On the Thermally Induced Interfacial Behavior of Thin Two-Dimensional Hexagonal Quasicrystal Films with an Adhesive Layer
Abstract
1. Introduction
2. Formulation of the Problem
2.1. The QC Film
2.2. The Adhesive Layer
2.3. Substrate
3. The Integral–Differential Equation
3.1. Formulation of Integral–Differential Equation
3.2. Solution on the Integral–Differential Equation
4. A Double Film Model
5. Numerical Results and Discussion
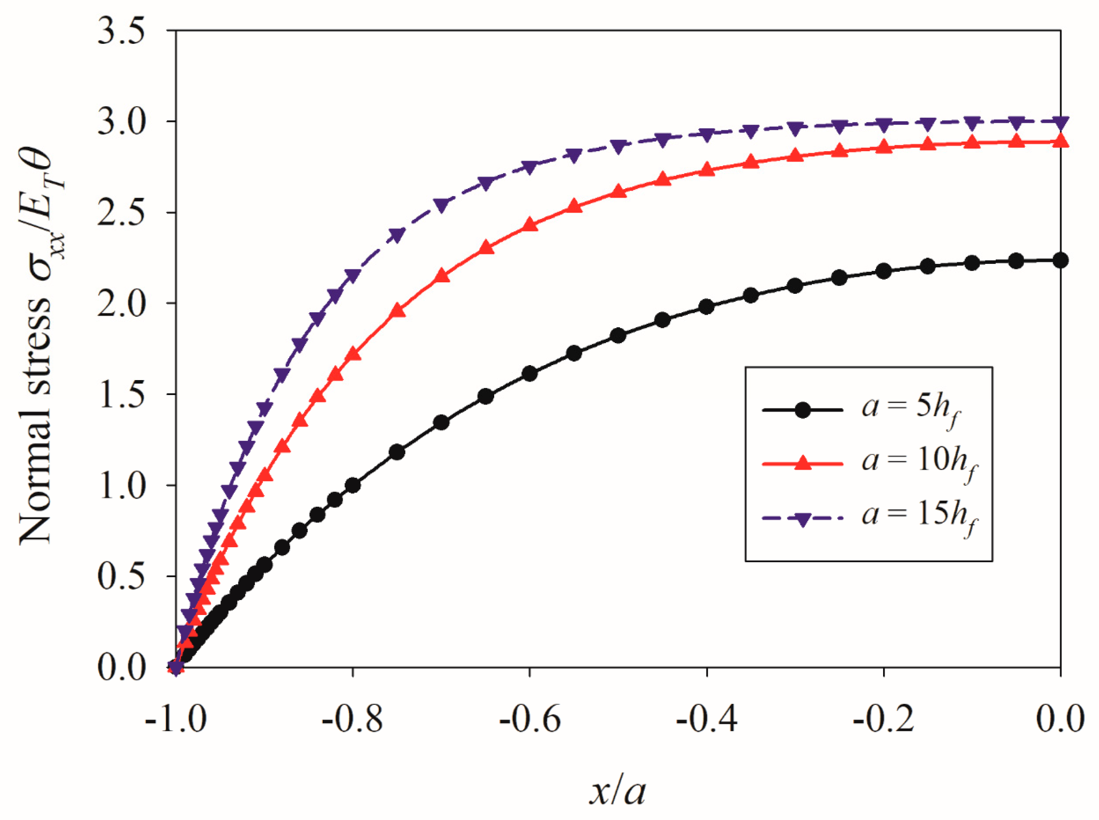
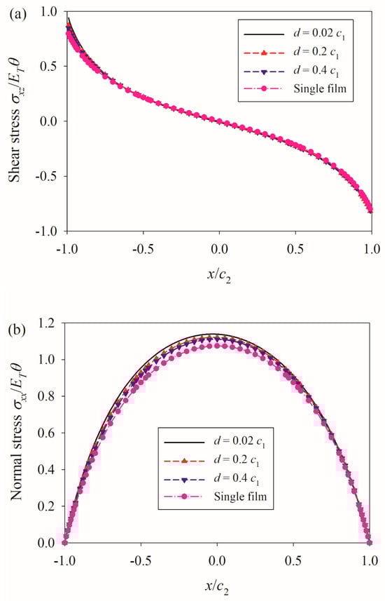
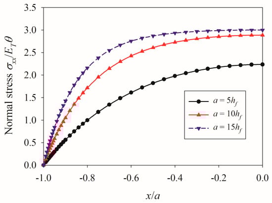
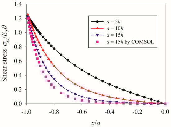
5.1. Validation of Numerical Simulations and Influence of the Aspect Ratio of QC Film
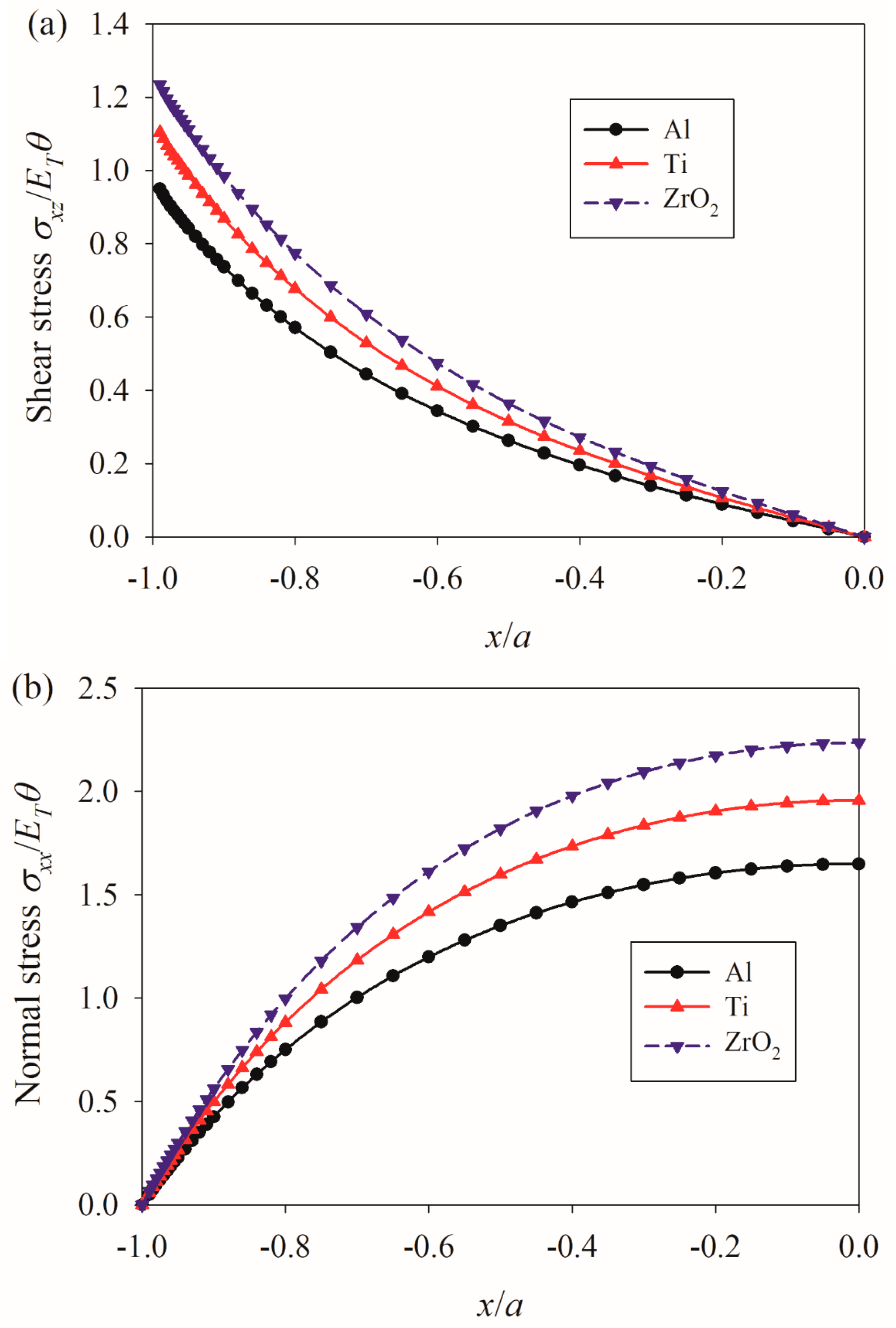
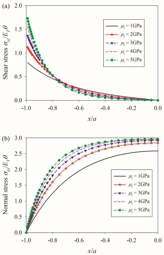
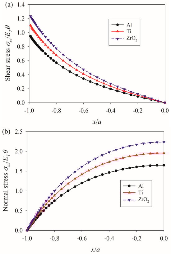
5.2. Influence of Material Mismatch
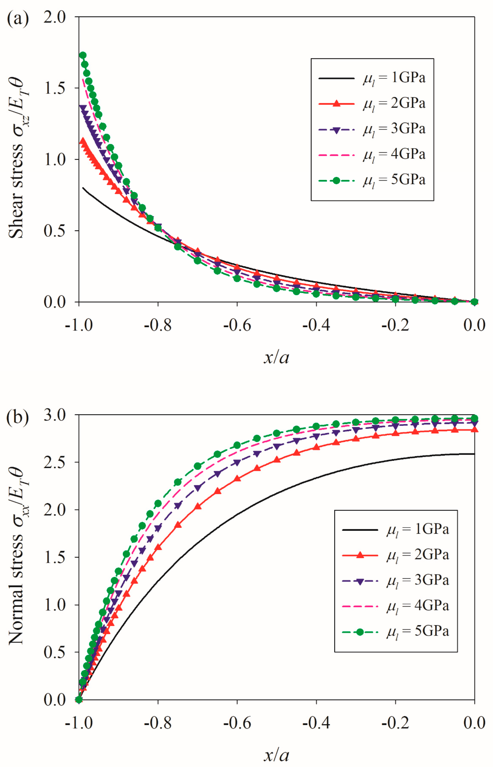
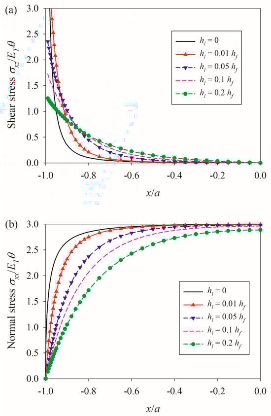
5.3. Influence of an Adhesive Layer
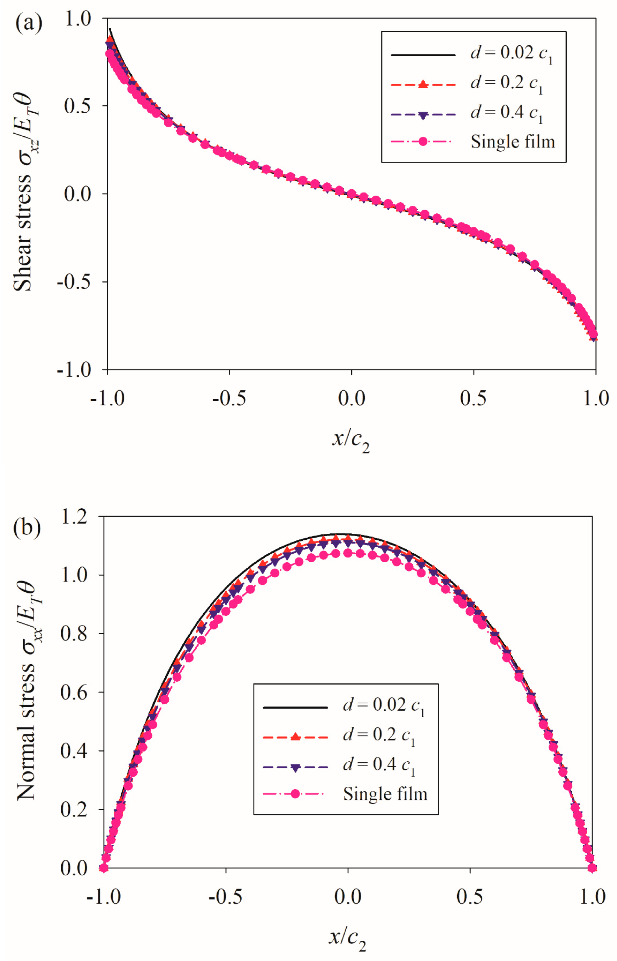
5.4. Influence of the Distance between Films without Adhesive Layers
5.5. Influence of Film Thickness and Length without Adhesive Layers
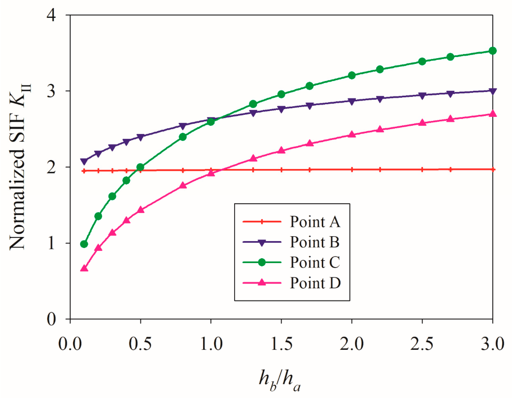
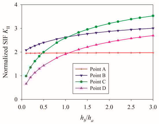
5.6. Influence of Adhesive Layers in a Double Film Model
6. Conclusions
Author Contributions
Funding
Institutional Review Board Statement
Informed Consent Statement
Data Availability Statement
Conflicts of Interest
References
- Dubois, J. Properties and applications of quasicrystals and complex metallic alloys. Chem. Soc. Rev. 2012, 41, 6760–6777. [Google Scholar] [CrossRef]
- Balbyshev, V.N.; King, D.J.; Khramov, A.; Kasten, L.S.; Donley, M.S. Investigation of quaternary Al-based quasicrystal thin films for corrosion protection. Thin Solid. Film. 2004, 447, 558–563. [Google Scholar] [CrossRef]
- Elina, H.S. Microstructure, fabrication and properties of quasicrystalline Al-Cu-Fe alloys: A review. J. Alloys Compd. 2004, 363, 150–174. [Google Scholar]
- Dubois, J.M.; Kang, S.S.; Vonstebut, J. Quasi-crystalline low-friction coatings. J. Mater. Sci. Lett. 1991, 10, 537–541. [Google Scholar] [CrossRef]
- Dubois, J.M. New prospects from potential applications of quasicrystalline materials. Mater. Sci. Eng. A 2000, 294, 4–9. [Google Scholar] [CrossRef]
- Ustinov, A.I.; Polischuk, S.S. Analysis of the texture of heterogeneous Al-Cu-Fe coatings containing quasicrystalline phase. Scripta Mater. 2002, 47, 881–886. [Google Scholar] [CrossRef]
- Guo, X.P.; Chen, J.F.; Yu, H.L.; Liao, H.L.; Coddet, C. A study on the microstructure and tribological behavior of cold-sprayed metal matrix composites reinforced by particulate quasicrystal. Surf. Coatings Technol. 2015, 268, 94–98. [Google Scholar] [CrossRef]
- Mora, J.; Garcia, P.; Muelas, R.; Agüero, A. Hard quasicrystalline coatings deposited by HVOF thermal spray to reduce ice accretion in aero-structures components. Coatings 2020, 10, 290. [Google Scholar] [CrossRef]
- Ramakrishnan, A.; Kesavan, K.K.; Chavhan, S.; Nagar, M.R.; Jou, J.H.; Chen, S.W.; Hsiao, H.W.; Zuo, J.M.; Huang, L.Y. Liquid exfoliation of decagonal quasicrystals and its light out-coupling performance in organic light-emitting devices. Adv. Photon-Res. 2020, 1, 2000042. [Google Scholar] [CrossRef]
- Mercier, T.M.; Rahman, T.; Krishnan, C.; Khorani, E.; Shaw, P.J.; Pollard, M.E.; Boden, S.A.; Lagoudakis, P.G.; Charlton, M. High symmetry nano-photonic quasi-crystals providing novel light management in silicon solar cells. Nano Energy 2021, 84, 105874. [Google Scholar] [CrossRef]
- Varadarajan, V.; Shekar, C. Fabrication of two-dimensional photonic quasi- crystals with 18- and 36- fold by holography for solar application. Iet Optoelectron. 2016, 10, 217–220. [Google Scholar] [CrossRef]
- Wang, S.; Sun, X.H.; Li, W.Y.; Liu, W.; Jiang, L.; Han, J. Fabrication of photonic quasicrystalline structures in the sub-micrometer scale. Superlattice Microst. 2016, 93, 122–127. [Google Scholar] [CrossRef]
- Zhong, J.B.; Chen, Y.J.; Teng, L.L.; Shao, X.J.; Han, B.; Yan, F. Research progress on Al based quasicrystal films/coatings. China Surf. Eng. 2021, 34, 105–116. [Google Scholar]
- Altidis, J.D.; Lima, S.J.G.; Gomes, R.M.; Sampaio, E.M.; Torres, S.M.; De Barros, S. Adhesion tests using epoxy quasicrystal composites. J. Adhes. Sci. Technol. 2012, 26, 1443–1451. [Google Scholar] [CrossRef]
- Lanzoni, L.; Radi, E. Thermally induced deformations in a partially coated elastic layer. Int. J. Solids Struct. 2009, 46, 1402–1412. [Google Scholar] [CrossRef]
- Aleksandrov, V.M. Two problems with mixed boundary conditions for an elastic orthotropic strip. J. Appl. Math. Mech. 2006, 70, 128–138. [Google Scholar] [CrossRef]
- Qi, K.; Yang, Y.; Hu, G.F.; Lu, X.; Li, J.D. Thermal expansion control of composite coatings on 42CrMo by laser cladding. Surf. Coatings Technol. 2020, 397, 125983. [Google Scholar] [CrossRef]
- Akisanya, A.R.; Fleck, N.A. The edge cracking and decohesion of thin films. Int. J. Solids Struct. 1994, 31, 3175–3199. [Google Scholar] [CrossRef]
- Yu, H.H.; He, M.Y.; Hutchinson, J.W. Edge effects in thin film delamination. Acta Mater. 2001, 49, 93–107. [Google Scholar] [CrossRef]
- Guler, M.A.; Gulver, Y.F.; Nart, E. Contact analysis of thin films bonded to graded coatings. Int. J. Mech. Sci. 2012, 55, 50–64. [Google Scholar] [CrossRef]
- Arutiunian, N.K. Contact problem for a half-plane with elastic reinforcement. J. Appl. Math. Mech. 1968, 32, 652–665. [Google Scholar] [CrossRef]
- Erdogan, F.; Gupta, G.D. The Problem of an Elastic Stiffener Bonded to a Half Plane. J. Appl. Mech. 1971, 38, 937–941. [Google Scholar] [CrossRef]
- Hu, S.M. Film-edge-induced stress in substrates. J. Appl. Phys. 1979, 50, 4661–4666. [Google Scholar] [CrossRef]
- Shield, T.W.; Kim, K.S. Beam theory models for thin film segments cohesively bonded to an elastic half space. Int. Int. J. Solids Struct. 1992, 29, 1085–1103. [Google Scholar] [CrossRef]
- Chen, P.J.; Chen, S.H.; Peng, J.; Gao, F.; Liu, H. The interface behavior of a thin film bonded imperfectly to a finite thickness gradient substrate. Eng. Fract. Mech. 2019, 217, 106529. [Google Scholar] [CrossRef]
- Chen, P.J.; Peng, J.; Liu, H.; Gao, F.; Guo, W. The electromechanical behavior of a piezoelectric actuator bonded to a graded substrate including an adhesive layer. Mech. Mater. 2018, 123, 77–87. [Google Scholar] [CrossRef]
- Li, D.K.; Chen, P.J.; Huang, Z.X.; Liu, H.; Chen, S.H. The interfacial behavior of a thermoelectric thin-film bonded to an orthotropic substrate. Int. J. Solids Struct. 2023, 267, 112160. [Google Scholar] [CrossRef]
- Liu, M.; Lu, B.; Shi, D.L.; Zhang, J.Q. Two-dimensional analysis of progressive delamination in thin film electrodes. Acta Mech. Sin. 2018, 34, 359–370. [Google Scholar] [CrossRef]
- Alinia, Y.; Güler, M.A. On the problem of an axisymmetric thin film bonded to a transversely isotropic substrate. Int. J. Solids Struct. 2022, 248, 111636. [Google Scholar] [CrossRef]
- Abbaszadeh-Fathabadi, S.A.; Alinia, Y.; Güler, M.A. On the mechanics of a double thin film on a finite thickness substrate. Int. J. Solids Struct. 2023, 279, 112349. [Google Scholar] [CrossRef]
- Zhou, Y.T.; Tian, X.J.; Ding, S.H. Microstructure size-dependent contact behavior of a thermoelectric film bonded to an elastic substrate with couple stress theory. Int. J. Solids Struct. 2022, 256, 111982. [Google Scholar] [CrossRef]
- Radi, E. A loaded beam in full frictionless contact with a couple stress elastic half-plane: Effects of non-standard contact conditions. Int. J. Solids Struct. 2021, 232, 111175. [Google Scholar] [CrossRef]
- Radi, E.; Nobili, A.; Guler, M.A. Indentation of a free beam resting on an elastic substrate with an internal lengthscale. Eur. J. Mech. A-Solid. 2023, 100, 104804. [Google Scholar] [CrossRef]
- Qing, X.L.; Chan, H.L.; Beard, S.J.; Ooi, T.K.; Marotta, S.A. Effect of adhesive on the performance of piezoelectric elements used to monitor structural health. Int. J. Adhes. Adhes. 2006, 26, 622–628. [Google Scholar] [CrossRef]
- Rabinovitch, O. Piezoelectric control of edge debonding in beams strengthened with composite materials: Part I—Analytical modeling. J. Compos. Mater. 2007, 41, 525–546. [Google Scholar] [CrossRef]
- Rabinovitch, O. Piezoelectric control of edge debonding in beams strengthened with composite materials: Part II—Failure criteria and optimization. J. Compos. Mater. 2007, 41, 657–677. [Google Scholar] [CrossRef]
- Jin, C.; Wang, X. Analytical modelling of the electromechanical behavior of surface-bonded piezoelectric actuators including the adhesive layer. Eng. Fract. Mech. 2011, 78, 2547–2562. [Google Scholar] [CrossRef]
- Yu, H.; Wang, X. Modelling and simulation of surface-bonded piezoelectric actuators with bending effects. J. Intell. Mater. Syst. Struct. 2017, 28, 507–520. [Google Scholar] [CrossRef]
- Dang, H.Y.; Qi, D.P.; Zhao, M.H.; Fan, C.Y.; Lu, C.S. The thermally induced interfacial behavior of a thin two-dimensional decagonal quasicrystal film. Int. J. Fract. 2023. [Google Scholar] [CrossRef]
- Dang, H.Y.; Qi, D.P.; Zhao, M.H.; Fan, C.Y.; Lu, C.S. Thermal-induced interfacial behavior of a thin one-dimensional hexagonal quasicrystal film. Appl. Math. Mech-Engl. 2023, 44, 841–856. [Google Scholar] [CrossRef]
- Yang, L.Z.; Zhang, L.L.; Song, F.; Gao, Y. General solutions for three-dimensional thermoelasticity of two-dimensional hexagonal quasicrystals and application. J. Thermal Stresses. 2014, 37, 363–379. [Google Scholar] [CrossRef]
- Fan, T.Y.; Xie, L.; Fan, L.; Wang, Q. Interface of quasicrystal and crystal. Chinese Phys. B 2011, 20, 076102. [Google Scholar] [CrossRef]
- Muskhelishvili, N.I. Some Basic Problems of the Mathematical Theory of Elasticity; Springer: Berlin/Heidelberg, Germany, 1953. [Google Scholar]
- Li, X.Y.; Wang, Y.W.; Li, P.D.; Kang, G.Z.; Müller, R. Three-dimensional fundamental thermo-elastic field in an infinite space of two-dimensional hexagonal quasi-crystal with a penny-shaped/half-infinite plane crack. Theory Appl. Fract. Mech. 2017, 88, 18–30. [Google Scholar] [CrossRef]














| Material | (GPa) | v | α (10–6/K) |
|---|---|---|---|
| Al | 30.5 | 0.33 | 7.2 |
| Cu | 47.8 | 0.35 | 17.0 |
| ZrO2 | 77.5 | 0.29 | 10.6 |
Disclaimer/Publisher’s Note: The statements, opinions and data contained in all publications are solely those of the individual author(s) and contributor(s) and not of MDPI and/or the editor(s). MDPI and/or the editor(s) disclaim responsibility for any injury to people or property resulting from any ideas, methods, instructions or products referred to in the content. |
© 2024 by the authors. Licensee MDPI, Basel, Switzerland. This article is an open access article distributed under the terms and conditions of the Creative Commons Attribution (CC BY) license (https://creativecommons.org/licenses/by/4.0/).
Share and Cite
Dang, H.; Zhang, W.; Fan, C.; Lu, C.; Zhao, M. On the Thermally Induced Interfacial Behavior of Thin Two-Dimensional Hexagonal Quasicrystal Films with an Adhesive Layer. Coatings 2024, 14, 354. https://doi.org/10.3390/coatings14030354
Dang H, Zhang W, Fan C, Lu C, Zhao M. On the Thermally Induced Interfacial Behavior of Thin Two-Dimensional Hexagonal Quasicrystal Films with an Adhesive Layer. Coatings. 2024; 14(3):354. https://doi.org/10.3390/coatings14030354
Chicago/Turabian StyleDang, Huayang, Wenkai Zhang, Cuiying Fan, Chunsheng Lu, and Minghao Zhao. 2024. "On the Thermally Induced Interfacial Behavior of Thin Two-Dimensional Hexagonal Quasicrystal Films with an Adhesive Layer" Coatings 14, no. 3: 354. https://doi.org/10.3390/coatings14030354
APA StyleDang, H., Zhang, W., Fan, C., Lu, C., & Zhao, M. (2024). On the Thermally Induced Interfacial Behavior of Thin Two-Dimensional Hexagonal Quasicrystal Films with an Adhesive Layer. Coatings, 14(3), 354. https://doi.org/10.3390/coatings14030354

