Formation of Coatings Containing Cr2AlC MAX Phase During Plasma Spraying of Mixture of Cr3C2+Al Powders
Abstract
1. Introduction
2. Materials and Methods
2.1. Thermodynamic Assessment of the Probability of Reactions Proceeding in the Cr3C2-Al System with the Formation of Cr2AlC MAX Phase
2.2. Characteristics of Materials and Equipment for Plasma Spraying
2.3. Techniques for Studying the Formation Processes and Characteristics of Coatings
3. Results and Discussion
3.1. Physicochemical Processes Occurring with Sprayed Powder in the Plasma Jet
3.2. Physicochemical Processes Occurring During the Coating Layer Formation
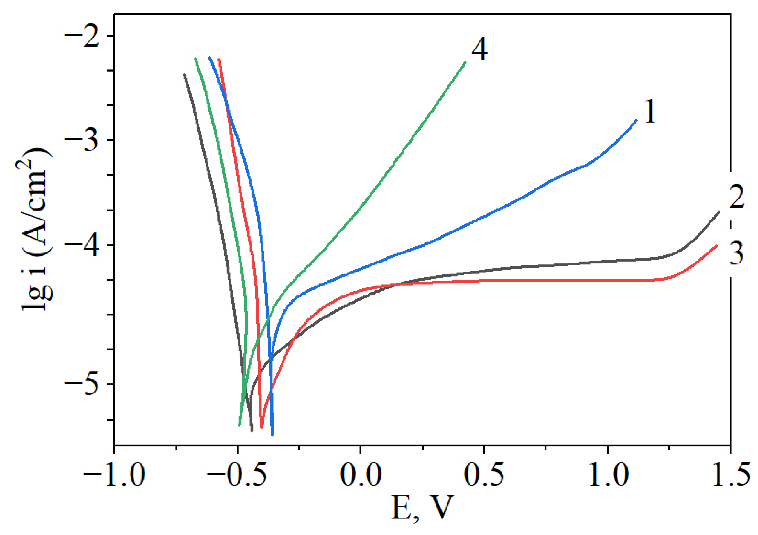
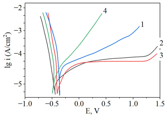
3.3. Coatings Properties
4. Conclusions
Author Contributions
Funding
Institutional Review Board Statement
Informed Consent Statement
Data Availability Statement
Conflicts of Interest
References
- Sokol, M.; Natu, V.; Kota, S.; Barsoum, M.W. On the chemical diversity of the MAX phases. Trends Chem. 2019, 1, 210–223. [Google Scholar] [CrossRef]
- Lin, Z.J.; Li, M.S.; Wang, J.Y.; Zhou, Y.C. High-temperature oxidation and hot corrosion of Cr2AlC. Acta Mater. 2007, 55, 6182–6191. [Google Scholar] [CrossRef]
- Gonzalez-Julian, J.; Go, T.; Mack, D.E.; Vaßen, R. Environmental resistance of Cr2AlC MAX phase under thermal gradient loading using a burner rig. J. Am. Ceram. Soc. 2018, 101, 1841–1846. [Google Scholar] [CrossRef]
- Barsoum, M.W.; Radovic, M. Elastic and mechanical properties of the MAX phases. Annu. Rev. Mater. Res. 2011, 41, 195–227. [Google Scholar] [CrossRef]
- Tian, W.; Wang, P.; Zhang, G.; Kan, Y.; Li, Y.; Yan, D. Synthesis and thermal and electrical properties of bulk Cr2AlC. Scr. Mater. 2006, 54, 841–846. [Google Scholar] [CrossRef]
- Li, S.B.; Yu, W.B.; Zhai, H.X.; Song, G.M.; Sloof, W.G.; Zwaag, S. Mechanical properties of low temperature synthesized dense and fine-grained Cr2AlC ceramics. J. Eur. Ceram. Soc. 2011, 31, 217–224. [Google Scholar] [CrossRef]
- Gonzalez-Julian, J. Processing of MAX phases: From synthesis to applications. J. Am. Ceram. Soc. 2021, 104, 659–690. [Google Scholar] [CrossRef]
- Wang, Z.; Ma, G.; Liu, L.; Wang, L.; Ke, P.; Xue, Q.; Wang, A. High-performance Cr2AlC MAX phase coatings: Oxidation mechanisms in the 900–1100ºC temperature range. Corros. Sci. 2020, 167, 108492. [Google Scholar] [CrossRef]
- Mockute, A.; Persson, P.O.; Magnus, F.; Ingason, A.S.; Olafsson, S.; Hultman, L.; Rosen, J. Synthesis and characterization of arc deposited magnetic (Cr, Mn)2AlC MAX phase films. Phys. Status Solidi-Rapid Res. Lett. 2014, 8, 420–423. [Google Scholar] [CrossRef]
- Stevens, M.; Pazniak, H.; Jemiola, A.; Felek, M.; Farle, M.; Wiedwald, U. Pulsed laser deposition of epitaxial Cr2AlC MAX phase thin films on MgO (111) and Al2O3 (0001). Mater. Res. Lett. 2021, 9, 343–349. [Google Scholar] [CrossRef]
- Lange, C.; Hopfeld, M.; Wilke, M.; Schawohl, J.; Kups, T.; Barsoum, M.W.; Schaaf, P. Pulsed laser deposition from a pre-synthesized Cr2AlC MAX phase target with and without ion-beam assistance. Phys. Status Solidi (A) 2012, 209, 545–552. [Google Scholar] [CrossRef]
- Li, Y.; Zhao, G.; Qian, Y.; Xu, J.; Li, M. Deposition of phase-pure Cr2AlC coating by DC magnetron sputtering and post-annealing using Cr-Al-C targets with controlled elemental composition but different phase compositions. J. Mater. Sci. Technol. 2018, 34, 466–471. [Google Scholar] [CrossRef]
- Qureshi, M.W.; Ma, X.; Tang, G.; Miao, B.; Niu, J. Fabrication and Mechanical Properties of Cr2AlC MAX Phase Coatings on TiBw/Ti6Al4V Composite Prepared by HiPIMS. Materials 2021, 14, 826. [Google Scholar] [CrossRef] [PubMed]
- Vihilianska, N.V.; Filonenko, D.V.; Yushchenko, A.O.; Senderowski, C.; Grivel, J.-C. Thermal spraying of coatings, containing Cr2AlC maX phase (Review). Paton Weld. J. 2024, 3, 24–32. [Google Scholar] [CrossRef]
- Gonzalez-Julian, J.; Mauer, G.; Sebold, D.; Mack, D.E.; Vassen, R. Cr2AlC MAX phase as bond coat for thermal barrier coatings: Processing, testing under thermal gradient loading, and future challenges. J. Am. Ceram. Soc. 2020, 103, 2362–2375. [Google Scholar] [CrossRef]
- Davis, D.; Singh, S.; Chakradhar, R.P.S.; Srivastava, M. Tribo-mechanical properties of HVOF-sprayed NiMoAl-Cr2AlC composite coatings. J. Therm. Spray Technol. 2020, 29, 1763–1783. [Google Scholar] [CrossRef]
- Chen, Y.; Chu, M.; Wang, L.; Shi, Z.; Wang, X.; Zhang, B. Microstructure and performance of Cr2AlC coatings deposited by HVOF spraying. Chin. J. Rare Metals 2012, 36, 568–573. [Google Scholar]
- Elsenberg, A.; Busato, M.; Gärtner, F.; List, A.; Bruera, A.; Bolelli, G.; Lusvarghi, L.; Klassen, T. Influence of MAX phase deformability on coating formation by cold spraying. J. Therm. Spray Technol. 2021, 30, 617–642. [Google Scholar] [CrossRef]
- Go, T.; Sohn, Y.J.; Mauer, G.; Vaßen, R.; Gonzalez-Julian, J. Cold spray deposition of Cr2AlC MAX phase for coatings and bond-coat layers. J. Eur. Ceram. Soc. 2019, 39, 860–867. [Google Scholar] [CrossRef]
- Davis, D.; Srivastava, M.; Malathi, M.; Panigrahi, B.B.; Singh, S. Effect of Cr2AlC MAX phase addition on strengthening of Ni-Mo-Al alloy coating on piston ring: Tribological and twist-fatigue life assessment. Appl. Surf. Sci. 2018, 449, 295–303. [Google Scholar] [CrossRef]
- Senderowski, C.; Vigilianska, N.; Burlachenko, O.; Grishchenko, O.; Murashov, A.; Stepanyuk, S. Effect of APS spraying parameters on the microstructure formation of Fe3Al intermetallics coatings using mechanochemically synthesized nanocrystalline Fe-Al powders. Materials 2023, 16, 1669. [Google Scholar] [CrossRef] [PubMed]
- Zhang, F.; Yan, S.; Li, C.; Ding, Y.; He, J.; Yin, F. Synthesis and characterization of MAX phase Cr2AlC based composite coatings by plasma spraying and post-annealing. J. Eur. Ceram. Soc. 2019, 39, 5132–5139. [Google Scholar] [CrossRef]
- Zhang, F.; Yu, G.; Yan, S.; Chen, J.; Ma, H.; Yin, F. Characterization and reaction mechanism of in-situ micro-laminated Cr2AlC coatings by plasma spraying Cr3C2/Al/Cr powder mixtures. Surf. Coat. Technol. 2023, 456, 129271. [Google Scholar] [CrossRef]
- Barin, I.P. Thermochemical Data of Pure Substances; Wiley: Hoboken, NJ, USA, 1995. [Google Scholar]
- Solonin, Y.M.; Savyak, M.P.; Vasilkivska, M.A.; Ivchenko, V.I. High-energy mechanical grinding to produce Cr2AlC and Ti2AlC max phases. Powder Metall. Met. Ceram. 2021, 60, 259–267. [Google Scholar] [CrossRef]
- Mu, W.; Zhu, B.; Wei, N.; Gao, Y.; Feng, M.; Lin, J. Effect of Ni Coating Thickness on Interfacial Microstructures and Mechanical Properties of Continuous Cf/Al Composites. SSRN 2023. Available online: https://ssrn.com/abstract=4614562 (accessed on 17 January 2024).
- Guo, B.; Chen, B.; Zhang, X.; Cen, X.; Wang, X.; Song, M.; Ni, S.; Yi, J.; Shen, T.; Du, Y. Exploring the size effects of Al4C3 on the mechanical properties and thermal behaviors of Al-based composites reinforced by SiC and carbon nanotubes. Carbon 2018, 135, 224–235. [Google Scholar] [CrossRef]
- Borysov, Y.; Krivtsun, I.; Muzhichenko, A.; Lugscheider, E.; Eritt, U. Computer modelling of the plasma spraying process. Paton Weld. J. 2000, 12, 42–51. [Google Scholar]
- ASTM Standard G102-89; Standard Practice for Calculation of Corrosion Rates and Related Information from Electrochemical Measurements. Annual Book of ASTM Standards. ASTM International: West Conshohocken, PA, USA, 2006; Volume 3.02.
- Samsonov, G.V.; Vinitskii, I.M. Handbook of Refractory Compounds; Springer: New York, NY, USA, 1980. [Google Scholar]















| Coatings | Electrochemical Characteristics | ||||
|---|---|---|---|---|---|
| Eocp, V | Ec, V | icorr, A/cm2 | MR, g/m2h | CR, mm/Year | |
| 91Cr3C2-9Al | −0.36 | −0.42 | 2.2·10−6 | 0.30 | 0.032 |
| 82Cr3C2-18Al | −0.48 | −0.52 | 4.8·10−6 | 0.45 | 0.049 |
| 75Cr3C2-25NiCr | −0.40 | −0.36 | 2.4·10−6 | 0.34 | 0.036 |
| AISI 1017 | −0.44 | −0.48 | 6.9·10−5 | 0.80 | 0.087 |
Disclaimer/Publisher’s Note: The statements, opinions and data contained in all publications are solely those of the individual author(s) and contributor(s) and not of MDPI and/or the editor(s). MDPI and/or the editor(s) disclaim responsibility for any injury to people or property resulting from any ideas, methods, instructions or products referred to in the content. |
© 2024 by the authors. Licensee MDPI, Basel, Switzerland. This article is an open access article distributed under the terms and conditions of the Creative Commons Attribution (CC BY) license (https://creativecommons.org/licenses/by/4.0/).
Share and Cite
Vigilianska, N.; Iantsevitch, C.; Tsymbalista, T.; Burlachenko, O.; Grishchenko, O.; Gudymenko, O.; Zawadzki, S.; Senderowski, C. Formation of Coatings Containing Cr2AlC MAX Phase During Plasma Spraying of Mixture of Cr3C2+Al Powders. Coatings 2024, 14, 1584. https://doi.org/10.3390/coatings14121584
Vigilianska N, Iantsevitch C, Tsymbalista T, Burlachenko O, Grishchenko O, Gudymenko O, Zawadzki S, Senderowski C. Formation of Coatings Containing Cr2AlC MAX Phase During Plasma Spraying of Mixture of Cr3C2+Al Powders. Coatings. 2024; 14(12):1584. https://doi.org/10.3390/coatings14121584
Chicago/Turabian StyleVigilianska, Natalia, Carolina Iantsevitch, Tania Tsymbalista, Oleksii Burlachenko, Oleksandr Grishchenko, Oleksandr Gudymenko, Szymon Zawadzki, and Cezary Senderowski. 2024. "Formation of Coatings Containing Cr2AlC MAX Phase During Plasma Spraying of Mixture of Cr3C2+Al Powders" Coatings 14, no. 12: 1584. https://doi.org/10.3390/coatings14121584
APA StyleVigilianska, N., Iantsevitch, C., Tsymbalista, T., Burlachenko, O., Grishchenko, O., Gudymenko, O., Zawadzki, S., & Senderowski, C. (2024). Formation of Coatings Containing Cr2AlC MAX Phase During Plasma Spraying of Mixture of Cr3C2+Al Powders. Coatings, 14(12), 1584. https://doi.org/10.3390/coatings14121584

