Influence of the Dispersion of Carbon Nanotubes on the Electrical Conductivity, Adhesion Strength, and Corrosion Resistance of Waterborne Polyurethane Composites
Abstract
1. Introduction
2. Materials and Methods
2.1. Experimental Materials
2.2. Coating Preparation
2.3. Coating Characterization
2.3.1. Electrical Conductivity and Micro-Morphology Test
2.3.2. Adhesion Strength of Coatings and Fourier Transform Infrared Spectroscopy (FTIR) Test
2.3.3. Anticorrosion Test
3. Results and Discussion
3.1. Dispersion of MWCNTs and Electrical Conductivity of Composites
3.2. Adhesion Strength of the Composite and Its Molecular Structure
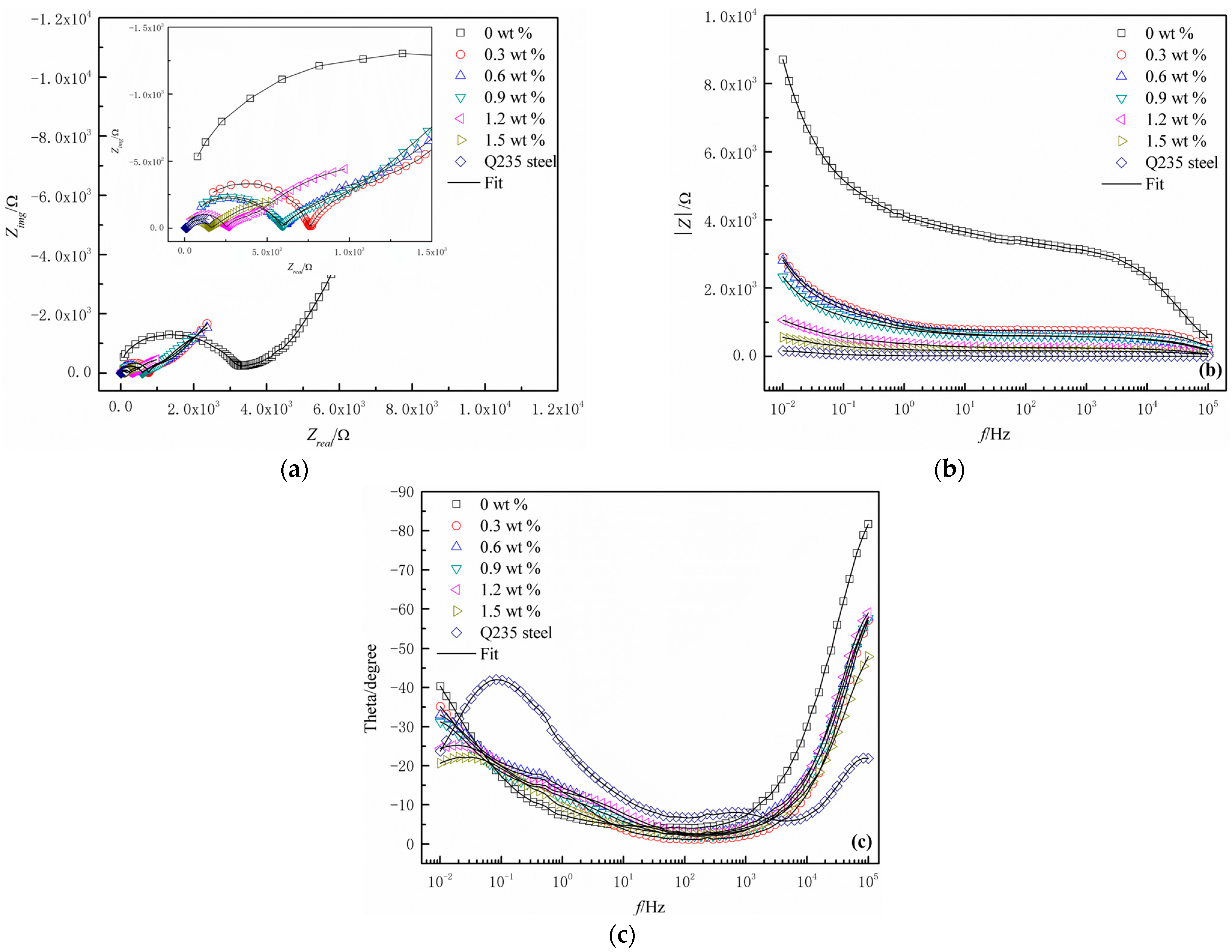
3.3. Corrosion Resistance Analysis
4. Conclusions
Author Contributions
Funding
Data Availability Statement
Conflicts of Interest
References
- Khun, N.W.; Frankel, G.S. Cathodic delamination of polyurethane/multiwalled carbon nanotube composite coatings from steel substrates. Prog. Org. Coat. 2016, 99, 55–60. [Google Scholar] [CrossRef]
- Fan, X.G.; Xia, Y.Z.; Wu, S.; Zhang, D.; Oliver, S.; Chen, X.N.; Lei, L.; Shi, S.X. Covalently immobilization of modified graphene oxide with waterborne hydroxyl acrylic resin for anticorrosive reinforcement of its coatings. Prog. Org. Coat. 2022, 163, 106685. [Google Scholar] [CrossRef]
- Dutta, G.K.; Karak, N. Citric acid functionalized reduced graphene oxide containing bio-based waterborne polyester thermoset as an excellent anticorrosive material. Polym. Adv. Technol. 2023, 34, 890–904. [Google Scholar] [CrossRef]
- Turri, S.; Levi, M. Structure, dynamic properties, and surface behavior of nanostructured ionomeric polyurethanes from reactive polyhedral oligomeric silsesquioxanes. Macromolecules 2005, 38, 5569–5574. [Google Scholar] [CrossRef]
- Cai, J.C.; Murugadoss, V.; Jiang, J.Y.; Gao, X.; Lin, Z.P.; Huang, M.; Guo, J.; Alsareii, S.A.; Algadi, H.; Kathiresan, M. Waterborne polyurethane and its nanocomposites: A mini-review for anti-corrosion coating, flame retardancy, and biomedical applications. Adv. Compos. Hybrid Mater. 2022, 5, 641–650. [Google Scholar] [CrossRef]
- Lee, D.K.; Tsai, H.B.; Tsai, R.S. Aqueous polyurethane dispersions derived from polycarbonatediols and Di (4-isocyanatocyclohexyl) methane. Polym. Eng. Sci. 2006, 46, 588–593. [Google Scholar] [CrossRef]
- Barikani, M.; Valipour Ebrahimi, M.; Seyed Mohaghegh, S.M. Preparation and characterization of aqueous polyurethane dispersions containing ionic centers. J. Appl. Polym. Sci. 2007, 104, 3931–3937. [Google Scholar] [CrossRef]
- Wu, Q.; Hu, J.L. Waterborne polyurethane based thermoelectric composites and their application potential in wearable thermoelectric textiles. Compos. Part B Eng. 2016, 107, 59–66. [Google Scholar] [CrossRef]
- Wang, Y.Z.; Chang, W.J.; Wang, Z.; Ma, J.P.; Yu, X.; Li, Y.; Zhang, L.Z. Silanized mxMXene/carbon nanotube composites as a shielding layer of polyurethane coatings for anticorrosion. ACS Appl. Nano Mater. 2022, 5, 1408–1418. [Google Scholar] [CrossRef]
- Deng, H.H.; Xie, F.; Shi, H.B.; Li, Y.F.; Liu, S.Y.; Zhang, C.Q. UV resistance, anticorrosion and high toughness bio-based waterborne polyurethane enabled by a sorbitan monooleate. Chem. Eng. J. 2022, 446, 137124. [Google Scholar] [CrossRef]
- Yu, Z.H.; Yan, Z.Y.; Zhang, F.H.; Wang, J.X.; Shao, Q.; Murugadoss, V.; Alhadhrami, A.; Mersal, G.A.M.; Ibrahim, M.M. Waterborne acrylic resin co-modified by itaconic acid and γ-methacryloxypropyl triisopropoxidesilane for improved mechanical properties, thermal stability, and corrosion resistance. Prog. Org. Coat. 2022, 168, 106875. [Google Scholar] [CrossRef]
- Dong, M.Y.; Li, Q.; Liu, H.; Liu, C.T.; Wujcik, E.K.; Shao, Q.; Ding, T.; Mai, X.M.; Shen, C.Y.; Guo, Z.H. Thermoplastic polyurethane-carbon black nanocomposite coating: Fabrication and solid particle erosion resistance. Polymer 2018, 158, 381–390. [Google Scholar] [CrossRef]
- Tao, J.R.; Tang, X.H.; He, Q.M.; Wang, M. Effect of surface conductivity on electromagnetic shielding of multi-walled carbon nanotubes/Poly (ε-caprolactone) composites. Compos. Sci. Technol. 2022, 229, 109715. [Google Scholar] [CrossRef]
- Akbarzadeh, S.; Akbarzadeh, K.; Ramezanzadeh, M.; Naderi, R.; Mahdavian, M.; Olivier, M. Corrosion resistance enhancement of a sol-gel coating by incorporation of modified carbon nanotubes: Artificial neural network (ANN) modeling and experimental explorations. Prog. Org. Coat. 2023, 174, 107296. [Google Scholar] [CrossRef]
- You, K.M.; Park, S.S.; Lee, C.S.; Kim, J.M.; Park, G.P.; Kim, W.N. Preparation and characterization of conductive carbon nanotube-polyurethane foam composites. J. Mater. Sci. 2011, 46, 6850–6855. [Google Scholar] [CrossRef]
- Ashassi-Sorkhabi, H.; Bagheri, R.; Rezaeimoghadam, B. Sonoelectrochemical synthesis of ppy-MWCNTs-chitosan nanocomposite coatings: Characterization and corrosion behavior. J. Mater. Eng. Perform. 2015, 24, 385–392. [Google Scholar] [CrossRef]
- Wang, C.; Mo, B.M.; He, Z.F.; Shao, Q.; Pan, D.; Wujick, E.; Guo, J.; Xie, X.X.; Xie, X.F.; Guo, Z.H. Crosslinked norbornene copolymer anion exchange membrane for fuel cells. J. Membr. Sci. 2018, 556, 118–125. [Google Scholar] [CrossRef]
- Santamaria-Echart, A.; Fernandes, I.; Ugarte, L.; Barreiro, F.; Arbelaiz, A.; Corcuera, M.A.; Eceiza, A. Waterborne polyurethane-urea dispersion with chain extension step in homogeneous medium reinforced with cellulose nanocrystals. Compos. Part B Eng. 2018, 137, 31–38. [Google Scholar] [CrossRef]
- Kim, E.Y.; Lee, J.H.; Lee, D.J.; Lee, Y.H.; Lee, J.H.; Kim, H.D. Synthesis and properties of highly hydrophilic waterborne polyurethane-ureas containing various hardener content for waterproof breathable fabrics. J. Appl. Polym. Sci. 2013, 129, 1745–1751. [Google Scholar] [CrossRef]
- Patti, A.; Russo, P.; Acierno, D.; Acierno, S. Dispersion and thermal conductivity of polypropylene/multi wall carbon nanotubes composites. Compos. Part B Eng. 2016, 94, 350–359. [Google Scholar] [CrossRef]
- Zeng, Y.X.; Li, H.Q.; Li, J.; Yang, J.X.; Chen, Z.H. Preparation and characterization of solvent-free anti-corrosion polyurethane-urea coatings. Surf. Interfaces 2023, 36, 102504. [Google Scholar] [CrossRef]
- Fang, F.; Ran, S.Y.; Fang, Z.P.; Song, P.A.; Wang, H. Improved flame resistance and thermo-mechanical properties of epoxy resin nanocomposites from functionalized graphene oxide via self-assembly in water. Compos. Part B Eng. 2019, 165, 406–416. [Google Scholar] [CrossRef]
- Ha, Z.; Lei, L.; Zhou, M.Y.; Xia, Y.Z.; Chen, X.N.; Mao, P.; Fan, B.F.; Shi, S.X. Bio-based waterborne polyurethane coatings with high transparency, antismudge and anticorrosive properties. ACS Appl. Mater. Interfaces 2023, 15, 7427–7441. [Google Scholar] [CrossRef]
- Shen, W.N.; Feng, L.J.; Liu, X.; Luo, H.; Liu, Z.; Tong, P.R.; Zhang, W.H. Multiwall carbon nanotubes-reinforced epoxy hybrid coatings with high electrical conductivity and corrosion resistance prepared via electrostatic spraying. Prog. Org. Coat. 2016, 90, 139–146. [Google Scholar] [CrossRef]
- Song, D.D.; Yin, Z.W.; Liu, F.J.; Wan, H.X.; Gao, J.; Zhang, D.W.; Li, X.G. Effect of carbon nanotubes on the corrosion resistance of water-borne acrylic coatings. Prog. Org. Coat. 2017, 110, 182–186. [Google Scholar] [CrossRef]
- Krause, B.; Barbier, C.; Kunz, K.; Pötschke, P. Comparative study of single walled, multiwalled, and branched carbon nanotubes melt mixed in different thermoplastic matrices. Polymer 2018, 69, 75–85. [Google Scholar] [CrossRef]
- Josephson, B.D. Possible new effects in superconductive tunnelling. Phys. Lett. 1962, 1, 251–253. [Google Scholar] [CrossRef]
- Shapiro, S. Josephson currents in superconducting tunneling: The effect of microwaves and other observations. Phys. Rev. Lett. 1963, 11, 80–82. [Google Scholar] [CrossRef]
- Arukula, R.; Narayan, R.; Sreedhar, B.; Rao, C.R.K. High corrosion resistant-redox active-moisture curable-conducting polyurethanes. Prog. Org. Coat. 2016, 94, 79–89. [Google Scholar] [CrossRef]
- Shendi, H.K.; Omrani, I.; Ahmadi, A.; Farhadian, A.; Babanejad, N.; Nabid, R.M. Synthesis and characterization of a novel internal emulsifier derived from sunflower oil for the preparation of waterborne polyurethane and their application in coatings. Prog. Org. Coat. 2017, 105, 303–309. [Google Scholar] [CrossRef]
- Jing, Q.F.; Law, J.Y.; Tan, L.P.; Silberschmidt, V.V.; Li, L.; Dong, Z.L. Preparation, characterization and properties of polycaprolactone diol-functionalized multi-walled carbon nanotube/thermoplastic polyurethane composite. Compos. Part A Appl. Sci. Manuf. 2015, 70, 8–15. [Google Scholar] [CrossRef]








| Samples | Pure WPU | 0.3 wt % | 0.6 wt % | 0.9 wt % | 1.2 wt % | 1.5 wt % |
|---|---|---|---|---|---|---|
| Surface resistances (R), Ω | (7.2 ± 0.6) × 1014 | (1.3 ± 0.6) × 1010 | (1.8 ± 0.6) × 108 | (7.9 ± 0.6) × 106 | (5.6 ± 0.6) × 106 | (5.0 ± 0.6) × 106 |
| Volume resistivities (ρ), Ω·cm | (4.1 ± 0.6) × 1012 | (7.4 ± 0.6) × 107 | (1.0 ± 0.6) × 106 | (4.5 ± 0.6) × 104 | (3.2 ± 0.6) × 104 | (2.9 ± 0.6) × 104 |
| Coating thickness (d), cm | (57.5 ± 4) × 10−4 | (56.7 ± 4) × 10−4 | (58.0 ± 4) × 10−4 | (57.5 ± 4) × 10−4 | (56.6 ± 4) × 10−4 | (57.4 ± 4) × 10−4 |
| Samples | I/A·cm−2 | EvsSCE/V | Corrosion Rate/mm·a−1 |
|---|---|---|---|
| 0 wt % | 1.2798 × 10−6 | −0.4152 | 0.01509 |
| 0.3 wt % | 1.6068 × 10−6 | −0.4339 | 0.01895 |
| 0.6 wt % | 2.6547 × 10−6 | −0.6568 | 0.03131 |
| 0.9 wt % | 4.6074 × 10−6 | −0.6678 | 0.05433 |
| 1.2 wt % | 5.6721 × 10−6 | −0.6731 | 0.06689 |
| 1.5 wt % | 6.8898 × 10−6 | −0.6881 | 0.08125 |
| Q235 steel substrate | 8.1188 × 10−5 | −0.6978 | 0.95722 |
Disclaimer/Publisher’s Note: The statements, opinions and data contained in all publications are solely those of the individual author(s) and contributor(s) and not of MDPI and/or the editor(s). MDPI and/or the editor(s) disclaim responsibility for any injury to people or property resulting from any ideas, methods, instructions or products referred to in the content. |
© 2024 by the authors. Licensee MDPI, Basel, Switzerland. This article is an open access article distributed under the terms and conditions of the Creative Commons Attribution (CC BY) license (https://creativecommons.org/licenses/by/4.0/).
Share and Cite
Wang, F.; Liu, X.; Cao, B.; Wang, X.; Dong, K. Influence of the Dispersion of Carbon Nanotubes on the Electrical Conductivity, Adhesion Strength, and Corrosion Resistance of Waterborne Polyurethane Composites. Coatings 2024, 14, 1108. https://doi.org/10.3390/coatings14091108
Wang F, Liu X, Cao B, Wang X, Dong K. Influence of the Dispersion of Carbon Nanotubes on the Electrical Conductivity, Adhesion Strength, and Corrosion Resistance of Waterborne Polyurethane Composites. Coatings. 2024; 14(9):1108. https://doi.org/10.3390/coatings14091108
Chicago/Turabian StyleWang, Fangfang, Xiangrong Liu, Bin Cao, Xiaobao Wang, and Kangjun Dong. 2024. "Influence of the Dispersion of Carbon Nanotubes on the Electrical Conductivity, Adhesion Strength, and Corrosion Resistance of Waterborne Polyurethane Composites" Coatings 14, no. 9: 1108. https://doi.org/10.3390/coatings14091108
APA StyleWang, F., Liu, X., Cao, B., Wang, X., & Dong, K. (2024). Influence of the Dispersion of Carbon Nanotubes on the Electrical Conductivity, Adhesion Strength, and Corrosion Resistance of Waterborne Polyurethane Composites. Coatings, 14(9), 1108. https://doi.org/10.3390/coatings14091108
