Research on the Rheological Performance of Fast-Melting SBS-Modified Asphalt under Complex Environmental Factors
Abstract
1. Introduction
2. Materials and Methods
2.1. Materials
2.2. Preparation of Fast-Melting SBS-Modified Asphalt
2.3. Preparation of Salt Solutions
2.4. Experimental Methods
2.4.1. Aging Process Simulation
2.4.2. Dynamic Shear Rheometer Test
2.4.3. Bending Beam Rheometer Test
3. Results and Discussion
3.1. High-Temperature Characteristics
3.1.1. Temperature Sweep Test
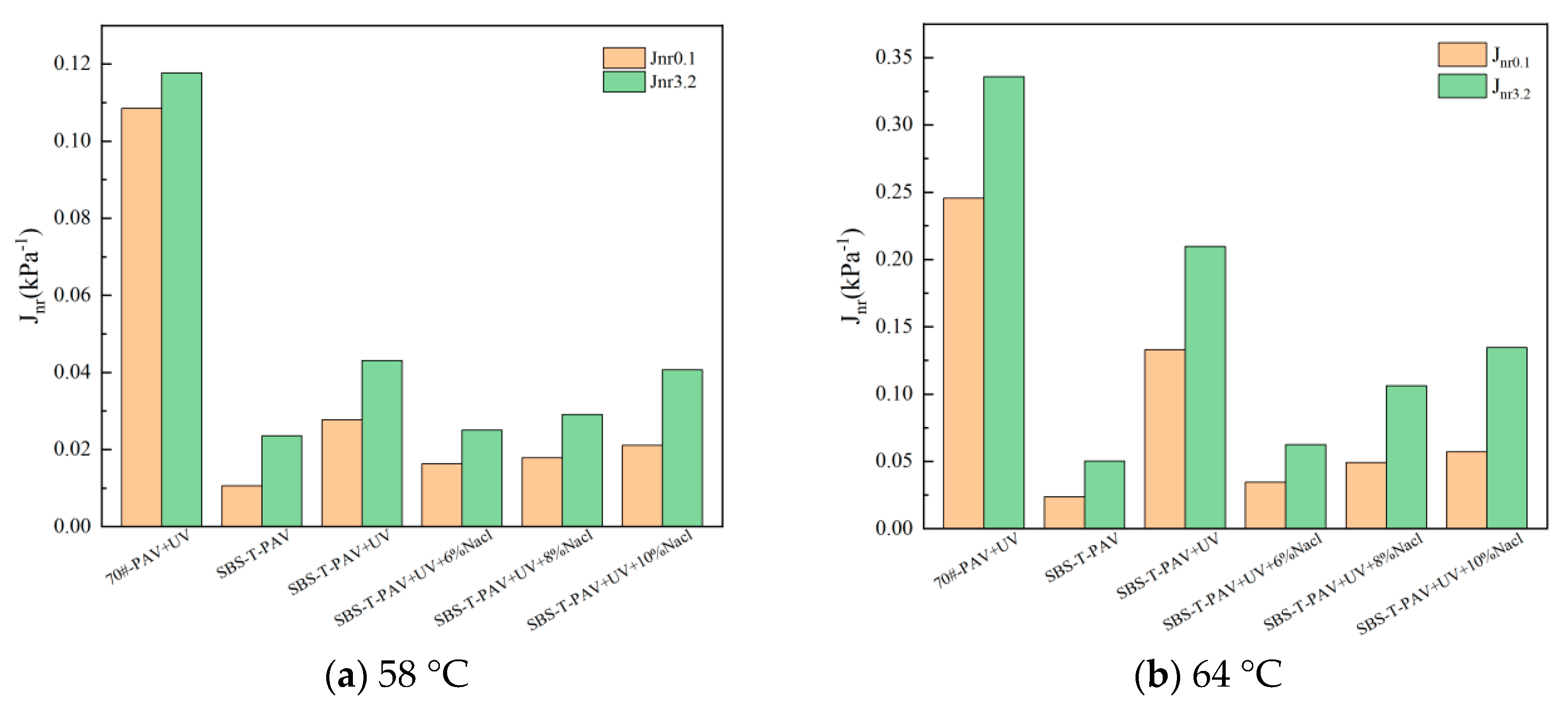
3.1.2. Multiple Stress Creep and Recovery (MSCR) Test
3.2. Low-Temperature Characteristics
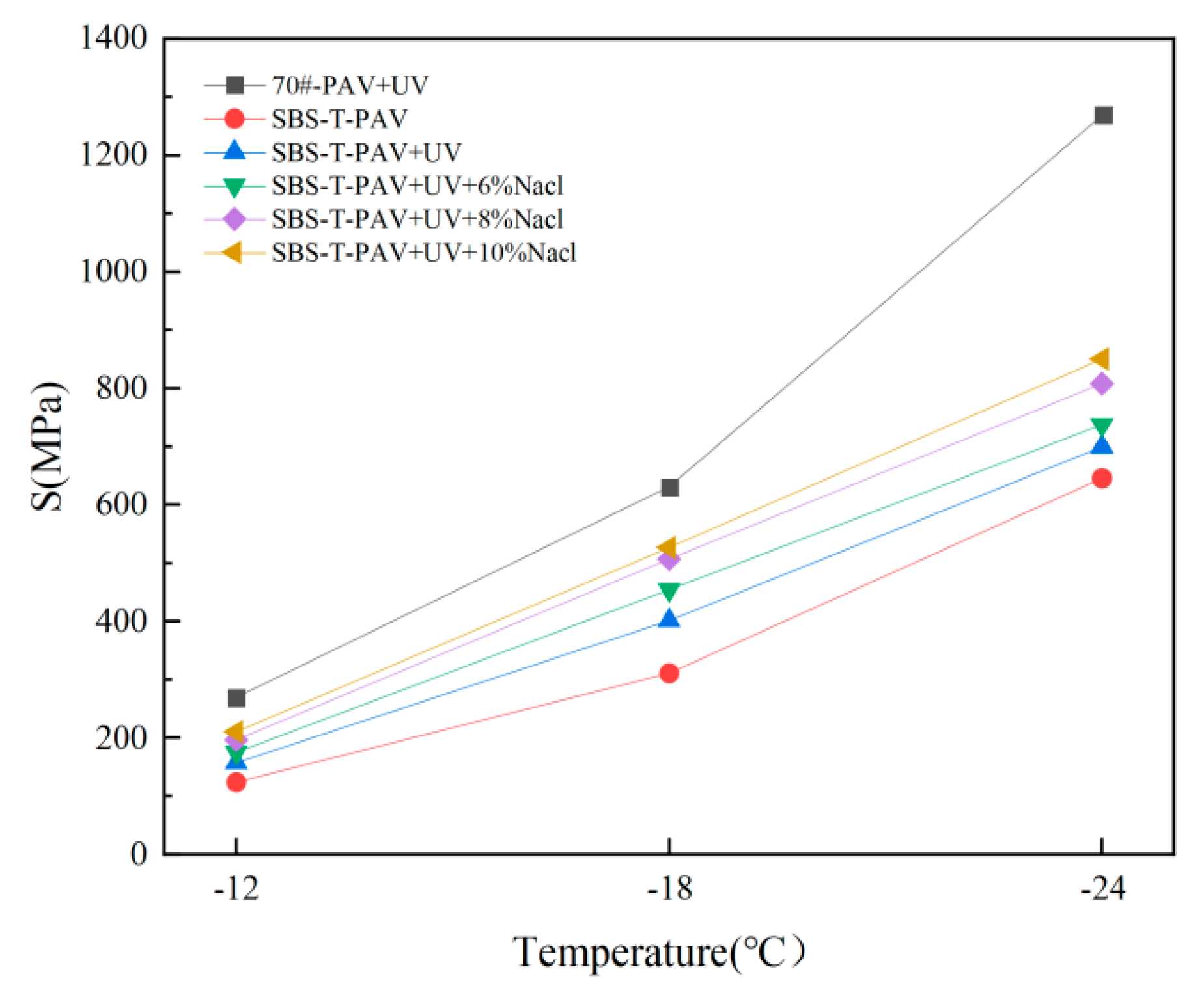
3.2.1. Creep Stiffness and Creep Rate
3.2.2. ΔTc Value
3.2.3. Low-Temperature Performance Evaluation Based on the Burgers Model
- Burgers Model Parameters
- 2.
- Relaxation Time
- 3.
- Dissipated Energy Ratio
- 4.
- Low-Temperature Evaluation Indices
- 5.
- Comprehensive Low-Temperature Compliance Parameter
4. Conclusions
- The coupling effects of thermal oxidation, ultraviolet light, and salt solution better reflect the actual aging conditions of asphalt roads. As indicated by the results in Section 3, these coupled factors accelerate the aging of asphalt, affecting both high-temperature and low-temperature rheological performance. Few researchers in past studies have examined these factors in combination, highlighting that the influence of complex environmental factors on asphalt cannot be overlooked.
- Compared to unmodified asphalt, SBS-T-modified asphalt shows a significant improvement in both high-temperature rheological properties and low-temperature performance under the same aging conditions. The SBS-T modifier not only addresses the issue of easy segregation associated with traditional SBS modifiers, but also enhances the overall performance of the asphalt. The findings of this study provide a theoretical foundation for the practical application of SBS-T-modified asphalt in road construction.
- The dynamic shear rheometer (DSR) tests indicate that under multiple aging factors, the rutting factor (G*/sinδ) is the smallest, Jnr is the largest, and R is the smallest after PAV+UV aging. This combination of factors leads to the greatest reduction in the high-temperature performance of SBS-T-modified asphalt. However, after PAV+UV+salt solution aging, the performance of SBS-T-modified asphalt improves, but the positive impact on high-temperature performance diminishes as the salt solution concentration increases.
- The bending beam rheometer (BBR) tests reveal that under multiple aging factors, SBS-T-modified asphalt exhibits the smallest S value, the largest m value, and the highest ΔTc value after PAV+UV aging, indicating the least reduction in low-temperature performance. However, after aging under the combined influence of three factors including salt solution, the low-temperature performance of SBS-T-modified asphalt decreases significantly, with a sharp drop in the ΔTc value. The salt solution has the most significant negative impact on the low-temperature crack resistance of SBS-T-modified asphalt, leading to a notable decline in its low-temperature performance.
Author Contributions
Funding
Institutional Review Board Statement
Informed Consent Statement
Data Availability Statement
Conflicts of Interest
References
- Chen, D. Research on Asphalt Aging and Self healing Performance in Complex Environments. Inn. Mong. Univ. Technol. 2018, 42, 446–457. [Google Scholar]
- Guo, S.; Wang, L.; Ma, K.; Lei, J.; Yi, J. Research on the Performance and Modification Mechanism of Direct throw SBS Modified Asphalt. North. Transp. 2024, 2, 22–26. [Google Scholar] [CrossRef]
- Pipintakos, G.; Sreeram, A.; Mirwald, J.; Bhasin, A. Engineering bitumen for future asphalt pavements: A review of chemistry, structure and rheology. Mater. Des. 2024, 244, 113157. [Google Scholar] [CrossRef]
- Li, P.; Zhang, Y.; Wu, L.; Wang, H. Study on the compatibility of dry process modifier and matrix asphalt. Transp. Manag. World 2023, 33, 152–154. [Google Scholar]
- Little, D.N.; Allen, D.H.; Bhasin, A. Modeling and Design of Flexible Pavements and Materials; Springer: Berlin/Heidelberg, Germany, 2018. [Google Scholar]
- Aflaki, S.; Hajikarimi, P. Implementing viscoelastic rheological methods to evaluate low temperature performance of modified asphalt binders. Constr. Build. Mater. 2012, 36, 110–118. [Google Scholar] [CrossRef]
- Li, Y.; Liu, S.; Huang, H.; Shi, W.; Li, M. High and low temperature performance of warm mix flame-retardant asphalt based on rheological properties. J. Jiangsu Univ. Nat. Sci. Ed. 2023, 44, 483–489. [Google Scholar]
- Wang, K.; Hao, P. Low temperature performance and viscoelasticity analysis of asphalt in BBR test. J. Liaoning Univ. Eng. Technol. Nat. Sci. Ed. 2016, 35, 1138–1143. [Google Scholar]
- Buttlar, W.G.; Roque, R.; Roque, R. Experimental development and evaluation of the new SHRP measurement and analysis system for indirect tensile testing of asphalt mixtures at low temperatures. Transp. Res. Rec. 1994, 1454, 163–171. [Google Scholar]
- Zhang, Y.; Wei, H.; Dai, Y. Influence of Different Aging Environments on Rheological Behavior and Structural Properties of Rubber Asphalt. Materials 2020, 1810, 33–43. [Google Scholar] [CrossRef]
- Geng, J.; Zhang, Q.; Dai, J. Study on the degradation behavior of SBS in modified asphalt based on gel permeation chromatography. New Build. Mater. 2011, 38, 87–90. [Google Scholar]
- Traxler, R.N. Asphalt: Its Composition, Properties and Uses; Reinhold Publishing Corporation: New York, NY, USA, 1961. [Google Scholar]
- Xiao, P.; Shi, S.; Wu, M. Research on Water Aging Test of Rubber Asphalt. J. Sichuan Univ. (Eng. Sci. Ed.) 2014, 46, 183–186. [Google Scholar]
- Ran, L. Research on the Aging Mechanism of SBS Modified Asphalt under Heat, Light, and Water Coupling Conditions and Development of High Performance Regenerator. Ph.D. Thesis, Chongqing Jiaotong University, Chongqing, China, 2016. [Google Scholar]
- Zhang, Q.; Huang, Z. Investigation of the Microcharacteristics of Asphalt Mastics under Dry-Wet and Freeze-Thaw Cycles in a Coastal Salt Environment. Materials 2019, 12, 2627. [Google Scholar] [CrossRef] [PubMed]
- Huang, X.; Sha, A.; Jiang, W.; Wang, Y. Effect and mechanism of salt erosion on performance of bitumen and asphalt mixtures. J. Chang. Univ. Nat. Sci. Ed. 2017, 37, 33–38+46. (In Chinese) [Google Scholar]
- Zhang, Q.; Wu, D.; Zhang, X.; Chang, K.; Wang, Y. Effect of organic deicing agents on asphalt rheology and analysis of the mechanism. Constr. Build. Mater. 2021, 284, 122649. [Google Scholar] [CrossRef]
- Behnam, A.; Saleh, S.T. Simultaneous effects of salted water and water flow on asphalt concrete pavement deterioration under freeze–thaw cycles. Int. J. Pavement Eng. 2014, 15, 383–391. [Google Scholar]
- Wang, J. Study on Ageing Mechanism and Rheologic Behavior of Asphalt under Simulate Ultraviolet Environment; Harbin Institute of Technology: Harbin, China, 2008. [Google Scholar]
- Xiao, P.; Wu, M.; Jiang, D. Experimental study on UV aging performance of rubber asphalt. J. Nanjing Univ. Aeronaut. Astronaut. 2013, 45, 152–156. [Google Scholar]
- Zhou, Z.; Jiang, T.; Jiang, W. Evaluation of water damage resistance of asphalt mixture in hot and humid area. J. Chang. Univ. Sci. Technol. Sci. 2013, 10, 8–14. (In Chinese) [Google Scholar]
- Bian, F.; Zhao, Y.; Huang, X.; Wang, Z. Experimental study of water aging on asphalt during service life of pavements. J. Southeast Univ. Engl. Ed. 2010, 26, 618–621. [Google Scholar]
- Glover, C.J.; Martin, A.E.; Chowdhury, A.; Han, R.; Prapaitrakul, N.; Jin, X.; Lawrence, J. Evaluation of Binder Aging and Its Influence in Aging of Hot Mix Asphalt Concrete: Literature Review and Experimental Design; Texas Transportation Institute: College Station, TX, USA, 2009. [Google Scholar]
- JTG E20-2011; Standard Test Methods of Bitumen and Bituminous Mixtures for Highway Engineering. China National Standardization Administration Committee: Beijing, China, 2011.
- Wang, Y. Study on application of dry SBS modified asphalt in municipal road. Constr. Superv. Insp. Cost 2022, 15, 9–12+20. (In Chinese) [Google Scholar]
- Feng, Z.; Yu, J.; Zhang, H.; Kuang, D.; Xue, L. Effect of ultraviolet aging on rheology, chemistry and morphology of ultraviolet absorber modified bitumen. Mater. Struct. 2013, 46, 1123–1132. [Google Scholar] [CrossRef]
- Zhang, C.; Yu, J.; Feng, K.; Xue, L.; Xie, D. Synthesis and characterization of triethoxyvinylsilane surface modified layered double hydroxides and application in improving UV aging resistance of bitumen. Appl. Clay Sci. 2016, 120, 1–8. [Google Scholar] [CrossRef]
- Feng, Z.; Wang, S.; Bian, H.; Guo, Q.; Li, X. FTIR and rheology analysis of aging on different ultraviolet absorber modified bitumens. Constr. Build. Mater. 2016, 115, 48–53. [Google Scholar] [CrossRef]
- Fan, S.; Zhu, H.; Zhong, W. Evaluation of rheological properties of bio-heavy oil regenerated asphalt based on DSR test. J. Build. Mater. 2022, 25, 320–326. [Google Scholar]
- Zhao, H.; Gao, W.; Cui, S.; Zhang, W.; Ma, S.; Miao, B.; Su, C.; Zhang, P.; Wang, X.; Wei, J. Study on the Dynamic Performance of PU and SBS-Modified Asphalt Mixtures with Dense Gradation. Coatings 2023, 13, 1143. [Google Scholar] [CrossRef]
- Kaya, D.; Topal, A.; Gupta, J.; McNally, T. Aging effects on the composition and thermal properties of styrene-butadiene-styrene (SBS) modified bitumen. Constr. Build. Mater. 2020, 235, 117450. [Google Scholar] [CrossRef]
- Han, M.Z.; Li, Z.Z.; Zhao, Z.P.; Zhou, H. Research progress on aging and antiaging of SBS modified asphalt. Sci. Technol. Rev. 2016, 34, 101–105. [Google Scholar]
- Liu, S.; Lin, Y.; Li, M. Evaluation and Grading of High Temperature Performance of Warm Mix Flame Retardant Asphalt Based on MSCR Test. Mater. Rep. 2023, 37, 146–151. [Google Scholar]
- Guo, Y.; Xu, L.; Wu, L. Evaluation of High Temperature Performance of Modified Asphalt Based on MSCR Test. J. Build. Mater. 2018, 21, 154–158. [Google Scholar]
- Romero-Sánchez, M.D.; Mercedes Pastor-Blas, M.; Martín-Martínez, J.M.; Walzak, M.J. Addition of ozone in the UV radiation treatment of a synthetic styrene-butadiene-styrene (SBS) rubber. Int. J. Adhes. Adhes. 2005, 25, 358–370. [Google Scholar] [CrossRef]
- Li, C.; Ma, F.; Fu, Z.; Dai, J.; Wen, Y.; Wang, Y. Rheological Behavior of Polyphosphoric Acid-Vulcanized Liquid Rubber Compound Modified Asphalt Binder. Iranian Journal of Science and Technology. Trans. Civ. Eng. 2022, 46, 3931–3945. [Google Scholar]
- Li, X.; Gibson, N.; Andriescu, A.; Arnold, T.S. Performance evaluation of REOB-modified asphalt binders and mixtures. Road Mater. Pavement Des. 2017, 18, 128–153. [Google Scholar] [CrossRef]
- Li, B.; Zhang, X.; Li, J.; Yang, K.; Tong, P. Low temperature performance evaluation of hard asphalt based on Burgers model. J. Build. Mater. 2021, 24, 1110–1116. (In Chinese) [Google Scholar]
- Liu, S.T.; Cao, W.D.; Shang, S.J.; Qi, H.; Fang, J. Analysis and application of relationships between low-temperature rheological performance parameters of asphalt binders. Constr. Build. Mater. 2010, 24, 471–478. [Google Scholar] [CrossRef]
- Li, X. Unified Evaluation Index for High-and-Low Temperature Properties of Asphalt Based on Rheological Theory; Harbin Institute of Technology: Harbin, China, 2013. (In Chinese) [Google Scholar]



















| Items | Results | Test Methods |
|---|---|---|
| Penetration (25 °C, 0.1 mm) | 72 | T0604-2011 |
| Softening point (°C) | 50.5 | T0606-2011 |
| Ductility (25 °C, cm) | >100 | T0625-2011 |
| Dynamic viscosity (135 °C, Pa·s) | 0.68 | T0605-2011 |
| Indexes | Results |
|---|---|
| Appearance (Green particles) | - |
| Mass of a single particle (g) | 0.25 |
| Ash (%) | 0.42 |
| Dispersion of dry mixing | No particle residue |
| Items | Results | Test Methods |
|---|---|---|
| Penetration (25 °C, 0.1 mm) | 79 | T0604-2011 |
| Softening point (°C) | 66 | T0606-2011 |
| Ductility (5 °C, cm) | 36.2 | T0625-2011 |
Disclaimer/Publisher’s Note: The statements, opinions and data contained in all publications are solely those of the individual author(s) and contributor(s) and not of MDPI and/or the editor(s). MDPI and/or the editor(s) disclaim responsibility for any injury to people or property resulting from any ideas, methods, instructions or products referred to in the content. |
© 2024 by the authors. Licensee MDPI, Basel, Switzerland. This article is an open access article distributed under the terms and conditions of the Creative Commons Attribution (CC BY) license (https://creativecommons.org/licenses/by/4.0/).
Share and Cite
Li, R.; Wang, Y.; Zhu, W.; Chen, Y.; Yue, J. Research on the Rheological Performance of Fast-Melting SBS-Modified Asphalt under Complex Environmental Factors. Coatings 2024, 14, 1241. https://doi.org/10.3390/coatings14101241
Li R, Wang Y, Zhu W, Chen Y, Yue J. Research on the Rheological Performance of Fast-Melting SBS-Modified Asphalt under Complex Environmental Factors. Coatings. 2024; 14(10):1241. https://doi.org/10.3390/coatings14101241
Chicago/Turabian StyleLi, Ruixia, Yihan Wang, Wei Zhu, Yijun Chen, and Jinchao Yue. 2024. "Research on the Rheological Performance of Fast-Melting SBS-Modified Asphalt under Complex Environmental Factors" Coatings 14, no. 10: 1241. https://doi.org/10.3390/coatings14101241
APA StyleLi, R., Wang, Y., Zhu, W., Chen, Y., & Yue, J. (2024). Research on the Rheological Performance of Fast-Melting SBS-Modified Asphalt under Complex Environmental Factors. Coatings, 14(10), 1241. https://doi.org/10.3390/coatings14101241
