized by furnace combustion (a = 4.0313 Å and c = 6.9097 Å [15]) and to those of La2O2S synthesized using a one-step flux method (a = 4.0350 Å and c = 6.914 Å [19]). The lattice constants of La2O2S sintered at 1000–1200 °C for 20 min are similar to those of single-crystal La2O2S (a = 4.049 Å and c = 6.939 Å [22]) and annealed La2O2S (a = 4.04 Å and c = 6.99 Å [20]). The lattice constants of La2O2S sintered at 1400 °C for 20 min showed a significant decrease, which may be related to the presence of a second phase.
When the sintering time was extended to 60 min, the change in the lattice constant was due to the preferred growth orientation of the grains. The lattice constant of La2O2S sintered at 1000 °C for 60 min was the smallest. The lattice constants of synthesized La2O2S are near those of a small amount of rare-earth-doped La2O2S (La1.99O2S:0.01Eu [18], La2O2S:1%Er [17], and (La0.95Tb0.05)2O2S [16]).
Figure 5 shows the SEM images of La2O2S synthesized at 800–1400 °C. The La2O2S sintered at 800 °C had a small grain size. Further, the localized enlarged image displayed local voids, suggesting that the sintering is not complete (Figure 5a). The La2O2S sintered at 1000 °C could still be observed in the small grains, and there was no obvious change in the grain size of La2O2S, which is mainly due to the occurrence of localized sintering (Figure 5b). At 1200 °C, the La2O2S particles underwent significant bonding, and the grain size of La2O2S became larger. Moreover, there was a disordered distribution with more grain boundaries (Figure 5c). This is consistent with the variation rules of the lattice constant (Figure 4). The local bonding of La2O2S was more pronounced at 1400 °C, but there were still some unsintered particles (Figure 5d). As shown in Figure S1, the color of La2O2S sintered at 800 °C is slightly yellowish (like that of La2S3), and the color of La2O2S sintered at 1000 °C changes to white. The microstructure of spark plasma-sintered La2O2S is similar to that of La2S3 [14]. Unlike the SEM (Figure 8 of Ref. [13]) results of hot-press-sintered La2O2S at 1100–1400 °C for 2 h, the hot-press sintering holding time is long, the grain size varies significantly with temperature, and there are pores at the grain boundaries [25,26]. The difference in microstructure between the two sintering methods is related to the sintering pressure. In this study, the sintering pressure was 50 MPa, while the hot-press sintering pressure used in Ref. [13] was 120 MPa (usually 35 MPa is used for hot-press sintering). The higher sintering pressure is more helpful for structural densification.

3.3. Specific Heat of Synthetic La2O2S Bulks

Figure 6 shows the specific heat curve and lattice contribution, Clat, evaluated by using the Debye model of La2O2S and synthesized at 1000 °C without a magnetic field. Considering that La2O2S does not contain magnetic-contributed heat capacity, the data of heat capacity were fitted by Debye’s law to estimate the electronic heat capacity part, Cele, and the lattice heat capacity part, Clat. The specific heat of La2O2S mainly originated from the lattice-specific heat contribution. The resultant Debye temperature θD of La2O2S was 237 K. The specific heat of the crystals was 60.5 J·mol·K−1 at 100 K. The specific heat of La2O2S decreased with decreasing temperature in the temperature range of 2 to 100 K. When the temperature reached 2 K, the specific heat value reached a minimum of 0.002 J·mol·K−1. Below 10 K, the change in specific heat was not very large. The low-frequency vibration mode only significantly increased heat capacity at low temperatures. There are few reports about the low-temperature specific heat of La2O2S. Evidence suggests that the heat capacity of β-La2S3 increases with increasing temperature [27]. The specific heat of La2O2S is smaller than that of γ-La2S3 [28]. Additionally, the specific heat of La2S3 is related to its crystal structure [29].

3.4. UV-Vis Spectra and Raman Spectroscopy of Synthetic La2O2S Bulks

Figure 7 shows the UV–visible absorption spectra of synthesized La2O2S at 800–1400 °C. Compared with the theoretical calculation of La2O2S [15], the synthesized La2O2S had different levels of absorption in the 240–300 nm range. The sintering temperature can change the response interval and the responsivity of La2O2S. The absorbance of the La2O2S compact increased as the sintering temperature increased from 800 to 1000 °C. Subsequently, the transmittance of La2O2S compact sintered at 1200 °C and 1400 °C decreased because of an impurity, namely second phase carbon. The absorption spectra of synthesized La2O2S are similar to the results for La2O2S:Sm and Y2O2S:Eu presented elsewhere [30].
Considering the effect of synthesis temperature on the structure of La2O2S, the synthesized La2O2S was characterized by Raman spectroscopy at different temperatures, respectively. Figure 8 shows that the La2O2S synthesized at 800 °C generated distinct spectral peaks at 204.0 cm−1, 229.2 cm−1, 369.7 cm−1, and 401.3 cm−1. Four characteristic peaks of La2O2S were present at 107 cm−1, 201 cm−1, 383 cm−1 and 398 cm−1, based on theoretical calculations of phonons and theoretical phonon mode wavenumbers, respectively [31]. The peak at 404 cm−1 corresponded to the Eg mode and was ascribed to the La-O stretching vibrations [32]. Another low-intensity peak at 201 cm−1 was assigned to the A1g mode related to the La-O bending vibrations [32,33]. It was evident that the Eg peak for La2O2S synthesized at 800 °C shifted positively. This implies that a change occurred in the covalence band of La2O2S synthesized at high temperatures. This change may influence the La-O stretching vibration peak because of an electron from carbon or graphite abrasives diffusing to La2O2S. The experimental phonon mode frequencies of La2O2S are different from those of Y2O2S despite their approximate lattice structures and constants. The experimental phonon mode frequencies of yttrium oxysulfide contains one-dimensional modes, A1g (258 cm−1 and 474 cm−1), and two-dimensional modes, Eg (143 cm−1 and 444 cm−1).

3.5. Density, Hardness, and Bending Strength of Synthetic La2O2S Bulks

The estimation of the relative density of the La2O2S ceramics was conducted by employing the value of 5.75 g/cm3 [13]. The relative densities of the synthesized La2O2S ceramics were 82%, 88%, 92%, and 90%, respectively. The densities of the synthesized La2O2S ceramics were all lower than the theoretical density, indicating that the synthesized materials had a small number of voids. Additionally, as can be seen in Figure 9, the relative density of La2O2S gradually increased with increase in the sintering temperature. At 1400 °C, a slight decrease in relative density occurred, which may have been caused by the diffusion of the light element carbon into the La2O2S sample.
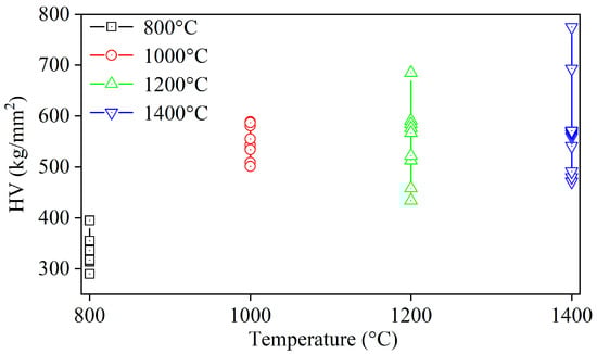
Figure 10 shows the hardness values of La2O2S synthesized at different sintering temperatures. The average hardness of La2O2S was 331.8 kg/mm2 for 800 °C, 552.2 kg/mm2 for 1000 °C, 562 kg/mm2 for 1200 °C, and 571.3 kg/mm2 for 1400 °C. The hardness of La2O2S increased with the increase in the sintering temperature. Further, the higher the sintering temperature was, the faster the grains grew. The La2O2S compacts became more compacted under pressure. Vickers hardness values of the hot-pressed La2O2S ceramics sintered at 1200 °C and 1250 °C were approximately 550 kg/mm2; the hardness of La2O2S depends on grain size [13]. The hardness of La2O2S is larger than that of the dense Gd2O2S ceramics (450–500 kg/mm2) [34]. The lanthanum sesquisulfide (La2S3) ceramics and the alkaline-earth–rare-earth sulfide family, with the formula A(Re)2S4, where A = Ca, Sr, or Ba and Re = La, Pr, Sm, had larger hardness values (about 600 kg/mm2) [35].
The molding temperature dependency of the three-point bending strength of La2O2S compacts is displayed in Figure 11. During the cutting process, a fracture in the compact developed at the 600 °C sintering temperature, which was thought to be the result of inadequate sintering. As a result, three-point bending testing was performed between 800 and 1400 °C. The three-point bending strength of La2O2S increased and then decreased with increasing temperature; it reached a maximum at 1000 °C. The modulus of elasticity of sintered La2O2S at 800 °C, 1000 °C, 1200 °C, and 1400 °C was calculated by the formula 28.3 MPa, 88.6 MPa, 53.8 MPa, and 61.9 MPa, respectively. No reports on the three-point bending strength of La2O2S have been retrieved. More studies are needed to modify the mechanical strength of Al2O3 [36] or WC [37] ceramics by incorporating La2O3 additives or improve mechanical strength by adding La-based rare-earth metals to M2 steel in the Electroslag Casting Process [38].

4. Conclusions

The fabrication, sintering, heat capacity, optical properties, and mechanical properties of La2O2S were discussed. High-purity La2O2S powders were obtained at 1000–1200 °C for 3 h by a solid-state reaction. The particle size of the synthesized La2O2S was 1–2 μm. La2O2S bulks were sintered at 800–1500 °C for 20 min or 60 min. The lattice parameters of synthetic La2O2S were dependent on sintering temperature. SEM images of La2O2S ceramics showed incomplete sintering with small grain size and localized voids. The specific heat of La2O2S mainly came from lattice contribution, and the Debye temperature of La2O2S ceramics was 237K. Different absorption levels appeared at the region of 240–300 nm in the UV–visible absorption spectra. The Raman spectroscopy of synthesized La2O2S showed four characteristic peaks at 204.0 cm−1, 229.2 cm−1, 369.7 cm−1, and 401.3 cm−1, respectively. The relative density of La2O2S ceramics increased with the sintering temperature, with a slight decrease at 1400 °C, which may have been caused by the diffusion of carbon. Hardness values varied with the sintering temperature, and La2O2S was harder than dense Gd2O2S ceramics. The three-point bending strength of La2O2S increased with increasing temperature, reaching its maximum at 1000 °C. Overall, this study indicates that the solid-phase reactive sintering method is beneficial for saving energy during La2O2S production. Understanding the properties of La2O2S provides valuable insights into its preparation and characterization and offers ideas regarding potential applications.

Supplementary Materials

The following supporting information can be downloaded at: https://www.mdpi.com/article/10.3390/coatings14091120/s1, Figure S1 Optical photo of La2O2S synthesized at different temperatures: (a) 800 °C, (b) 1000 °C, (c) 1200 °C, (d) 1400 °C for 20 min.

Author Contributions

Conceptualization, Y.C. and L.L.; methodology, J.L., K.H. and L.L.; data curation, J.L. and L.L.; writing—original draft preparation, Y.C., J.L. and L.L.; writing—review and editing, Y.C. and L.L.; project administration, Y.C. and L.L.; funding acquisition, Y.C. and L.L. All authors have read and agreed to the published version of the manuscript.

Funding

This research was funded by the Science and Technology Open Cooperation Project of Henan Academy of Sciences, grant number 220909003; Youth Fund Project of Natural Science Foundation of Henan Province, grant number 242300421464; Doctoral Special Fund Project of Nanyang Normal University, grant numbers 2024ZX025 and 2019ZX018; and Cultivation Project of National Natural Science Foundation of Nanyang Normal University, grant numbers 2024PY023 and 2023PY011.

Institutional Review Board Statement

Not applicable.

Informed Consent Statement

Not applicable.

Data Availability Statement

The data that support the findings of this study are available upon reasonable request from the corresponding author, Liang Li.

Acknowledgments

We thank Shinji Hirai of the Muroran National Institute of Technology, Japan, for his guidance on this research idea. We thank Shinya Ichioka, Materials Synthesis Research Laboratory, Muroran Institute of Technology, for his help with materials synthesis.

Conflicts of Interest

The authors declare no conflicts of interest.

References

  1. Yang, Y.; Mi, C.; Yu, F.; Su, X.; Guo, C.; Li, G.; Zhang, J.; Liu, L.; Liu, Y.; Li, X. Optical thermometry based on the upconversion fluorescence from Yb3+/Er3+ codoped La2O2S phosphor. Ceram. Int. 2014, 40, 9875–9880. [Google Scholar] [CrossRef]
  2. Andreev, P.O.; Sal’nikova, E.I.; Kovenskii, I.M. Preparation of Ln2O2S (Ln = Gd, Dy, Y, Er, Lu) in flowing hydrogen and hydrogen sulfide. Inorg. Mater. 2014, 50, 1018–1023. [Google Scholar] [CrossRef]
  3. Jaffar, B.M.; Swart, H.C.; Seed Ahmed, H.A.A.; Yousif, A.; Kroon, R.E. Optical properties and stability of Bi doped La2O2S. Opt. Mater. 2019, 95, 109260. [Google Scholar] [CrossRef]
  4. Biondo, V.; Sarvezuk, P.W.C.; Ivashita, F.F.; Silva, K.L.; Paesano, A., Jr.; Isnard, O. Geometric magnetic frustration in RE2O2S oxysulfides (RE = Sm, Eu and Gd). Mater. Res. Bull. 2014, 54, 41–47. [Google Scholar] [CrossRef]
  5. Li, L.; Hirai, S.; Nakamura, E.; Yuan, H. Influences of Eu2O3 characters and sulfurization conditions on the preparation of EuS and its large magnetocaloric effect. J. Alloys Compd. 2016, 687, 413–420. [Google Scholar] [CrossRef]
  6. Li, L.; Hirai, S.; Yuan, H. Influences of Yb2O3 characters and sulfurization conditions on preparation of Yb2S3. J. Alloy. Compd. 2015, 618, 742–749. [Google Scholar] [CrossRef]
  7. Andreev, P.; Sal’nikova, E.; Andreev, O.; Kovenskii, I. Kinetic schemes of chemical transformations and particle morphology upon interaction between Ln2(SO4)3 (Ln = La, Pr, Nd, Sm) and hydrogen. Russ. J. Phys. Chem. A 2016, 90, 25–30. [Google Scholar] [CrossRef]
  8. Andreev, P.; Sal’nikova, E.; Kislitsyn, A. Kinetics of the transformation of Ln2O2SO4 into Ln2O2S (Ln= La, Pr, Nd, and Sm) in a hydrogen flow. Russ. J. Phys. Chem. A 2013, 87, 1482–1487. [Google Scholar] [CrossRef]
  9. Larquet, C. Nanoparticles of Lanthanide and Transition Metal Oxysulfides: From Colloidal Synthesis to Structure, Surface, Optical and Magnetic Properties. Ph.D. Thesis, Sorbonne Université, Paris, France, 2018. [Google Scholar]
  10. Sal’nikova, E.; Andreev, P.; Antonov, S. Kinetic diagrams of Ln2O2SO4 phase transformations in a H2 flow (Ln = La, Pr, Nd, Sm). Russ. J. Phys. Chem. A 2013, 87, 1280–1283. [Google Scholar] [CrossRef]
  11. Leskelä, M.; Leskelä, T. Thermal stability of rare earth oxysulfide solid solutions in air. Thermochim. Acta 1981, 48, 43–50. [Google Scholar] [CrossRef]
  12. Kay, D.A.R.; Subramanian, S.V.; Kumar, V.; Meng, V.; Dwivedi, R.K. The use of RE-O-S phase stability diagrams in gaseous desulfurisation and iron and steel production. Inorg. Chim. Acta 1984, 94, 132–134. [Google Scholar] [CrossRef]
  13. Le Coz, A.; Durand, G.R.; Cornet, L.; Herbert, N.; Gouttefangeas, F.; Joanny, L.; Célarié, F.; Cheviré, F.; Merdrignac-Conanec, O. First La2O2S infrared transparent ceramics. J. Eur. Ceram. Soc. 2023, 43, 2133–2142. [Google Scholar] [CrossRef]
  14. Ohta, M.; Hirai, S.; Kato, H.; Sokolov, V.V.; Bakovets, V.V. Thermal decomposition of NH4SCN for preparation of Ln2S3 (Ln = La and Gd) by sulfurization. Mater. Trans. 2009, 50, 1885–1889. [Google Scholar] [CrossRef]
  15. Shah, K.; Ćirić, A.; Murthy, K.; Chakrabarty, B. Investigation of a new way of synthesis for Nano crystallites of La2O2S & 1% Ln3+ (Ln = Pr, Eu, Tb, Dy, Er) doped La2O2S and study their structural and optical properties. J. Alloy. Compd. 2021, 851, 156725. [Google Scholar]
  16. Kim, S.W.; Hasegawa, T.; Abe, T.; Nakagawa, H.; Hasegawa, S.; Seki, K.; Toda, K.; Uematsu, K.; Ishigaki, T.; Sato, M. Abnormal improvement in emission of lanthanum oxysulfide phosphor La2O2S: Tb3+ synthesized by a novel method, thermal decomposition in eutectic molten salt. Ceram. Int. 2016, 42, 10389–10392. [Google Scholar] [CrossRef]
  17. Hakmeh, N.; Chlique, C.; Merdrignac-Conanec, O.; Fan, B.; Cheviré, F.; Zhang, X.; Fan, X.; Qiao, X. Combustion synthesis and up-conversion luminescence of La2O2S: Er3+, Yb3+ nanophosphors. J. Solid State Chem. 2015, 226, 255–261. [Google Scholar] [CrossRef]
  18. Wang, F.; Chen, H.; Zhang, S.; Zhang, S.; Jin, H. Energy transfer of Eu2+→ Eu3+ improves the photoluminescence properties of orange-red phosphor La2O2S: Eu. J. Alloy. Compd. 2023, 969, 172394. [Google Scholar] [CrossRef]
  19. Wang, L.; Yang, X.; Zhang, Q.; Song, B.; Wong, C. Luminescence properties of La2O2S: Tb3+ phosphors and phosphor-embedded polymethylmethacrylate films. Mater. Des. 2017, 125, 100–108. [Google Scholar] [CrossRef]
  20. Erasmus, L.; Swart, H.; Terblans, J. La2O2S: Eu3+ stability as temperature sensor. Appl. Surf. Sci. 2019, 487, 41–51. [Google Scholar] [CrossRef]
  21. Sasaki, S.; Caldes, M.T.; Guillot-Deudon, C.; Braems, I.; Steciuk, G.; Palatinus, L.; Gautron, E.; Frapper, G.; Janod, E.; Corraze, B. Design of metastable oxychalcogenide phases by topochemical (de) intercalation of sulfur in La2O2S2. Nat. Commun. 2021, 12, 3605. [Google Scholar] [CrossRef]
  22. Morosin, B. La2O2S structure refinement and crystal field. Struct. Sci. 1973, 29, 2647–2648. [Google Scholar] [CrossRef]
  23. Larquet, C.; Carenco, S. Metal oxysulfides: From bulk compounds to nanomaterials. Front. Chem. 2020, 8, 179. [Google Scholar] [CrossRef] [PubMed]
  24. Polfus, J.M.; Norby, T.; Bredesen, R. Protons in oxysulfides, oxysulfates, and sulfides: A first-principles study of La2O2S, La2O2SO4, SrZrS3, and BaZrS3. J. Phys. Chem. C 2015, 119, 23875–23882. [Google Scholar] [CrossRef]
  25. Aktas, B.; Tekeli, S.; Salman, S. Synthesis and properties of La2O3-doped 8 mol% yttria-stabilized cubic zirconia. J. Mater. Eng. Perform. 2014, 23, 294–301. [Google Scholar] [CrossRef]
  26. Aktas, B.; Tekeli, S.; Salman, S. Crystallization and grain growth behavior of La2O3-doped yttria-stabilized zirconia. Adv. Mater. Lett. 2014, 5, 260–264. [Google Scholar] [CrossRef]
  27. Zhang, X.; Wenhua, G.; Qian, W.; Qingfeng, Z. Structural, phonon, mechanical, optical, and thermodynamic properties of stable β-La2S3 from first-principles calculations. J. Rare Earths 2017, 35, 271–279. [Google Scholar] [CrossRef]
  28. Westrum, E.F., Jr.; Burriel, R.; Gruber, J.B.; Palmer, P.E.; Beaudry, B.J.; Plautz, W. Thermophysical properties of the lanthanide sesquisulfides. I. Schottky functions and magnetic and electronic properties of γ-La2S3, γ-Ce2S3, γ-Nd2S3, and γ-Gd2S3. J. Chem. Phys. 1989, 91, 4838–4848. [Google Scholar] [CrossRef]
  29. Amano, T.; Beaudry, B.; Gschneidner, K., Jr. High-temperature thermodynamic properties of alpha and gamma lanthanum sesquisulfides and related compounds. J. Appl. Phys. 1986, 59, 3437–3440. [Google Scholar] [CrossRef]
  30. Liu, G.; Zhang, Q.; Wang, H.; Li, Y. A reddish La2O2S-based long-afterglow phosphor with effective absorption in the visible light region. Mater. Sci. Eng. B 2012, 177, 316–320. [Google Scholar] [CrossRef]
  31. Mikami, M.; Nakamura, S. Electronic structure of rare-earth sesquioxides and oxysulfides. J. Alloy. Compd. 2006, 408, 687–692. [Google Scholar] [CrossRef]
  32. Umar, A.; Ibrahim, A.A.; Kumar, R.; Almas, T.; Sandal, P.; Al-Assiri, M.; Mahnashi, M.H.; AlFarhan, B.; Baskoutas, S. Fern shaped La2O3 nanostructures as potential scaffold for efficient hydroquinone chemical sensing application. Ceram. Int. 2020, 46, 5141–5148. [Google Scholar] [CrossRef]
  33. Wang, N.; Liu, J.; Gu, W.; Song, Y.; Wang, F. Toward synergy of carbon and La2O3 in their hybrid as an efficient catalyst for the oxygen reduction reaction. RSC Adv. 2016, 6, 77786–77795. [Google Scholar] [CrossRef]
  34. Anan’eva, G.; Gorokhova, E.; Demidenko, V.; Parfinskii, V.; Khristich, O. Optical properties of Gd2O2S-based ceramic. J. Opt. Technol. 2005, 72, 58–61. [Google Scholar] [CrossRef]
  35. Kumta, P.N.; Risbud, S.H. Low-temperature chemical routes to formation and IR properties of lanthanum sesquisulfide (La2S3) ceramics. J. Mater. Res. 1993, 8, 1394–1410. [Google Scholar] [CrossRef]
  36. Ji, H.; Fang, M.; Huang, Z.; Chen, K.; Xu, Y.; Liu, Y.G.; Huang, J. Effect of La2O3 additives on the strength and microstructure of mullite ceramics obtained from coal gangue and γ-Al2O3. Ceram. Int. 2013, 39, 6841–6846. [Google Scholar] [CrossRef]
  37. Ren, X.; Peng, Z.; Wang, C.; Miao, H. Influence of nano-sized La2O3 addition on the sintering behavior and mechanical properties of WC–La2O3 composites. Ceram. Int. 2015, 41, 14811–14818. [Google Scholar] [CrossRef]
  38. Hu, X.; Chen, W.; Lu, D.; Lu, L.; Jia, J.; Li, H.; Zou, J.; Hu, Q. Microstructure and Mechanical Properties of Modified M2 High-Speed Steel by Adding La2O3 in the Electroslag Casting Process. Steel Res. Int. 2024, 95, 2300035. [Google Scholar] [CrossRef]
Figure 1. XRD patterns of La2O2S powders synthesized at 600–1200 °C.
Figure 1. XRD patterns of La2O2S powders synthesized at 600–1200 °C.
Coatings 14 01120 g001
Figure 2. SEM images of La2O3, La2S3, and La2O2S synthesized at 1000 °C: (a) La2O2S synthesized at 1000 °C; (b) La2O3; (c) La2S3.
Figure 2. SEM images of La2O3, La2S3, and La2O2S synthesized at 1000 °C: (a) La2O2S synthesized at 1000 °C; (b) La2O3; (c) La2S3.
Coatings 14 01120 g002
Figure 3. XRD patterns of La2O2S synthesis: (a) sintered at 800–1400 °C for 20 min; (b) sintered at 800–1500 °C for 60 min.
Figure 3. XRD patterns of La2O2S synthesis: (a) sintered at 800–1400 °C for 20 min; (b) sintered at 800–1500 °C for 60 min.
Coatings 14 01120 g003
Figure 4. Dependence of lattice parameters of synthetic La2O2S on sintering temperature.
Figure 4. Dependence of lattice parameters of synthetic La2O2S on sintering temperature.
Coatings 14 01120 g004
Figure 5. SEM images of La2O2S sintered at (a) 800 °C; (b) 1000 °C; (c) 1200 °C; (d) 1400 °C for 20 min.
Figure 5. SEM images of La2O2S sintered at (a) 800 °C; (b) 1000 °C; (c) 1200 °C; (d) 1400 °C for 20 min.
Coatings 14 01120 g005
Figure 6. Specific heat curve of La2O2S synthesized at 1000 °C and heat capacity of γ-La2S3 derived from [28].
Figure 6. Specific heat curve of La2O2S synthesized at 1000 °C and heat capacity of γ-La2S3 derived from [28].
Coatings 14 01120 g006
Figure 7. UV-vis spectra of La2O2S synthesized at 800–1400 °C and the data of La2O2S derived from [15], the data of Y2O2S:Eu and La2O2S:Sm derived from [30].
Figure 7. UV-vis spectra of La2O2S synthesized at 800–1400 °C and the data of La2O2S derived from [15], the data of Y2O2S:Eu and La2O2S:Sm derived from [30].
Coatings 14 01120 g007
Figure 8. Raman spectrum of La2O2S synthesized at 800–1400 °C.
Figure 8. Raman spectrum of La2O2S synthesized at 800–1400 °C.
Coatings 14 01120 g008
Figure 9. Relative and average density of synthesized La2O2S at 800–1400 °C and theoretical density of La2O2S adapted from [13].
Figure 9. Relative and average density of synthesized La2O2S at 800–1400 °C and theoretical density of La2O2S adapted from [13].
Coatings 14 01120 g009
Figure 10. Variation in hardness of synthesized La2O2S at 800–1400 °C.
Figure 10. Variation in hardness of synthesized La2O2S at 800–1400 °C.
Coatings 14 01120 g010
Figure 11. The molding temperature dependence of the three-point bending strength of the sintered La2O2S compacts.
Figure 11. The molding temperature dependence of the three-point bending strength of the sintered La2O2S compacts.
Coatings 14 01120 g011
Table 1. Comparison of lattice parameters of La2O2S.
Table 1. Comparison of lattice parameters of La2O2S.
MaterialMethoda/Åc/ÅRef.
La2O2S compact800 °C 20 min4.0369346.9139
La2O2S compact1000 °C 20 min4.0539876.94828
La2O2S compact1200 °C 20 min4.0484066.941172
La2O2S compact1400 °C 20 min3.9603116.70675
La2O2S compact800 °C 60 min4.0549466.967556
La2O2S compact1000 °C 60 min4.0480656.948317
La2O2S compact1300 °C 60 min4.0536586.955327
La2O2S compact1500 °C 60 min4.051676.955472
La2O2Sfirst-principles study4.06/4.036.95/6.91[24]
La2O2Sfurnace combustion 4.03136.9097[15]
La2O2Sone-step flux method4.03506.914[19]
La2O2Ssingle crystal4.0496.939[22]
La2O2Sannealing4.046.99[20]
La2O2Ssulfurized powder4.0526.946[13]
La1.99O2S:0.01Eusolid-state reaction4.0496.944[18]
La2O2S:1%Ercombustion synthesis4.05066.9456[17]
(La0.95Tb0.05)2O2Stwo-step flux method4.05096.9432[16]
Disclaimer/Publisher’s Note: The statements, opinions and data contained in all publications are solely those of the individual author(s) and contributor(s) and not of MDPI and/or the editor(s). MDPI and/or the editor(s) disclaim responsibility for any injury to people or property resulting from any ideas, methods, instructions or products referred to in the content.

Share and Cite

MDPI and ACS Style

Chen, Y.; Li, L.; Li, J.; Han, K. Rapid Synthesis and Sintering of La2O2S and Its Physical, Optical, and Mechanical Properties. Coatings 2024, 14, 1120. https://doi.org/10.3390/coatings14091120

AMA Style

Chen Y, Li L, Li J, Han K. Rapid Synthesis and Sintering of La2O2S and Its Physical, Optical, and Mechanical Properties. Coatings. 2024; 14(9):1120. https://doi.org/10.3390/coatings14091120

Chicago/Turabian Style

Chen, Yuqi, Liang Li, Jin Li, and Kun Han. 2024. "Rapid Synthesis and Sintering of La2O2S and Its Physical, Optical, and Mechanical Properties" Coatings 14, no. 9: 1120. https://doi.org/10.3390/coatings14091120

APA Style

Chen, Y., Li, L., Li, J., & Han, K. (2024). Rapid Synthesis and Sintering of La2O2S and Its Physical, Optical, and Mechanical Properties. Coatings, 14(9), 1120. https://doi.org/10.3390/coatings14091120

Note that from the first issue of 2016, this journal uses article numbers instead of page numbers. See further details here.

Article Metrics

Back to TopTop