Interface and Size Effects of Amorphous Si/Amorphous Silicon Oxynitride Multilayer Structures on the Photoluminescence Spectrum
Abstract
1. Introduction
2. Experiment
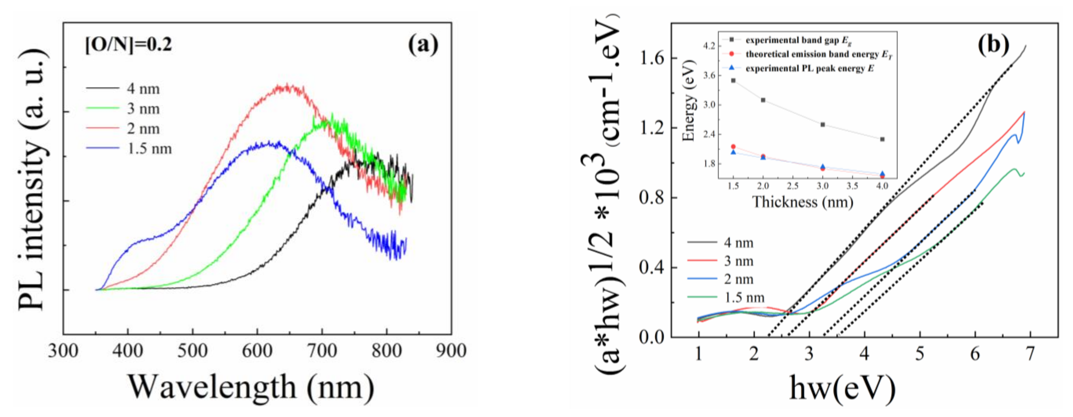
3. Results and Discussion
4. Conclusions
Author Contributions
Funding
Institutional Review Board Statement
Informed Consent Statement
Data Availability Statement
Conflicts of Interest
References
- Pavesi, L.; Dal Negro, L.; Cazzanelli, M.; Pucker, G.; Gaburro, Z.; Prakash, G.C.; Franzo, G.; Priolo, F. Optical gain in silicon nanocrystals. Natures 2001, 4293, 162–173. [Google Scholar] [CrossRef]
- Meng, L.; Li, S.; Chen, H.; Lei, M.; Yu, G.; Wen, P.; Fu, J.; Jiang, S.; Zong, H.; Li, D.; et al. In-situ fabricated amorphous silicon quantum dots embedded in silicon nitride matrix: Photoluminescence control and electroluminescence device fabrication. J. Lumin. 2023, 261, 119913. [Google Scholar] [CrossRef]
- Hegedüs, N.; Balázsi, K.; Balázsi, C. Silicon Nitride and Hydrogenated Silicon Nitride Thin Films: A Review of Fabrication Methods and Applications. Materials 2021, 14, 5658. [Google Scholar] [CrossRef] [PubMed]
- Tuan, N.T.; Thu, V.V.; Trung, D.Q.; Tu, N.; Tran, M.T.; Duong, P.H.; Anh, T.X.; Hong, N.T.; Loan, P.K.; Tam, T.T.H.; et al. Huy, On the origin of photoluminescence enhancement of Si nanocrystals on silica glass template and Si/SiO2 superlattice. Phys. B Condens. Matter 2023, 662, 414970. [Google Scholar] [CrossRef]
- Dey, P.P.; Khare, A. Fabrication of luminescent a-Si: SiO2 structures by direct irradiation of high power laser on silicon surface. Appl. Surf. Sci. 2014, 307, 77–85. [Google Scholar] [CrossRef]
- Bonilla, R.S.; Al-Dhahir, I.; Yu, M.; Hamer, P.; Altermatt, P.P. Altermatt, Charge fluctuations at the Si-SiO2 interface and its effect on surface recombination in solar cells. Sol. Energy Materials Sol. Cells 2020, 215, 110649. [Google Scholar] [CrossRef]
- Sondhi, K.; Sharangpani, R.; Tirukkonda, R.; Nag, J.; Guo, X.-C.; Gribelyuk, M.A.; Makala, R.S.; Kanakamedala, S. Extending area selective deposition of ruthenium onto 3D SiO2-Si multilayer stacks. J. Vac. Sci. Technol. A 2023, 41, 050402. [Google Scholar] [CrossRef]
- González-Flores, K.E.; Frieiro, J.L.; Horley, P.; Pérez-García, S.A.; Palacios-Huerta, L.; Moreno, M.; López-Vidrier, J.; Hernández, S.; Garrido, B.; Morales-Sánchez, A. Ultraviolet, visible and near infrared photoresponse of SiO2/Si/SiO2 multilayer system into a MOS capacitor. Mater. Sci. Semicond. Process. 2021, 134, 106009. [Google Scholar] [CrossRef]
- Torchynska, T.; Khomenkova, L.; Slaoui, A. Modification of light emission in si-rich silicon nitride films versus stoichiometry and excitation light energy. J. Electron. Mat. 2018, 47, 3927–3933. [Google Scholar] [CrossRef]
- Liu, Q.; Chen, X.; Li, H.; Guo, Y.; Song, J.; Zhang, W.; Song, C.; Huang, R.; Lin, Z. Effect of Thermal Annealing on the Photoluminescence of Dense Si Nanodots Embedded in Amorphous Silicon Nitride Films. Micromachines 2021, 12, 354. [Google Scholar] [CrossRef] [PubMed]
- Tiour, F.; Benyahia, B.; Brihi, N.; Sari, A.; Mahmoudi, B.; Manseri, A.; Guenda, A. Opto-structural properties of Si-rich SiNx with different stoichiometry. Appl. Phys. A 2020, 126, 59. [Google Scholar] [CrossRef]
- Xu, W.; Tang, H.; Zhang, Q.; Zhou, N.; Shen, Y. Room-temperature deposition of low H-content SiNx/SiNxOy thin films using a specially designed PECVD system. Surf. Coatings Technol. 2020, 402, 126506. [Google Scholar] [CrossRef]
- Hang, L.; Liu, W.; Xu, J.; Yang, C.; Zhou, S. Effects of various substrate materials on microstructural and optical properties of amorphous silicon oxynitride thin films deposited by plasma-enhanced chemical vapor deposition. Thin Solid Films 2020, 709, 138186. [Google Scholar] [CrossRef]
- Hegedüs, N.; Balázsi, C.; Kolonits, T.; Olasz, D.; Sáfrán, G.; Serényi, M.; Balázsi, K. Investigation of the RF Sputtering Process and the Properties of Deposited Silicon Oxynitride Layers under Varying Reactive Gas Conditions. Materials 2022, 15, 6313. [Google Scholar] [CrossRef] [PubMed]
- Zhang, P.; Zhang, L.; Wu, Y.; Wang, S.; Ge, X. High photoluminescence quantum yields generated from N-Si-O bonding states in amorphous silicon oxynitride films: Erratum. Optics Express 2022, 30, 40626. [Google Scholar] [CrossRef] [PubMed]
- Ma, H.P.; Lu, H.L.; Yang, J.H.; Li, X.X.; Wang, T.; Huang, W.; Yuan, G.J.; Komarov, F.; Zhang, D. Measurements of microstructural, chemical, optical, and electrical properties of silicon-oxygen-nitrogen films prepared by plasma-enhanced atomic layer deposition. Nanomaterials 2018, 8, 1008. [Google Scholar] [CrossRef] [PubMed]
- Nakajima, A.; Sugita, Y.; Kawamura, K.; Tomita, H.; Yok, N. Oyama, Microstructure and optical absorption properties of Si nanocrystals fabricated with low-pressure chemical-vapor deposition. J. Appl. Phys. 1996, 80, 4006–4011. [Google Scholar] [CrossRef]
- Singh, J. Effective mass of charge carriers in amorphous semiconductors and its applications. J. Non-Cryst. Solids 2002, 299–302, 444–448. [Google Scholar]
- Song, C.; Huang, R.; Wang, X.; Guo, Y.Q.; Song, J. Tunable red light emission from a-Si: H/a-SiNx multilayers. Opt. Materials Express 2013, 3, 664–670. [Google Scholar] [CrossRef]
- Kato, H.; Kashio, N.; Ohki, Y.; Seol, K.S.; Noma, T. Band-tail photoluminescence in hydrogenated amorphous silicon oxynitride and silicon nitride films. J. Appl. Phys. 2003, 93, 239–244. [Google Scholar] [CrossRef]
- Wang, M.; Xie, M.; Ferraioli, L.; Yuan, Z.; Li, D.; Yang, D.; Pavesi, L. Light emission properties and mechanism of low-temperature prepared amorphous SiNx films. I. Room-temperature band tail states photoluminescence. J. Appl. Phys. 2008, 104, 083504. [Google Scholar] [CrossRef]







| Sample | SiOxNy:H Sublayer | a-Si Sublayer | ||||||
|---|---|---|---|---|---|---|---|---|
| SiH4 (sccm) | NH3 (sccm) | O2 (sccm) | [O/N] | Thickness (nm) | SiH4 (sccm) | H2 (sccm) | Thickness (nm) | |
| A | 2.5 | 15 | - | 0 | 4 | 1.5 | 160 | 4 |
| B | 2.5 | 15 | 1.5 | 0.2 | 4 | 1.5 | 160 | 4 |
| C | 2.5 | 10 | 5 | 1 | 4 | 1.5 | 160 | 4 |
| D | 2.5 | 5 | 10 | 4 | 4 | 1.5 | 160 | 4 |
| E | 2.5 | 15 | - | 0 | 4 | 1.5 | 160 | 3 |
| F | 2.5 | 15 | - | 0 | 4 | 1.5 | 160 | 2 |
| G | 2.5 | 15 | - | 0 | 4 | 1.5 | 160 | 1.5 |
| H | 2.5 | 15 | 1.5 | 0.2 | 4 | 1.5 | 160 | 3 |
| I | 2.5 | 15 | 1.5 | 0.2 | 4 | 1.5 | 160 | 2 |
| J | 2.5 | 15 | 1.5 | 0.2 | 4 | 1.5 | 160 | 1.5 |
| K | 2.5 | 10 | 5 | 1 | 4 | 1.5 | 160 | 3 |
| L | 2.5 | 10 | 5 | 1 | 4 | 1.5 | 160 | 2 |
| M | 2.5 | 10 | 5 | 1 | 4 | 1.5 | 160 | 1.5 |
| N | 2.5 | 5 | 10 | 4 | 4 | 1.5 | 160 | 3 |
| O | 2.5 | 5 | 10 | 4 | 4 | 1.5 | 160 | 2 |
| P | 2.5 | 5 | 10 | 4 | 4 | 1.5 | 160 | 1.5 |
Disclaimer/Publisher’s Note: The statements, opinions and data contained in all publications are solely those of the individual author(s) and contributor(s) and not of MDPI and/or the editor(s). MDPI and/or the editor(s) disclaim responsibility for any injury to people or property resulting from any ideas, methods, instructions or products referred to in the content. |
© 2024 by the authors. Licensee MDPI, Basel, Switzerland. This article is an open access article distributed under the terms and conditions of the Creative Commons Attribution (CC BY) license (https://creativecommons.org/licenses/by/4.0/).
Share and Cite
Song, C.; Song, J.; Wang, X. Interface and Size Effects of Amorphous Si/Amorphous Silicon Oxynitride Multilayer Structures on the Photoluminescence Spectrum. Coatings 2024, 14, 977. https://doi.org/10.3390/coatings14080977
Song C, Song J, Wang X. Interface and Size Effects of Amorphous Si/Amorphous Silicon Oxynitride Multilayer Structures on the Photoluminescence Spectrum. Coatings. 2024; 14(8):977. https://doi.org/10.3390/coatings14080977
Chicago/Turabian StyleSong, Chao, Jie Song, and Xiang Wang. 2024. "Interface and Size Effects of Amorphous Si/Amorphous Silicon Oxynitride Multilayer Structures on the Photoluminescence Spectrum" Coatings 14, no. 8: 977. https://doi.org/10.3390/coatings14080977
APA StyleSong, C., Song, J., & Wang, X. (2024). Interface and Size Effects of Amorphous Si/Amorphous Silicon Oxynitride Multilayer Structures on the Photoluminescence Spectrum. Coatings, 14(8), 977. https://doi.org/10.3390/coatings14080977
