Kinetic and Thermodynamic Study of Ag+, Cu2+, and Zn2+ Ion Adsorption on LTA for High-Performance Antibacterial Coating
Abstract
1. Introduction
2. Materials and Methods
2.1. Materials
2.2. Preparation of the Samples
2.2.1. Preparation of Antibacterial Agent
2.2.2. Preparation of Antibacterial Powder Coating
2.2.3. Preparation of Powder Coating Film
2.2.4. Characterization of Antibacterial Agents and Coating Film
2.3. Ion Exchange Thermodynamics and Kinetics Test
2.3.1. Ion Exchange Kinetics Test
2.3.2. Ion Exchange Isotherm Test
2.3.3. Competitive Adsorption of Three Ions
3. Results and Discussion
3.1. Effect of Cu2+ and Zn2+ on Antibacterial Properties of Coating Films
3.1.1. Properties of Antibacterial Agents
3.1.2. Properties of Antibacterial Coating Films
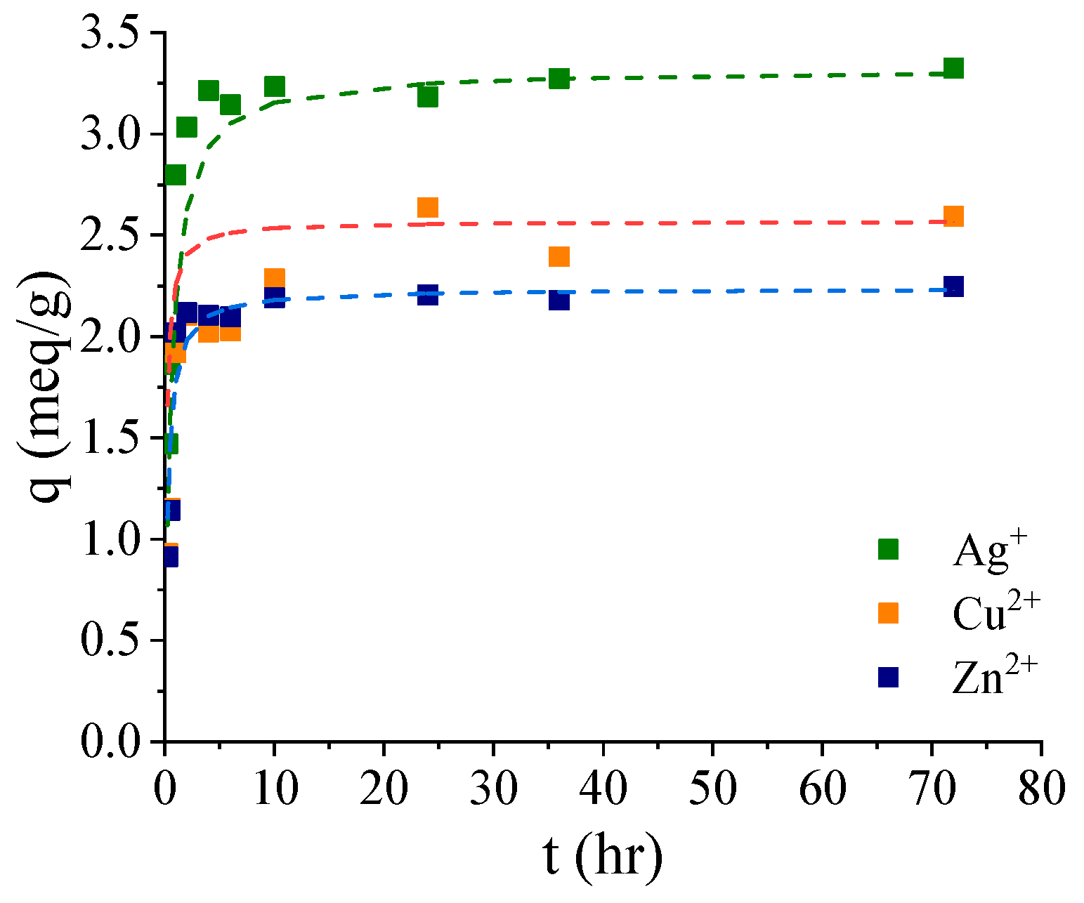
3.2. Ion Exchange Reaction Kinetics
3.3. Thermodynamics
3.4. Competitive Adsorption of Multiple Ions
4. Conclusions
Supplementary Materials
Author Contributions
Funding
Institutional Review Board Statement
Informed Consent Statement
Data Availability Statement
Conflicts of Interest
References
- Ayrilmis, N. A review on electrostatic powder coatings for the furniture industry. Int. J. Adhes. Adhes. 2022, 113, 103062. [Google Scholar] [CrossRef]
- Czachor-Jadacka, D.; Biller, K.; Pilch-Pitera, B. Recent development advances in bio-based powder coatings: A review. J. Coat. Technol. Res. 2023, 21, 435–444. [Google Scholar] [CrossRef]
- Czachor-Jadacka, D.; Pilch-Pitera, B. Progress in development of UV curable powder coatings. Prog. Org. Coat. 2021, 158, 106355. [Google Scholar] [CrossRef]
- Fu, J.; Krantz, M.; Zhang, H.; Zhu, J.; Kuo, H.; Wang, Y.M.; Lis, K. Investigation of the recyclability of powder coatings. Powder Technol. 2011, 211, 38–45. [Google Scholar] [CrossRef]
- Alkattan, R.; Rojo, L.; Deb, S. Antimicrobials in Dentistry. Appl. Sci. 2021, 11, 3279. [Google Scholar] [CrossRef]
- Felgueiras, H.P. Green Antimicrobials. Antibiotics 2023, 12, 1128. [Google Scholar] [CrossRef]
- Khan, S.A.; Shakoor, A. Recent Strategies and Future Recommendations for the Fabrication of Antimicrobial, Antibiofilm, and Antibiofouling Biomaterials. Int. J. Nanomed. 2023, 18, 3377–3405. [Google Scholar] [CrossRef]
- Quinto, E.J.; Caro, I.; Villalobos-Delgado, L.H.; Mateo, J.; De-Mateo-Silleras, B.; Redondo-Del-Rio, M.P. Food Safety through Natural Antimicrobials. Antibiotics 2019, 8, 208. [Google Scholar] [CrossRef]
- Yu, L.; Shi, H. Recent advances in anti-adhesion mechanism of natural antimicrobial agents on fresh produce. Curr. Opin. Food Sci. 2021, 42, 8–14. [Google Scholar] [CrossRef]
- Karypidis, M.; Karanikas, E.; Papadaki, A.; Andriotis, E.G. A Mini-Review of Synthetic Organic and Nanoparticle Antimicrobial Agents for Coatings in Textile Applications. Coatings 2023, 13, 693. [Google Scholar] [CrossRef]
- Wang, C.y.; Makvandi, P.; Zare, E.N.; Tay, F.R.; Niu, L.n. Advances in Antimicrobial Organic and Inorganic Nanocompounds in Biomedicine. Adv. Ther. 2020, 3, 2000024. [Google Scholar] [CrossRef]
- Qiu, L.; Dong, S.; Ashour, A.; Han, B. Antimicrobial concrete for smart and durable infrastructures: A review. Constr. Build. Mater. 2020, 260, 120456. [Google Scholar] [CrossRef]
- Saidin, S.; Jumat, M.A.; Mohd Amin, N.A.A.; Saleh Al-Hammadi, A.S. Organic and inorganic antibacterial approaches in combating bacterial infection for biomedical application. Mater. Sci. Eng. C Mater. Biol. Appl. 2021, 118, 111382. [Google Scholar] [CrossRef]
- Parveen, S.; Taranum, R.; Mittapally, S. Metal ions as antibacterial agents. J. Drug Deliv. Ther. 2018, 8, 411–419. [Google Scholar]
- Turner, R.J. The good, the bad, and the ugly of metals as antimicrobials. Biometals 2023, 37, 545–559. [Google Scholar] [CrossRef]
- Gautam, S.; Das, D.K.; Kaur, J.; Kumar, A.; Ubaidullah, M.; Hasan, M.; Yadav, K.K.; Gupta, R.K. Transition metal-based nanoparticles as potential antimicrobial agents: Recent advancements, mechanistic, challenges, and future prospects. Discov. Nano 2023, 18, 84. [Google Scholar] [CrossRef] [PubMed]
- Kalakonda, P.; Mandal, P.; Laxmi Mynepally, S.; Bashipangu, A.; Kethavath, A.; Khanam, S.J.; Batchu, M.; Kalakonda, P.B.; Banne, S.; Aitipamula, D.; et al. Comparison of Multi-metallic Nanoparticles-Alternative Antibacterial Agent: Understanding the Role of Their Antibacterial Properties. J. Inorg. Organomet. Polym. Mater. 2024, 34, 2203–2218. [Google Scholar] [CrossRef]
- Zhang, E.; Zhao, X.; Hu, J.; Wang, R.; Fu, S.; Qin, G. Antibacterial metals and alloys for potential biomedical implants. Bioact. Mater. 2021, 6, 2569–2612. [Google Scholar] [CrossRef]
- Parvekar, P.; Palaskar, J.; Metgud, S.; Maria, R.; Dutta, S. The minimum inhibitory concentration (MIC) and minimum bactericidal concentration (MBC) of silver nanoparticles against Staphylococcus aureus. Biomater. Investig. Dent. 2020, 7, 105–109. [Google Scholar] [CrossRef]
- Asamoah, R.B.; Annan, E.; Mensah, B.; Nbelayim, P.; Apalangya, V.; Onwona-Agyeman, B.; Yaya, A. A Comparative Study of Antibacterial Activity of CuO/Ag and ZnO/Ag Nanocomposites. Adv. Mater. Sci. Eng. 2020, 2020, 7814324. [Google Scholar] [CrossRef]
- Song, D.-S.; Song, J.-H.; Ahn, S.-H. Three-Dimensional Printing of Ag Nanoparticle Meshes for Antibacterial Activity. ACS Appl. Nano Mater. 2023, 6, 10845–10852. [Google Scholar] [CrossRef]
- Ozdemir, G.; Yapar, S. Preparation and characterization of copper and zinc adsorbed cetylpyridinium and N-lauroylsarcosinate intercalated montmorillonites and their antibacterial activity. Colloids Surf. B Biointerfaces 2020, 188, 110791. [Google Scholar] [CrossRef] [PubMed]
- İlaslan, K.; Tornuk, F. Characterization of Silver Ions-Doped Organomodified Nanoclays. Arab. J. Sci. Eng. 2022, 48, 327–340. [Google Scholar] [CrossRef]
- Ghasemi, M.R.; Nazemi, A.H.; Bozorgzadeh, H.R. Continuous adsorption process of CO2/N2/H2O from CH4 flow using type A zeolite adsorbents in the presence of ultrasonic waves. Results Eng. 2023, 20, 101490. [Google Scholar]
- Hajibabaei, M.; Zendehdel, R.; Panjali, Z. Imidazole-functionalized Ag/MOFs as promising scaffolds for proper antibacterial activity and toxicity reduction of Ag nanoparticles. J. Inorg. Organomet. Polym. Mater. 2020, 30, 4622–4626. [Google Scholar] [CrossRef]
- Wang, F.; Cai, J.; Yang, C.; Luo, H.; Li, X.; Hou, H.; Zou, G.; Zhang, D. Improved capacitive energy storage nanocomposites at high temperature utilizing ultralow loading of bimetallic MOF. Small 2023, 19, 2300510. [Google Scholar] [CrossRef]
- He, H.; Li, R.; Yang, Z.; Chai, L.; Jin, L.; Alhassan, S.I.; Ren, L.; Wang, H.; Huang, L. Preparation of MOFs and MOFs derived materials and their catalytic application in air pollution: A review. Catal. Today 2021, 375, 10–29. [Google Scholar] [CrossRef]
- Du, J.; Zhan, X.; Xu, Y.; Zhang, D.; Qin, S. Heat-Resistant Covalent Organic Framework (COF) PVA-Hybridized Gel Electrolyte for the Preparation of Dendrite-Free Zinc-Ion Batteries. Nano Lett. 2024, 24, 13592–13599. [Google Scholar] [CrossRef]
- Buzukashvili, S.; Hu, W.; Sommerville, R.; Brooks, O.; Kökkılıç, O.; Rowson, N.A.; Ouzilleau, P.; Waters, K.E. Magnetic zeolite: Synthesis and copper adsorption followed by magnetic separation from treated water. Crystals 2023, 13, 1369. [Google Scholar] [CrossRef]
- Reske, G.D.; Pereira, H.A.; Bernicker, M.R.; Cargnelutti, J.F.; Dotto, G.L.; De Castilhos, F. Graphite oxide impregnated with LTA zeolite as a new adsorbent to uptake Ag (I) from aqueous solution and its subsequent reuse as an antimicrobial. Mater. Chem. Phys. 2024, 315, 128955. [Google Scholar] [CrossRef]
- Cui, J.; Shao, Y.; Zhang, H.; Zhang, H.; Zhu, J. Development of a novel silver ions-nanosilver complementary composite as antimicrobial additive for powder coating. Chem. Eng. J. 2021, 420, 127633. [Google Scholar] [CrossRef] [PubMed]
- Cui, J.; Yeasmin, R.; Shao, Y.; Zhang, H.; Zhang, H.; Zhu, J. Fabrication of Ag+, Cu2+, and Zn2+ Ternary Ion-Exchanged Zeolite as an Antimicrobial Agent in Powder Coating. Ind. Eng. Chem. Res. 2019, 59, 751–762. [Google Scholar] [CrossRef]
- Li, Z.; Liu, L.; Zheng, H.; Meng, F.; Wang, F. Superhydrophobic, corrosion resistance, and antibacterial coating with delayed release of Ag ions. Compos. Commun. 2022, 31, 101134. [Google Scholar] [CrossRef]
- Xu, Z.; Chen, K.; Li, M.; Hu, C.; Yin, P. Sustained release of Ag(+) confined inside polyoxometalates for long-lasting bacterial resistance. Chem. Commun. 2020, 56, 5287–5290. [Google Scholar] [CrossRef] [PubMed]
- Xue, Z.; Li, Z.; Ma, J.; Bai, X.; Kang, Y.; Hao, W.; Li, R. Effective removal of Mg2+ and Ca2+ ions by mesoporous LTA zeolite. Desalination 2014, 341, 10–18. [Google Scholar] [CrossRef]
- de Andrade Bessa, R.; de Sousa Costa, L.; Oliveira, C.P.; Bohn, F.; do Nascimento, R.F.; Sasaki, J.M.; Loiola, A.R. Kaolin-based magnetic zeolites A and P as water softeners. Microporous Mesoporous Mater. 2017, 245, 64–72. [Google Scholar] [CrossRef]
- Belova, T. Adsorption of heavy metal ions (Cu2+, Ni2+, Co2+ and Fe2+) from aqueous solutions by natural zeolite. Heliyon 2019, 5, e02320. [Google Scholar] [CrossRef]
- Araki, S.; Li, T.; Li, K.; Yamamoto, H. Preparation of zeolite hollow fibers for high-efficiency cadmium removal from waste water. Sep. Purif. Technol. 2019, 221, 393–398. [Google Scholar] [CrossRef]
- Collins, F.; Rozhkovskaya, A.; Outram, J.G.; Millar, G.J. A critical review of waste resources, synthesis, and applications for Zeolite LTA. Microporous Mesoporous Mater. 2020, 291, 109667. [Google Scholar] [CrossRef]
- Benaliouche, F.; Hidous, N.; Guerza, M.; Zouad, Y.; Boucheffa, Y. Characterization and water adsorption properties of Ag-and Zn-exchanged A zeolites. Microporous Mesoporous Mater. 2015, 209, 184–188. [Google Scholar] [CrossRef]
- Ramirez, J.I.D.L.; Villegas, V.A.R.; Cadena-Nava, R.D.; Loredo-Garcia, E.; Chávez-Rivas, F.; González-Torres, V.; Petranovskii, V. Antimicrobial activity of the LTA zeolite modified by zinc species. Microporous Mesoporous Mater. 2024, 380, 113295. [Google Scholar] [CrossRef]
- Lin, J.; Hu, X.; Li, Y.; Shan, W.; Tan, X.; He, H. Maximizing the hydrothermal stability of Cu-LTA for NH3-SCR by control of Cu content and location. Appl. Catal. B Environ. 2023, 331, 122705. [Google Scholar] [CrossRef]
- ASTM E2180-07; J. LaZonby, Standard Test Method for Determining the Activity of Incorporated Antimicrobial Agent(s) in Polymeric or Hydrophobic Materials. ASTM International: West Conshohocken, PA, USA, 2018.
- Zhang, X.; Su, F.; Sun, J.; Li, Z. Synthesis of 2D Black Phosphorus/Polytetrafluoroethylene/Waterborne Polyurethane Nanocomposite Coatings and Study on Its Tribological Properties. Tribology 2022, 43, 337–346. [Google Scholar]
- Wang, C.; Qu, C.; Liu, J.; Cheng, J.; Wu, D. Analysis on low-temperature curing performance of polyurethane topcoat. Electroplat. Finish. 2022, 41. [Google Scholar] [CrossRef]
- Ho, Y.-S. Absorption of Heavy Metals from Waste Streams by Peat. Ph.D. Thesis, University of Birmingham, Birmingham, UK, 1995. [Google Scholar]
- Hong, M.; Yu, L.; Wang, Y.; Zhang, J.; Chen, Z.; Dong, L.; Zan, Q.; Li, R. Heavy metal adsorption with zeolites: The role of hierarchical pore architecture. Chem. Eng. J. 2019, 359, 363–372. [Google Scholar] [CrossRef]
- Liu, X.; Qiu, X.; Sun, X.; Mei, L.; Wang, L.; Guo, Q. Preparation and kinetic study of organic amine-loaded ion-exchange resin as CO2 adsorbents. Environ. Prog. Sustain. Energy 2020, 40, e13476. [Google Scholar] [CrossRef]
- Ranjbar, F.; Jalali, M. Empirical and mechanistic evaluation of sodium exchange isotherms on natural mineral and organic adsorbents and organically functionalized nanoparticles. Int. J. Environ. Sci. Technol. 2016, 13, 1891–1916. [Google Scholar] [CrossRef]
- Keller, A.; Burger, J.; Hasse, H.; Kohns, M. Application of the Pitzer model for describing the evaporation of seawater. Desalination 2021, 503, 114866. [Google Scholar] [CrossRef]
- Al-Ghouti, M.A.; Da’ana, D.A. Guidelines for the use and interpretation of adsorption isotherm models: A review. J. Hazard. Mater. 2020, 393, 122383. [Google Scholar] [CrossRef]
- Gaines, G.L., Jr.; Thomas, H.C. Adsorption studies on clay minerals. II. A formulation of the thermodynamics of exchange adsorption. J. Chem. Phys. 1953, 21, 714–718. [Google Scholar] [CrossRef]
- Nightingale, E., Jr. Phenomenological theory of ion solvation. Effective radii of hydrated ions. J. Phys. Chem. 1959, 63, 1381–1387. [Google Scholar] [CrossRef]
- Feng, C.; Wang, C. Correlation between cation standard entropy, hydration enthalpy and partition function. J. Jilin Univ. (Sci. Ed.) 2003, 41, 543–547. [Google Scholar]
- Liu, G.; Ma, L.; Liu, J. Chemical Chemical Properties Data Book; Organic Volume; Chemical Industry Press: Beijing, China, 2002; Volume 5, pp. 599–600. [Google Scholar]















| Surface Area (m2/g) | |
|---|---|
| LTA | 532.7 |
| S-LTA | 559.8 |
| M-LTA | 504.1 |
| Reaction | k2 (g·meq−1·h−1) | qe (meq/g) | R2 |
|---|---|---|---|
| Na+ ↔ Ag+ | 1.330 | 3.27 | 0.9999 |
| Na+ ↔ 1/2Cu2+ | 0.318 | 3.15 | 0.9948 |
| Na+ ↔ 1/2Zn2+ | 1.190 | 2.28 | 0.9997 |
| Adsorbate | Adsorbent | Adsorbent Concentration (g/L) | Adsorbate Concentration (mg/L) | pH | T/K | Adsorption Capacity (mg/g) | η/% | Reference |
|---|---|---|---|---|---|---|---|---|
| Cu | Zeolite A | 2 | 500 | 6 | 293 | 173 | 34.6 | [47] |
| Ag Zn | Zeolite A | - | - | - | 313 | - | 63.7 54.4 | [40] |
| Cu | Zeolite A | 1 | 300 | 6 | - | 262 | 43.5 | [29] |
| Ag | Zeolite A | 1 | 25 | 6 | - | 21.08 | 84.3 | [30] |
| Reaction | k2 (g·meq−1·h−1) | R2 |
|---|---|---|
| Na+ ↔ Ag+ | 0.1408 | 0.3604 |
| Na+ ↔ 1/2Cu2+ | 0.1514 | 0.549 |
| Na+ ↔ 1/2Zn2+ | 0.1014 | 0.3389 |
| Reaction | qmax (meq/g) | KA | ΔG0 (kJ/eq) |
|---|---|---|---|
| Na+ ↔ Ag+ | 4.14 | 9.870 | −5.76 |
| Na+ ↔ 1/2Cu2+ | 3.76 | 0.083 | 3.09 |
| Na+ ↔ 1/2Zn2+ | 3.11 | 0.124 | 2.03 |
Disclaimer/Publisher’s Note: The statements, opinions and data contained in all publications are solely those of the individual author(s) and contributor(s) and not of MDPI and/or the editor(s). MDPI and/or the editor(s) disclaim responsibility for any injury to people or property resulting from any ideas, methods, instructions or products referred to in the content. |
© 2024 by the authors. Licensee MDPI, Basel, Switzerland. This article is an open access article distributed under the terms and conditions of the Creative Commons Attribution (CC BY) license (https://creativecommons.org/licenses/by/4.0/).
Share and Cite
Yang, J.; Cui, J.; Zhang, H.; Zhang, H.; Zhu, J. Kinetic and Thermodynamic Study of Ag+, Cu2+, and Zn2+ Ion Adsorption on LTA for High-Performance Antibacterial Coating. Coatings 2024, 14, 1524. https://doi.org/10.3390/coatings14121524
Yang J, Cui J, Zhang H, Zhang H, Zhu J. Kinetic and Thermodynamic Study of Ag+, Cu2+, and Zn2+ Ion Adsorption on LTA for High-Performance Antibacterial Coating. Coatings. 2024; 14(12):1524. https://doi.org/10.3390/coatings14121524
Chicago/Turabian StyleYang, Jiayuan, Jixing Cui, Haiping Zhang, Hui Zhang, and Jesse Zhu. 2024. "Kinetic and Thermodynamic Study of Ag+, Cu2+, and Zn2+ Ion Adsorption on LTA for High-Performance Antibacterial Coating" Coatings 14, no. 12: 1524. https://doi.org/10.3390/coatings14121524
APA StyleYang, J., Cui, J., Zhang, H., Zhang, H., & Zhu, J. (2024). Kinetic and Thermodynamic Study of Ag+, Cu2+, and Zn2+ Ion Adsorption on LTA for High-Performance Antibacterial Coating. Coatings, 14(12), 1524. https://doi.org/10.3390/coatings14121524

