Effect of Trace Elements on the Thermal Stability and Electrical Conductivity of Pure Copper
Abstract
1. Introduction
2. Experimental Methods
3. Results and Analyses
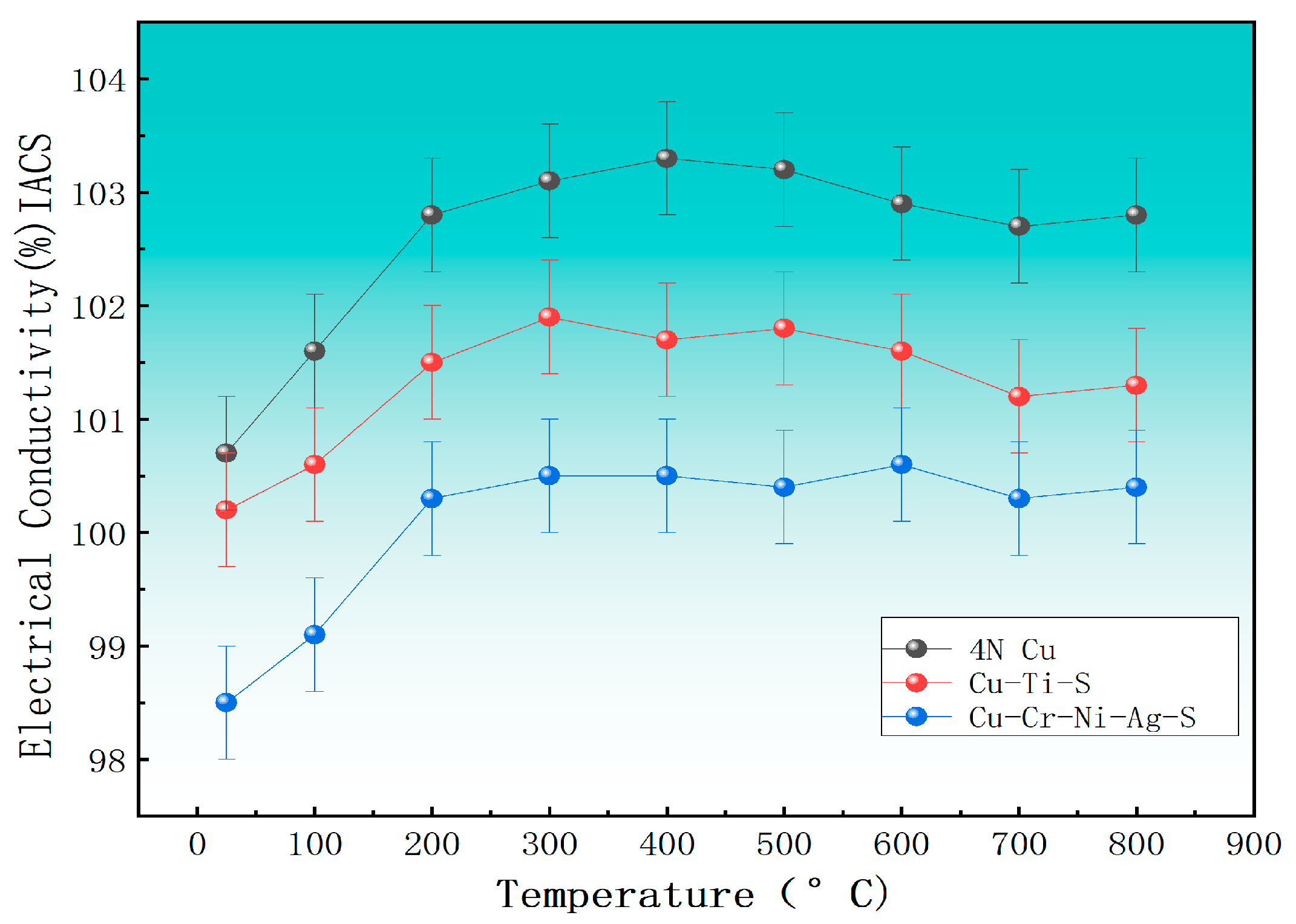
3.1. Effect of Trace Element Interactions on the Electrical Conductivity of Pure Copper
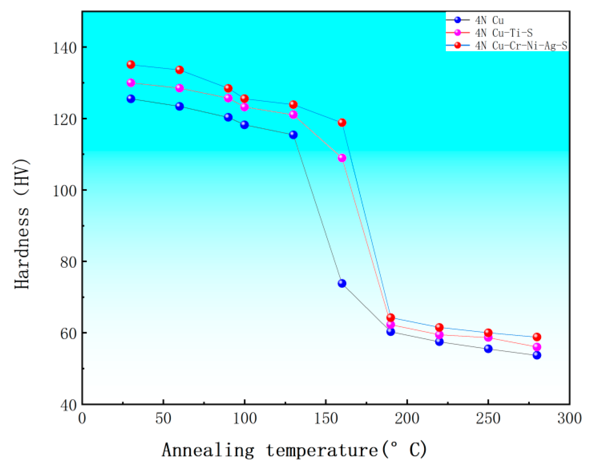
3.2. Effect of Trace Elements on Thermal Stability
3.3. Changes in Recrystallization Temperature
3.4. Analysis of the Existence Form of Trace Elements
4. Conclusions
- After the addition of trace elements, the conductivity of pure copper remains high, especially the conductivity of the Cu-Ti-S sample, essentially equivalent to that of the Cu sample. The conductivities of 4N Cu, 4N Cu-Ti-S, and 4N Cu-Cr-Ni-Ag-S are 100.7% IACS, 100.2% IACS, and 98.5% IACS, respectively. This can be primarily attributed to the fact that trace transition elements Ti and Cr can react with S in copper to form the TiS phase and CrS phase, effectively reducing the solid solution of trace elements in the copper matrix and minimizing electron wave scattering, thus having little impact on electrical conductivity. However, a significant decrease in electrical conductivity was observed for 4N Cu-Cr-Ni-Ag-S due to the solid solution of trace Ni and Ag elements.
- The thermal stability of grain size in cold-rolled pure copper can be significantly improved by adding trace elements, with the order of thermal stability being Cu-Cr-Ni-Ag-S > Cu-Ti-S > Cu. Following heat treatment at 900 °C/30 min, the average grain sizes of 4N Cu, 4N Cu-Ti-S, and 4N Cu-Cr-Ni-Ag-S were 200.24 μm, 83.83 μm, and 31.08 μm, respectively. In particular, the cold-rolled 4N Cu-Cr-Ni-Ag exhibited the best thermal stability with a grain size of 31.08 μm after high-temperature treatment.
- The enhancement of thermal stability following the addition of trace elements is primarily attributed to the pinning effect of TiS and CrS phases, as well as the solute drag exerted by Ni and Ag. The trace elements Ti and Cr can react with an impurity element, S, to form the hexagonal-structure TiS phase and monoclinic-structure CrS phase, which are distributed at the grain boundary and within the grain boundary. They exhibit a non-coherent relationship with the copper matrix interface, producing strong pinning force at high temperature and hindering grain boundary migration. In particular, CrS is smaller and more numerous than TiS, which contributes to enhancing the thermal stability of pure copper. Additionally, trace Ni and Ag solid solutions in copper can produce a solute drag effect that further improves its thermal stability.
Author Contributions
Funding
Institutional Review Board Statement
Informed Consent Statement
Data Availability Statement
Conflicts of Interest
References
- Gao, Y.M.; Liu, Y.; Feng, K.J.; Ma, J.Q.; Miao, Y.J.; Xu, B.R.; Pan, K.M.; Akiyoshi, O.; Wang, G.X.; Zhang, K.K.; et al. Emerging WS2/WSe2@graphene nanocomposites: Synthesis and electrochemical energy storage applications. Rare Met. 2024, 43, 1–19. [Google Scholar] [CrossRef]
- Liu, Y.; Feng, K.; Han, J.; Wang, F.; Xing, Y.; Tao, F.; Li, H.; Xu, B.; Ji, J.; Li, H. Regulation of Zn2+ solvation shell by a novel N-methylacetamide based eutectic electrolyte toward high-performance zinc-ion batteries. J. Mater. Sci. Technol. 2025, 211, 53–61. [Google Scholar] [CrossRef]
- Li, T.; Wang, Y.; Yang, M.; Hou, H.; Wu, S. High strength and conductivity copper/graphene composites prepared by severe plastic deformation of graphene coated copper powder. Mater. Sci. Eng. A 2021, 826, 141983. [Google Scholar] [CrossRef]
- Zhou, X.; Hu, Z.; Yi, D. Enhancing the oxidation resistance and electrical conductivity of alumina reinforced copper-based composites via introducing Ag and annealing treatment. J. Alloys Compd. 2019, 787, 786–793. [Google Scholar] [CrossRef]
- Li, Z.; Xiao, Z.; Jiang, Y.B.; Lei, Q.; Xie, J.X. Composition design, phase transition and fabrication of copper alloys with high strength and electrical conductivity. Chin. J. Nonferrous Met. 2019, 29, 2009–2049. [Google Scholar]
- Lin, H.R.; Shao, H.F.; Zhang, Z.J.; Yang, H.J.; Sun, J.C.; Zhang, L.B.; Zhang, Z.F. Stress relaxation behaviors and mechanical properties of precipitation strengthening copper alloys. J. Alloys Compd. 2021, 861, 158537. [Google Scholar] [CrossRef]
- Akhtar, S.S.; Kareem, L.T.; Arif, A.F.M.; Siddiqui, M.U.; Hakeem, A.S. Development of a ceramic-based composite for direct bonded copper substrate. Ceram. Int. 2017, 43, 5236–5246. [Google Scholar] [CrossRef]
- Gao, W.; Belyakov, A.; Miura, H.; Sakai, T. Dynamic recrystallization of copper polycrystals with different purities. Mater. Sci. Eng. A 1999, 265, 233–239. [Google Scholar] [CrossRef]
- Orlova, D.K.; Chashchukhina, T.I.; Voronova, L.M.; Degtyarev, M.V.; Krasnoperova, Y.G. Effect of impurities on dynamic recrystallization in copper deformed in bridgman anvils. Diagn. Resour. Mech. Mater. Struct. 2015, 90–98. [Google Scholar] [CrossRef]
- Jakani, S.; Baudin, T.; de Novion, C.H.; Mathon, M.H. Effect of impurities on the recrystallization texture in commercially pure copper-ETP wires. Mater. Sci. Eng. A 2007, 456, 261–269. [Google Scholar] [CrossRef]
- Chen, B.; Wang, D.; Jin, H. Study of pure copper ceramic CCL fabrication using two-step magnetron sputtering. VACCUM 2016, 53, 22–24. [Google Scholar]
- Lu, Q.; Liu, Y.K.; Qiao, Z.Z.; Liu, L.J.; Gao, L. Research status and new progress of ceramic substrate. Semicond. Technol. 2021, 46, 257–268. [Google Scholar]
- Qin, D.C.; Li, B.Z.; Xiao, Y.L. Research situation and development trend of ceramic metallization. Mater. Rep. 2017, 31, 277–281. [Google Scholar]
- Fan, B.; Zhao, L.; Xie, Z. Progress in research and application of joining of ceramics and metals. J. Ceram. 2020, 41, 9–21. [Google Scholar]
- Liu, A.; Lu, C.; Duan, G. Application of High Performance Copper Alloy Strip in Automotive Connectors. Copp. Eng. 2018, 2, 13–16. [Google Scholar]
- Zhu, M.; Guo, X. Study on softening resistance of pure copper. China Met. Bull. 2020, 6, 88–89. [Google Scholar]
- Li, M.; Zhang, Y.; Wang, W. Effects of trace hafnium on microstructure and properties of copper and copper-chromium alloys. Heat Treat. Met. 2018, 43, 23–30. [Google Scholar]
- Atwater, M.A.; Roy, D.; Darling, K.A.; Butler, B.G.; Scattergood, R.O.; Koch, C.C. The thermal stability of nanocrystalline copper cryogenically milled with tungsten. Mater. Sci. Eng. A 2012, 558, 226–233. [Google Scholar] [CrossRef]
- Lu, T.; Chen, C.; Li, P.; Zhang, C.; Han, W.; Zhou, Y.; Suryanarayana, C.; Guo, Z. Enhanced mechanical and electrical properties of in situ synthesized nano-tungsten dispersion-strengthened copper alloy. Mater. Sci. Eng. A 2021, 799, 140161. [Google Scholar] [CrossRef]
- Rajkovic, V.; Bozic, D.; Jovanovic, M.T. Effects of copper and Al2O3 particles on characteristics of Cu–Al2O3 composites. Mater. Des. 2010, 31, 1962–1970. [Google Scholar] [CrossRef]
- Yuan, Y.; Tang, W. Microstructure and properties of Cu-Al2O3 dispersion strengthened copper alloy contact wire. Trans. Mater. Heat Treat. 2020, 41, 33–38. [Google Scholar]
- Cheng, J.; Wang, M. Research status of dispersion strengthened copper alloys with high strength, high conductivity and high heat resistance. Mater. Rep. 2004, 2, 38–41. [Google Scholar]
- Chen, Y.; Wei, M.; Duan, P.; Liu, P. Effect of different microalloying elements on microstructure and properties of Cu-Cr-Zr alloy. Spec. Cast. Nonferrous Alloys 2007, 5, 404–406+328. [Google Scholar]
- Fang, H.; Liu, P.; Chen, X.; Zhou, H.; Fu, S.; Liu, K.; Liu, H.; Guo, W. Effect of Ti addition on the microstructure and properties of Cu–Cr alloy. Mater. Sci. Technol. 2021, 37, 672–681. [Google Scholar] [CrossRef]
- Peng, H.; Xie, W.; Chen, H.; Wang, H.; Yang, B. Effect of micro-alloying element Ti on mechanical properties of Cu–Cr alloy. J. Alloys Compd. 2021, 852, 157004. [Google Scholar] [CrossRef]
- Anderson, K.R.; Groza, J.R.; Dreshfield, R.L.; Ellis, D. Microstructural evolution and thermal stability of precipitation-strengthened Cu-8Cr-4Nb alloy. Mater. Sci. Eng. A 1993, 169, 167–175. [Google Scholar] [CrossRef]
- Peng, L.M.; Mao, X.M.; Xu, K.D.; Ding, W.J. Property and thermal stability of in situ composite Cu–Cr alloy contact cable. J. Mater. Process. Tech. 2004, 166, 193–198. [Google Scholar] [CrossRef]
- Zhang, Z.Y.; Sun, L.X.; Tao, N.R. Raising thermal stability of nanograins in a CuCrZr alloy by precipitates on grain boundaries. J. Alloys Compd. 2021, 867, 159016. [Google Scholar] [CrossRef]
- Eguchi, H.; Arai, M.; Fujii, S.; Fujita, M.; Takayama, Y. Effect of Ag Content on Grain Growth during Reversion in Precipitation Hardened Cu-Cr-Zr-Ag Alloys. In Proceedings of the 8th Pacific Rim International Congress on Advanced Materials and Processing, Waikoloa, HI, USA, 4–9 August 2013; Springer International Publishing: Cham, Switzerland, 2016; pp. 2277–2284. [Google Scholar]
- Li, X.; Deng, J.; Fu, H.; Chen, J. A study of process on improving heat resistance of copper strip. Nonferrous Met. Process. 2014, 43, 25–29. [Google Scholar]
- Toguchi, S.; Yamamoto, Y.; Kodama, K.; Kato, K.; Konochi, T. Oxygen-Free Copper Plate and Ceramic Wiring Substrate. Patent CN201810564074.6, 30 October 2020. [Google Scholar]
- Suzuki, H.; Kanno, M.; Maeda, T. Effects of a Small Addition of Transition Elements on the Heat-Resisting and Electrical Properties of Cold-Worked Pure Copper. J. Jpn. Inst. Met. 1984, 48, 209–213. [Google Scholar] [CrossRef]
- Hori, S.; Tai, H.; Katayama, H. Recrystallization Temperatures of Dilute Copper Alloys. Nippon. Kinzoku Gakkaishi 1981, 45, 1223–1228. [Google Scholar]
- Suzuki, H.; Kanno, M. Increase of recrystallization rate of pure copper by the trace addition of Ti, Zr or V. Tetsu-Hagané 1984, 70, 1977–1983. [Google Scholar] [CrossRef] [PubMed]
- Suzuki, H.; Kanno, M. Effect of a small addition of transition elements on annealing characteristics of cold-worked pure copper. Trans. Jpn. Inst. Met. 1985, 26, 69–77. [Google Scholar] [CrossRef]
- Chiu, W.L.; Hung, Y.T.; Lee, O.H.; Ou-Yang, T.Y.; Chang, H.H.; Lo, W.C. Improvement of nanotwinned copper thermal stability for high temperature heterogeneous integration. In Proceedings of the 2021 International Symposium on VLSI Technology, Systems and Applications (VLSI-TSA), Hsinchu, Taiwan, 19–22 April 2021; IEEE: New York, NY, USA, 2021; pp. 1–2. [Google Scholar]
- Woo, P. Thermal Stability of Nanocrystalline Copper for Potential Use in Printed Wiring Board Applicatoins. Ph.D. Thesis, University of Toronto, Toronto, ON, Canada, 2011. [Google Scholar]
- Li, W.; Shen, Y.; Xie, C. High thermal stability of submicron grained Cu processed by asymmetrical rolling. Mater. Des. 2016, 105, 404–410. [Google Scholar] [CrossRef]
- Kuroda, Y.; Jiu, J.; Sasakawa, Y.; Aoyama, Z. Manufacturing Method of Low Concentration Copper Alloy Material and Low Concentration Copper Alloy Material with Excellent Hydrogen Embrittlement Resistance. Patent CN201110326773.5, 30 March 2016. [Google Scholar]
- Ren, J.; Meng, Q.; Wang, Y.; Zhao, J.; Zang, J.; Zeng, L.; Pan, F. The Production Method and Equipment of Grain Coarsening Resistant Copper Ingot and Grain Coarsening Resistant Copper . Patent CN202111609219.8, 1 August 2022. [Google Scholar]
- Bikowski, A.; Ellmer, K. Analytical model of electron transport in polycrystalline, degenerately doped ZnO films. J. Appl. Phys. 2014, 116, 143704. [Google Scholar] [CrossRef]
- Ishibe, T.; Tomeda, A.; Watanabe, K.; Kamakura, Y.; Mori, N.; Naruse, N.; Mera, Y.; Yamashita, Y.; Nakamura, Y. Methodology of thermoelectric power factor enhancement by controlling nanowire interface. ACS Appl. Mater. Interfaces 2018, 10, 37709–37716. [Google Scholar] [CrossRef]
- Aoyama, S.; Kanno, M. Effects of small additions of lead, sulphur and oxygen on annealing characteristics of cold-drawn pure copper. J. Mater. Sci. 1996, 31, 2393–2399. [Google Scholar] [CrossRef]
















| No. | Ti | Cr | Ni | Ag | S | Cu |
|---|---|---|---|---|---|---|
| Cu | <0.0001 | <0.0001 | 0.0001 | 0.0011 | 0.0010 | Bal. |
| Cu-Ti-S | 0.0035 | - | - | - | 0.0039 | Bal. |
| Cu-Cr-Ni-Ag-S | - | 0.0036 | 0.0088 | 0.0030 | 0.0036 | Bal. |
Disclaimer/Publisher’s Note: The statements, opinions and data contained in all publications are solely those of the individual author(s) and contributor(s) and not of MDPI and/or the editor(s). MDPI and/or the editor(s) disclaim responsibility for any injury to people or property resulting from any ideas, methods, instructions or products referred to in the content. |
© 2024 by the authors. Licensee MDPI, Basel, Switzerland. This article is an open access article distributed under the terms and conditions of the Creative Commons Attribution (CC BY) license (https://creativecommons.org/licenses/by/4.0/).
Share and Cite
Liu, H.; Dong, J.; Liang, S.; Li, W.; Liu, Y. Effect of Trace Elements on the Thermal Stability and Electrical Conductivity of Pure Copper. Coatings 2024, 14, 1017. https://doi.org/10.3390/coatings14081017
Liu H, Dong J, Liang S, Li W, Liu Y. Effect of Trace Elements on the Thermal Stability and Electrical Conductivity of Pure Copper. Coatings. 2024; 14(8):1017. https://doi.org/10.3390/coatings14081017
Chicago/Turabian StyleLiu, Haitao, Jincan Dong, Shijun Liang, Weiqiang Li, and Yong Liu. 2024. "Effect of Trace Elements on the Thermal Stability and Electrical Conductivity of Pure Copper" Coatings 14, no. 8: 1017. https://doi.org/10.3390/coatings14081017
APA StyleLiu, H., Dong, J., Liang, S., Li, W., & Liu, Y. (2024). Effect of Trace Elements on the Thermal Stability and Electrical Conductivity of Pure Copper. Coatings, 14(8), 1017. https://doi.org/10.3390/coatings14081017

