A Deep Learning Image Corrosion Classification Method for Marine Vessels Using an Eigen Tree Hierarchy Module
Abstract
1. Introduction
2. Methodology
2.1. Data
2.2. YOLOv8 Trained (Large) Model
2.3. Proposed Eigen Module (YOLO-Eigen)

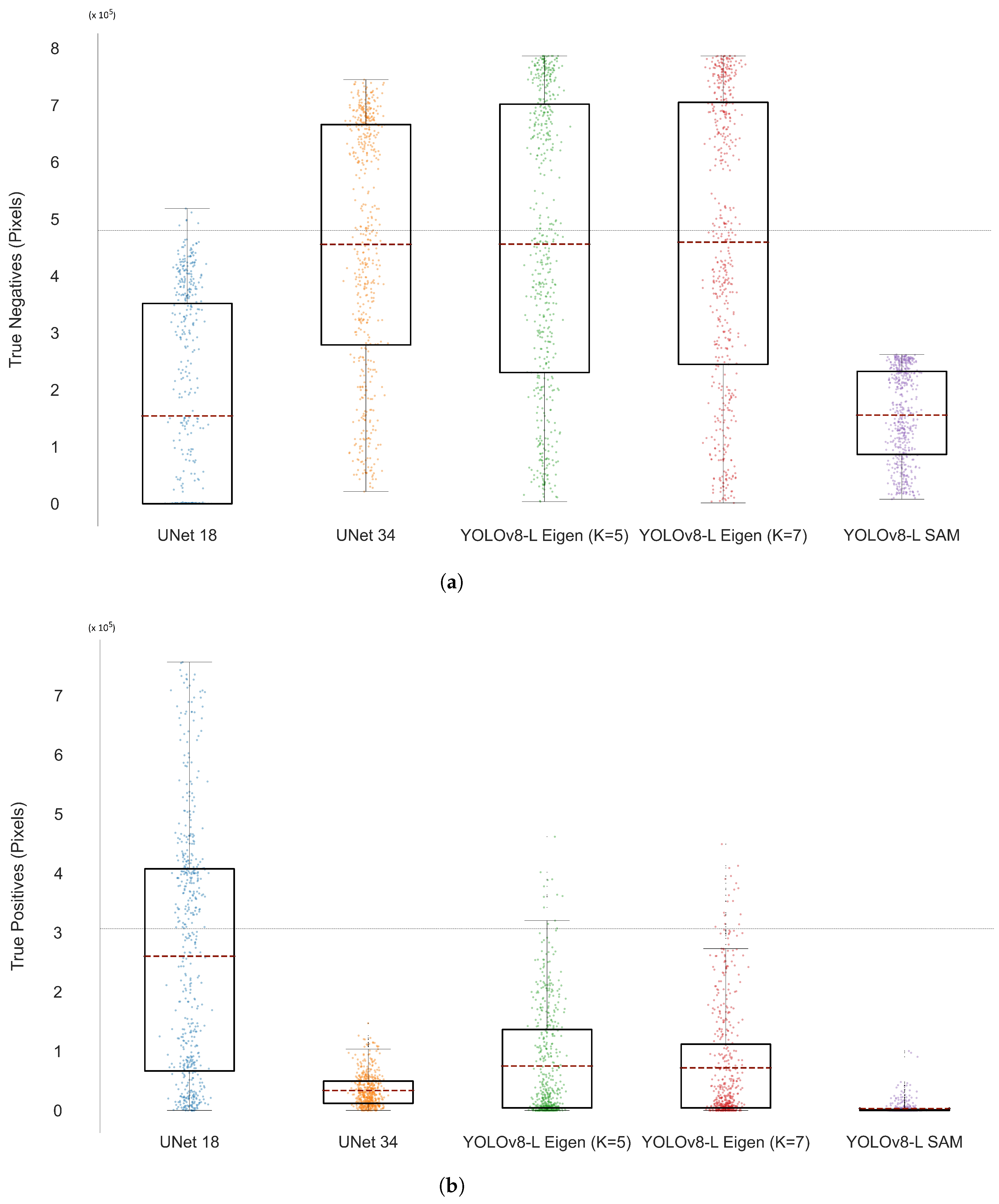
3. Research Findings
3.1. Performance Metrics
3.2. Segmentation Performance


3.3. Results Analysis
| BNN (SpotRust) | UNet (SEResNet) | YOLO-Eigen | YOLO-SAM | ||||
|---|---|---|---|---|---|---|---|
| Variational | Drop Out | SE-18 | SE-34 | ||||
| Accuracy (%) | 14.70 | 10.58 | 45.68 | 51.57 | 68.74 | 67.42 | 61.82 |
| Sensitivity (%) | 83.28 | 86.06 | 50.76 | 56.04 | 28.09 | 25.39 | 16.35 |
| Specificity (%) | 85.31 | 89.43 | 44.29 | 51.29 | 25.27 | 25.71 | 17.83 |
| Precision (%) | 11.25 | 11.21 | 34.02 | 41.12 | 77.28 | 73.97 | 64.89 |
| mAP (precision) | 0.42 | 0.26 | 0.44 | 0.53 | 0.52 | 0.53 | 0.41 |
| f-score (precision) | 0.19 | 0.19 | 0.41 | 0.47 | 0.41 | 0.39 | 0.25 |
4. Conclusions
Author Contributions
Funding
Institutional Review Board Statement
Informed Consent Statement
Data Availability Statement
Conflicts of Interest
References
- Thompson, N.G.; Yunovich, M.; Dunmire, D. Cost of corrosion and corrosion maintenance strategies. Corros. Rev. 2007, 25, 247–262. [Google Scholar] [CrossRef]
- Imran, M.M.H.; Jamaludin, S.; Mohamad Ayob, A.F. A critical review of machine learning algorithms in maritime, offshore, and oil & gas corrosion research: A comprehensive analysis of ANN and RF models. Ocean. Eng. 2024, 295, 116796. [Google Scholar] [CrossRef]
- Melchers, R.E. Corrosion uncertainty modelling for steel structures. J. Constr. Steel Res. 1999, 52, 3–19. [Google Scholar] [CrossRef]
- Jones, R.; Singh Raman, R.; McMillan, A. Crack growth: Does microstructure play a role? Eng. Fract. Mech. 2018, 187, 190–210. [Google Scholar] [CrossRef]
- Rodopoulos, C.; Chliveros, G. Fatigue damage in polycrystals—Part 1: The numbers two and three. Theor. Appl. Fract. Mech. 2008, 49, 61–76. [Google Scholar] [CrossRef]
- Rodopoulos, C.; Chliveros, G. Fatigue damage in polycrystals—Part 2: Intrinsic scatter of fatigue life. Theor. Appl. Fract. Mech. 2008, 49, 77–97. [Google Scholar] [CrossRef]
- International Maritime Organization. International Convention for the Safety of Life at Sea. Available online: https://www.refworld.org/docid/46920bf32.html (accessed on 12 May 2023).
- Momber, A.W.; Langenkämper, D.; Möller, T.; Nattkemper, T.W. The exploration and annotation of large amounts of visual inspection data for protective coating systems on stationary marine steel structures. Ocean. Eng. 2023, 278, 114337. [Google Scholar] [CrossRef]
- Zhang, J.; Cho, Y.; Kim, J.; Malikov, A.K.u.; Kim, Y.H.; Yi, J.H.; Li, W. Non-destructive evaluation of coating thickness using water immersion ultrasonic testing. Coatings 2021, 11, 1421. [Google Scholar] [CrossRef]
- Bonnin-Pascual, F.; Ortiz, A. On the use of robots and vision technologies for the inspection of vessels: A survey on recent advances. Ocean. Eng. 2019, 190, 106420. [Google Scholar] [CrossRef]
- Nash, W.; Zheng, L.; Birbilis, N. Deep learning corrosion detection with confidence. NPJ Mater. Degrad. 2022, 6, 26. [Google Scholar] [CrossRef]
- Ali, A.A.I.M.; Jamaludin, S.; Imran, M.M.H.; Ayob, A.F.M.; Ahmad, S.Z.A.S.; Akhbar, M.F.A.; Suhrab, M.I.R.; Ramli, M.R. Computer Vision and Image Processing Approaches for Corrosion Detection. J. Mar. Sci. Eng. 2023, 11, 1954. [Google Scholar] [CrossRef]
- Alboul, L.; Chliveros, G. A system for reconstruction from point clouds in 3D: Simplification and mesh representation. In Proceedings of the 11th International Conference on Control Automation Robotics & Vision, Singapore, 7–10 December 2010; pp. 2301–2306. [Google Scholar] [CrossRef]
- Chliveros, G.; Pateraki, M.; Trahanias, P. Robust Multi-hypothesis 3D Object Pose Tracking. In Proceedings of the Lecture Notes in Computer Science, Vol. 7963: Computer Vision Systems; Chen, M., Leibe, B., Neumann, B., Eds.; Springer: Berlin/Heidelberg, Germany, 2013; pp. 234–243. [Google Scholar] [CrossRef]
- Atha, D.J.; Jahanshahi, M.R. Evaluation of deep learning approaches based on convolutional neural networks for corrosion detection. Struct. Health Monit. 2018, 17, 1110–1128. [Google Scholar] [CrossRef]
- Coelho, L.B.; Zhang, D.; Van Ingelgem, Y.; Steckelmacher, D.; Nowé, A.; Terryn, H. Reviewing machine learning of corrosion prediction in a data-oriented perspective. NPJ Mater. Degrad. 2022, 6, 8. [Google Scholar] [CrossRef]
- Hussein Khalaf, A.; Xiao, Y.; Xu, N.; Wu, B.; Li, H.; Lin, B.; Nie, Z.; Tang, J. Emerging AI technologies for corrosion monitoring in oil and gas industry: A comprehensive review. Eng. Fail. Anal. 2024, 155, 107735. [Google Scholar] [CrossRef]
- Forkan, A.R.M.; Kang, Y.B.; Jayaraman, P.P.; Liao, K.; Kaul, R.; Morgan, G.; Ranjan, R.; Sinha, S. CorrDetector: A framework for structural corrosion detection from drone images using ensemble deep learning. Expert Syst. Appl. 2022, 193, 116461. [Google Scholar] [CrossRef]
- Guzmán-Torres, J.A.; Domínguez-Mota, F.J.; Martínez-Molina, W.; Naser, M.; Tinoco-Guerrero, G.; Tinoco-Ruíz, J.G. Damage Detection on Steel-Reinforced Concrete Produced by Corrosion via YOLOv3; A detailed guide. Front. Built Environ. 2023, 9, 41. [Google Scholar] [CrossRef]
- Brandoli, B.; de Geus, A.R.; Souza, J.R.; Spadon, G.; Soares, A.; Rodrigues, J.F.; Komorowski, J.; Matwin, S. Aircraft Fuselage Corrosion Detection Using Artificial Intelligence. Sensors 2021, 21, 4026. [Google Scholar] [CrossRef] [PubMed]
- Das, A.; Ichi, E.; Dorafshan, S. Image-Based Corrosion Detection in Ancillary Structures. Infrastructures 2023, 8, 66. [Google Scholar] [CrossRef]
- Chliveros, G.; Kontomaris, S.V.; Letsios, A. Automatic Identification of Corrosion in Marine Vessels Using Decision-Tree Imaging Hierarchies. Eng 2023, 4, 2090–2099. [Google Scholar] [CrossRef]
- Lin, B.; Dong, X. A multi-task segmentation and classification network for remote ship hull inspection. Ocean. Eng. 2024, 301, 117608. [Google Scholar] [CrossRef]
- Ortiz, A.; Bonnin-Pascual, F.; Garcia-Fidalgo, E.; Company-Corcoles, J. Vision-Based Corrosion Detection Assisted by a Micro-Aerial Vehicle in a Vessel Inspection Application. Sensors 2016, 16, 2118. [Google Scholar] [CrossRef]
- Nash, W.; Drummond, T.; Birbilis, N. Deep Learning AI for corrosion detection. In Proceedings of the NACE International CORROSION Conference Proceedings, NACE-2019-13267, Nashville, TN, USA, 24–28 March 2019. [Google Scholar]
- Yigit, K.; Adanur, M. Examination of the Potential Effect of Corrosion Current Density of Ship Hulls on the Sacrificial Anode Cathodic Protection. Bitlis Eren Üniversitesi Fen Bilim. Derg. 2023, 12, 292–298. [Google Scholar] [CrossRef]
- Lin, B.; Dong, X. Ship hull inspection: Survey. Ocean Eng. 2024, 289, 116281. [Google Scholar] [CrossRef]
- Orchard, M.T.; Bouman, C.A. Color Quantization of Images. IEEE Trans. Signal Process. 1991, 39, 2677–2690. [Google Scholar] [CrossRef]
- Manwani, N.; Sastry, P.S. Geometric Decision Tree. IEEE Trans. Syst. Man Cybern. 2012, 42, 181–192. [Google Scholar] [CrossRef]
- Sander, T.; Sander, J. Tree decomposition by eigenvectors. Linear Algebra Its Appl. 2009, 430, 133–144. [Google Scholar] [CrossRef][Green Version]
- Wang, J.; Sun, K.; Cheng, T.; Jiang, B.; Deng, C.; Zhao, Y.; Liu, D.; Mu, Y.; Tan, M.; Wang, X.; et al. Deep High-Resolution Representation Learning for Visual Recognition. IEEE Trans. Pattern Anal. Mach. Intell. 2021, 43, 3349–3364. [Google Scholar] [CrossRef]
- Ronneberger, O.; Fischer, P.; Brox, T. U-Net: Convolutional Networks for Biomedical Image Segmentation. In Proceedings of the Medical Image Computing and Computer-Assisted Intervention, Munich, Germany, 5–9 October 2015; Navab, N., Hornegger, J., Wells, W.M., Frangi, A.F., Eds.; Springer International Publishing: Berlin/Heidelberg, Germany, 2015; pp. 234–241. [Google Scholar]
- Redmon, J.; Divvala, S.; Girshick, R.; Farhadi, A. You Only Look Once: Unified, Real-Time Object Detection. In Proceedings of the IEEE Conference on Computer Vision and Pattern Recognition (CVPR), Los Alamitos, CA, USA, 27–30 June 2016; pp. 779–788. [Google Scholar] [CrossRef]
- Kirillov, A.; Mintun, E.; Ravi, N.; Mao, H.; Rolland, C.; Gustafson, L.; Xiao, T.; Whitehead, S.; Berg, A.C.; Lo, W.Y.; et al. Segment Anything. In Proceedings of the IEEE/CVF International Conference on Computer Vision (ICCV), Paris, France, 1–6 October 2023; pp. 4015–4026. [Google Scholar]




Disclaimer/Publisher’s Note: The statements, opinions and data contained in all publications are solely those of the individual author(s) and contributor(s) and not of MDPI and/or the editor(s). MDPI and/or the editor(s) disclaim responsibility for any injury to people or property resulting from any ideas, methods, instructions or products referred to in the content. |
© 2024 by the authors. Licensee MDPI, Basel, Switzerland. This article is an open access article distributed under the terms and conditions of the Creative Commons Attribution (CC BY) license (https://creativecommons.org/licenses/by/4.0/).
Share and Cite
Chliveros, G.; Tzanetatos, I.; Kontomaris, S.V. A Deep Learning Image Corrosion Classification Method for Marine Vessels Using an Eigen Tree Hierarchy Module. Coatings 2024, 14, 768. https://doi.org/10.3390/coatings14060768
Chliveros G, Tzanetatos I, Kontomaris SV. A Deep Learning Image Corrosion Classification Method for Marine Vessels Using an Eigen Tree Hierarchy Module. Coatings. 2024; 14(6):768. https://doi.org/10.3390/coatings14060768
Chicago/Turabian StyleChliveros, Georgios, Iason Tzanetatos, and Stylianos V. Kontomaris. 2024. "A Deep Learning Image Corrosion Classification Method for Marine Vessels Using an Eigen Tree Hierarchy Module" Coatings 14, no. 6: 768. https://doi.org/10.3390/coatings14060768
APA StyleChliveros, G., Tzanetatos, I., & Kontomaris, S. V. (2024). A Deep Learning Image Corrosion Classification Method for Marine Vessels Using an Eigen Tree Hierarchy Module. Coatings, 14(6), 768. https://doi.org/10.3390/coatings14060768

