Next Article in Journal
Smoke Suppression Properties of Fe2O3 on Intumescent Fire-Retardant Coatings of Styrene–Acrylic Emulsion
Next Article in Special Issue
Experimental and Simulation Studies on Thermal Shock of Multilayer Thermal Barrier Coatings with an Intermediate Transition Layer at 1500 °C
Previous Article in Journal
Eco-Friendly Synthesis of Al2O3 Nanoparticles: Comprehensive Characterization Properties, Mechanics, and Photocatalytic Dye Adsorption Study
Previous Article in Special Issue
Application Research of Ultrasonic-Guided Wave Technology in Pipeline Corrosion Defect Detection: A Review
 
 
Font Type:
Arial Georgia Verdana
Font Size:
Aa Aa Aa
Line Spacing:
Column Width:
Background:
Article

Exploring Preliminary Biocompatibility Testing in Coating Development

1
Department of Chemistry and Center for Photochemical Sciences, Bowling Green State University, Bowling Green, OH 43403, USA
2
Department of Biological Sciences, Bowling Green State University, Bowling Green, OH 43403, USA
*
Authors to whom correspondence should be addressed.
Coatings 2024, 14(7), 849; https://doi.org/10.3390/coatings14070849
Submission received: 7 May 2024 / Revised: 17 June 2024 / Accepted: 4 July 2024 / Published: 6 July 2024

Abstract

Material testing, particularly in biological applications, can be an extensive endeavor leading to a significant investment of resources. This article details a simple material and coating testing assay series that provides insights into leaching, antibacterial, antifouling, and foul-release characteristics. The results of these methods can guide future research, applications, and development efforts by providing data from which to make informed decisions. A material or coating can be quickly assessed in industrial and academic settings with minimal resources by employing a set of benign, single-species direct-contact toxicity assays and simple spectroscopic and microscopic analysis methods. Herein, we demonstrate how this series of biological assays may be utilized and the potential interpretations of the results by using two-hybrid organo-silicon-based coatings.

1. Introduction

Testing the toxicity of materials is becoming increasingly important, particularly in cases where the material comes into direct contact with organisms, waterways, and the environment [1,2]. Traditional methods of toxicity examination do not apply well to advanced coatings and materials, especially when the material characteristics are complex and originate from volatile precursors that culminate in a potentially inert final product. In such instances, scrutinizing individual components through common methods such as agar diffusion, agar overlay, or broth dilution methods does not realistically represent final product characteristics and effects [3,4]. In this context, one of the most productive, economically viable, and readily implementable methodologies for the preliminary evaluation of the toxicity of a coating or nanomaterial is through a set of direct contact assays [5,6,7,8]. The direct contact method is a well-established approach utilized for the expeditious assessment of contact toxicity for materials and polymers [4,6,9,10,11,12]. These methodologies typically entail using microorganisms, including Escherichia coli and other bacterial strains, and then moving on to more advanced cultures such as mammalian cells or small organisms. Such approaches find widespread application in assessing the biocompatibility of materials, coatings, and medical devices [4,8,13,14,15,16]. Examining nanomaterials or coatings via direct contact methods yields results reflective of what is expected to be observed from a fully formed and protected surface interacting with natural biological systems. This is particularly pertinent in testing medical devices for implantation, medical grade coatings, antifoul marine coatings, and foul-release coatings. It is important to understand any antibacterial, biofilm formation/inhibition, and environmentally compatible features that are highly desirable within these application niches [4,17,18,19,20,21]. Concerning protective coatings, many exhibit notable hydrophobic characteristics including substantial contact angles, designed surface topography, or smooth surface finishes, with silicon-based coatings becoming evermore popular to reduce dependencies on fluoro-polymers [21,22,23].
The direct contact methods below are tailored to assess coatings and materials, facilitate insights into surface-to-surface interactions, and uncover surface-related effects. To demonstrate how these assays are performed and how they can provide insights about the material’s biocompatibility, we have utilized two coatings that were previously developed and characterized by Sims et al. and will be referenced as NF-1 (non-fluorocarbon containing) and FS-1 (fluorocarbon containing, tridecafluoro-1,1,2,2tetrahydrooctyl) [24]. These coatings exhibited characteristics including non-wetting, photo and thermal stability, oxidative and flame resistance, and chemical inertness when applied to various materials. Due to these features, they have shown usefulness as protective coatings in preservation applications, but they are also likely suitable as candidates for medical implant, antifoul, or foul-releasing coatings [22]. In marine or aqueous environments, it is imperative to establish that the coating or material does not elicit toxic reactions and verify that the components are not leaching from the polymer matrix.
Employing a straightforward array of direct contact assays complimented by photochemical analysis enables the generation of initial insights that can guide subsequent investigations toward more intricate explorations of application-specific functionalities. Coatings NF-1 and FS-1 incorporate photo-activatable polymerization mechanisms and subsequent curing; therefore, it is crucial to investigate any toxic effects from surface interactions or leaching before possible applications are defined. This arises from two known hazardous photochemical molecules used to initiate polymerization. A radical initiator, Omnirad 819, as well as a photoacid generator, diphenyliodonium hexafluorophosphate; both are UV-activated by sunlight, as shown in Figure 1. These substituents and their byproducts may cause adverse environmental and toxicological effects on living organisms [24,25,26].
Direct contact experiments with E. coli can be used to determine toxicological effects on substrates or molecules (i.e., unreacted photoinitiators), but many of these methods are challenging. For example, antibacterial characteristics can be determined through the well-established and optimized agar overlay method. This involves standard media (with 1.5% agar) overlaid with top agar (0.5% agar). Any antibacterial features or leaching will result in a ring of inhibited growth around and above the material [33,34,35]. The agar overlay method was adapted for coated surfaces to facilitate direct contact with the coating interface to determine if E. coli can form colonies while grown in contact with the cured coating to observe any antibacterial effects due to surface features [34]. While the visual assessment of colony counting provides straightforward results, a more analytical method should be used to give a quantitative comparison for a full understanding. The examination of a culture’s growth rate by observing the optical density at 600 nanometers, OD600, utilizing absorbance, can be directly correlated to the number of cells growing in a solution and provides insights into the rate of growth when monitored over time. This offers a more systematic evaluation of inhibitory effects. Furthermore, this testing method involves a 100% liquid interface, enabling a greater opportunity for contact with the coated surface while providing a medium for any unpolymerized material components to become mobile, which gives insights into leaching effects in aqueous environments. This method offers the ability to examine materials for acute and minor toxic effects, growth rate inhibition, and component leaching in contrast to the direct contact method, which may not provide a complete understanding of these interactions.
Biofilm production is a crucial characteristic for bacteria colonizing a surface and can lead to enhanced antibacterial resistance and persistent infections. Inhibiting biofilm formation holds significant implications for material use, facilitating surface sterilization and preventing large groups of organisms from building up on surfaces [36]. Biofilm production assays represent a standard approach to determining antibacterial properties but can provide novel information on biofouling characteristics. Coatings believed to be antibacterial typically inhibit biofilm formation through two means—directly inhibiting bacterial proliferation on the coating surface or by diminishing adherence of the fouling cultures, thereby resulting in reduced biofilm formation. This is a trait commonly observed in antimicrobial, antifouling, and foul-release coatings [37,38]. Given that adhesion for many organisms is protein-based, biofilm formation assays cannot only shed light on antibacterial properties but also provide insights into protein binding to surfaces.
A comparable approach can be applied in mammalian models, akin to the analysis using E. coli. However, observing OD600 does not reflect mammalian cells’ colonization strength or growth rate. Instead, a supplementary method must be employed to examine and quantify any change to cell growth by assessing cell viability over a standard growth period, with findings ideally aligning with observations made in bacterial studies. Percent viability is used to determine whether a culture is healthy enough to continue to be passaged, where ≥95% cell viability is considered the standard for health and is directly related to the number of live cells compared to the total cell count of a culture [39]. Traditionally, percent viability is examined via cell counting using a hemocytometer and trypan blue staining, where trypan blue is excluded from living cells. Studies have shown this to be an effective means for tracking viability compared to other staining methods, lending validation to its reliability [40,41,42,43]. Adapting techniques from Sjollema et al., adherent HEK cells can be used in direct contact methodologies and to colonize coated surfaces [34].
Coatings that impede or significantly diminish the attachment strength of biological organisms have considerable significance as they allow for surfaces to be easily cleaned or prevent initial adhesion [37,44,45]. Bacteria, algae, and some small organisms, such as mussels and barnacles, utilize protein-to-surface interactions to adhere to various surfaces. When considering the coating traits employed to prevent this adhesion, hydrophobicity provides a way to repel water, reducing the ease of adhesion. At the same time, surface roughness can indicate a preference to prevent adhesion of different-sized organisms due to the available surface area for the organism’s attachment sites. Generally, smoother surfaces, with closer peak-to-peak distances, are more susceptible to binding by microorganisms, while rougher surfaces are preferred by larger species that need more surface area. Antifouling coatings achieve this with biocidal effects (i.e., metals) and have been regulated due to their unintentional release of biocidal agents (i.e., copper salts) in aqueous systems. An alternative solution to biofouling is foul-releasing coatings, which have unfavorable surfaces for adherence, enabling easier release, cleaning, or prevention of biological buildup without directly harming the organism [37,38,46,47]. This method is therefore gaining preference over antifouling coatings [48,49]. Understanding the combined surface properties of roughness, hydrophobicity, and their interactions with microbes may suggest if a coating should be analyzed for interactions with larger organisms, potentially reducing unnecessary economic costs.
In this study, we delineate methods for differentiating coating or material characteristics and potential uses. This is achieved through assays of physical properties, photochemical analysis, and direct contact methods. These methods allow for the identification of appropriate applications and product targeting while also defining environmental compatibility.

2. Experimental Methods

2.1. Materials

Bacterial culture materials were all sourced from reliable suppliers and unmodified unless specified. Neb-5-alpha E. coli cells (C2988J) and super optimal broth with catabolite repression (B9035S), SOC, were sourced from New England Biolabs (Ipswich, MA, USA). Premixed Miller Broth (NCM0088A) was sourced from Neogen (Lansing, MI, USA). Terrific Broth premix (IB49141) was acquired from IBI Scientific (Dubuque, IA, USA). Mammalian cell culture supplies are also sourced from reliable vendors. Dulbecco’s Modified Eagle Medium (DMEM) with glutamine XL (112-300-101) was sourced from Quality Biological (Gaithersburg, MD, USA). Fetal Bovine Serum (FBS) (00-106) was acquired from GeminiBio (West Sacramento, California). Tissue culture plates of 60 mm (10062-890) and 100 mm (10062-880), the 0.4% trypan blue solution (K940), and crystal violet were obtained from VWR (Radnor, PA, USA). Acetic acid and the microscope cover glass (12-542B) were purchased from Fisher Scientific Co. (Waltham, MA, USA). Casamino acid (Costar REF 2797) and Falcon polystyrene (Falcon REF 351172) multiwell plates were obtained from Becton, Dickinson, and Company (Franklin Lakes, NJ, USA). Mixed cellulose ester and MCE syringe filters, 0.22 µm, were purchased from Lab Instruments Co. A microplate reader was obtained from BioTek Synergy HT.
All chemicals used in the study were sourced from reputable commercial suppliers and, unless otherwise noted in the methods section, were used without further purification. Specifically, Gelest Inc. (Morrisville, PA, USA) provided 3-aminopropyltriethoxysilane, (3-glycidoxypropyl)trimethoxysilane, 3-mercaptopropyltrimethoxysilane, (tridecafluoro-1,1,2,2tetrahydrooctyl)triethoxysilane, and vinyltriethoxysilane. Isopropyl alcohol, cyclohexanes, and methanol were purchased from EMD Millipore Corporation. Benzyl alcohol (≥99%) was procured from Alfa Aesar (Ward Hill, MA, USA). Diiodomethane was obtained from Eastman Chemical Company (Kingsport, TN, USA). Diphenyliodonium hexafluorophosphate was sourced from Acros Organics and Omnirad 819 from IGM Resins USA, Inc. (Charlotte, NC, USA). Anhydrous acetonitrile (99.8%), toluene (≥95%), n-hexanes (98.5%), monopotassium phosphate (KH2PO4), dipotassium phosphate (K2HPO4), ammonium sulfate (NH4)2SO4), magnesium sulfate (MgSO4), glucose, and agar (A1296) were procured from Sigma-Aldrich. The 10 µm syringe used in the experiments was obtained from Hamilton Company (Franklin, MA, USA). The Pseudomonas aeruginosa strain AU10241 was kindly provided by Dr. John LiPuma at the University of Michigan. HEK 293 cells were obtained from ATCC. NF-1 and FS-1 were provided by Dr. Furgal, Bowling Green State University.

2.2. Analytical Methods

2.2.1. Coating Application

In controlled laboratory conditions, we directly dipped glass slide cover slips into a coating solution and exposed them to UV C light (18.7 mW/cm2, 200-Watt Mercury Arc Lamp with a 320–390 nm filter, OmniCure Series 1500, Excelitas Technologies, Lumen Dynamics Group Inc., Mississauga, ON, Canada) for two minutes. After the coating process, we allowed the samples to sit for thirty minutes. For obtaining lamp output measurements, we used a PM100D Energy Meter Console (Thorlabs, Newton, NJ, USA) equipped with an S121C standard photodiode power sensor (Si, 400–1100 nm, 500 mW, Thorlabs, Newton, NJ, USA) with utmost precision and accuracy.
For the biofilm assay, plastic well dishes (Falcon multiwell, polystyrene) were filled with coating solutions, the excess was poured off, and the dishes were exposed to UV C light for 2 min and then inverted while curing.

2.2.2. Fragmentation and Coating Preparation

Two samples for each coating, NF-1 and FS-1, were applied in excess on glass and cured, causing the intentional delamination of the coating. The coating was then scraped and collected via a razor blade. The freed coating samples were then split in half, retaining moderately large samples between 0.1 and 1 cm as “flakes”, and the other half was ground to a fine powder via a mortar and pestle and examined by light microscopy and ATR-FTIR. These samples were stirred in 15 mL of water for a week and shaken daily before final analysis. Leaching samples were then filtered to remove flakes or powdered coating and reduced in a 47 °C vacuum oven from 15 mL to 3 mL. This process was repeated with samples placed in water and heated to 45 °C for a week, allowing any potential leached material to concentrate as the water volume decreased from 15 mL to 3 mL at 47 °C in a vacuum oven.

2.2.3. Attenuated Total Reflection Fourier Transform Infrared Spectroscopy (ATR-FTIR)

ATR-FTIR spectra were recorded on a Thermo Scientific ATR-FTIR (Nicolet iS5 Fourier Transform Infrared Spectrometer iD7 Attenuated Total Reflection, SN: ASB1817610) utilizing a ZnSe crystal platform. Spectral analysis was facilitated by OMNIC software (version 9.8.372, Thermo Scientific, Waltham, MA, USA). The sample platform was first cleaned using isopropyl alcohol and zeroed for background, followed by small solid samples of cured NF-1 and FS-1 coating flakes and powder, and all samples were scanned from 4000 to 400 cm−1 for 16 scans and transformed in the OMNIC program.

2.2.4. Contact Angle, Light Microscopy, and Surface Energy

To apply water to the surfaces, a syringe was used to add drops of approximately 10 µL in volume. For capturing images, we utilized a Zeiss Stemi 2000-C light microscope equipped with an AxioCam ERc5s camera manufactured by Carl Zeiss Meditec Inc. located in Dublin, CA, USA. We conducted contact angle analysis using ImageJ software (version 1.53e), developed by the National Institutes of Health (in Bethesda, MD, USA), using the manual points procedure in the contact angles plug-in. We calculated the contact angle values by taking the mean of the right and left angles; we utilized three samples for each coating and took four sets of measurements for each. From these twelve readings, we calculated the average and standard deviation. We also obtained standard static contact angles from four samples and derived the average and standard deviation for uncoated glass slide coverslips. Additionally, previously prepared coating flakes and powder of both NF-1 and FS-1 were analyzed and recorded by light microscope to show relative size and consistency between both coating types. This analysis verifies similar consistency and size between the samples.
Employing Zisman’s method, the surface energy of NF-1 and FS-1 was determined through the observation of contact angles of solvents with varying surface tension forces. NF-1 and FS-1 contact angles were recorded with n-hexanes, toluene, cyclohexane, benzyl alcohol, diiodomethane, glycerol, and water. Each measurement was conducted in triplicate, and the data were treated the same as the static contact angles described above. Then, for each solvent, the cosine (contact angle) was plotted against the known surface tension forces, and the material’s surface energy was found as the x value where the cosine (CA) is equal to 1 [50].

2.2.5. Surface Roughness Analysis

To determine the arithmetic mean roughness (Ra) and root-mean-square roughness (Rq), we utilized the Alpha-Step IQ Surface Profiler from KLA Tencor in Milpitas, CA, USA. Glass slides were prepared using the dip-coat method, and twenty data sets were collected for each of the two coatings by taking five measurements in opposing directions over the interface of each coverslip. Our step height analysis was conducted with a stylus force between 24.2 and 25.7 mg, a 2000 µm scan length, a 50 µm/s scan speed, a 50 Hz sampling rate, a 40 s scan time, a 400 µm/23.8 pm sensor range, a center bias adjustment, a 1 µm resolution, a contact speed of 5, and a required radius of 5.0 µm. Averages were generated from two samples of each coating, and the standard deviations were calculated.

2.2.6. Preparation of Accelerated Leaching Test

Sample leaching may occur through multiple avenues; components can slowly leak from the coating surface or leach as the coating degrades over time. Of the available components, two curing agents are of interest, Omnirad 819 and diphenyliodonium hexafluorophosphate, as possible hazardous leaching components. Coating flakes and powder were generated according to Section 2.2.2 and were then added to nanopure water and left in a dark place for a week. After one week, samples are filtered using a 0.22 µm syringe filter and examined, initially diluted by UV-vis spectroscopy in a quartz cuvette. Leaching samples are then reduced in a vacuum at 47 °C from 15 mL to 5 mL and re-examined by UV-Vis.

2.2.7. UV-Vis Spectroscopy Analysis

An Agilent Cary 60 UV/Vis instrument (Agilent, Santa Clara, CA, USA) was used to collect a range of absorbance spectra. The coating and reagent samples were dissolved in anhydrous acetonitrile (99.8%) and diluted to a concentration of less than 100 µM in a quartz cuvette. Scans were taken after two, five, and ten minutes of UV C light [18.7 mW/cm2, 200-Watt Mercury Arc Lamp with a 320–390 nm filter, OmniCure Series 1500 (Excelitas Technologies, Mississauga, ON, Canada)], and a reading from 200 to 800 nm was taken to verify any changes in absorption by photo-active molecules. Excel was used to plot absorbance versus wavelength for the conformational change. Further analysis was conducted using water as a solvent to test for any solvent-specific interactions with the materials.

2.2.8. Direct Contact Toxicity Assay

A simple but effective method of testing contact toxicity is the direct contact method, adapted from Sjollema et al. [34]. This method is cost-effective, time-efficient, and can provide reliable preliminary toxicity data. Furthermore, direct contact best replicates the manner in which a surface coating will be interacted with. The direct contact method uses uncoated and FS-1- and NF-1-coated microscope slides to ensure coating-to-culture interfacing and a negative control uncoated surface for comparison.
E. coli strain DH5α, a Gram-negative bacterium, is preserved in its original state without any genetic alterations conferring antibiotic resistance. Initially, 25 µL of stock Neb DH5α cells were incubated with 100 µL of super optimal broth for one hour. Subsequently, agar plates were prepared from 1.5% agarose in Miller Liquid Broth by Neogen culture media, followed by the addition and spreading of 25 µL of DH5α cells. The seeded agar plate was grown overnight for 24 h at 37 °C, and the following day, one isolated colony was picked and used to inoculate 5 mL of a liquid culture and incubated overnight at 37 °C.
Once fully colonized, two liquid cultures underwent serial dilution; one sample was serial diluted six times, and the second was diluted seven times. The resulting culture dilutions were employed to seed an agar plate to promote single colony growth. Agar plates were seeded with 50 µL and 75 µL of E. coli solution to ensure even growth, resulting in two sets of cultured samples each, one diluted to 106 and another diluted to 107, on which UV sterilized FS-1, NF-1, and uncoated microscope slides were placed. Growth was observed after 24 h, and the colonies were counted and recorded.

2.2.9. Direct Contact Growth Rate Assay

Liquid broth is cultured in contact with a coated surface, and any effects it may have on growth rate can be observed by monitoring OD600. Glass test tubes are internally coated and cured with FS-1 and NF-1 in triplicate. Terrific broth medium was inoculated with a pure isolated colony of E. coli DH5α and grown overnight with shaking at 37 °C. The culture was used to seed 10 mL of LB broth at 1% in FS-1, NF-1, and uncoated test tubes at 37 °C. Cultures were monitored versus a negative control at regular intervals and recorded utilizing a CO8000 cell density meter by Biowave (Norwalk, CT, USA) and Disposable UV cuvettes from BRAND (Wertheim, Germany). Analyzing 1 mL of the culture allowed for the tracking of the growth rate, and any adverse effects of the interfaced coatings could be recorded and quantified compared to those of the control.

2.2.10. Biofilm Production Assay

The Pseudomonas aeruginosa strain AU10241 was kindly provided by Dr. John LiPuma at the University of Michigan. The strain was inoculated into 3 mL of LB medium and incubated overnight with shaking at 37 °C. The culture was diluted at 1:100 into an M63 minimal medium prepared according to the methods of O’Toole [51]. A 5 × M63 medium was prepared by dissolving 15 g KH2PO4, 35 g K2HPO4, and 10 g (NH4)2SO4 in 1 L of water. The stock was diluted at 1:5, and supplements were added for final concentrations of 1 mM magnesium sulfate, 0.2% glucose, and 0.5% casamino acids. A total of 100 μL of the diluted cells were added per well in a 96-well U-bottom microtiter plate (Costar REF 2797). The plate was incubated at 37 °C for 24 h. Eight single-well replicates were performed.
After incubation, the cells and media were dumped out by inverting the plate. The plate was then submerged two times in water to remove unbound cells. In total, 125 μL of a 0.1% solution of crystal violet in water was added to each well containing cells and incubated at room temperature for 10–15 min—crystal violet stains biofilm production. The wells were rinsed 3–4 times with water and then air-dried for four hours at room temperature. A total of 125 μL of 30% acetic acid in water was added to each well and incubated for 15 min. The solubilized solution was transferred to a new flat-bottomed 96-well microtiter plate (Falcon REF 351172), and absorbance was measured in a plate reader at 550 nm using 30% acetic acid in water as the blank. Absorbance at 550 nm indicates biofilm formation.

2.2.11. Direct Contact HEK Cell Viability

A second direct contact method adapted from Sjollema et al. examines possible effects on mammalian cells [34]. Due to the photocuring method of FS-1 and NF-1 coatings, polystyrene plates modified by poly-lysine lead to a chemical reaction and subsequent decomposition of plate material. To remedy this, co-incubation with FS-1- and NF-1-coated slides will allow for stable cell growth and an analysis of percent viability after a standard passage period of 3 days. Initial cells are thawed and cultured on 60 mm tissue culture plates in DMEM containing 10% FBS at 37 °C in 5% CO2. The initial culture is passaged 4 times after 90% confluency is reached to ensure cell health and growth rate after thawing, with the final passage used to seed a 100 mm tissue culture plate to provide a large enough sample to seed nine 60 mm tissue culture plates to perform direct contact analysis in triplicate. Unmodified microscope slides coated in FS-1 and NF-1 and the uncoated negative control are UV sterilized, placed in seeded DMEM media, and cultured for three days. Utilizing trypan blue and hemocytometer, cells are counted employing the Olympus SZX10 microscope from Olympus Lifesciences (Hachioji, Tokyo, Japan), and any cell death effects can be observed with viability compared to the negative control.

3. Results and Discussion

3.1. Hydrophobicity and Surface Roughness

Many organisms can foul surfaces including bacteria, lichens, algae, mollusks, and barnacles, where many of the adhesion mechanisms occur from protein binding or mechanical forces like friction. When considering the adhesion of organisms or the formation of biofilms on surfaces, the materials’ hydrophobicity and surface roughness are often used as initial indicators for fouling resistance. Many silicon-based coatings are actively used as foul-releasing finishes, where the material is non-toxic but enables the detachment of organisms via a low applied force through reduced adhesion. One commonly used technique for quantifying hydrophobicity is a static contact angle (CA), which investigates a material’s ability to repel water by measuring the angle of water droplets at the point where they contact the surface of interest. A water droplet on a coated surface with a CA 90°-180° is considered non-wetting and suggests the surface may be classified as hydrophobic or superhydrophobic [52,53,54,55]. Several coatings reported to have foul-releasing characteristics also exhibit water contact angles ranging from 90 to 160° [37,46]. The coatings used to simulate the biocompatibility analyses herein have demonstrated average contact angles within this range, doubling the observed CA for glass, to make the material non-wetting, as demonstrated in Figure 2. As shown in Table 1, NF-1 and FS-1 exhibit average static contact angles around 100°, suggesting that they may reduce fouling through hydrophobic means and that the effects on adhesion and biofilm formation should be investigated. If the material does not have a water contact angle of >90°, it may not exhibit foul-releasing or foul-resistance characteristics through hydrophobic means. In this analysis, the model coatings had contact angles exceeding 90°, suggesting they have potential in foul-releasing or foul-resistance applications, and further testing was warranted.
Another manner in which surfaces may inhibit biofouling or exhibit hydrophobic characteristics is through surface roughness, typically a result of surface engineering. Designed surfaces may utilize specified peak-to-peak roughness to interfere with the adhesion mechanisms of the fouling organism, where microorganisms can adhere to smoother surfaces with shorter (<25 µm) peak-to-peak distances and larger organisms adhering to rougher materials [37]. To measure the roughness profile of a surface, the Ra (average roughness) value is commonly used. It refers to the deviation of the surface from its arithmetic mean height and provides an idea of how much the material surface varies across a given area. This can be supplemented by the root-mean-square deviation (Rq), which indicates the root mean square along the sampling length [38,47,56,57,58]. These foul-resistant materials may be rough and exhibit an Ra of 0.5–1.0 µm or utilize a super smooth surface, making the material challenging to adhere to [38,56]. The coatings being analyzed herein are considered smooth, with measurements showing values <8 nm for Ra and <10 nm for Rq (Table 1), indicating that the cured surfaces vary topographically, less than 10 nm across the test length. This suggests that the material may have a foul-resistant character through a smooth finish, making it preferable to prevent adhesion from larger organisms, as commonly reported with siloxane-based foul-releasing coatings [37,38,46,47,56,57,58,59,60]. Due to the smooth coating finish, we would expect less foul resistance to microorganisms such as bacteria, but a likely resistance to fouling by larger organisms. The studies herein will seek to justify or disprove microorganism claims through a series of simple experiments.

3.2. Verification of Coating Samples and Surface Energy

While coating characterization is not the focus of testing herein, it is vital to verify that the tested materials, NF-1 and FS-1, match the previously reported coating [24]. Images were taken of flaked and powdered coating to show the tested material’s consistency, as well as relative size, with flakes appearing at sizes ≥ 50 µm and powder appearing at sizes ≤ 10 µm (Figure S1). All samples show a small alcohol peak near 3300 cm−1 and Si-O-Si bonding between 1100 and 990 cm−1, which are expected in an alkoxysilane sol–gel coating system. Peaks at 2970–2860 cm−1 show the aliphatic carbons of this coating’s carbon side chains (epoxy, amine, thiol, and vinyl), and a lack of peaks in the C=C and thiol regions suggests the material’s thiol-ene polymerization was completed. The absence of primary amines also suggests the completion of the epoxy–amine curing. This spectrum reflects the original analysis detailed in a previous publication (Figure S2) [24].
Surface energy was determined using Zisman’s method, indicating that NF-1 exhibits a surface energy of 33.58 mJ/m2 while FS-1 exhibited 15.01 mJ/m2 found from a linear regression of the trendline in Figure 3. These findings suggest that FS-1′s inclusion of fluorinated side chains significantly affects surface energy as lower surface tension solvents could still exhibit recordable contact angles. A CA of zero was observed for n-hexanes, toluene, and cyclohexanes with NF-1 samples, indicating extensive solvent dispersion on coated surfaces beyond measurability. Conversely, FS-1 samples provided CAs for toluene and cyclohexanes, but no CA was observed with n-hexanes as this solvent also dispersed widely on the FS-1-coated surface. This method indicates that both NF-1 and FS-1 may be considered low-energy surfaces on par with what one would expect to observe in polymers such as polydimethylsiloxane (PDMS), polytetrafluoroethylene (PTFE), polyvinylidene fluoride (PVDF), and polystyrene (PS) [61]. This is another typical characteristic that may be observed with foul release coatings as low surface energy correlates to low surface binding ability similar to the surface energies exhibited by NF-1 and FS-1 [22,62]. These coatings may be considered low surface energy materials and suggest the potential for foul-releasing applications.

3.3. Accelerated Leaching Test

The accelerated leaching tests are designed to mimic the abrasive breakdown of coatings, starting with delamination or chipping, and ultimately forming fine powders from the material in an aqueous environment (i.e., microplastics), simulated via submersion of mechanically generated samples in nanopure water. This will allow any soluble free components to leach outward into the water, which can then be subjected to analytical methods such as UV-Vis spectroscopy to compare with the components of interest. Examining chips and powdered NF-1 and FS-1 will cover the full range of eventual abrasive breakdown for the coatings from realistic degradation seen with delamination or the hyper-realistic degradation of complete pulverization, providing insights into material behavior under these extremes.
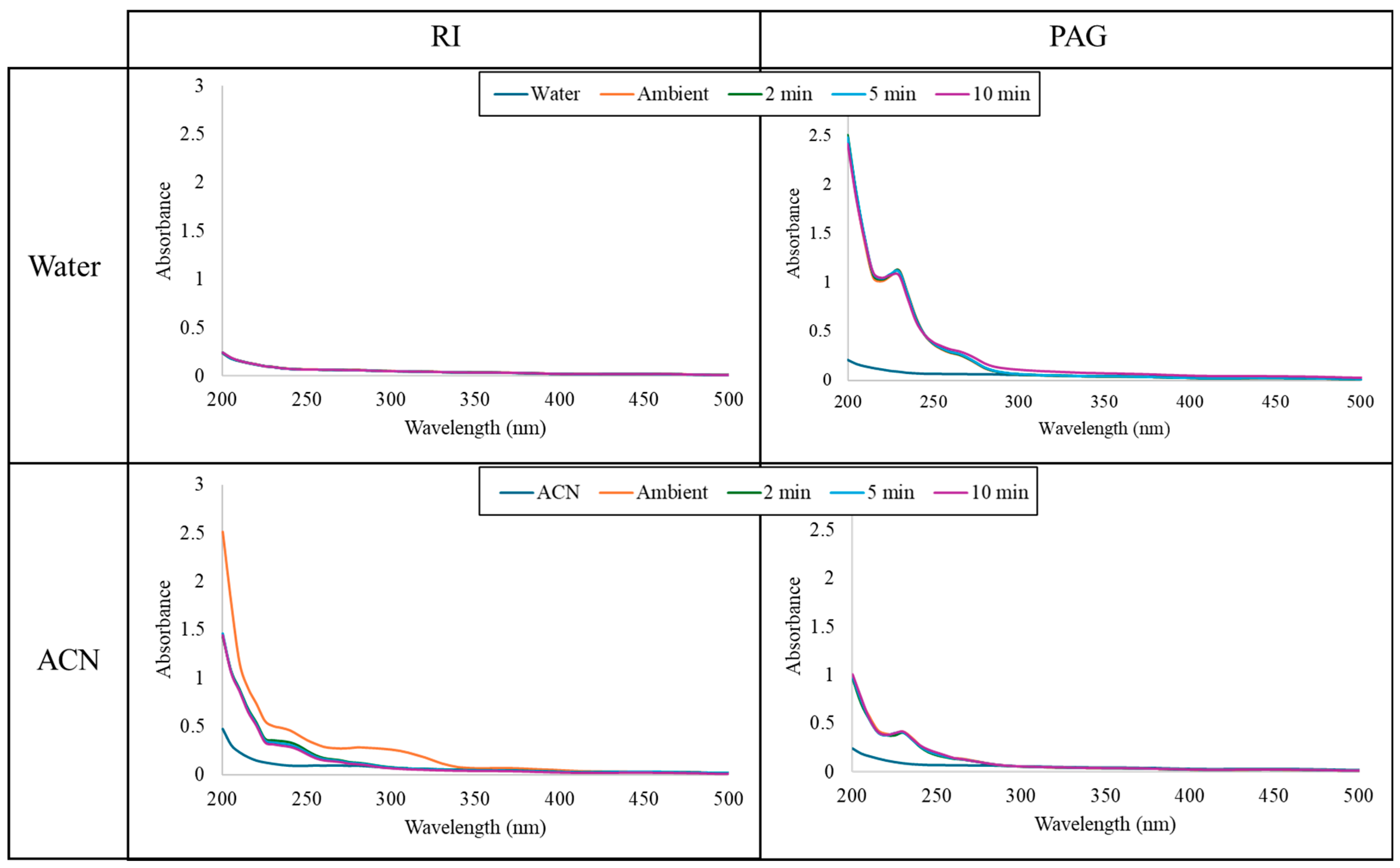
The primary components of interest for the NF-1 and FS-1 coatings are the photo-activated curing agents, the radical initiator (RI—Omnirad 819), and the photoacid generator (PAG—diphenyliodonium hexafluorophosphate). The photoacid generator and radical initiator will ultimately undergo termination once reactivity has ceased; however, verifying that the coating remains inert throughout its consumer lifetime is essential. To verify this, the pure UV-Vis spectra of both the RI and PAG were analyzed in water and acetonitrile from 200 to 800 nm. Spectra were derived for the photo-active region (200−500 nm) to compare to the coating samples for leaching, as presented in Figure 4. Exposure to additional UV light (0, 2, 5, and 10 min) was utilized to look for a photo response (change in absorbance) in the photoinitiators compared to any leached particulate. Omnirad 819 is insoluble in water and therefore was not expected to contribute to significant leaching. Despite this, there is a notable shift in the absorption seen in Omnirad 819 over 10 min of UV exposure in ACN, showing a loss of absorption at 300 nm and weakened absorption at 245 nm. The UV-Vis spectra of Omnirad in ACN appears as expected per the manufacturer [27]. In the photoacid generator samples, the solvent did not affect the presence of the absorption seen from 220 to 230 nm and the shoulder at 275 nm. Upon irradiation, the PAG indicates a minimal shift in absorption intensity around these peaks, but there is no activity loss. An investigation into the effects of additional UV exposure provides insights into the degree of degradation of these starting materials, whether unconstrained or when utilized by the coating. For photoinitiators, we hypothesize that if peaks are observed and decrease over time with additional exposure, the initiators degrade or terminate their reactive processes. If peaks are observed but no change occurs over time with exposure, then the initiators are present or already in a degraded state.
NF-1 and FS-1 coatings were investigated in two degraded forms that offer insight into the effect of differing exposed surface areas (see Experimental Methods), including delaminated flakes (lower surface area) and powdered coatings (higher surface area). These samples were incubated in water and shaken daily to redistribute coating particulates and then filtered after one week. This was performed to ensure that any unpolymerized or freely moving reagents had the opportunity to diffuse into the solution while removing any large, polymerized materials before analysis. The filtered samples were then left to concentrate in a vacuum oven evaporatively before UV-Vis analysis. The coating samples utilized herein were cured by an initial 2 min of UV light exposure to begin the polymerization process; however, these coatings may be used outdoors where continuous sunlight ensures a complete cure where all reactants are expected to be polymerized. For this test, freshly lamp-cured coatings are used to provide insight into any leaching that would occur from artificial light sources with a limited exposure time. If present, these coatings are expected to show any traces of the photoinitiators. An investigation into changes occurring in response to additional UV exposure (2, 5, and 10 min) was used to assess any reduction in absorption or similarity to the initiators, which may suggest the degradation of any leached material. The samples generated by flakes of NF-1 and FS-1 show a slight increase (Δ0.2) in absorbance from 200 to 220 nm compared to the water blank and cannot definitively say that low surface area samples (flakes) of NF-1 and FS-1 exhibit component leaching due to the lack of absorption characteristics seen in Figure 5 for flaked samples.
In contrast, the powdered NF-1 and FS-1 samples show some peak characteristics like the PAG in water, with a significant increase in the absorbance intensity compared to the flakes observed in Figure 4, showing absorption at 220 nm in both samples, with a shoulder at 275 nm in the FS-1 sample. A slight change in absorption intensity occurs over the final 5 min of UV exposure, and this, in combination with Omnirad’s inability to dissolve in water, leads us to believe that powdered samples with a larger exposed surface area of material are potentially releasing PAG or its byproducts. While the observed peaks show a blue shift from ~230 nm to ~220 nm, this may indicate that leaching components are not the starting material but one of the byproducts generated through the photoinitiation process depicted in Figure 1. If peaks are observed but decrease over the time of exposure, then the initiators are theorized to become inactive with extra exposure (more than a 2 min lamp cure). If peaks are observed but do not change, this could result from degraded products or unreacted thiol-ene products remaining present. In these analyses, lower surface area samples do not exhibit pronounced leaching, but the high surface area samples show a shoulder broadening at 220 nm, which is likely from the PAG and/or its byproducts (i.e., iodo-biphenyls).
In addition to room temperature water leaching experiments, coating samples were also submerged in nanopure water and heated at 47 °C for 7 days to mimic extreme use conditions. Our main focus was on the powdered coating as these displayed the largest potential for leaching based on the surface area. Powdered samples are baked at 47 °C for 7 days in nanopure water and then analyzed at ambient and after two, five, and ten minutes of UV light to verify the effects of heat on the degradation and leaching of unreacted materials seen in Figure 6. Heated powdered samples showed no significant difference from those tested at an ambient temperature, suggesting minimal effects in regard to extreme temperature, which could improve solubility. If increasing the temperature of the sample resulted in more notable absorbance, then additional heating would result in more leaching in this material. Both coatings showed no change in absorbance over 10 min, suggesting no soluble photo-active components remained.

3.4. Direct Contact Colony Formation Toxicity Assay

Direct surface interactions are unavoidable with coating materials, and it is essential to understand if there are any surface-based reactions, leaching, or absorption that can occur when organisms encounter the material in a semi-dry environment (agar and air). Analyzing these materials for toxicity, biocidal, or inhibitory effects on prokaryotic cells provides a way to understand the nature of a material and its interactions with simple organisms such as E. coli, which are self-sufficient and rapidly reproduce to form colonies. Researchers can observe acute cell toxicity and growth inhibition by utilizing direct contact culturing to examine the materials for possible antimicrobial or biocidal activity.
In this case, two cell cultures of E. coli were produced at different concentrations of cells (107 and 106 dilute). These were plated, and coverslips were added. Each plate contained an unaltered agar segment, a control glass slide, and NF-1-coated and FS-1-coated samples. If a material has antimicrobial character, we expect to see inhibited or reduced colony formation in the area contacting the coating or material being tested. This would result in an observed and measurable zone of inhibition around the materials’ outer edges, suggesting that the material or any potentially leaching components create an antimicrobial local environment. Regions with no culture growth around a test site are called the zone of inhibition and are measurable regions used to compare antimicrobial properties and cell toxicity adapted for this analysis. A reduction in colony count around the material indicates an inhibited growth rate, and a lack of colonies indicates antimicrobial/biocidal characteristics. If the cells grow adjacent to or touch the coverslip, there is no zone of inhibition or reduction in growth rate—indicating no microbial toxic agents or antimicrobial character leaching to the surface.
NF-1- and FS-1-coated slides displayed colony growth under each slide while in contact with the coatings in both traditional media and rich media environments in a similar frequency to an uncoated negative control. No zone of inhibition was observed around any of the coated slides, and the colony count was similar in frequency to that of the control, as seen in Figure 7. Colony growth under the slides is observable in less frequency and size than the surrounding environments, attributed to a lack of air exchange as colonies of similar morphology grew in contact with the uncoated negative control. To be sure this was the case, a direct contact method employing growth rate monitoring in liquid media was used to demonstrate that coated slides were not toxic but did not allow for the adequate exchange of air which will be discussed in Section 3.5. Cells grew directly in contact with the edges of slides in all examples–with higher concentrations leading to an outline of the slides– and since samples were dip-coated, all edges are coated. This indicates that the material does not leach in a harmful manner in dry/semi-dry conditions, suggesting it is not biocidal or toxic in a semi-dry environment.

3.5. Liquid Culture Direct Contact Growth Rate

While colonies grew in contact with cured FS-1 and NF-1 coatings, liquid culture testing is vital to inspect for the occurrence of leaching or toxicological effects, which may occur when the material is in contact with a solution that may allow unpolymerized or unreacted components to mobilize. The two primary efforts are determining if minute levels of inhibitory or toxic agents are present that reduce growth rates without inhibiting them completely, and the second is to test the material for leaching in an aqueous environment and to understand if there were effects or leaching, which occurs only in non-dry environments when a medium is present, which allows molecules to disperse. The liquid culture test described herein used E. coli-cultured LB (liquid broth) and six cultures for each testing group (control, NF-1, and FS-1), taking one measurement at each time interval to generate an average. The interior of the test tubes was coated, and the cured material was inspected for leaching or toxicological effects when cells were cultured in an aqueous solution to observe effects on growth throughout the exponential growth phase. Any minute toxicity effects are expected to show a deviation in OD600 corresponding to a change in growth rate compared to the control. Readings are taken until an optical density of 2.0 at 600 nm is achieved (7–8 h) as the cultures exit exponential growth into the stationary phase (proliferation–death equilibrium point).
The results showed that no significant deviation in growth rate occurred as compared to an uncoated negative control when all cells were grown from the same mother culture to reduce genetic effects. Figure 8 shows a strong overlap of the control and coated substrates occurring for the duration of the analysis. NF-1 and FS-1 show little deviation from the control, with all graph lines retaining the same shape and little to no deviation in culture absorbance throughout the experiment. If there was an inhibition of growth due to the leaching of biocidal or toxic components, there would be a difference in the time it took to reach an OD600 of 2.0, which was not observed, and the extrapolated graphs would be notably different, with reduced growth rates (slope).
These results support the findings of the direct contact growth analysis in Section 3.3, which indicates that NF-1 and FS-1 have minimal interface effects on cell health or proliferation. The uninhibited growth rate observed in the liquid culture test suggests that the morphological colony changes observed in the direct contact method were due to a lack of air exchange and not a toxic effect due to contact with the cured coating. The combined results propose that neither coating has a direct biocidal, toxic, or inhibitory effect. This demonstrates that there is no leaching of material components that inhibit cell growth or cause cell death in prokaryotic organisms.

3.6. Biofilm Production Assay

Biofilm production is a characteristic of some bacteria when colonizing a surface, which may lead to enhanced antibiotic resistance and a persistent infection due to the protective extracellular matrix. In hospital settings, inhibiting the formation of biofilms on medical devices promotes sterile surfaces and helps retain a clean and uncontaminated environment. Testing to understand if a surface prevents or inhibits biofilm formation can be conducted by looking for a reduction in or prevention of protein adherence to the surface, which is quantifiable by utilizing a microplate reader and absorbance measured at 550 nm for the detection of crystal violet, which binds to proteins and DNA, staining the live cells.
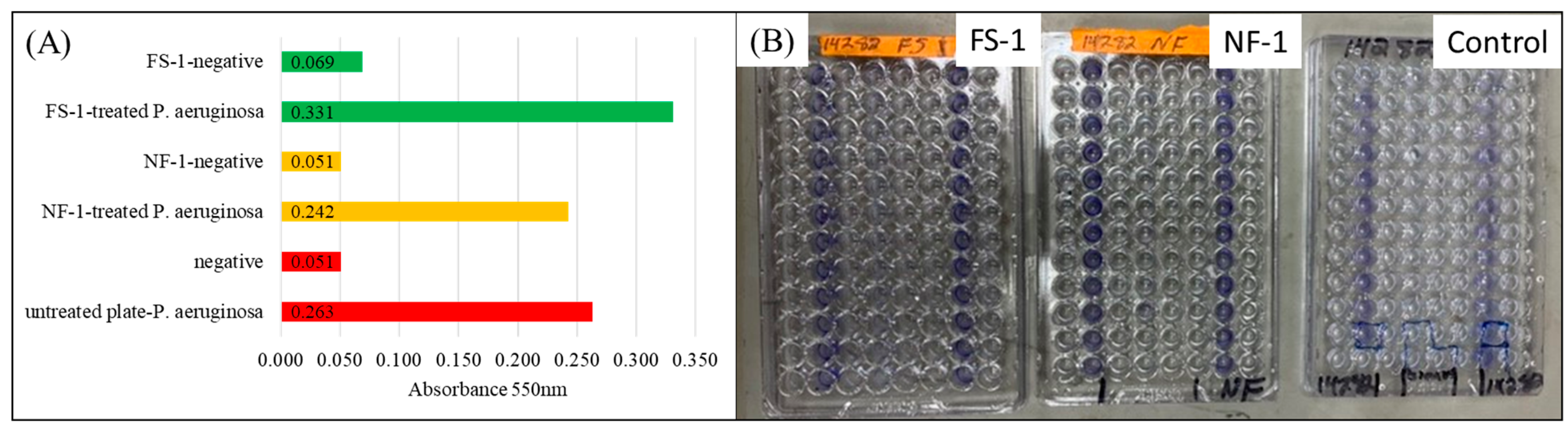
To investigate the effect of coatings on cell adherence and biofilm formation, 96-well plates were dip-coated and then utilized in a culture and staining analysis with a cystic fibrosis-derived P. aeruginosa strain, and the cultures were inspected for differences. If there was a reduction in the absorbance in the coated sample sets, it would suggest a decrease in cell adherence to the surface, indicating that the coatings exhibited biofilm inhibitory effects. Both of the coatings analyzed exhibit hydrophobic character and a smooth surface, traits seen in other anti-biofilm coatings as previously mentioned in Section 3.1. As a result, NF-1 and FS-1 were both theorized to be unfavorable for attachment compared to the control. When analyzed, the NF-1 sample performed similarly to the bare microplate samples, indicating no biofilm inhibition. The microplate coated with FS-1 showed a slight increase in biofilm formation in Figure 9 over the control, indicating that it may provide a preferential surface for bacterial adhesion.
While these results did not show an anti-biofilm character, the successful cell growth suggests that the coating exhibits no biocidal effects on these prokaryotic cells. This implies that any material that may leach from the surface did not cause direct cell growth inhibition or toxicity, supporting the results of the direct contact toxicity assay and liquid culture growth rate analysis, which both utilized a different bacterium, E. coli., suggesting these results were non-species specific. The low variations in absorbance between the control, NF-1, and FS-1 systems insinuate no effect on biofilm formation. Forming a biofilm implies that the material is not antibacterial or does not inhibit growth—suggesting that it is not toxic to cells and permits adhesion. If biofilms were inhibited, then the mechanism of inhibition needs to be validated through other methods, including leaching, toxicity, and surface adherence, as described herein. Neither coating analyzed prevents the formation of biofilms from P. aeruginosa despite having considerably low surface energy, indicating that these materials are not antifouling against bacteria; however, the reason for this manuscript was not necessarily to verify the fouling resistance of these coatings, but to provide a model of simple methods to prove or disprove this without expensive testing methods.

3.7. Assessment of Direct Contact HEK 293 Cell Viability

Although no acute toxic effects were detected with E. coli, it is noteworthy to consider that interactions with the treated NF-1 and FS-1 could yield different outcomes when exposed to more complex eukaryotic cells. Such observations could offer valuable insights into their potential biomedical applications. Mammalian adherent HEK 293 cells are highly sensitive to environmental changes such as pH like the PAG initiator and hazardous materials like Omnirad 819, making them valuable for investigating non-toxic properties. These cells also utilize proteins to adhere to surfaces, similar to P. aeruginosa, forming a monolayer of cells on the substrate—a process necessary for their proliferation [39]. This analysis offers a means to validate potential discrepancies between prokaryotic (simple) and eukaryotic (complex) organisms concerning contact and environmental toxicity, as well as the inhibition of cell adhesion by coated substrates. These validations are essential for confirming the reliability of assays outlined in Section 3.3, Section 3.4 and Section 3.5. We hypothesized that in the event of acidic material or leaching components, a change in media color would be anticipated, accompanied by the death of pH-sensitive mammalian cells. Additionally, if the materials decreased adhesion, it would result in the inhibition of culture proliferation.
Adherent HEK 293 cells grown in contact with NF-1- or FS-1-coated slides exhibited no observable change in media color, which typically shifts to yellow when pH reaches 6.8 or lower. Consequently, the study as shown in Figure 10 gives no discernible pH alteration observed over the course of 3 days of culturing. The cells’ sensitivity to pH underscores the absence of corrosive effects from the material, as evidenced by a sustained cell viability of over 97%, surpassing the threshold of 95% indicative of a healthy interaction with sufficient adhesion and pH stability. Moreover, consistent cell morphology further supports the notion that adhered cells remain unaffected by the coated substrates, affirming their benign nature and lack of antifouling properties. The substrates neither impede adhesion nor induce pH alterations detrimental to sensitive mammalian (eukaryotic) cells and therefore exhibit non-toxic characteristics.

4. Conclusions

Protective coatings are widely used in the modern world, from industrial applications to everyday consumer products. As the coatings industry strives to be more eco-friendly, it becomes increasingly important to assess both the toxicity and environmental effects of materials carefully. By utilizing the range of biological assays and accelerated leaching tests described herein, we can efficiently and cost-effectively determine the compatibility of materials with the environment and various organisms. Combining these analytical methods as a single, modifiable set of assays can provide insights into materials’ hydrophobicity, leaching, toxicity, adhesion, and fouling interactions of surface coatings. While some of the example analyses involved multiple organisms, these methods can be tailored to focus on a single organism for biocompatibility characterization within a BSL-1 lab. These assays provide a simple and effective means of material characterization in a manner that is readily accessible to researchers, small laboratories, and businesses who wish to understand the potential applications of coatings or thin films either commercially available or designed by themselves.
We chose the two investigated organo-silane-based protective coatings (NF-1 and FS-1) for their surface characteristics, makeup, and hypothesized applications for antimicrobial, antifouling, or foul-releasing uses. Prior research on these coatings focused on material characterization and their use as protective coatings for a variety of substrates, with no known advantage or disadvantage for biocompatibility, making them an unbiased material for these analyses. Testing bacterial interactions shows they were not biocidal or antifouling but display benign bacterial cellular interactions. We also used an accelerated leaching analysis to simulate natural degradation over time to investigate photo-activatable agents and their ability to leach. Diphenlyiodonium hexafluorophosphate was quite soluble in water and demonstrated similar peak patterns to the acetonitrile control. When inspecting samples with a lower surface area, representative of delaminated or chipped material, no significant leaching of photo-active components was observed. However, in the higher surface area, the finely powdered samples, some absorptive characteristics of diphenlyiodonium hexafluorophosphate were notable at 220 nm, which may be due to the nature of the photoacid generator and its byproducts, as no significant pH change was observed in the HEK cell analysis. This gave confidence that no significant component leaching occurs when the coating delaminates, as analysis of highly degraded material suggests the minimal presence of the initiators seen in absorption measurements in Figure 5. No antibacterial traits were detected, as evidenced by the high cell viability observed in all cell cultures seen in Figure 7, Figure 8, and Figure 10 as compared to controls. While the biofilm assay was able to show the buildup and formation of a biofilm on each surface, this is not representative of foul release testing and may be due to surface interactions since bacteria typically have minimal adherence to substrates with surface energies around 25 mJ/m2 and may occur due to the coating surface makeup or the gentle culture workup [63]. The benign biocompatibility interactions and surface characterization, such as CA, surface roughness, and surface energy, will steer future investigations regarding NF-1 and FS-1 toward foul-releasing studies as opposed to antibacterial and antifouling implementations as these characteristics were not observed. By thoroughly evaluating biocompatibility, leaching, and surface properties, these assays can assist in identifying a specific range of potential applications and guide the next phase of materials research/testing, which can aid decision-making before committing to extensive third party analysis. The coatings industry encompasses a wide range of uses and utilizing this set of assays can help ascertain any antibacterial, antifouling, and foul-releasing characteristics that are of particular value for commercial or industrial applications.

Supplementary Materials

The following supporting information can be downloaded at: https://www.mdpi.com/article/10.3390/coatings14070849/s1.

Author Contributions

Conceptualization, R.M.P., C.B.S. and J.C.F.; Methodology, R.M.P., C.B.S., X.T. and H.W.; Validation, R.M.P.; Investigation, R.M.P., M.J.F. and H.W.; Resources, X.T.; Writing—original draft, R.M.P. and C.B.S.; Writing—review & editing, X.T., H.W. and J.C.F.; Supervision, H.W. and J.C.F. All authors have read and agreed to the published version of the manuscript.

Funding

This research was funded by Bowling Green State University through startup funding to X.T.

Institutional Review Board Statement

Not applicable.

Informed Consent Statement

Not applicable.

Data Availability Statement

Data are contained within the article and supplementary materials.

Conflicts of Interest

The authors declare no conflict of interest.

Abbreviations

OD600Optical Density at 600 nmCAContact Angle
SOCSuper Optimal BrothRIRadical Initiator
DMEMDulbecco’c Modified Eagle MediumPAGPhotoacid Generator
FBSFetal Bovine SerumACNAcetonitrile
MCEMixed Cellulose EsterLBLiquid Broth
RaMean RoughnessBSLBiological Saftey Lab
RqRoot-mean-square roughness

References

  1. Krewski, D.; Andersen, M.E.; Tyshenko, M.G.; Krishnan, K.; Hartung, T.; Boekelheide, K.; Wambaugh, J.F.; Jones, D.; Whelan, M.; Thomas, R.; et al. Toxicity Testing in the 21st Century: Progress in the Past Decade and Future Perspectives; Springer: Berlin/Heidelberg, Germany, 2020; Volume 94, ISBN 0123456789. [Google Scholar]
  2. Fischer, I.; Milton, C.; Wallace, H. Toxicity Testing Is Evolving! Toxicol. Res. 2020, 9, 67–80. [Google Scholar] [CrossRef]
  3. Balouiri, M.; Sadiki, M.; Ibnsouda, S.K. Methods for in Vitro Evaluating Antimicrobial Activity: A Review. J. Pharm. Anal. 2016, 6, 71–79. [Google Scholar] [CrossRef] [PubMed]
  4. Li, W.; Zhou, J.; Xu, Y. Study of the in Vitro Cytotoxicity Testing of Medical Devices. Biomed. Rep. 2015, 3, 617–620. [Google Scholar] [CrossRef]
  5. Chellappa, M.; Anjaneyulu, U.; Manivasagam, G.; Vijayalakshmi, U. Preparation and Evaluation of the Cytotoxic Nature of TiO2 Nanoparticles by Direct Contact Method. Int. J. Nanomed. 2015, 10, 31–41. [Google Scholar] [CrossRef]
  6. Iverson, B.L.; Dervan, P.B. Rapid Screening of Biomedical Polymers by Two Methods of Tissue Cul. 7823–7830.
  7. Piazza, V.; Gambardella, C.; Garaventa, F.; Massanisso, P.; Chiavarini, S.; Faimali, M. A New Approach to Testing Potential Leaching Toxicity of Fouling Release Coatings (FRCs). Mar. Environ. Res. 2018, 141, 305–312. [Google Scholar] [CrossRef]
  8. Pantulap, U.; Unalan, I.; Zheng, K.; Boccaccini, A.R. Hydroxycarbonate Apatite Formation, Cytotoxicity, and Antibacterial Properties of Rubidium-Doped Mesoporous Bioactive Glass Nanoparticles. J. Porous Mater. 2024, 31, 685–696. [Google Scholar] [CrossRef]
  9. Li, M.; Mondrinos, M.J.; Chen, X.; Gandhi, M.R.; Ko, F.K.; Lelkes, P.I. In Vitro and in Vivo (Cyto)Toxicity Assays Using PVC and LDPE as Model Materials. J. Biomed. Mater. Res. A 2006, 79, 175–182. [Google Scholar] [CrossRef]
  10. HENSTEN-PETTERSEN, A. Comparison of the Methods Available for Assessing Cytotoxicity. Int. Endod. J. 1988, 21, 89–99. [Google Scholar] [CrossRef]
  11. Gatto, C.; Ruzza, P.; Giurgola, L.; Honisch, C.; Rossi, O.; Romano, M.R.; Ragazzi, E.; D’Amato Tóthová, J. Comparison of Perfluorocarbon Liquids Cytotoxicity Tests: Direct Contact Versus the Test on Liquid Extracts. ACS Omega 2022, 8, 365–372. [Google Scholar] [CrossRef]
  12. Srivastava, G.K.; Alonso-Alonso, M.L.; Fernandez-Bueno, I.; Garcia-Gutierrez, M.T.; Rull, F.; Medina, J.; Coco, R.M.; Pastor, J.C. Comparison between Direct Contact and Extract Exposure Methods for PFO Cytotoxicity Evaluation. Sci. Rep. 2018, 8, 1425. [Google Scholar] [CrossRef]
  13. Liu, X.; Rodeheaver, D.P.; White, J.C.; Wright, A.M.; Walker, L.M.; Zhang, F.; Shannon, S. A Comparison of in Vitro Cytotoxicity Assays in Medical Device Regulatory Studies. Regul. Toxicol. Pharmacol. 2018, 97, 24–32. [Google Scholar] [CrossRef]
  14. Wang, M.O.; Etheridge, J.M.; Thompson, J.A.; Vorwald, C.E.; Dean, D.; Fisher, J.P. Evaluation of the in Vitro Cytotoxicity of Cross-Linked Biomaterials. Biomacromolecules 2013, 14, 1321–1329. [Google Scholar] [CrossRef]
  15. Li, M.; Neoh, K.G.; Xu, L.Q.; Wang, R.; Kang, E.T.; Lau, T.; Olszyna, D.P.; Chiong, E. Surface Modification of Silicone for Biomedical Applications Requiring Long-Term Antibacterial, Antifouling, and Hemocompatible Properties. Langmuir 2012, 28, 16408–16422. [Google Scholar] [CrossRef]
  16. Alexandrescu, L.; Syverud, K.; Gatti, A.; Chinga-Carrasco, G. Cytotoxicity Tests of Cellulose Nanofibril-Based Structures. Cellulose 2013, 20, 1765–1775. [Google Scholar] [CrossRef]
  17. Leonardo, M.R.; Da Silva, L.A.B.; Tanomaru Filho, M.; Bonifácio, K.C.; Ito, I.Y. In Vitro Evaluation of Antimicrobial Activity of Sealers and Pastes Used in Endodontics. J. Endod. 2000, 26, 391–394. [Google Scholar] [CrossRef]
  18. Francolini, I.; Donelli, G. Prevention and Control of Biofilm-Based Medical-Device-Related Infections. FEMS Immunol. Med. Microbiol. 2010, 59, 227–238. [Google Scholar] [CrossRef]
  19. Zare, M.; Ghomi, E.R.; Venkatraman, P.D.; Ramakrishna, S. Silicone-Based Biomaterials for Biomedical Applications: Antimicrobial Strategies and 3D Printing Technologies. J. Appl. Polym. Sci. 2021, 138, 50969. [Google Scholar] [CrossRef]
  20. Lopez, A.I.; Kumar, A.; Planas, M.R.; Li, Y.; Nguyen, T.V.; Cai, C. Biofunctionalization of Silicone Polymers Using Poly(Amidoamine) Dendrimers and a Mannose Derivative for Prolonged Interference against Pathogen Colonization. Biomaterials 2011, 32, 4336–4346. [Google Scholar] [CrossRef]
  21. Ciriminna, R.; Bright, F.V.; Pagliaro, M. Ecofriendly Antifouling Marine Coatings. ACS Sustain. Chem. Eng. 2015, 3, 559–565. [Google Scholar] [CrossRef]
  22. Hu, P.; Xie, Q.; Ma, C.; Zhang, G. Silicone-Based Fouling-Release Coatings for Marine Antifouling. Langmuir 2020, 36, 2170–2183. [Google Scholar] [CrossRef]
  23. Chambers, L.D.; Stokes, K.R.; Walsh, F.C.; Wood, R.J.K. Modern Approaches to Marine Antifouling Coatings. Surf. Coat. Technol. 2006, 201, 3642–3652. [Google Scholar] [CrossRef]
  24. Sims, C.B.; Lenora, C.U.; Furgal, J.C. Hybrid Tri-Cure Organo-Silicon Coatings for Monument Preservation. Coatings 2022, 12, 1098. [Google Scholar] [CrossRef]
  25. Omnirad 819. Material Safety Data Sheet. Available online: https://gato-docs.its.txstate.edu/jcr:65445a50-260d-47c8-a175-86b58b3fb23e/IGMR%20Resins%20USA%20Inc%20-%20Omnirad%20819.pdf (accessed on 3 July 2024).
  26. Diphenyliodonium Hexafluorophosphate. Material Safety Data Sheet. Available online: https://www.fishersci.com/store/msds?partNumber=AC450910050&productDescription=DIPHENYLIODONIUM+HEXAFLU+5GR&vendorId=VN00032119&countryCode=US&language=en (accessed on 3 July 2024).
  27. IGM Resins General Information Omnirad 819 Photoinitiator Product Data Sheet. Available online: https://www.penpoly.com/app/uploads/2021/07/Omnirad-819_tds.pdf (accessed on 3 July 2024).
  28. Balan, L.; Melinte, V.; Buruiana, T.; Schneider, R.; Vidal, L. Controlling the Morphology of Gold Nanoparticles Synthesized Photochemically in a Polymer Matrix through Photonic Parameters. Nanotechnology 2012, 23, 415705. [Google Scholar] [CrossRef] [PubMed]
  29. Uzunlar, E.; Schwartz, J.; Phillips, O.; Kohl, P.A. Decomposable and Template Polymers: Fundamentals and Applications. J. Electron. Packag. 2016, 138, 020802. [Google Scholar] [CrossRef]
  30. Ghobashy, M.M. Ionizing Radiation-Induced Polymerization. In Ionizing Radiation Effects and Applications; InTech: Houston, TX, USA, 2018. [Google Scholar]
  31. Dektar, J.L.; Hacker, N.P. Photochemistry of Diaryliodonium Salts. J. Org. Chem. 1990, 55, 639–647. [Google Scholar] [CrossRef]
  32. Crivello, J.V. Diaryliodonium Salt Photoacid Generators. In Wiley Blackwell 6; Wiley Blackwell: Hoboken, NJ, USA, 2014; pp. 457–478. ISBN 9781118909911. [Google Scholar]
  33. Hossain, M.L.; Hammer, K.; Lim, L.Y.; Hettiarachchi, D.; Locher, C. Optimisation of an Agar Overlay Assay for the Assessment of the Antimicrobial Activity of Topically Applied Semi-Solid Antiseptic Products Including Honey-Based Formulations. J. Microbiol. Methods 2022, 202, 106596. [Google Scholar] [CrossRef] [PubMed]
  34. Sjollema, J.; Zaat, S.A.J.; Fontaine, V.; Ramstedt, M.; Luginbuehl, R.; Thevissen, K.; Li, J.; van der Mei, H.C.; Busscher, H.J. In Vitro Methods for the Evaluation of Antimicrobial Surface Designs. Acta Biomater. 2018, 70, 12–24. [Google Scholar] [CrossRef] [PubMed]
  35. Ghamrawi, S.; Bouchara, J.P.; Corbin, A.; Rogalsky, S.; Tarasyuk, O.; Bardeau, J.F. Inhibition of Fungal Growth by Silicones Modified with Cationic Biocides. Mater. Today Commun. 2020, 22, 100716. [Google Scholar] [CrossRef]
  36. Borowski, R.G.V.; Barros, M.P.; da Silva, D.B.; Lopes, N.P.; Zimmer, K.R.; Staats, C.C.; de Oliveira, C.B.; Giudice, E.; Gillet, R.; Macedo, A.J.; et al. Red Pepper Peptide Coatings Control Staphylococcus Epidermidis Adhesion and Biofilm Formation. Int. J. Pharm. 2020, 574, 118872. [Google Scholar] [CrossRef]
  37. Lejars, M.; Margaillan, A.; Bressy, C. Fouling Release Coatings: A Nontoxic Alternative to Biocidal Antifouling Coatings. Chem. Rev. 2012, 112, 4347–4390. [Google Scholar] [CrossRef]
  38. Yebra, D.M.; Kiil, S.; Dam-Johansen, K. Antifouling Technology—Past, Present and Future Steps towards Efficient and Environmentally Friendly Antifouling Coatings. Prog. Org. Coat. 2004, 50, 75–104. [Google Scholar] [CrossRef]
  39. CELL CULTURE BASICS Handbook. Available online: https://www.vanderbilt.edu/viibre/CellCultureBasicsEU.pdf (accessed on 3 July 2024).
  40. Piccinini, F.; Tesei, A.; Arienti, C.; Bevilacqua, A. Cell Counting and Viability Assessment of 2D and 3D Cell Cultures: Expected Reliability of the Trypan Blue Assay. Biol. Proced. Online 2017, 19, 8. [Google Scholar] [CrossRef]
  41. Lebeau, P.F.; Chen, J.; Byun, J.H.; Platko, K.; Austin, R.C. The Trypan Blue Cellular Debris Assay: A Novel Low-Cost Method for the Rapid Quantification of Cell Death. MethodsX 2019, 6, 1174–1180. [Google Scholar] [CrossRef]
  42. Kamiloglu, S.; Sari, G.; Ozdal, T.; Capanoglu, E. Guidelines for Cell Viability Assays. Food Front. 2020, 1, 332–349. [Google Scholar] [CrossRef]
  43. Segeritz, C.P.; Vallier, L. Cell Culture: Growing Cells as Model Systems In Vitro; Elsevier: Amsterdam, The Netherlands, 2017; ISBN 9780128030783. [Google Scholar]
  44. Buskens, P.; Wouters, M.; Rentrop, C.; Vroon, Z. A Brief Review of Environmentally Benign Antifouling and Foul-Release Coatings for Marine Applications. J. Coat. Technol. Res. 2013, 10, 29–36. [Google Scholar] [CrossRef]
  45. Francolini, I.; Vuotto, C.; Piozzi, A.; Donelli, G. Antifouling and Antimicrobial Biomaterials: An Overview. Apmis 2017, 125, 392–417. [Google Scholar] [CrossRef]
  46. Pistone, A.; Scolaro, C.; Visco, A. Mechanical Properties of Protective Coatings against Marine Fouling: A Review. Polymers 2021, 13, 173. [Google Scholar] [CrossRef]
  47. Sfameni, S.; Rando, G.; Marchetta, A.; Scolaro, C.; Cappello, S.; Urzì, C.; Visco, A.; Plutino, M.R. Development of Eco-Friendly Hydrophobic and Fouling-Release Coatings for Blue-Growth Environmental Applications: Synthesis, Mechanical Characterization and Biological Activity. Gels 2022, 8, 528. [Google Scholar] [CrossRef]
  48. Gipperth, L. The Legal Design of the International and European Union Ban on Tributyltin Antifouling Paint: Direct and Indirect Effects. J. Environ. Manag. 2009, 90, 86–95. [Google Scholar] [CrossRef]
  49. McNeil, E.M. Antifouling: Regulation of Biocides in the UK before and after Brexit. Mar. Policy 2018, 92, 58–60. [Google Scholar] [CrossRef]
  50. Rulison, C. Measure Surface Energy: A Tutorial Designed to Provide Basic Understanding of the Concept of Solid Surface Energy. Available online: https://www.sanyo-si.com/wp-content/uploads/kruss-tn306-en.pdf (accessed on 3 July 2024).
  51. O’Toole, G.A. Microtiter Dish Biofilm Formation Assay. J. Vis. Exp. 2011, 30, e2437. [Google Scholar] [CrossRef]
  52. Law, K.-Y. Definitions for Hydrophilicity, Hydrophobicity, and Superhydrophobicity: Getting the Basics Right. J. Phys. Chem. Lett. 2014, 5, 686–688. [Google Scholar] [CrossRef] [PubMed]
  53. Erbil, H.Y. Contact Angle of Liquid Drops on Solids, 1st edition. Surf. Chem. 2006, 308–337. [Google Scholar] [CrossRef]
  54. Thomas, S.; Nochehdehi, A.R. Handbook of Magnetic Hybrid Nanoalloys and Their Nanocomposites; Springer: Berlin/Heidelberg, Germany, 2022; ISBN 9783030909482. [Google Scholar]
  55. Ray, S.S.; Lee, H.K.; Kwon, Y.N. Review on Blueprint of Designing Anti-Wetting Polymeric Membrane Surfaces for Enhanced Membrane Distillation Performance. Polymers 2019, 12, 23. [Google Scholar] [CrossRef] [PubMed]
  56. Candries, M.; Atlar, M.; Guerrero, A.; Anderson, C.D. Lower Frictional Resistance Characteristics of Foul Release Systems. In Practical Design of Ships and Other Floating Structures; Elsevier: Amsterdam, The Netherlands, 2001; pp. 517–523. [Google Scholar]
  57. Sun, L.; Wang, N.; Wang, Y.; Chen, P.; Liu, H.; Cao, S.; Liu, Y.; Gao, C. Fabrication of an Anti-Fouling Coating Based on Epoxy Resin with a Double Antibacterial Effect via an in Situ Polymerization Strategy. Prog. Org. Coat. 2023, 184, 107837. [Google Scholar] [CrossRef]
  58. Akuzov, D.; Vladkova, T.; Klöppel, A.; Brümmer, F. Composition antifouling coating: Effect of siloxane and fluorinated oil incorporation on marine biofilm formation. J. Chem. Technol. Metall. 2014, 49, 229–237. [Google Scholar]
  59. Candries, M.; Atlar, M.; Anderson, C.; Candries, M.; Atlar, M.; Anderson, C.D. Low-Energy Surfaces on High-Speed Craft. Proc. 2nd Euroconference High-Perform. Veh. HIPER 2001, 1, 119–127. [Google Scholar]
  60. Qiu, H.; Feng, K.; Gapeeva, A.; Meurisch, K.; Kaps, S.; Li, X.; Yu, L.; Mishra, Y.K.; Adelung, R.; Baum, M. Functional Polymer Materials for Modern Marine Biofouling Control. Prog. Polym. Sci. 2022, 127, 101516. [Google Scholar] [CrossRef]
  61. Dataphyics Surface Tension Values of Some Common Test Liquids for Surface Energy Analysis Surface Tension Values of Some Common Test Liquids for Surface Energy Analysis. Available online: https://www.dataphysics-instruments.com/Downloads/Surface-Tensions-Energies.pdf (accessed on 3 July 2024).
  62. Detty, M.R.; Ciriminna, R.; Bright, F.V.; Pagliaro, M. Environmentally Benign Sol-Gel Antifouling and Foul-Releasing Coatings. Acc. Chem. Res. 2014, 47, 678–687. [Google Scholar] [CrossRef]
  63. Zhao, Q.; Liu, Y.; Wang, C.; Wang, S.; Müller-Steinhagen, H. Effect of Surface Free Energy on the Adhesion of Biofouling and Crystalline Fouling. Chem. Eng. Sci. 2005, 60, 4858–4865. [Google Scholar] [CrossRef]
Figure 1. The photoinitiated radical thiol-ene reaction occurs in the hybrid organosilane coatings when Omnirad 819 is irradiated with UV light [27,28]. When diphenlyiodonium hexafluorophosphate is exposed to UV light, it triggers a photoinitiated reaction that generates a Lewis acid. This particular example illustrates the homogenous self-polymerization of an epoxy [29,30]; however, additional mechanisms exist that are ionic and generate H+ and biphenyl byproducts as well to aid in amine–epoxy reactions [31,32].
Figure 1. The photoinitiated radical thiol-ene reaction occurs in the hybrid organosilane coatings when Omnirad 819 is irradiated with UV light [27,28]. When diphenlyiodonium hexafluorophosphate is exposed to UV light, it triggers a photoinitiated reaction that generates a Lewis acid. This particular example illustrates the homogenous self-polymerization of an epoxy [29,30]; however, additional mechanisms exist that are ionic and generate H+ and biphenyl byproducts as well to aid in amine–epoxy reactions [31,32].
Coatings 14 00849 g001
Figure 2. Examples of the average static contact angles observed in the uncoated microscope slides (58.9°, left), NF-1-coated slide (99.4°, middle), and FS-1-coated slide (101.4°, right).
Figure 2. Examples of the average static contact angles observed in the uncoated microscope slides (58.9°, left), NF-1-coated slide (99.4°, middle), and FS-1-coated slide (101.4°, right).
Coatings 14 00849 g002
Figure 3. Zisman plots of surface energy for NF-1 (left) exhibiting 33.58 mJ/m2 and FS-1 (right) exhibiting 15.01 mJ/m2. The trend lines are shown in solid black, the solvents with non-zero contact angles are depicted as solid black dots, and solvents exhibiting no contact angle are shown as empty circles. Dashed lines show the maximum value for Cos θ at 1.00, and the corresponding X-intercept which represents the estimated surface energy.
Figure 3. Zisman plots of surface energy for NF-1 (left) exhibiting 33.58 mJ/m2 and FS-1 (right) exhibiting 15.01 mJ/m2. The trend lines are shown in solid black, the solvents with non-zero contact angles are depicted as solid black dots, and solvents exhibiting no contact angle are shown as empty circles. Dashed lines show the maximum value for Cos θ at 1.00, and the corresponding X-intercept which represents the estimated surface energy.
Coatings 14 00849 g003
Figure 4. The UV-Vis spectra of the Omnirad 819 radical initiator (RI) and diphenyliodonium hexafluorophosphate photoacid generator (PAG) in water and acetonitrile (ACN) before and after exposure to a UV light source for 2, 5, and 10 min. All absorbances are shown from 0 to 3.0 for direct comparison.
Figure 4. The UV-Vis spectra of the Omnirad 819 radical initiator (RI) and diphenyliodonium hexafluorophosphate photoacid generator (PAG) in water and acetonitrile (ACN) before and after exposure to a UV light source for 2, 5, and 10 min. All absorbances are shown from 0 to 3.0 for direct comparison.
Coatings 14 00849 g004
Figure 5. The UV-Vis spectra of the aqueous solutions that had been exposed to NF-1 and FS-1 coating samples after removal from a substrate as flakes and after being finely ground into a powder while heating. The spectra were taken under ambient conditions, and after exposing the solution to a UV light source, the solution was exposed for an additional 2, 5, and 10 min. Absorption is given in a range of intensity from 0 to 1.4 for comparative representation.
Figure 5. The UV-Vis spectra of the aqueous solutions that had been exposed to NF-1 and FS-1 coating samples after removal from a substrate as flakes and after being finely ground into a powder while heating. The spectra were taken under ambient conditions, and after exposing the solution to a UV light source, the solution was exposed for an additional 2, 5, and 10 min. Absorption is given in a range of intensity from 0 to 1.4 for comparative representation.
Coatings 14 00849 g005
Figure 6. The UV-Vis spectra of the powdered NF-1 and FS-1 coatings after being held at 47 °C for 7 days. The samples were analyzed in water throughout ten minutes of UV exposure.
Figure 6. The UV-Vis spectra of the powdered NF-1 and FS-1 coatings after being held at 47 °C for 7 days. The samples were analyzed in water throughout ten minutes of UV exposure.
Coatings 14 00849 g006
Figure 7. (A) Direct contact methods on Miller LB diluted 106 seeded with 50 µL (blue) and 75 µL (orange) colony count under coated surface. (B) Terrific LB diluted 107 seeded with 50 µL (blue) and 75 µL (orange) colony count under coated surface. (C) Miller LB plates seeded with 50 µL and 75 µL. (D) Terrific broth plates seeded with 50 µL and 75 µL.
Figure 7. (A) Direct contact methods on Miller LB diluted 106 seeded with 50 µL (blue) and 75 µL (orange) colony count under coated surface. (B) Terrific LB diluted 107 seeded with 50 µL (blue) and 75 µL (orange) colony count under coated surface. (C) Miller LB plates seeded with 50 µL and 75 µL. (D) Terrific broth plates seeded with 50 µL and 75 µL.
Coatings 14 00849 g007
Figure 8. Optical density measured at 600 nm over 8 h: FS-1 (green), NF-1 (orange), and control (red). (A) Growth rate over 8 hrs. (B) E. coli culture in coated test tubes.
Figure 8. Optical density measured at 600 nm over 8 h: FS-1 (green), NF-1 (orange), and control (red). (A) Growth rate over 8 hrs. (B) E. coli culture in coated test tubes.
Coatings 14 00849 g008
Figure 9. (A) Biofilm formation assay with P. aeruginosa. Absorbance at 550 nm for FS-1 (green), NF-1 (yellow), and control (red). (B) Here, 96-well coated plates of FS1, NF1, and control from left to right.
Figure 9. (A) Biofilm formation assay with P. aeruginosa. Absorbance at 550 nm for FS-1 (green), NF-1 (yellow), and control (red). (B) Here, 96-well coated plates of FS1, NF1, and control from left to right.
Coatings 14 00849 g009
Figure 10. (A) Average percent viability. (B) Culture plates in triplicate. (C) NF-1-coated HEK cell-colonized slide. (D) FS-1-coated HEK cell-colonized slide.
Figure 10. (A) Average percent viability. (B) Culture plates in triplicate. (C) NF-1-coated HEK cell-colonized slide. (D) FS-1-coated HEK cell-colonized slide.
Coatings 14 00849 g010
Table 1. The average contact angles of the glass slide cover slip uncoated and coated with NF-1 and FS-1. The arithmetic mean roughness (Ra) and root-mean-square roughness (Rq) values for the coated samples are included.
Table 1. The average contact angles of the glass slide cover slip uncoated and coated with NF-1 and FS-1. The arithmetic mean roughness (Ra) and root-mean-square roughness (Rq) values for the coated samples are included.
SampleAverage Contact AngleArithmetic Mean Roughness (Ra)Root-Mean-Square Roughness (Rq)
Uncoated49.9° (±6.5)--
NF-199.6° (±7.4)7.26 nm (±2.8)9.51 nm (±3.5)
FS-1101.5° (±1.82)3.65 nm (±1.8)4.91 nm (±2.9)
Disclaimer/Publisher’s Note: The statements, opinions and data contained in all publications are solely those of the individual author(s) and contributor(s) and not of MDPI and/or the editor(s). MDPI and/or the editor(s) disclaim responsibility for any injury to people or property resulting from any ideas, methods, instructions or products referred to in the content.

Share and Cite

MDPI and ACS Style

Postema, R.M.; Sims, C.B.; Fyfe, M.J.; Tan, X.; Wildschutte, H.; Furgal, J.C. Exploring Preliminary Biocompatibility Testing in Coating Development. Coatings 2024, 14, 849. https://doi.org/10.3390/coatings14070849

AMA Style

Postema RM, Sims CB, Fyfe MJ, Tan X, Wildschutte H, Furgal JC. Exploring Preliminary Biocompatibility Testing in Coating Development. Coatings. 2024; 14(7):849. https://doi.org/10.3390/coatings14070849

Chicago/Turabian Style

Postema, Rick M., Cory B. Sims, Michael J. Fyfe, Xiaohong Tan, Hans Wildschutte, and Joseph C. Furgal. 2024. "Exploring Preliminary Biocompatibility Testing in Coating Development" Coatings 14, no. 7: 849. https://doi.org/10.3390/coatings14070849

APA Style

Postema, R. M., Sims, C. B., Fyfe, M. J., Tan, X., Wildschutte, H., & Furgal, J. C. (2024). Exploring Preliminary Biocompatibility Testing in Coating Development. Coatings, 14(7), 849. https://doi.org/10.3390/coatings14070849

Note that from the first issue of 2016, this journal uses article numbers instead of page numbers. See further details here.

Article Metrics

Back to TopTop