High-Quality 4H-SiC Homogeneous Epitaxy via Homemade Horizontal Hot-Wall Reactor
Abstract
1. Introduction
2. Experiments
3. Results and Discussion
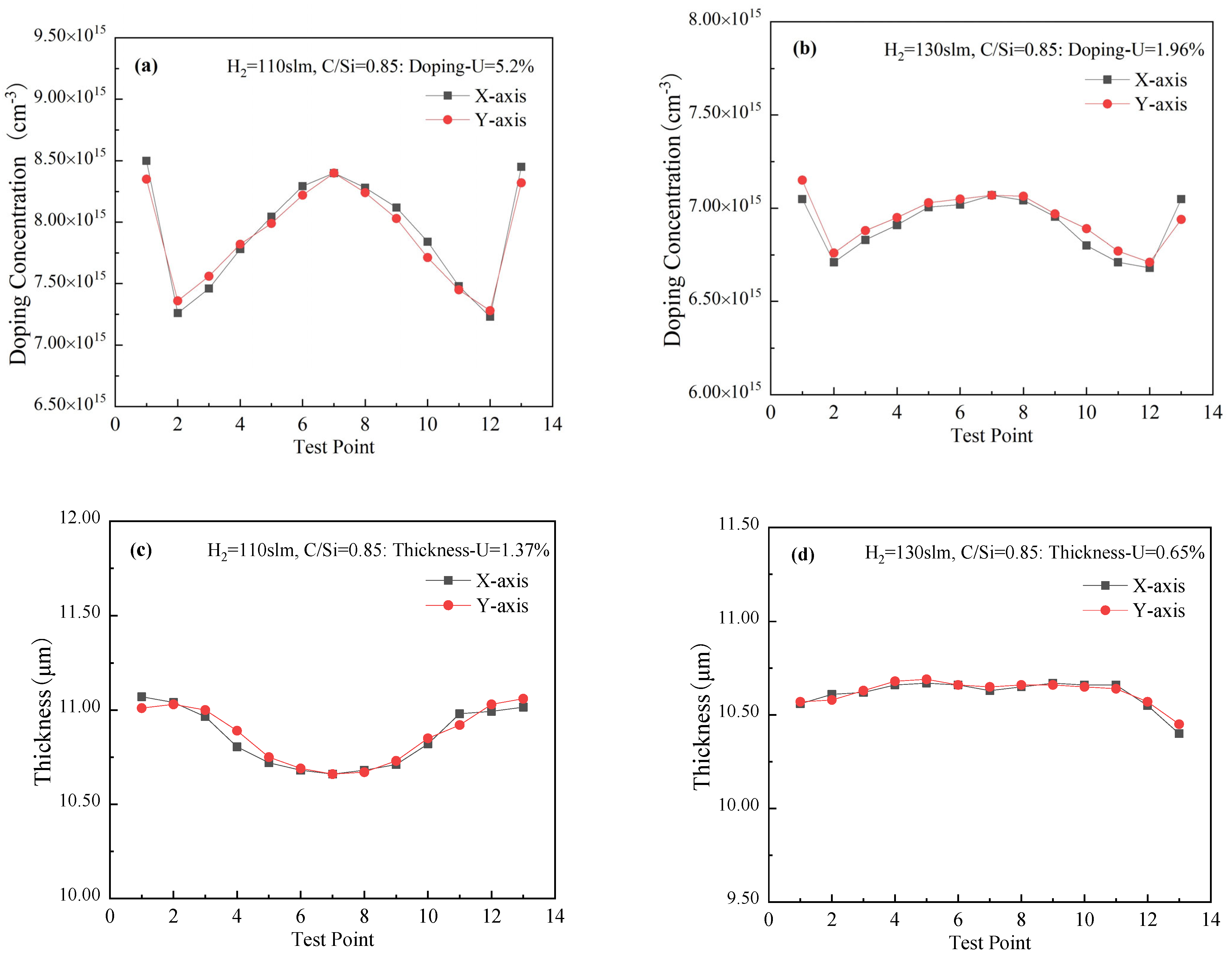
3.1. The Impact of Carrier Gas Flow Rate on Doping Uniformity of Epitaxial Layers
3.2. The Influence of the C/Si Ratio on the Surface Roughness and Doping Uniformity of the SiC Epitaxial Layer
3.3. Effect of C/Si Ratio on the Doping Uniformity and the Growth Rate of the Epitaxial Layer
4. Conclusions
Author Contributions
Funding
Institutional Review Board Statement
Informed Consent Statement
Data Availability Statement
Conflicts of Interest
References
- Veliadis, V. SiC Mass Commercialization: Present Status and Barriers to Overcome. Mater. Sci. Forum 2022, 1062, 125–130. [Google Scholar] [CrossRef]
- Gu, N.; Yang, J.; Jian, J.; Song, H.; Chen, X. Characterization and formation mechanism of short step-bunching defects on 4H-SiC thick homoepitaxial films. J. Cryst. Growth 2024, 634, 127677. [Google Scholar] [CrossRef]
- Tsunenobu, K. High-voltage SiC power devices for improved energy efficiency. Proc. Jpn. Acad. Scr. B. 2022, 98, 161–189. [Google Scholar]
- Zekentes, K.; Veliadis, V.; Ryu, S.; Vasilevskiy, K.; Pavlidis, S.; Salemi, A.; Zhang, Y. SiC and GaN Power Devices. In More-Than-Moore Devices and Integration for Semiconductors; Iacopi, F., Ed.; Springer: Cham, Switzerland, 2023; pp. 47–91. [Google Scholar]
- Lee, K.Y. The Applications of SiC Power Devices in Renewable Energy and EV. In Proceedings of the 2022 International Symposium on VLSI Design, Automation and Test (VLSI-DAT), Taiwan, China, 18–21 April 2022; p. 1. [Google Scholar]
- Ha, S.; Mieszkowski, P.; Skowronski, M.; Rowland, L.B. Dislocation conversion in 4H silicon carbide epitaxy. J. Cryst. Growth 2004, 244, 257–266. [Google Scholar] [CrossRef]
- Hiroyuki, M.; Kimoto, T. Step-controlled epitaxial growth of SiC: High quality homoepitaxy. Mat. Sci. Eng. 1997, R.20, 125–166. [Google Scholar]
- Akira, I.; Hironobu, A.; Tsunenobu, K.; Hiroyuki, M. High-quality 4H-SiC homoepitaxial layers grown by step-controlled epitaxy. Appl. Phys. Lett. 1994, 65, 1400–1402. [Google Scholar]
- Chung, G.; Loboda, M.J.; Zhang, J.; Wan, J.W.; Carlson, E.P.; Toth, T.J.; Stahlbush, R.E.; Skowronski, M.; Berechman, R.; Sundaresan, S.G.; et al. 4H-SiC epitaxy with very smooth surface and low basal plane dislocation on 4 degree off-axis wafer. Mater. Sci. Forum 2011, 679–680, 123–126. [Google Scholar] [CrossRef]
- Gu, J.; Ju, J.; Wang, R.; Li, J.; Yu, H.; Wang, K. Effects of Laser Scanning Rate and Ti Content on Wear of Novel Fe-Cr-B-Al-Ti Coating Prepared via Laser Cladding. J. Therm. Spray Technol. 2022, 31, 2609–2620. [Google Scholar] [CrossRef]
- Kordina, O.; Hallin, C.; Henry, A.; Bergman, J.P.; Ivanov, I.; Ellison, A.; Son, N.T.; Janzén, E. Growth of SiC by hot-wall CVD and HTCVD. Phys. Status Solidi B 1997, 202, 321–334. [Google Scholar] [CrossRef]
- Burk, A.A.; Tsvetkov, D.; Barnhardt, D.; O’Loughlin, M.J.; Garrett, L.; Towner, P.; Seaman, J.; Deyneka, E.; Khlebnikov, Y.; Palmour, J. SiC epitaxial layer growth in 6×150 mm warm-wall planetary reactor. Mater. Sci. Forum 2012, 717–720, 75–80. [Google Scholar] [CrossRef]
- Wang, K.; Liu, W.; Li, X.; Tong, Y.; Hu, Y.; Hu, H.; Chang, B.; Ju, J. Effect of hot isostatic pressing on microstructure and properties of high chromium K648 superalloy manufacturing by extreme high-speed laser metal deposition. J. Mater. Res. Technol. 2024, 28, 3951–3959. [Google Scholar] [CrossRef]
- Tsuchida, H.; Kamata, I.; Miyazawa, T.; Ito, M.; Zhang, X.; Nagano, M. Recent advances in 4H-SiC epitaxy for high-voltage power devices. Mat. Sci. Semicon. Proc. 2018, 78, 2–12. [Google Scholar] [CrossRef]
- Song, B.; Gao, B.; Han, P.; Yu, Y.; Tang, X. Numerical simulation of gas phase reaction for epitaxial chemical vapor deposition of silicon carbide by methyltrichlorosilane in horizontal hot-wall reactor. Materials 2021, 14, 24. [Google Scholar] [CrossRef] [PubMed]
- Tang, Z.; Gu, L.; Jin, L.; Dai, K.; Mao, C.; Wu, S.; Zhang, R.; Yang, J.; Ying, J.; Fan, J.; et al. Insights into the effect of susceptor rotational speed in CVD reactor on the quality of 4H-SiC epitaxial layer on homogeneous substrates. Mater. Today Commun. 2024, 38, 108037. [Google Scholar] [CrossRef]
- Kudou, C.; Tamura, K.; Nishio, J.; Masumoto, K.; Kojima, K.; Ohno, T. Dependence of the growth parameters on the in-plane distribution of 150 mm φ size SiC epitaxial wafer. Mater. Sci. Forum 2014, 778–780, 139–142. [Google Scholar] [CrossRef]
- Albert, M.P.; Combs, J.F. Thickness Measurement of Epitaxial Films by the Infrared Interference Method. J. Electrochem. Soc. 1962, 9, 109. [Google Scholar] [CrossRef]
- ASTM F95-89; Standard Test Method for Thickness of Lightly Doped Silicon Epitaxial Layers on Heavily Doped Silicon Substrates Using an Infrared Dispersive Spectrophotometer. ASTM: West Conshohocken, PA, USA, 2000.
- Czett, A.; Buday, C.; Savtchouk, S.; Marinskiy, D. Non-contact high precision alternative to Hg-probe for dopant profiling in SiC. Phys. Status Solidi C 2014, 11, 1601–1605. [Google Scholar] [CrossRef]
- Wilson, M.; Marinskiy, D.; Savtchouk, A.; Almeida, C.; Schrayer, B.; Lagowski, J. Characterization of gallium oxide with a novel non-contact electrical metrology, CnCV, for wide bandgap semiconductors. Meet. Abstr. MA 2022, 2022–01, 1324. [Google Scholar] [CrossRef]
- Marinskiy, D.; Savtchouk, A. A novel approach to measuring doping in SiC by micro spot corona-Kelvin method. Mater. Sci. Forum 2015, 821–823, 273–276. [Google Scholar] [CrossRef]
- Findlay, A.D.; Wilson, M.; Savtchouk, A.; D’Amico1, J.; Lagowski, J.; Hillard, R. Recent advancement in charge and photo-assisted non-contact electrical characterization of SiC, GaN, and AlGaN/GaN HEMT. ECS Trans. 2017, 80, 261. [Google Scholar] [CrossRef]
- Savtchouk, A.; Wilson; Damico, J.; Almeida, C.; Lagowski, J. Improved high precision dopant/carrier concentration profiling with corona-charge con-contact C-V (CnCV). Mater. Sci. Forum 2020, 1004, 237–242. [Google Scholar] [CrossRef]
- Pushkarev, V.; Rana, T.; Gave, M.; Sanchez, E.; Savtchouk, A.; Wilson, M.; Marinskiy, D.; Lagowski, J. Optimizing non-contact doping and electrical defect metrology for production of SiC epitaxial wafers. SSP 2023, 342, 99–104. [Google Scholar] [CrossRef]
- Savtchouk, A.; Wilson, M.; Marinskiy, D.; Schrayer, B.; Almeida, C.; Lagowski, J. Recent progress in non-nontact electrical characterization for SiC and related compounds. Mater. Sci. Forum 2023, 1089, 51–56. [Google Scholar] [CrossRef]
- Schroder, D.K. Semiconductor Material and Device Characterization; John Wiley & Sons, Inc.: Hoboken, NJ, USA, 2006; pp. 61–63. [Google Scholar]
- Imaging Update Group. KLA-Tencor has Adopted Candela Inspection System. Imaging Update 2011, 11, 22. [Google Scholar]
- Cui, Y.; Li, J.; Zhou, K.; Zhang, X.; Sun, G. Influence of extended defects and oval shaped facet on the minority carrier lifetime distribution in as-grown 4H-SiC epilayers. Diam. Relat. Mater. 2019, 92, 25–31. [Google Scholar] [CrossRef]
- Niu, Y.; Tang, X.; Wu, P.; Kong, L.; Li, Y.; Xia, J.; Tian, H.; Tian, L.; Tian, L.X.; Zhang, W.; et al. Effect of growth rate on morphology evolution of 4H-SiC thick homoepitaxial layers. J. Cryst. Growth 2018, 507, 143–145. [Google Scholar] [CrossRef]
- Kudou, C.; Tamura, K.; Aigo, T.; Ito, W.; Nishio, J.; Kojima, K.; Ohno, T. Dependence of 4H-SiC epitaxial layer quality on growth conditions with wafer size corresponding to 150 mm. Mater. Res. Soc. Symp. Proc. 2022, 1433, 59–64. [Google Scholar] [CrossRef]
- Mauceri, M.; Pecora, A.; Litrico, G.; Vecchio, C.; Puglisi, M.; Crippa, D.; Piluso, N.; Camarda, M.; Via, F.L. 4H-SiC epitaxial layer grown on 150 mm automatic horizontal hot wall reactor PE106. Mater. Sci. Forum 2014, 778–780, 121–124. [Google Scholar] [CrossRef]
- Hecht, C.; Stein, R.; Thomas, B.; Wehrhahn-Kilian, L.; Rosberg, J.; Kitahata, H.; Wischmeyer, F. High-performance multi-wafer SiC epitaxy -first results of using a 10 × 100mm reactor. Mater. Sci. Forum 2010, 645–648, 89–94. [Google Scholar] [CrossRef]
- Zhang, J.; Mazzola, J.; Hoff, C.; Koshka, Y.; Casady, J. High Growth Rate (up to 20 µm/h) SiC epitaxy in a horizontal hot-wall reactor. Mater. Sci. Forum 2005, 483–485, 77–80. [Google Scholar] [CrossRef]
- Ito, M.; Storasta, L.; Tsuchida, H. Development of a High Rate 4H-SiC Epitaxial Growth Technique Achieving Large-Area Uniformity. Mater. Sci. Forum 2009, 600–603, 111–114. [Google Scholar] [CrossRef]
- Larkin, D.J.; Neudeck, P.G.; Powell, J.A.; Lawrence, G.M. Site-competition epitaxy for superior silicon carbide electronics. Appl. Phys. Lett. 1994, 65, 1659–1661. [Google Scholar] [CrossRef]
- Ji, W.; Lofgren, P.M.; Hallin, C.; Gu, C.Y.; Zhou, G. Computational modeling of SiC epitaxial growth in a hot wall reactor. J. Cryst. Growth 2000, 220, 560–571. [Google Scholar] [CrossRef]
- Schöner, A.; Sugiyama, N.; Takeuchi, Y.; Malhan, R.K. In situ nitrogen and aluminum doping in migration enhanced embedded epitaxial growth of 4H-SiC. Mater. Sci. Forum 2009, 600–603, 175–178. [Google Scholar] [CrossRef]
- Ferro, G.; Chaussende, D. Revisiting the site-competition doping of 4H-SiC: Cases of N and Al. Mater. Sci. Forum 2020, 1004, 96–101. [Google Scholar] [CrossRef]
- Zhang, J.; Ellison, A.; Henry, A.; Linnarssonb, M.K.; Janzén, E. Nitrogen incorporation during 4H-SiC epitaxy in a chimney CVD reactor. J. Cryst. Growth 2001, 226, 267–276. [Google Scholar] [CrossRef]
- Tang, Z.; Gu, L.; Ma, H.; Mao, C.; Wu, S.; Zhang, N.; Huang, J.; Fan, J. Influence of temperature and flow ratio on the morphology and uniformity of 4H-SiC epitaxial layers growth on 150 mm 4°off-axis substrates. Crystals 2023, 13, 62. [Google Scholar] [CrossRef]
- Tang, Z.; Zhao, S.; Li, J.; Zuo, Y.; Tian, J.; Tang, H.; Fan, J.; Zhang, G. Optimizing the chemical vapor deposition process of 4H-SiC epitaxial layer growth with machine-learning-assisted multiphysics simulations. Case Stud. Therm. Eng. 2024, 59, 104507. [Google Scholar] [CrossRef]
- Fiorucci, A.; Moscatelli, D.; Masi, M. Homoepitaxial silicon carbide deposition processes via chlorine routes. Surf. Coat. Tech. 2007, 201, 22–23. [Google Scholar] [CrossRef]
- Leone, S.; Kordina, O.; Henry, A.; Nishizawa, S.; Danielsso, Ö.; Janzén, E. Gas-phase modeling of chlorine-based chemical vapor deposition of silicon carbide. Cryst. Growth Des. 2012, 12, 1977–1984. [Google Scholar] [CrossRef]
- Guan, K.; Zeng, Q.; Liu, Y.; Luan, X.; Lu, Z.; Wu, J. A multiscale model for CVD growth of silicon carbide. Comp. Mater. Sci. 2021, 196, 110512. [Google Scholar] [CrossRef]
- Ji, S.; Kosugi, R.; Kojima, K.; Adachi, K.; Kawada, Y.; Mochizuki, K.; Yonezawa, Y.; Yoshida, S.; Okumura, H. Fast-filling of 4H-SiC trenches at 10 μm/h by enhancing partial pressures of source species in chemical vapor deposition processes. J. Cryst. Growth 2020, 546, 125809. [Google Scholar] [CrossRef]









Disclaimer/Publisher’s Note: The statements, opinions and data contained in all publications are solely those of the individual author(s) and contributor(s) and not of MDPI and/or the editor(s). MDPI and/or the editor(s) disclaim responsibility for any injury to people or property resulting from any ideas, methods, instructions or products referred to in the content. |
© 2024 by the authors. Licensee MDPI, Basel, Switzerland. This article is an open access article distributed under the terms and conditions of the Creative Commons Attribution (CC BY) license (https://creativecommons.org/licenses/by/4.0/).
Share and Cite
Gong, X.; Xie, T.; Hu, F.; Li, P.; Ba, S.; Wang, L.; Zhu, W. High-Quality 4H-SiC Homogeneous Epitaxy via Homemade Horizontal Hot-Wall Reactor. Coatings 2024, 14, 911. https://doi.org/10.3390/coatings14070911
Gong X, Xie T, Hu F, Li P, Ba S, Wang L, Zhu W. High-Quality 4H-SiC Homogeneous Epitaxy via Homemade Horizontal Hot-Wall Reactor. Coatings. 2024; 14(7):911. https://doi.org/10.3390/coatings14070911
Chicago/Turabian StyleGong, Xiaoliang, Tianle Xie, Fan Hu, Ping Li, Sai Ba, Liancheng Wang, and Wenhui Zhu. 2024. "High-Quality 4H-SiC Homogeneous Epitaxy via Homemade Horizontal Hot-Wall Reactor" Coatings 14, no. 7: 911. https://doi.org/10.3390/coatings14070911
APA StyleGong, X., Xie, T., Hu, F., Li, P., Ba, S., Wang, L., & Zhu, W. (2024). High-Quality 4H-SiC Homogeneous Epitaxy via Homemade Horizontal Hot-Wall Reactor. Coatings, 14(7), 911. https://doi.org/10.3390/coatings14070911

