Polyacrylate Latex Coating Binders Comprising Polypyrrole Component Prepared with “One-Pot” Synthesis
Abstract
1. Introduction
2. Materials and Methods
2.1. Materials
2.2. Pigments
2.3. Synthesis
2.4. Characterization of Latices
2.5. Spectroscopic Analysis of Polypyrrole
2.6. Determination of Stability of Latices
2.7. Morphology of Coatings
2.8. Determination of Physicochemical Properties of Inorganic Pigments
2.9. Preparation of Pigmented Coatings
2.10. Preparation of Paint Film Samples for Testing
2.11. Study of Physico-Mechanical Properties
2.12. Determination of Chemical Resistance
2.13. Corrosion Resistance
3. Results and Discussion
3.1. Chemical Structure of Polypyrrole
3.2. Basic Properties of Latices
3.3. Stability of Latices
3.4. Presence of Polypyrrole Component in Latex Film
3.5. Characterization of the Pigments
3.6. Physico-Mechanical Properties
3.7. Chemical Resistance
3.8. The Corrosion Protective Efficiency of Non-Pigmented Coatings
3.8.1. Cyclic Corrosion Test in a 5% Salt Spray Atmosphere
3.8.2. Electrochemical Technique of Linear Polarization
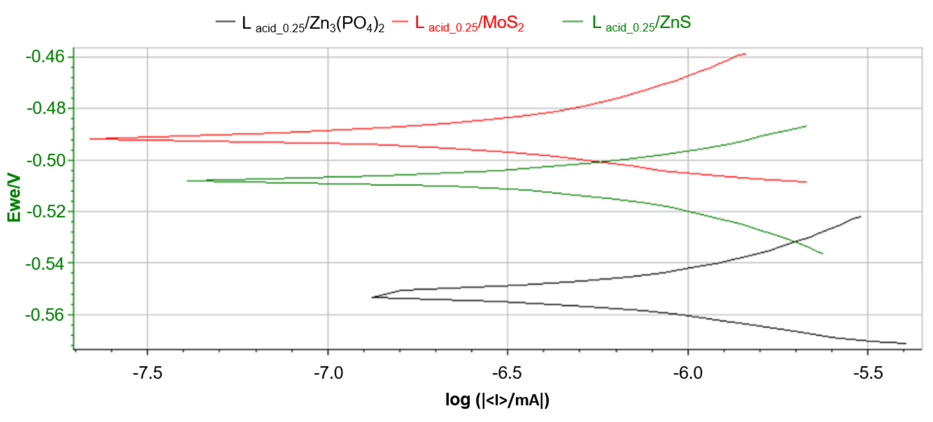
3.9. The Corrosion Protective Efficiency of the Pigmented Coatings
4. Conclusions
- The polypyrrole component occurred in the prepared latices in a partly deprotonated yet conducting electroactive form.
- Latices synthesized using a 0.25 wt. % dosage of pyrrole reached sufficiently high zeta potential values, typical for stable colloidal systems, and showed favorable paint properties.
- Nonpigmented coatings cast from latices synthesized using a 0.25 wt. % dosage of pyrrole achieved higher anti-corrosion efficiency compared with the corresponding types of reference latices without the polypyrrole component.
- The ZnS and MoS2 pigments showed compatibility with latices synthesized at a 0.25 wt. % dosage of pyrrole. For these paint coating systems, excellent anti-corrosion performance was demonstrated by the highest values of polarization resistance.
Author Contributions
Funding
Institutional Review Board Statement
Informed Consent Statement
Data Availability Statement
Conflicts of Interest
References
- Price, K.; Wu, W.; Wood, K.; Kong, S.; McCormick, A.; Francis, L. Stress development and film formation in multiphase composite latexes. J. Coat. Technol. Res. 2014, 11, 827–839. [Google Scholar] [CrossRef]
- Li, X.; Wang, X.; Shen, Y.; Lai, X.; Wang, R.; Lv, H.; Fan, H. Synthesis and characterization of self-crosslinked polyure-thane/polyacrylate composite emulsion based on carbonyl–hydrazide reaction. J. Polym. Res. 2013, 20, 270. [Google Scholar] [CrossRef]
- Bhat, S.I.; Mobin, M.; Islam, S.; Zehra, S.; ul-Islam, S. Recent advances in anticorrosive coatings based on sustainable polymers: Challenges and perspectives. Surf. Coat. Technol. 2024, 480, 130596. [Google Scholar] [CrossRef]
- Tian, X.; Lv, S.; Li, J.; Zhang, J.; Yu, L.; Liu, X.; Xin, X. Recent advancement in synthesis and modification of water-based acrylic emulsion and their application in water-based ink: A comprehensive review. Prog. Org. Coat. 2024, 189, 108320. [Google Scholar] [CrossRef]
- Liang, C.; Feng, B.; Wang, S.; Zhao, B.; Xie, J.; Huang, G.; Zhu, L.; Hao, J. Differentiated emissions and secondary organic aerosol formation potential of organic vapor from industrial coatings in China. J. Hazard. Mater. 2024, 466, 133668. [Google Scholar] [CrossRef]
- Ran, J.; Kioumourtzoglou, M.A.; Sun, S.; Han, L.; Zhao, S.; Zhu, W.; Li, J.; Tian, L. Source-specific volatile organic compounds and emergency hospital admissions for cardiorespiratory diseases. Int. J. Environ. Res. Public Health 2020, 17, 6210. [Google Scholar] [CrossRef]
- Picchio, M.L.; Passeggi, M.C.G.; Barandiaran, J.; Gugliotta, L.M.; Minari, R.J. Waterborne acrylic-casein latexes as eco-friendly binders for coatings. Prog. Org. Coat. 2015, 88, 8–16. [Google Scholar] [CrossRef]
- Mestach, D.; Twene, D. Acrylic dispersion for industrial with polymer-bound stabilizers. Paint. Coat. Ind. 2005, 3, 74–82. [Google Scholar]
- Li, H.; Zhou, J.; Zhao, J.; Li, Y.; Kun, L. Synthesis of cellulose nanocrystals-armored fluorinated polyacrylate latexes via Pickering emulsion polymerization and their film properties. Colloids Surf. B Biointerfaces 2020, 192, 110071. [Google Scholar] [CrossRef]
- Anderson, C.D.; Daniels, E.S. Emulsion Polymerization and Latex Applications; Smithers Rapra Publishing: Shropshire, UK, 2003; ISBN 1859573819. [Google Scholar]
- Weldon, D.G. Acrylic latex coating. In Failure Analysis of Paints and Coatings; Wiley: Chichester, UK, 2009; pp. 92–95. ISBN 978-0-470-74466-6. [Google Scholar]
- Zhang, X.; Chen, K.; Li, Z.; Zhang, Q.; Xu, C.; Chang, X.; Wen, S. Preparation of cross-linkable cationic polyacrylate latex and its film properties. JCTR 2023, 21, 341–354. [Google Scholar] [CrossRef]
- Berce, S.; Skale, M.; Slemnik, M. Electrochemical impedance spectroscopy study of waterborne coatings film formation. Prog. Org. Coat. 2015, 82, 1–6. [Google Scholar] [CrossRef]
- Beach, M.; Davey, T.; Subramanian, P.; Such, G. Self-healing organic coatings–Fundamental chemistry to commercial application. Prog. Org. Coat. 2023, 183, 107759. [Google Scholar] [CrossRef]
- Elhalawany, N.; Saleeb, M.M.; Zahran, M.K. Novel anticorrosive emulsion-type paints containing organic/inorganic nano-hybrid particles. Prog. Org. Coat. 2014, 77, 548–556. [Google Scholar] [CrossRef]
- Ashery, A.; Salem, M.A.; Farag, A.A.M. Optical and electrical performance of polypyrrole thin films and its hybrid junction applications. Optik 2018, 172, 302–310. [Google Scholar] [CrossRef]
- Chitte, H.K.; Shinde, G.N.; Narendra, V.B.; Walunj, V.E. Synthesis of polypyrrole using ferric chloride (FeCl3) as oxidant together with some dopants for use in gas sensors. J. Sens. Technol. 2011, 1, 47–56. [Google Scholar] [CrossRef]
- Jain, A.; Nabeel, A.N.; Bhagwat, S.; Kumar, R.; Sharma, S.; Kozak, D.; Hunjet, A.; Kumar, A.; Singh, R. Fabrication of polypyrrole gas sensor for detection of NH3 using an oxidizing agent and pyrrole combinations: Studies and characterizations. Heliyon 2023, 9, e17611. [Google Scholar] [CrossRef]
- Sari, G.; Hafozah, M.A.E.; Manaf, A. Increased electrical conductivity of polypyrrole through emulsion polymerization assisted emulsifier synthesis. IOP Conf. Ser. Mater. Sci. Eng. 2019, 553, 012042. [Google Scholar] [CrossRef]
- Prokeš, J.; Stejskal, J.; Omastová, M. Polyaniline, and polypyrrole—Two representatives of conducting polymers. Chem. Listy 2001, 95, 484–492. [Google Scholar]
- Liu, G.; Hpu, F.; Wang, X.; Fang, B. Conductive Polymer and Nanoparticle-Promoted Polymer Hybrid Coatings for Metallic Bipolar Plates in Proton Membrane Exchange Water Electrolysis. Appl. Sci. 2023, 13, 1244. [Google Scholar] [CrossRef]
- Sun, Y.; Hu, C.; Cui, J.; Shen, S.; Qiu, H.; Li, J. Electrodeposition of polypyrrole coatings doped by benzenesulfonic acid-modified graphene oxide on metallic bipolar plates. Prog. Org. Coat 2022, 170, 106995. [Google Scholar] [CrossRef]
- Liu, S.; Pan, T.J.; Wang, R.F.; Yue, Y.; Shen, J. Anti-corrosion and conductivity of the electrodeposited graphene/polypyrrole composite coating for metallic bipolar plates. Prog. Org. Coat 2019, 136, 105237. [Google Scholar] [CrossRef]
- Vernitskaya, T.V.; Efimov, O.N. Polypyrrole: A conducting polymer; its synthesis, properties, and applications. Russ. Chem. Rev. 1997, 66, 443–457. [Google Scholar] [CrossRef]
- Ibrahim, F.A.; Khalaf, A.I.; Badr, M.M. Conductive polypyrrole: Synthesis, characterization, thermal, and electrical properties for different applications. Phys. Scr. 2024, 99, 065971. [Google Scholar] [CrossRef]
- Liu, C.F.; Maruyama, T.; Yamamoto, T. Conductive blends of π-conjugated polymers and thermoplastic polymers in latex form. Polym. J. 1993, 25, 363–372. [Google Scholar] [CrossRef][Green Version]
- Omastová, M.; Micusik, M. Polypyrrole coating of inorganic and organic materials by chemical oxidative polymerisation. Chem. Pap. 2012, 66, 392–414. [Google Scholar] [CrossRef]
- Mahmood, J.; Arsalani, N.; Naghash-Hamed, S.; Hanif, Z.; Geckeler, K.E. Preparation and characterization of hybrid polypyrrole nanoparticles as a conducting polymer with controllable size. Sci. Rep. 2024, 14, 11653. [Google Scholar] [CrossRef]
- Tabačiarová, J.; Mičušík, M.; Fedorko, P.; Omastová, M. Study of polypyrrole aging by XPS, FTIR, and conductivity measurements. Polym. Degrad. Stab. 2015, 120, 392–401. [Google Scholar] [CrossRef]
- Hao, L.; Dong, C.; Yu, D. Polypyrrole Derivatives: Preparation, Properties and Application. Polymers 2024, 16, 2233. [Google Scholar] [CrossRef]
- Khadem, F.; Pishvaei, M.; Salami-Klajahi, M.; Najafi, F. Morphology control of conducting polypyrrole nanostructures via operational conditions in the emulsion polymerization. J. Appl. Polym. Sci. 2017, 134, 44697. [Google Scholar] [CrossRef]
- Arunsawad, S.; Srikulkit, K.; Limpanart, S. Effect of surfactant on conductivity of Poly(pyrrole-co-formyl pyrrole) via Emulsion Polymerization. J. Met. Mater. Miner. 2014, 24, 759–765. [Google Scholar] [CrossRef]
- Hoshina, Y.; Zaragoza-Contreras, E.A.; Farnood, R.; Kobayashi, T. Nanosized polypyrrole affected by surfactant agitation for emulsion polymerization. Polym. Bull. 2012, 68, 1689–1705. [Google Scholar] [CrossRef]
- Wiersma, A.E.; vd Steeg, L.M.A.; Jongeling, T.J.M. Waterborne core-shell dispersions based on intrinsically conducting polymers for coating applications. Synth. Met. 1995, 7, 2269–2270. [Google Scholar] [CrossRef]
- Morsi, S.M.M.; El-Aziz, M.A.; Morsi, R.M.M.; Hussain, A.I. Polypyrrole-coated latex particles as core/shell composites for anti-static coatings and energy storage applications. JCTR 2019, 16, 745–759. [Google Scholar] [CrossRef]
- ISO 706:2004; Rubber Latex—Determination of Coagulum Content (Sieve Residue). International Organization for Standardization: Geneva, Switzerland, 2004.
- Kolář, M.; Machotová, J.; Hájek, M.; Honzíček, J.; Hájek, T.; Podzimek, Š. Application of vegetable oil-based monomers in the synthesis of acrylic latexes via emulsion polymerization. Coatings 2023, 13, 262. [Google Scholar] [CrossRef]
- Wu, Z.M.; Zhai, W.Z.; Song, P.F.; Wang, R.M. Silicylacrylate copolymer core-shell emulsion for humidity coatings. Prog. Org. Coat. 2014, 77, 1841–1847. [Google Scholar] [CrossRef]
- He, L.; Liang, J.Z. Synthesis, modification and characterization of core-shell fluoroacrylate copolymer latexes. J. Fluor. Chem. 2008, 129, 590–597. [Google Scholar] [CrossRef]
- ISO 787-9:2019; General Methods of Test for Pigments and Extenders, Part 9: Determination of pH Value of an Aqueous Suspension. International Organization for Standardization: Geneva, Switzerland, 2019.
- Bin Razali, M.N.; Alkaf, A.A.; Zuhan, M.K.N.B. Formulation of water-based white colour paint from waste titanium dioxide. Mater. Today Proc. 2022, 48, 1905–1909. [Google Scholar] [CrossRef]
- ISO 2115:1996; Plastics—Polymer Dispersions—Determination of White Point Temperature and Minimum Film-Forming Temperature. International Organization for Standardization: Geneva, Switzerland, 1996.
- Machotová, J.; Zgoni, H.; Podzimek, S.; Svoboda, R.; Polarčik, J.; Šňupárek, J. Property study of structured self-crosslinking acrylic latex binder: Effect of molar mass and particle design. Prog. Org. Coat. 2017, 111, 258–266. [Google Scholar] [CrossRef]
- Machotová, J.; Kalendová, A.; Steinerová, D.; Mácová, P.; Slang, S.; Šňupárek, J.; Vajdák, J. Water-resistant latex coatings: Tuning of properties by polymerizable surfactant, covalent crosslinking and nanostructured ZnO additive. Coatings 2021, 11, 347. [Google Scholar] [CrossRef]
- Bhattacharjee, S. DLS and zeta potential—What they are and what they are not? J. Control Release 2016, 235, 337–351. [Google Scholar] [CrossRef]
- Machotová, J.; Kalendová, A.; Voleská, M.; Steinerová, D.; Pejchalová, M.; Knotek, P.; Zárybnická, L. Waterborne hygienic coatings based on self-crosslinking acrylic latex with embedded inorganic nanoparticles: A comparison of nanostructured ZnO and MgO as antibacterial additives. Prog. Org. Coat. 2020, 147, 105704. [Google Scholar] [CrossRef]
- Kumthekar, V.; Kolekar, S. Attributes of the latex emulsion processing and its role in morphology and performance in paints. Prog. Org. Coat. 2011, 72, 380–386. [Google Scholar] [CrossRef]
- Steinerová, D.; Kalendová, A.; Machotová, J.; Knotek, P.; Humpolíček, P.; Vajdák, J.; Slang, S.; Krejčová, A.; Beneš, L.; Wolff-Fabris, F. Influence of Metal Oxide Nanoparticles as Antimicrobial Additives Embedded in Waterborne Coating Binders Based on Self-Crosslinking Acrylic Latex. Coatings 2022, 12, 1445. [Google Scholar] [CrossRef]
- Bílková, E.; Sedlák, M.; Imramovský, A.; Chárová, P.; Knotek, P.; Benes, L. Prednisolone-α-cyclodextrin-star poly(ethylene glycol) polypseudorotaxane with delayed pH-sensitivity as a targeted drug delivery system. Int. J. Pharm. 2011, 414, 42. [Google Scholar] [CrossRef] [PubMed]
- Wang, J.; Xu, H.; Battocchi, D.; Bierwagen, G. The determination of critical pigment volume concentration (CPVC) in organic coatings with fluorescence microscopy. Prog. Org. Coat. 2014, 77, 2147–2154. [Google Scholar] [CrossRef]
- Lobnig, R.E.; Villaba, W.; Vogelsang, J.; Schmidt, R.; Zanger, P.; Soetemann, J. Development of a new experimental method to determine critical pigment–volume–concentrations using impedance spectroscopy. Prog. Org. Coat. 2006, 55, 363–374. [Google Scholar] [CrossRef]
- ISO 1514:2024; Paints and Varnishes—Standard Panels for Testing. International Organization for Standardization: Geneva, Switzerland, 2024.
- Kohl, M.; Alafid, F.; Boštíková, K.; Krejčová, A.; Slang, S.; Řezníček, D.; Hrdina, R.; Kalendová, A. Preparation and testing of anti-corrosion properties of new pigments containing structural units of melamine and magnesium cations (Mg2+). Coatings 2023, 13, 1968. [Google Scholar] [CrossRef]
- ISO 2808:2019; Paints and Varnishes—Determination of Film Thickness. International Organization for Standardization: Geneva, Switzerland, 2019.
- ISO 1522:2022; Paints and Varnishes—Pendulum Damping Test. International Organization for Standardization: Geneva, Switzerland, 2022.
- ISO 2813:2014; Paints and Varnishes—Determination of Gloss Value at 20°, 60° and 85°. International Organization for Standardization: Geneva, Switzerland, 2014.
- ISO 6272-1:2011; Paints and Varnishes—Rapid-Deformation (Impact Resistance) Tests, Part 1: Falling-Weight Test, Large-Area Indenter. International Organization for Standardization: Geneva, Switzerland, 2011.
- Goldschmidt, A.; Streitberger, H.J. BASF Handbook on Basics of Coating Technology; Vincentz Network: Hanover, Germany, 2007; pp. 345–393. ISBN 9783866303362. [Google Scholar]
- ISO 1520:2006; Paints and Varnishes—Cupping Test. International Organization for Standardization: Geneva, Switzerland, 2006.
- ISO 1519:2011; Paints and Varnishes—Bend Test (Cylindrical Mandrel). International Organization for Standardization: Geneva, Switzerland, 2011.
- ISO 2409:2020; Paints and Varnishes—Cross-Cut Test. International Organization for Standardization: Geneva, Switzerland, 2020.
- Do, J.; Cha, D.; Park, I.; Kwon, O.K.; Bae, J.; Park, J. Hydrothermal synthesis and application of adsorbent coating for ad-sorption chiller. Prog. Org. Coat. 2019, 128, 59–68. [Google Scholar] [CrossRef]
- ASTM D610-08; Standard Practice for Evaluating Degree of Rusting on Painted Steel Surfaces. ASTM International: West Conshohocken, PA, USA, 2016.
- ASTM D714-02; Standard Test Method for Evaluating Degree of Blistering of Paints. ASTM International: West Conshohocken, PA, USA, 2017.
- ISO 9227:2022; Corrosion Tests in Artificial Atmospheres—Salt Spray Tests. International Organization for Standardization: Geneva, Switzerland, 2022.
- ISO 4628-8:2012; Paints and Varnishes—Evaluation of Degradation of Coatings—Designation of Quantity and Size of Defects, and of Intensity of Uniform Changes in Appearance, Part 8: Assessment of Degree of Delamination and Corrosion Around a Scribe or Other Artificial Defect. International Organization for Standardization: Geneva, Switzerland, 2012.
- De Freitas Cunha Lins, V.; de Andrade Reis, G.F.; de Araujo, C.R.; Matencio, T. Electrochemical impedance spectroscopy, and linear polarization applied to the evaluation of porosity of phosphate conversion coatings on electrogalvanized steels. Appl. Surf. Sci. 2006, 253, 2875–2884. [Google Scholar] [CrossRef]
- Stejskal, J.; Trchová, M.; Morávková, Z.; Bober, P.; Kopecký, D.; Kopecká, J.; Watzlová, E.; Varga, M.; Prokeš, J. Polypyrrole salts and bases: Superior conductivity of nanotubes and their stability towards the loss of conductivity by deprotonation. RSC Adv. 2016, 6, 88382–88391. [Google Scholar] [CrossRef]
- Pavithra, S.; Thejas, R.; Anil Rao, H.N.; Krishna, B.S.; Nagaraju, G. Preparation of polypyrrole by chemical oxidation: Applications for sensor studies. Macromol. Res. 2024, 32, 23–33. [Google Scholar] [CrossRef]
- Blinova, N.V.; Stejskal, J.; Trchová, M.; Prokeš, J.; Omastová, M. Polyaniline and polypyrrole: A comparative study of the preparation. Eur. Polym. J. 2007, 43, 2331–2341. [Google Scholar] [CrossRef]
- Kolthoff, I.M.; Miller, I.K. The chemistry of persulfate. I. The kinetics and mechanism of the decomposition of the persulfate ion in aqueous medium1. JACS 1951, 73, 3055–3059. [Google Scholar] [CrossRef]
- Brooks, B.W.; Makanjuola, B.O. The rate of persulfate decomposition in the presence of polymer latices. Die Makromol. Chem. Rapid Commun. 1981, 2, 69–73. [Google Scholar] [CrossRef]
- Gallardo, V.; Morales, M.E.; Ruiz, M.A.; Delgado, A.V. An experimental investigation of the stability of ethylcellulose latex: Correlation between zeta potential and sedimentation. Eur. J. Pharm. Sci. 2005, 26, 170–175. [Google Scholar] [CrossRef]
- Müller, B.; Schackmann, M. Coatings Formulation; Lack in Vincentz GmbH and Company KG: Hannover, Germany, 2023. [Google Scholar]
- Sakota, K.; Okaya, T. Electrolyte stability of carboxylated latexes prepared by several polymerization processes. J. Appl. Polym. Sci. 1977, 21, 1025–1034. [Google Scholar] [CrossRef]
- Okubo, M.; Izumi, J.; Takekoh, R. Production of micron-sized monodispersed core/shell composite polymer particles by seeded dispersion polymerization. Colloid. Polym. Sci. 1999, 277, 875–880. [Google Scholar] [CrossRef]
- Smolík, J.; Knotek, P.; Schwarz, J.; Černošková, E.; Kutálek, P.; Králová, V.; Tichý, L. Laser direct writing into PbO-Ga2O3 glassy system: Parameters influencing microlenses formation. Appl. Surf. Sci. 2021, 540, 148368. [Google Scholar] [CrossRef]
- Capella, B.; Baschieri, P.; Frediani, C.; Miccoli, P.; Ascoli, C. Force-distance curves by AFM. IEEE Eng. Med. Biol. Mag. 1997, 16, 58. [Google Scholar] [CrossRef]
- Hsieh, M.-T.; Endo, B.; Zhang, Y.; Bauer, J.; Valdevit, L. The mechanical response of cellular materials with spinodal topologies. J. Mech. Phys. Solids 2019, 125, 401–419. [Google Scholar] [CrossRef]
- Blackley, D.C.; Blackley, D.C. Latex and paper. In Polymer Latices: Science and Technology Volume 3: Applications of Latices; Springer: Berlin/Heidelberg, Germany, 1997; pp. 434–473. [Google Scholar]
- Machotova, J.; Podzimek, S.; Kvasnicka, P.; Zgoni, H.; Snuparek, J.; Cerny, M. Effect of molar mass on film-forming properties of self-crosslinking latexes based on structured acrylic microgels. Prog. Org. Coat. 2016, 92, 23–28. [Google Scholar] [CrossRef]
- Anita, N.; Joany, R.M.; Dorothy, R.; Aslam, J.; Rajendran, S.; Subramania, A.; Singh, G.; Verma, C. Chapter 4—Linear polarization resistance (LPR) technique for corrosion measurements. In Electrochemical and Analytical Techniques for Sustainable Corrosion Monitoring, Advances, Challenges and Opportunities; Elsevier: Amsterdam, The Netherlands, 2023; pp. 59–80. [Google Scholar]
- Sun, H.; Su, G.; Zhang, Y.; Ren, J.; Chen, X.; Hou, H.; Ding, Z.; Zhang, T.; Liu, W. First-principles modeling of the anodic and cathodic polarization to predict the corrosion behavior of Mg and its alloys. Acta Mater. 2023, 244, 118562. [Google Scholar] [CrossRef]
- Rocchini, G. Corrosion rate monitoring by the linear polarization method. Corros. Sci. 1993, 34, 2031–2044. [Google Scholar] [CrossRef]
- Zhang, X.L.; Jiang, Z.H.; Yao, Z.P.; Song, Y.; Wu, Z.D. Effects of scan rate on the potentiodynamic polarization curve obtained to determine the Tafel slopes and corrosion current density. Corros. Sci. 2009, 51, 581–587. [Google Scholar] [CrossRef]
- Flitt, H.J.; Schweinsberg, D.P. Evaluation of corrosion rate from polarisation curves not exhibiting a Tafel region. Corros. Sci. 2005, 47, 3034–3052. [Google Scholar] [CrossRef]
- Zhang, Y.; Die, J.; Li, F.; Li, H.; Tu, J.; Yu, X. Polypyrrole-Modified Molybdenum Disulfide Nanocomposite Epoxy Coating Inhibits Corrosion of Mild Steel. Coatings 2023, 13, 1046. [Google Scholar] [CrossRef]
- Abdus Samad, U.; Alam, M.A.; Sherif, E.-S.M.; Alam, M.; Shaikh, H.; Alharthi, N.H.; Al-Zahrani, S.M. Synergistic Effect of Ag and ZnO Nanoparticles on Polypyrrole-Incorporated Epoxy/2pack Coatings and Their Corrosion Performances in Chloride Solutions. Coatings 2019, 9, 287. [Google Scholar] [CrossRef]
- Hao, Y.; Liu, F.; Han, E.-H.; Anjum, S.; Xu, G. The mechanism of inhibition by zinc phosphate in an epoxy coating. Corros. Sci. 2013, 69, 77–86. [Google Scholar] [CrossRef]
- Stejskal, J.; Trchová, M.; Brodinová, J.; Kalenda, P.; Fedorová, S.; Prokeš, J.; Zemek, J. Coating of zinc ferrite particles with a conducting polymer, polyaniline. J. Colloid. Interface Sci. 2006, 298, 87–93. [Google Scholar] [CrossRef]









| Pyrrole Dosage a (wt. %) | |||
|---|---|---|---|
| 0 | 0.25 | 0.50 | |
| Reaction Vessel | |||
| Distilled water (g) | 75.0 | 75.0 | 75.0 | 
| Disponil FES 99 (g) | 0.5 | 0.5 | 0.5 | 
| Ammonium peroxodisulfate (g) | 0.4 | 0.4 | 0.4 | 
| The First Monomer Emulsion | |||
| Distilled water (g) | 75.0 | 75.0 | 75.0 | 
| Disponil FES 99 (g) | 7.3 | 7.3 | 7.3 | 
| MMA (g) | 45.0 | 45.0 | 45.0 | 
| BA (g) | 51.0 | 51.0 | 51.0 | 
| MAA (g) | 4.0 | 4.0 | 4.0 | 
| Ammonium peroxodisulfate (g) | 0.4 | 0.4 | 0.4 | 
| The Second Monomer Emulsion | |||
| Distilled water (g) | 155.0 | 155.0 | 155.0 | 
| Disponil FES 99 (g) | 7.3 | 7.3 | 7.3 | 
| MMA (g) | 45.0 | 45.0 | 45.0 | 
| BA (g) | 51.0 | 51.0 | 51.0 | 
| MAA (g) | 4.0 | 4.0 | 4.0 | 
| Ammonium peroxodisulfate (g) | 0.4 | 1.9 | 4.0 | 
| Pyrrole Solution | |||
| Pyrrole (g) | 0 | 0.5 | 1.0 | 
| Distilled water (g) | - | 65.0 | 65.0 | 
| Panel Type | Dimensions (mm) | Roughness (µm) | Chemical Composition (%) | 
|---|---|---|---|
| S46 | 152 × 102 × 0.81 | 0.5–1.15 | Mn ≤ 0.60 C ≤ 0.15 p ≤ 0.030 S ≤ 0.035 | 
| ZQD-SP-104171 | 62 × 202 × 0.51 | 0.5–1.15 | |
| QD24 | 51 × 102 × 0.51 | ≤0.5 | 
| Latex | Coagulum (wt. %) | Conversion (%) | Solids (wt. %) | pH | Tg (°C) | MFFT (Acidic Latex) (°C) | MFFT (Alkaline Latex) (°C) | 
|---|---|---|---|---|---|---|---|
| Lacid_0 | 0.4 | 99.8 | 39.0 | 1.9 ± 0.1 | 0.4 ± 0.2 | 8.1 ± 0.1 | 7.7 ± 0.2 | 
| Lacid_0.25 | 0.5 | 97.9 | 38.8 | 1.7 ± 0.1 | 3.4 ± 0.4 | 10.0 ± 0.3 | 8.0 ± 0.2 | 
| Lacid_0.50 | 1.9 | 66.3 | 29.4 | 1.6 ± 0.1 | 4.5 ± 0.5 | 11.5 ± 0.2 | 8.3 ± 0.3 | 
| Latex | Zeta Potential (mV) | Particle Diameter (nm) | Polydispersity (%) | 1 Month | 4 Months | 24 h | 48 h | 120 h | |
|---|---|---|---|---|---|---|---|---|---|
| Peak 1 | Peak 2 | ||||||||
| Lacid_0 | −37.4 ± 0.7 | 137 ± 1 | - | 2.6 ± 1.7 | 0 | 0 | 0 | 0 | X | 
| Lacid_0.25 | −38.4 ± 1.3 | 130 ± 2 | - | 3.3 ± 2.1 | 0 | 0 | 0 | 0 | X | 
| Lacid_0.50 | −30.2 ± 1.5 | 253 ± 27 | 1074 ± 373 | 28.0 ± 2.0 | 0 | 0 | 0 | 0 | X | 
| Lalkali_0 | −38.4 ± 0.8 | 147 ± 1 | - | 3.8 ± 2.7 | 0 | 0 | 0 | 0 | 0 | 
| Lalkali_0.25 | −40.1 ± 1.9 | 138 ± 2 | - | 2.5 ± 1.4 | 0 | 0 | 0 | 0 | X | 
| Lalkali_0.50 | −33.1 ± 1.0 | 313 ± 33 | 1112 ± 447 | 28.3 ± 3.3 | 0 | 0 | 0 | 0 | X | 
| Latex | N Concentration (wt. %) | Polypyrrole Content (wt. %) | ||
|---|---|---|---|---|
| Total—Experimentally Determined | Calculated for Polypyrrole a | Theoretical | Experimentally Determined a | |
| Lalkali_0 | 0.18 ± 0.01 | 0 | 0 | 0 | 
| Lalkali_0.25 | 0.31 ± 0.01 | 0.037 | 0.24 | 0.18 | 
| Lalkali_0.50 | 0.49 ± 0.07 | 0.091 | 0.48 | 0.44 | 
| Pigment | Oil Absorption (g/100 g) | Density (g·cm−3) | CPVC | Size of Primary Particles (μm) | 
|---|---|---|---|---|
| ZnO | 15.3 ± 0.2 | 5.68 ± 0.02 | 51.7 | 0.2 ± 0.1 | 
| ZnS | 15.8 ± 0.2 | 4.04 ± 0.02 | 59.3 | 0.3 ± 0.1 | 
| MoS2 | 29.8 ± 0.2 | 4.81 ± 0.02 | 39.4 | 1.3 ± 0.6 | 
| ZnFe2O4 | 24.1 ± 0.2 | 5.17 ± 0.02 | 42.7 | 1.2 ± 0.6 | 
| Zn3(PO4)2 | 33.9 ± 0.2 | 3.35 ± 0.02 | 45.0 | 1.1 ± 0.7 | 
| Latex | Gloss (60°) | Hardness (%) | Impact (cm) | Cupping (mm) | Bending (mm) | Adhesion (dg.) | 
|---|---|---|---|---|---|---|
| Lalkali_0 | 147.1 ± 0.5 | 38.6 ± 0.1 | 60 | >10 | <2 | 0 | 
| Lalkali_0.25 | 130.6 ± 0.1 | 39.6 ± 0.1 | 60 | >10 | <2 | 0 | 
| Lalkali_0.50 | 110.0 ± 0.3 | 40.5 ± 0.1 | 50 | >10 | <2 | 0 | 
| Latex | Changes in the Coating Quality a | Corrosion of Coated Steel (%) | ||||||||||
|---|---|---|---|---|---|---|---|---|---|---|---|---|
| 2 | 4 | 6 | 8 | 10 | 12 | 2 | 4 | 6 | 8 | 10 | 12 | |
| Lacid_0 | 0 | 0 | 0 | 0 | 2 | 2 | 16 | 3 | 16 | 10 | 33 | 33 | 
| Lacid_0.25 | 2 | 1 | 1 | 1 | 3 | 3 | 33 | 10 | 16 | 10 | 33 | 33 | 
| Lacid_0.50 | 2 | 2 | 2 | 3 | 4 | 4 | 10 | 10 | 10 | 10 | 3 | 3 | 
| Lalkali_0 | 0 | 0 | 0 | 0 | 2 | 3 | 16 | 16 | 10 | 3 | 10 | 50 | 
| Lalkali_0.25 | 0 | 0 | 0 | 0 | 1 | 3 | 3 | 1 | 1 | 3 | 1 | 1 | 
| Lalkali_0.50 | 2 | 2 | 2 | 0 | 3 | 3 | 50 | 33 | 33 | 16 | 3 | 3 | 
| Latex | Blistering | Corrosion | |||
|---|---|---|---|---|---|
| In the Cut (dg.) | On the Film Area (dg.) | In the Cut (mm) | On the Film Area (%) | Metal Base (%) | |
| Lacid_0 | 8F | 8F | 3–3.5 | 1 | 1 | 
| Lacid_0.25 | - | - | 1–1.5 | 0.3 | 0.3 | 
| Lacid_0.50 | 8M | - | 1–1.5 | 10 | 10 | 
| Lalkali_0 | 8M | 1–1.5 | 3 | 3 | |
| Lalkali_0.25 | - | - | 0.5–1 | 0.03 | 0.03 | 
| Lalkali_0.50 | - | - | 0.5–1 | 0.3 | 0.3 | 
| Latex | Ecorr (mV) | Icorr (µA) | ßa (mV) | ßc (mV) | Rp (MΩ) | vcorr (mm/Year) | 
|---|---|---|---|---|---|---|
| Lacid_0 | –623 | 1.7 × 10−2 | 15.2 | 17.3 | 0.19 | 2.51 × 10−4 | 
| Lacid_0.25 | –535 | 9.1 × 10−3 | 41.0 | 35.0 | 0.88 | 1.33 × 10−4 | 
| Lacid_0.50 | –534 | 2.0 × 10−2 | 24.6 | 23.7 | 0.26 | 2.95 × 10−4 | 
| Lalkali_0 | –474 | 8.7 × 10−3 | 43.1 | 38.2 | 0.97 | 1.13 × 10−4 | 
| Lalkali_0.25 | –486 | 8.5 × 10−3 | 44.1 | 39.2 | 0.99 | 1.12 × 10−4 | 
| Lalkali_0.50 | –491 | 9.1 × 10−3 | 34.7 | 36.9 | 0.85 | 1.34 × 10−4 | 
| Latex/Pigment | Ecorr (mV) | Icorr (µA) | ßa (mV) | ßc (mV) | Rp (MΩ) | νcorr (mm/Year) | 
|---|---|---|---|---|---|---|
| Lacid_0/ZnO | −451 | 1.4 × 10−2 | 26.8 | 27.4 | 4.2 | 2.06 × 10−5 | 
| Lacid_0.25/ZnO | −489 | 1.3 × 10−2 | 26.9 | 27.3 | 4.5 | 1.92 × 10−5 | 
| Lacid_0/Zn3(PO4)2 | −550 | 3.9 × 10−4 | 21.1 | 19.3 | 11 | 5.76 × 10−6 | 
| Lacid_0.25/Zn3(PO4)2 | −552 | 3.1 × 10−4 | 20.7 | 17.7 | 13 | 4.60 × 10−6 | 
| Lacid_0/ZnS | −510 | 3.0 × 10−4 | 22.4 | 20.4 | 15 | 4.43 × 10−6 | 
| Lacid_0.25/ZnS | −508 | 2.7 × 10−4 | 21.2 | 19.0 | 14 | 4.01 × 10−6 | 
| Lacid_0/MoS2 | −498 | 1.2 × 10−5 | 21.8 | 17.4 | 24 | 2.80 × 10−6 | 
| Lacid_0.25/MoS2 | −491 | 1.2 × 10−4 | 21.3 | 13.7 | 29 | 1.83 × 10−6 | 
| Lacid_0/ZnFe2O4 | −552 | 5.9 × 10−3 | 27.8 | 28.7 | 1.0 | 8.71 × 10−5 | 
| Lacid_0.25/ZnFe2O4 | −581 | 5.5 × 10−3 | 27.2 | 27.8 | 1.1 | 8.12 × 10−5 | 
| Latex/Pigment | Ecorr (mV) | Icorr (µA) | ßa (mV) | ßc (mV) | Rp (MΩ) | νcorr (mm/Year) | 
|---|---|---|---|---|---|---|
| Lalkali_0/ZnO | −467 | 1.3 × 10−3 | 26.7 | 27.1 | 4.6 | 1.89 × 10−5 | 
| Lalkali_0.25/ZnO | −410 | 1.2 × 10−3 | 28.3 | 29.7 | 5.2 | 1.77 × 10−5 | 
| Lalkali_0/Zn3(PO4)2 | −598 | 6.2 × 10−4 | 38.8 | 37.4 | 13 | 9.15 × 10−6 | 
| Lalkali_0.25/Zn3(PO4)2 | −514 | 6.1 × 10−4 | 42.4 | 38.7 | 14 | 9.10 × 10−6 | 
| Lalkali_0/ZnS | −507 | 5.2 × 10−4 | 40.2 | 37.6 | 17 | 7.53 × 10−6 | 
| Lalkali_0.25/ZnS | −542 | 3.6 × 10−4 | 43.1 | 45.5 | 26 | 5.31 × 10−6 | 
| Lalkali_0/MoS2 | −608 | 0.3 × 10−4 | 39.8 | 38.5 | 28 | 4.43 × 10−6 | 
| Lalkali_0.25/MoS2 | −613 | 2.4 × 10−4 | 34.9 | 33.1 | 30 | 3.50 × 10−6 | 
| Lalkali_0/ZnFe2O4 | −518 | 4.7 × 10−3 | 26.5 | 26.9 | 1.2 | 6.94 × 10−6 | 
| Lalkali_0.25/ZnFe2O4 | −549 | 4.2 × 10−3 | 27.7 | 28.9 | 1.5 | 6.20 × 10−5 | 
| Disclaimer/Publisher’s Note: The statements, opinions and data contained in all publications are solely those of the individual author(s) and contributor(s) and not of MDPI and/or the editor(s). MDPI and/or the editor(s) disclaim responsibility for any injury to people or property resulting from any ideas, methods, instructions or products referred to in the content. | 
© 2024 by the authors. Licensee MDPI, Basel, Switzerland. This article is an open access article distributed under the terms and conditions of the Creative Commons Attribution (CC BY) license (https://creativecommons.org/licenses/by/4.0/).
Share and Cite
Boštíková, K.; Kohl, M.; Kalendová, A.; Knotek, P.; Trchová, M.; Stejskal, J.; Schmidová, E.; Machotová, J. Polyacrylate Latex Coating Binders Comprising Polypyrrole Component Prepared with “One-Pot” Synthesis. Coatings 2024, 14, 1565. https://doi.org/10.3390/coatings14121565
Boštíková K, Kohl M, Kalendová A, Knotek P, Trchová M, Stejskal J, Schmidová E, Machotová J. Polyacrylate Latex Coating Binders Comprising Polypyrrole Component Prepared with “One-Pot” Synthesis. Coatings. 2024; 14(12):1565. https://doi.org/10.3390/coatings14121565
Chicago/Turabian StyleBoštíková, Karolína, Miroslav Kohl, Andréa Kalendová, Petr Knotek, Miroslava Trchová, Jaroslav Stejskal, Eva Schmidová, and Jana Machotová. 2024. "Polyacrylate Latex Coating Binders Comprising Polypyrrole Component Prepared with “One-Pot” Synthesis" Coatings 14, no. 12: 1565. https://doi.org/10.3390/coatings14121565
APA StyleBoštíková, K., Kohl, M., Kalendová, A., Knotek, P., Trchová, M., Stejskal, J., Schmidová, E., & Machotová, J. (2024). Polyacrylate Latex Coating Binders Comprising Polypyrrole Component Prepared with “One-Pot” Synthesis. Coatings, 14(12), 1565. https://doi.org/10.3390/coatings14121565
 
        




 
       