Degradation Rate Control Issues of PEO-Coated Wrought Mg0.5Zn0.2Ca Alloy
Abstract
1. Introduction
2. Materials and Experimental Methods
2.1. Materials
2.2. PEO Treatment
2.3. Characterization
2.4. Electrochemical Measurements
2.5. Hydrogen Evolution
3. Results and Discussion
3.1. Characterization of Wrought Mg0.5Zn0.2Ca Alloy
3.2. Electrical Response and Efficiency of PEO Treatment
3.3. Characterization of the PEO Coatings
3.4. Electrochemical Measurements
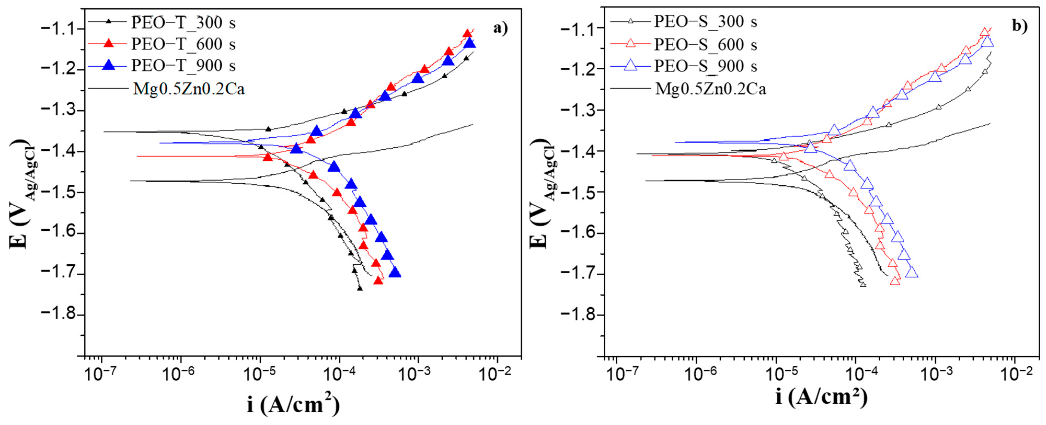
3.4.1. Potentiodynamic Polarization Curves (PDP)
3.4.2. Electrochemical Impedance Spectroscopy (EIS)
3.4.3. Hydrogen Evolution
4. Conclusions
- Coatings applied for 300 s in both electrolytes were compact, while longer treatments led to the formation of a pore band.
- Suspension electrolyte coatings were marginally thicker (13–18 µm) compared to transparent electrolyte coatings (13–16 µm) due to the relationship between species size in the electrolyte and microdischarges channel diameter.
- The incorporation of species into the coating increased from 300 to 900 s for both electrolytes, with slightly higher incorporation in suspension electrolyte coatings, attributed to species size, diffusion, and electrolyte concentration.
- Coatings comprised MgO, ZnO and Mg2SiO4, regardless of treatment time or electrolyte, with slightly higher crystallinity in suspension electrolyte coatings (~84%).
- Short-term electrochemical evaluation by EIS demonstrated protective properties for 300 s coatings (|Z|10mHz, PEO-T: 5449.65 and PEO-S: 5582.60 Ω·cm2), while longer treatments showed impaired repeatability due to pore band formation.
- PEO-T-600s coatings revealed 50 times lower corrosion protection than PEO-S-300s due to higher pore area fraction and slightly larger internal pores.
- Both coatings revealed significantly higher corrosion rates (PEO-T: 26.3 and PEO-S: 15.6 mm/year) over the 5-day period compared to the substrate (0.94 mm/year), attributed to a Cl−-rich aggressive microenvironment in the crevice induced by hydrolysis of ZnO in the coatings.
Supplementary Materials
Author Contributions
Funding
Institutional Review Board Statement
Informed Consent Statement
Data Availability Statement
Acknowledgments
Conflicts of Interest
References
- Munir, K.; Lin, J.; Wen, C.; Wright, P.F.A.; Li, Y. Mechanical, Corrosion, and Biocompatibility Properties of Mg-Zr-Sr-Sc Alloys for Biodegradable Implant Applications. Acta Biomater. 2020, 102, 493–507. [Google Scholar] [CrossRef]
- Kiani, F.; Wen, C.; Li, Y. Prospects and Strategies for Magnesium Alloys as Biodegradable Implants from Crystalline to Bulk Metallic Glasses and Composites—A Review. Acta Biomater. 2020, 103, 1–23. [Google Scholar] [CrossRef]
- Witte, F.; Kaese, V.; Haferkamp, H.; Switzer, E.; Meyer-Lindenberg, A.; Wirth, C.J.; Windhagen, H. In Vivo Corrosion of Four Magnesium Alloys and the Associated Bone Response. Biomaterials 2005, 26, 3557–3563. [Google Scholar] [CrossRef]
- Staiger, M.P.; Pietak, A.M.; Huadmai, J.; Dias, G. Magnesium and Its Alloys as Orthopedic Biomaterials: A Review. Biomaterials 2006, 27, 1728–1734. [Google Scholar] [CrossRef]
- Kellesarian, S.V.; Yunker, M.; Ramakrishnaiah, R.; Malmstrom, H.; Kellesarian, T.V.; Ros Malignaggi, V.; Javed, F. Does Incorporating Zinc in Titanium Implant Surfaces Influence Osseointegration? A Systematic Review. J. Prosthet. Dent. 2017, 117, 41–47. [Google Scholar] [CrossRef]
- Li, Z.H.; Sasaki, T.T.; Uedono, A.; Hono, K. Role of Zn on the Rapid Age-Hardening in Mg-Ca-Zn Alloys. Scr. Mater. 2022, 216, 114735. [Google Scholar] [CrossRef]
- Schäublin, R.E.; Becker, M.; Cihova, M.; Gerstl, S.S.A.; Deiana, D.; Hébert, C.; Pogatscher, S.; Uggowitzer, P.J.; Löffler, J.F. Precipitation in Lean Mg–Zn–Ca Alloys. Acta Mater. 2022, 239, 118223. [Google Scholar] [CrossRef]
- Baigonakova, G.; Marchenko, E.; Zhukov, I.; Vorozhtsov, A. Structure, Cytocompatibility and Biodegradation of Nanocrystalline Coated Mg–Ca–Zn Alloys. Vacuum 2023, 207, 111630. [Google Scholar] [CrossRef]
- Qiu, W.; Huang, G.; Li, Y.; Chen, J.; Huang, W.; Peng, Z.; Liang, J.; Xia, F.; Yao, M.; Xiong, A. Microstructure and Properties of Mg–Ca–Zn Alloy for Thermal Energy Storage. Vacuum 2022, 203, 111282. [Google Scholar] [CrossRef]
- Roche, V.; Koga, G.Y.; Matias, T.B.; Kiminami, C.S.; Bolfarini, C.; Botta, W.J.; Nogueira, R.P.; Jorge Junior, A.M. Degradation of Biodegradable Implants: The Influence of Microstructure and Composition of Mg-Zn-Ca Alloys. J. Alloys Compd. 2019, 774, 168–181. [Google Scholar] [CrossRef]
- Annur, D.; Erryani, A.; Amal, M.I.; Sitorus, L.S.; Kartika, I. The Synthesis and Characterization of Mg-Zn-Ca Alloy by Powder Metallurgy Process. AIP Conf. Proc. 2016, 1725, 020032. [Google Scholar] [CrossRef]
- Abdel-Gawad, S.A.; Shoeib, M.A. Corrosion Studies and Microstructure of Mg−Zn−Ca Alloys for Biomedical Applications. Surf. Interfaces 2019, 14, 108–116. [Google Scholar] [CrossRef]
- Wang, Y. The Effects of Second Phase on Microstructure and Properties of Degradable As-Cast Mg-Zn-Ca Alloy for Intrauterine Device (IUD) Applications. Int. J. Electrochem. Sci. 2022, 17, 220835. [Google Scholar] [CrossRef]
- Xie, L.L.; Chu, J.H.; Li, X.J.; Zou, D.N.; Tong, L.B. Improved Corrosion Resistance of EP Coating on Mg Alloy through GO Hybridization and Silica-Based Superhydrophobic Surface. Diam. Relat. Mater. 2022, 130, 109476. [Google Scholar] [CrossRef]
- Merson, D.; Brilevsky, A.; Myagkikh, P.; Markushev, M.; Vinogradov, A. Effect of Deformation Processing of the Dilute Mg-1Zn-0.2Ca Alloy on the Mechanical Properties and Corrosion Rate in a Simulated Body Fluid. Lett. Mater. 2020, 10, 217–222. [Google Scholar] [CrossRef]
- Jiang, P.; Blawert, C.; Hou, R.; Bohlen, J.; Konchakova, N.; Zheludkevich, M.L. A Comprehensive Comparison of the Corrosion Performance, Fatigue Behavior and Mechanical Properties of Micro-Alloyed MgZnCa and MgZnGe Alloys. Mater. Des. 2020, 185, 108285. [Google Scholar] [CrossRef]
- Moreno, L.; Matykina, E.; Yasakau, K.A.; Blawert, C.; Arrabal, R.; Mohedano, M. As-Cast and Extruded MgZnCa Systems for Biodegradable Implants: Characterization and Corrosion Behavior. J. Magnes. Alloys 2023, 11, 1102–1120. [Google Scholar] [CrossRef]
- Jin, Y.; Blawert, C.; Yang, H.; Wiese, B.; Feyerabend, F.; Bohlen, J.; Mei, D.; Deng, M.; Campos, M.S.; Scharnagl, N.; et al. Microstructure-Corrosion Behaviour Relationship of Micro-Alloyed Mg-0.5Zn Alloy with the Addition of Ca, Sr, Ag, In and Cu. Mater. Des. 2020, 195, 108980. [Google Scholar] [CrossRef]
- Zhang, Y.; Bai, K.; Fu, Z.; Zhang, C.; Zhou, H.; Wang, L.; Zhu, S.; Guan, S.; Li, D.; Hu, J. Composite Coating Prepared by Micro-Arc Oxidation Followed by Sol–Gel Process and in Vitro Degradation Properties. Appl. Surf. Sci. 2012, 258, 2939–2943. [Google Scholar] [CrossRef]
- Gao, J.H.; Shi, X.Y.; Yang, B.; Hou, S.S.; Meng, E.C.; Guan, F.X.; Guan, S.K. Fabrication and Characterization of Bioactive Composite Coatings on Mg–Zn–Ca Alloy by MAO/Sol–Gel. J. Mater. Sci. Mater. Med. 2011, 22, 1681–1687. [Google Scholar] [CrossRef]
- Blawert, C.; Sah, S.P.; Scharnagl, N.; Kannan, M.B. 8—Plasma Electrolytic Oxidation/Micro-Arc Oxidation of Magnesium and Its Alloys. In Surface Modification of Magnesium and Its Alloys for Biomedical Applications; Narayanan, T.S.N.S., Park, I.-S., Lee, M.-H., Eds.; Woodhead Publishing Series in Biomaterials; Woodhead Publishing: Sawton, UK, 2015; pp. 193–234. ISBN 978-1-78242-078-1. [Google Scholar]
- Jia, P.; Pan, Y.; Yu, L.; Wang, J.; Feng, R.; Wang, Y.; Fang, X.; Chen, C. In Vitro Degradation and Corrosion Evaluations of Plasma Electrolytic Oxidized Mg–Zn–Ca–Si Alloys for Biomedical Applications. J. Mater. Res. Technol. 2023, 23, 2410–2425. [Google Scholar] [CrossRef]
- Keyvani, A.; Kamkar, N.; Chaharmahali, R.; Bahamirian, M.; Kaseem, M.; Fattah-alhosseini, A. Improving Anti-Corrosion Properties AZ31 Mg Alloy Corrosion Behavior in a Simulated Body Fluid Using Plasma Electrolytic Oxidation Coating Containing Hydroxyapatite Nanoparticles. Inorg. Chem. Commun. 2023, 158, 111470. [Google Scholar] [CrossRef]
- Zhang, N.; Zhao, D.; Liu, N.; Wu, Y.; Yang, J.; Wang, Y.; Xie, H.; Ji, Y.; Zhou, C.; Zhuang, J.; et al. Assessment of the Degradation Rates and Effectiveness of Different Coated Mg-Zn-Ca Alloy Scaffolds for in Vivo Repair of Critical-Size Bone Defects. J. Mater. Sci. Mater. Med. 2018, 29, 138. [Google Scholar] [CrossRef]
- Kröger, N.; Kopp, A.; Staudt, M.; Rusu, M.; Schuh, A.; Liehn, E.A. Hemocompatibility of Plasma Electrolytic Oxidation (PEO) Coated Mg-RE and Mg-Zn-Ca Alloys for Vascular Scaffold Applications. Mater. Sci. Eng. C 2018, 92, 819–826. [Google Scholar] [CrossRef]
- Pan, Y.; Chen, C.; Wang, D.; Huang, D. Dissolution and Precipitation Behaviors of Silicon-Containing Ceramic Coating on Mg–Zn–Ca Alloy in Simulated Body Fluid. Colloids Surf. B Biointerfaces 2014, 122, 746–751. [Google Scholar] [CrossRef] [PubMed]
- Ly, X.; Yang, S.; Nguyen, T. Effect of Equal Channel Angular Pressing as the Pretreatment on Microstructure and Corrosion Behavior of Micro-Arc Oxidation (MAO) Composite Coating on Biodegradable Mg-Zn-Ca Alloy. Surf. Coat. Technol. 2020, 395, 125923. [Google Scholar] [CrossRef]
- Dou, J.; Gu, G.; Chen, C.; Pan, Y. Characterization and Biodegradation Behavior of Micro-Arc Oxidation Coatings Formed on Mg–Zn–Ca Alloys in Two Different Electrolytes. RSC Adv. 2016, 6, 104808–104818. [Google Scholar] [CrossRef]
- Pan, Y.; He, S.; Wang, D.; Huang, D.; Zheng, T.; Wang, S.; Dong, P.; Chen, C. In Vitro Degradation and Electrochemical Corrosion Evaluations of Microarc Oxidized Pure Mg, Mg–Ca and Mg–Ca–Zn Alloys for Biomedical Applications. Mater. Sci. Eng. C 2015, 47, 85–96. [Google Scholar] [CrossRef]
- Moreno, L.; Mohedano, M.; Arrabal, R.; Matykina, E. Development and Screening of (Ca-P-Si-F)-PEO Coatings for Biodegradability Control of Mg-Zn-Ca Alloys. J. Magnes. Alloys 2022, 10, 2220–2237. [Google Scholar] [CrossRef]
- Wang, Y.; Chen, M.; Zhao, Y. Preparation and Corrosion Resistance of Microarc Oxidation-Coated Biomedical Mg–Zn–Ca Alloy in the Silicon–Phosphorus-Mixed Electrolyte. ACS Omega 2019, 4, 20937–20947. [Google Scholar] [CrossRef]
- Daavari, M.; Atapour, M.; Mohedano, M.; Sánchez, H.M.; Rodríguez-Hernández, J.; Matykina, E.; Arrabal, R.; Taherizadeh, A. Quasi-in Vivo Corrosion Behavior of AZ31B Mg Alloy with Hybrid MWCNTs-PEO/PCL Based Coatings. J. Magnes. Alloys 2021, 10, 3217–3233. [Google Scholar] [CrossRef]
- Chun, J.S.; Byrne, J.G. Precipitate Strengthening Mechanisms in Magnesium Zinc Alloy Single Crystals. J. Mater. Sci. 1969, 4, 861–872. [Google Scholar] [CrossRef]
- Lu, X.; Zhao, G.; Zhou, J.; Zhang, C.; Yu, J. Microstructure and Mechanical Properties of the As-Cast and As-Homogenized Mg-Zn-Sn-Mn-Ca Alloy Fabricated by Semicontinuous Casting. Materials 2018, 11, 703. [Google Scholar] [CrossRef]
- Santos-Coquillat, A.; Esteban-Lucia, M.; Martinez-Campos, E.; Mohedano, M.; Arrabal, R.; Blawert, C.; Zheludkevich, M.L.; Matykina, E. PEO Coatings Design for Mg-Ca Alloy for Cardiovascular Stent and Bone Regeneration Applications. Mater. Sci. Eng. C 2019, 105, 110026. [Google Scholar] [CrossRef]
- Arrabal, R.; Mohedano, M.; Matykina, E. Electrochemical Surface Treatments for Mg Alloys. In Encyclopedia of Materials: Metals and Allloys; Caballero, F.G., Ed.; Elsevier: Oxford, UK, 2022; pp. 87–112. ISBN 978-0-12-819733-2. [Google Scholar]
- Chaharmahali, R.; Fattah-alhosseini, A.; Babaei, K. Surface Characterization and Corrosion Behavior of Calcium Phosphate (Ca-P) Base Composite Layer on Mg and Its Alloys Using Plasma Electrolytic Oxidation (PEO): A Review. J. Magnes. Alloys 2020, 9, 21–40. [Google Scholar] [CrossRef]
- Tang, H.; Wu, T.; Wang, H.; Jian, X.; Wu, Y. Corrosion Behavior of HA Containing Ceramic Coated Magnesium Alloy in Hank’s Solution. J. Alloys Compd. 2017, 698, 643–653. [Google Scholar] [CrossRef]
- Hussein, R.; Northwood, D. Production of Anti-Corrosion Coatings on Light Alloys (Al, Mg, Ti) by Plasma-Electrolytic Oxidation (PEO). In Developments in Corrosion Protection; BoD–Books on Demand: Norderstedt, Germany, 2014; Chapter 11; pp. 201–239. ISBN 978-953-51-1223-5. [Google Scholar]
- Hussein, R.O.; Nie, X.; Northwood, D.O. An Investigation of Ceramic Coating Growth Mechanisms in Plasma Electrolytic Oxidation (PEO) Processing. Electrochim. Acta 2013, 112, 111–119. [Google Scholar] [CrossRef]
- Lu, X.; Blawert, C.; Mohedano, M.; Scharnagl, N.; Zheludkevich, M.L.; Kainer, K.U. Influence of Electrical Parameters on Particle Uptake during Plasma Electrolytic Oxidation Processing of AM50 Mg Alloy. Surf. Coat. Technol. 2016, 289, 179–185. [Google Scholar] [CrossRef]
- Lu, X.; Blawert, C.; Huang, Y.; Ovri, H.; Zheludkevich, M.L.; Kainer, K.U. Plasma Electrolytic Oxidation Coatings on Mg Alloy with Addition of SiO2 Particles. Electrochim. Acta 2016, 187, 20–33. [Google Scholar] [CrossRef]
- Asoh, H.; Asakura, K.; Hashimoto, H. Effect of Alcohol Addition on the Structure and Corrosion Resistance of Plasma Electrolytic Oxidation Films Formed on AZ31B Magnesium Alloy. RSC Adv. 2020, 10, 9026–9036. [Google Scholar] [CrossRef]
- de Tavares, M.M.; de Vitoriano, J.O.; da Silva, R.C.L.; Franco, A.R.; de Souza, G.B.; da Costa, J.A.P.; Alves-Junior, C. Effect of Duty Cycle and Treatment Time on Electrolytic Plasma Oxidation of Commercially Pure Al Samples. J. Mater. Res. Technol. 2019, 8, 2141–2147. [Google Scholar] [CrossRef]
- Zhuang, J.; Song, R.; Xiang, N.; Lu, J.; Xiong, Y. Effects of Oxidation Time on Corrosion Resistance of Plasma Electrolytic Oxidation Coatings on Magnesium Alloy. Int. J. Mater. Res. 2017, 108, 758–766. [Google Scholar] [CrossRef]
- Lu, X.; Mohedano, M.; Blawert, C.; Matykina, E.; Arrabal, R.; Kainer, K.U.; Zheludkevich, M.L. Plasma Electrolytic Oxidation Coatings with Particle Additions—A Review. Surf. Coat. Technol. 2016, 307, 1165–1182. [Google Scholar] [CrossRef]
- Lou, B.-S.; Lin, Y.-Y.; Tseng, C.-M.; Lu, Y.-C.; Duh, J.-G.; Lee, J.-W. Plasma Electrolytic Oxidation Coatings on AZ31 Magnesium Alloys with Si3N4 Nanoparticle Additives. Surf. Coat. Technol. 2017, 332, 358–367. [Google Scholar] [CrossRef]
- Wang, Y.; Wei, D.; Yu, J.; Di, S. Effects of Al2O3 Nano-Additive on Performance of Micro-Arc Oxidation Coatings Formed on AZ91D Mg Alloy. J. Mater. Sci. Technol. 2014, 30, 984–990. [Google Scholar] [CrossRef]
- Gu, X.-N.; Zheng, Y.-F. A Review on Magnesium Alloys as Biodegradable Materials. Front. Mater. Sci. China 2010, 4, 111–115. [Google Scholar] [CrossRef]
- Tsai, D.-S.; Chou, C.-C. Influences of Growth Species and Inclusions on the Current–Voltage Behavior of Plasma Electrolytic Oxidation: A Review. Coatings 2021, 11, 270. [Google Scholar] [CrossRef]
- Reichelt, K. Nucleation and Growth of Thin Films. Vacuum 1988, 38, 1083–1099. [Google Scholar] [CrossRef]
- Brindley, G.W.; Hayami, R. Kinetics and Mechanism of Formation of Forsterite (Mg2SiO4) by Solid State Reaction of MgO and SiO2. Philos. Mag. J. Theor. Exp. Appl. Phys. 1965, 12, 505–514. [Google Scholar] [CrossRef]
- Wang, M.; Zhou, Y.; Zhang, Y.; Hahn, S.; Kim, E. From Zn(OH) 2 to ZnO: A Study on the Mechanism of Phase Transformation. CrystEngComm 2011, 13, 6024–6026. [Google Scholar] [CrossRef]
- Tang, H.; Han, Y.; Wu, T.; Tao, W.; Jian, X.; Wu, Y.; Xu, F. Synthesis and Properties of Hydroxyapatite-Containing Coating on AZ31 Magnesium Alloy by Micro-Arc Oxidation. Appl. Surf. Sci. 2017, 400, 391–404. [Google Scholar] [CrossRef]
- Dou, J.; Wang, J.; Lu, Y.; Chen, C.; Yu, H.; Ma, R.L.-W. Bioactive MAO/CS Composite Coatings on Mg-Zn-Ca Alloy for Orthopedic Applications. Prog. Org. Coat. 2021, 152, 106112. [Google Scholar] [CrossRef]
- Moreno, L.; Mohedano, M.; Arrabal, R.; Matykina, E. Screening of Fluoride-Free PEO Coatings on Cast Mg3Zn0.4Ca Alloy for Orthopaedic Implants. Surf. Coat. Technol. 2024, 476, 130184. [Google Scholar] [CrossRef]
- Fang, H.; Wang, C.; Zhou, S.; Zheng, Z.; Lu, T.; Li, G.; Tian, Y.; Suga, T. Enhanced Adhesion and Anticorrosion of Silk Fibroin Coated Biodegradable Mg-Zn-Ca Alloy via a Two-Step Plasma Activation. Corros. Sci. 2020, 168, 108466. [Google Scholar] [CrossRef]
- van Gaalen, K.; Gremse, F.; Benn, F.; McHugh, P.E.; Kopp, A.; Vaughan, T.J. Automated Ex-Situ Detection of Pitting Corrosion and Its Effect on the Mechanical Integrity of Rare Earth Magnesium Alloy—WE43. Bioact. Mater. 2022, 8, 545–558. [Google Scholar] [CrossRef] [PubMed]
- Shahri, Z.; Allahkaram, S.R.; Soltani, R.; Jafari, H. Study on Corrosion Behavior of Nano-Structured Coatings Developed on Biodegradable as Cast Mg–Zn–Ca Alloy by Plasma Electrolyte Oxidation. Surf. Coat. Technol. 2018, 347, 225–234. [Google Scholar] [CrossRef]
- Tsakiris, V.; Tardei, C.; Clicinschi, F.M. Biodegradable Mg Alloys for Orthopedic Implants—A Review. J. Magnes. Alloys 2021, 9, 1884–1905. [Google Scholar] [CrossRef]
- Chandra, G.; Pandey, A. Biodegradable Bone Implants in Orthopedic Applications: A Review. Biocybern. Biomed. Eng. 2020, 40, 596–610. [Google Scholar] [CrossRef]
- Wang, L.; Guo, X.; Chen, J.; Zhen, Z.; Cao, B.; Wan, W.; Dou, Y.; Pan, H.; Xu, F.; Zhang, Z.; et al. Key Considerations on the Development of Biodegradable Biomaterials for Clinical Translation of Medical Devices: With Cartilage Repair Products as an Example. Bioact. Mater. 2022, 9, 332–342. [Google Scholar] [CrossRef] [PubMed]
- Nicolao-Gómez, A.; Martínez-Campos, E.; Moreno, L.; Rodríguez-Hernández, J.; Matykina, E. Hierarchical Hybrid Coatings with Drug-Eluting Capacity for Mg Alloy Biomaterials. Materials 2023, 16, 7688. [Google Scholar] [CrossRef]
- Persson, D.; Thierry, D.; Karlsson, O. Corrosion and Corrosion Products of Hot Dipped Galvanized Steel during Long Term Atmospheric Exposure at Different Sites World-Wide. Corros. Sci. 2017, 126, 152–165. [Google Scholar] [CrossRef]
- Manhabosco, S.M.; Manhabosco, T.M.; Geoffroy, N.; Vignal, V.; Dick, L.F.P. Corrosion Behaviour of Galvanized Steel Studied by Electrochemical Microprobes Applied on Low-Angle Cross Sections. Corros. Sci. 2018, 140, 379–387. [Google Scholar] [CrossRef]
- Dou, J.; Chen, Y.; Chi, Y.; Li, H.; Gu, G.; Chen, C. Preparation and Characterization of a Calcium–Phosphate–Silicon Coating on a Mg–Zn–Ca Alloy via Two-Step Micro-Arc Oxidation. Phys. Chem. Chem. Phys. 2017, 19, 15110–15119. [Google Scholar] [CrossRef] [PubMed]
- Mohedano, M.; Luthringer, B.J.C.; Mingo, B.; Feyerabend, F.; Arrabal, R.; Sanchez-Egido, P.J.; Blawert, C.; Willumeit-Römer, R.; Zheludkevich, M.L.; Matykina, E. Bioactive Plasma Electrolytic Oxidation Coatings on Mg-Ca Alloy to Control Degradation Behaviour. Surf. Coat. Technol. 2017, 315, 454–467. [Google Scholar] [CrossRef]
- Dou, J.; Zhao, Y.; Lu, L.; Gu, G.; Yu, H.; Chen, C. Effect of the Second-Step Voltages on the Structural and Corrosion Properties of Silicon–Calcium–Phosphate (Si–CaP) Coatings on Mg–Zn–Ca Alloy. R. Soc. Open Sci. 2018, 5, 172410. [Google Scholar] [CrossRef]










| Electrolyte (g/L) Composition | PEO-T Transparent | PEO-S Suspension |
|---|---|---|
| Na3PO4·12H2O | 10 | 10 |
| Na2SiO3·5H2O | 10 | 9 |
| KOH | 8 | 1 |
| CaH7C3PO6 | 2 | - |
| CaO | - | 2.9 |
| Na2EDTA | 2.67 | - |
| NaF | - | - |
| σ (mS/cm2) | 40.1 | 24.6 |
| pH | 12.7 | 12.9 |
| Parameters of process | ||
| Voltage (V) | −350/−50 | |
| Current density (mA/cm2) | 100 | |
| Time (s) | 300/600/900 | |
| Coating | Time (s) | Location | O | Na | Mg | Si | P | K | Ca | Zn | Ca/P |
|---|---|---|---|---|---|---|---|---|---|---|---|
| PEO-T | 300 | Plan view | 45.9 | 1.0 | 38.1 | 9.9 | 4.9 | 0.0 | 1.2 | 0.0 | 0.24 |
| 1 | 51.5 | 1.1 | 31.5 | 10.6 | 4.4 | 0.2 | 0.8 | 0.1 | 0.18 | ||
| 2 | 48.8 | 0.8 | 36.9 | 7.7 | 4.7 | 0.5 | 0.5 | 0.1 | 0.11 | ||
| 3 | 15.8 | 0.2 | 80.5 | 1.8 | 1.1 | 0.1 | 0.1 | 0.4 | 0.09 | ||
| 600 | Plan view | 42.5 | 0.4 | 40.0 | 11.7 | 5.0 | 0.5 | 0.8 | 0.0 | 0.16 | |
| 4 | 49.4 | 0.5 | 36.0 | 9.3 | 4.0 | 0.4 | 0.3 | 0.1 | 0.08 | ||
| 5 | 48.9 | 1.0 | 38.7 | 6.2 | 3.4 | 1.3 | 0.3 | 0.1 | 0.09 | ||
| 6 | 40.5 | 0.2 | 51.3 | 5.1 | 2.4 | 0.3 | 0.1 | 0.2 | 0.04 | ||
| 900 | Plan view | 45.6 | 0.9 | 41.9 | 9.0 | 2.9 | 1.3 | 0.7 | 0.1 | 0.24 | |
| 7 | 49.1 | 1.1 | 35.0 | 8.9 | 3.9 | 1.1 | 0.8 | 0.1 | 0.21 | ||
| 8 | 49.8 | 0.3 | 37.8 | 7.6 | 3.9 | 0.4 | 0.2 | 0.1 | 0.05 | ||
| 9 | 39.5 | 0.3 | 53.2 | 4.7 | 1.8 | 0.2 | 0.1 | 0.2 | 0.06 | ||
| PEO-S | 300 | Plan view | 53.7 | 3.9 | 26.6 | 7.8 | 3.4 | 0.8 | 3.8 | 0.0 | 1.12 |
| 1 | 45.8 | 2.2 | 34.2 | 14.1 | 2.9 | 0.6 | 0.1 | 0.1 | 0.03 | ||
| 2 | 50.3 | 1.7 | 35.9 | 9.1 | 2.5 | 0.4 | 0.1 | 0.1 | 0.04 | ||
| 3 | 44.1 | 0.3 | 50.6 | 4.0 | 0.8 | 0.1 | 0.1 | 0.1 | 0.13 | ||
| 600 | Plan view | 44.4 | 2.6 | 37.5 | 14.6 | 3.0 | 1.0 | 1.0 | 0.3 | 0.33 | |
| 4 | 37.6 | 1.3 | 41.6 | 14.1 | 4.5 | 0.5 | 0.3 | 0.4 | 0.07 | ||
| 5 | 36.0 | 0.9 | 50.2 | 8.8 | 3.7 | 0.0 | 0.4 | 0.1 | 0.11 | ||
| 6 | 37.2 | 1.6 | 52.7 | 8.0 | 2.1 | 0.5 | 0.0 | 0.0 | - | ||
| 900 | Plan view | 38.7 | 2.1 | 38.1 | 12.9 | 5.8 | 1.0 | 1.3 | 0.1 | 0.22 | |
| 7 | 36.5 | 0.9 | 44.6 | 13.1 | 4.2 | 0.6 | 0.2 | 0.1 | 0.05 | ||
| 8 | 36.0 | 0.5 | 52.9 | 7.5 | 3.3 | 0.0 | 0.1 | 0.3 | 0.04 | ||
| 9 | 41.0 | 0.1 | 55.7 | 1.5 | 1.0 | 0.1 | 0.1 | 0.4 | 0.10 |
| Electrolyte | Time (s) | Ecorr (V) | icorr (µA/cm2) | Epit (V) |
|---|---|---|---|---|
| Mg0.5Zn0.2Ca | −1.47 | 33.41 | −1.40 | |
| PEO-T | 300 | −1.35 | 11.02 | - |
| 600 | −1.41 | 55.40 | - | |
| 900 | −1.38 | 60.79 | - | |
| PEO-S | 300 | −1.41 | 20.20 | - |
| 600 | −1.41 | 47.32 | - | |
| 900 | −1.38 | 60.32 | - | |
| Sample | Rel (Ω·cm2) | CPE1 (µS·sn·cm2) | n1 | R1 (Ω·cm2) | CPE2 (µS·sn·cm2) | n2 | R2 (Ω·cm2) | CPEdl (µS·sn·cm2) | ndl | Rct (Ω·cm2) | Rtotal (Ω·cm2) |
|---|---|---|---|---|---|---|---|---|---|---|---|
| Mg0.5Zn0.2Ca | 36.8 | 10.1 | 0.58 | 171.3 | 24.4 | 0.87 | 1489 | 30.6 | 0.56 | 1500 | 3160.3 |
| PEO-T | 14 | 5.14 | 0.59 | 187.7 | 0.003 | 0.70 | 342.6 | 64.4 | 0.55 | 777.3 | 1321.6 |
| PEO-S | 10 | 6.45 | 0.64 | 1206 | 7.44 | 0.76 | 32,030 | 583.13 | 0.8 | 32,438 | 65,684 |
| Sample | Location | O | Na | Mg | Si | P | Cl | K | Ca | Zn | Ca/P |
|---|---|---|---|---|---|---|---|---|---|---|---|
| Mg0.5Zn0.2Ca | 1 | 47.8 | 1.3 | 8.2 | 0.1 | 17.1 | - | - | 20.7 | 0.1 | 1.21 |
| 2 | 40.8 | 0.7 | 10.8 | 0.4 | 19.6 | - | - | 26.5 | 0.7 | 1.36 | |
| PEO-S | 3 | 60.2 | 0.9 | 12.0 | 0.0 | 9.7 | 0.7 | - | 13.8 | 0.7 | 1.42 |
| 4 | 56.0 | 0.7 | 17.5 | 0.0 | 10.0 | 1.2 | - | 12.1 | 0.9 | 1.21 | |
| 5 | 48.5 | 1.1 | 17.7 | 0.2 | 11.2 | 1.1 | 0.4 | 17.7 | 1.1 | 1.58 | |
| 6 | 70.1 | 0.8 | 19.2 | 0.0 | 2.5 | 0.3 | - | 5.1 | 0.5 | 2.04 |
Disclaimer/Publisher’s Note: The statements, opinions and data contained in all publications are solely those of the individual author(s) and contributor(s) and not of MDPI and/or the editor(s). MDPI and/or the editor(s) disclaim responsibility for any injury to people or property resulting from any ideas, methods, instructions or products referred to in the content. |
© 2024 by the authors. Licensee MDPI, Basel, Switzerland. This article is an open access article distributed under the terms and conditions of the Creative Commons Attribution (CC BY) license (https://creativecommons.org/licenses/by/4.0/).
Share and Cite
Moreno, L.; Mohedano, M.; Arrabal, R.; Matykina, E. Degradation Rate Control Issues of PEO-Coated Wrought Mg0.5Zn0.2Ca Alloy. Coatings 2024, 14, 309. https://doi.org/10.3390/coatings14030309
Moreno L, Mohedano M, Arrabal R, Matykina E. Degradation Rate Control Issues of PEO-Coated Wrought Mg0.5Zn0.2Ca Alloy. Coatings. 2024; 14(3):309. https://doi.org/10.3390/coatings14030309
Chicago/Turabian StyleMoreno, Lara, Marta Mohedano, Raul Arrabal, and Endzhe Matykina. 2024. "Degradation Rate Control Issues of PEO-Coated Wrought Mg0.5Zn0.2Ca Alloy" Coatings 14, no. 3: 309. https://doi.org/10.3390/coatings14030309
APA StyleMoreno, L., Mohedano, M., Arrabal, R., & Matykina, E. (2024). Degradation Rate Control Issues of PEO-Coated Wrought Mg0.5Zn0.2Ca Alloy. Coatings, 14(3), 309. https://doi.org/10.3390/coatings14030309

