Enhancement of the Surface Hydrophilicity of Poly(Vinyl Chloride) Using Hyperbranched Polylysine with Polydopamine
Abstract
1. Introduction
2. Materials and Methods
2.1. Materials
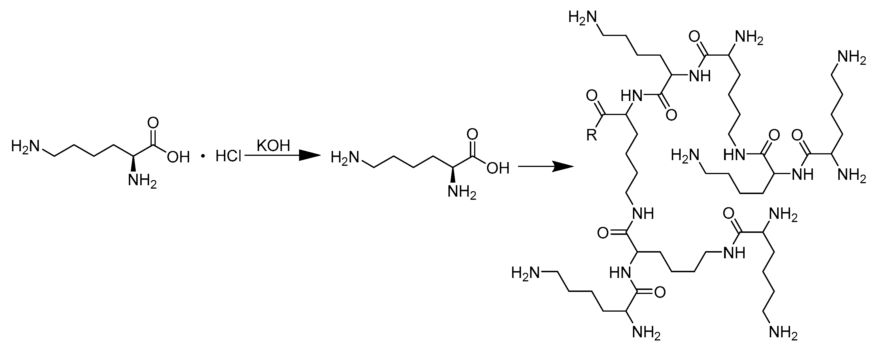
2.2. Preparation of Hyperbranched Polylysine
2.3. pDA/HBPL Co-Deposition on PVC
2.4. Successive Deposition of pDA and HBPL on PVC
2.5. Surface Modification Measurement
2.6. Evaluation of the Stability of the Surface Coating
2.7. Confirmation of the Reaction between HBPL and DA
2.8. Statistical Analysis
3. Results and Discussion
3.1. Characterization of HBPL
3.2. Characterization of the Coated Surface
3.2.1. Morphology and Deposition Behavior
3.2.2. FTIR and Raman Spectroscopy
3.2.3. Surface Wettability
3.3. Stability of Coatings after Elution
3.3.1. Surface Morphology Changes
3.3.2. The Detachment of Coatings after Elution
3.3.3. Water Contact Angle Changes
3.4. Confirmatory Reaction between HBPL and DA
4. Conclusions
Author Contributions
Funding
Institutional Review Board Statement
Informed Consent Statement
Data Availability Statement
Conflicts of Interest
References
- Chiellini, F.; Ferri, M.; Morelli, A.; Dipaola, L.; Latini, G. Perspectives on alternatives to phthalate plasticized poly(vinyl chloride) in medical devices applications. Prog. Polym. Sci. 2013, 38, 1067–1088. [Google Scholar] [CrossRef]
- Graham, J.; Keten, S. Increase in charge and density improves the strength and toughness of mussel foot protein 5 inspired protein materials. ACS Biomater. Sci. Eng. 2023, 9, 4662–4672. [Google Scholar] [CrossRef] [PubMed]
- Kim, E.; Qin, X.; Qiao, J.; Zeng, Q.; Fortner, J.; Zhang, F. Graphene oxide/mussel foot protein composites for high-strength and ultra-tough thin films. Sci. Rep. 2020, 10, 19082. [Google Scholar] [CrossRef] [PubMed]
- Aich, P.; An, J.; Yang, B.; Ko, Y.; Kim, J.; Murray, J.; Cha, H.; Roh, J.; Park, K.; Kim, K. Self-assembled adhesive biomaterials formed by a genetically designed fusion protein. Chem. Commun. 2018, 54, 12642–12645. [Google Scholar] [CrossRef] [PubMed]
- Moulay, S. Dopa/catechol-tethered polymers: Bioadhesives and biomimetic adhesive materials. J. Macromol. Sci. C 2014, 54, 436–513. [Google Scholar] [CrossRef]
- Lu, Q.; Danner, E.; Waite, J.; Israelachvili, J.; Zeng, H.; Hwang, D. Adhesion of mussel foot proteins to different substrate surfaces. J. R. Soc. Interface 2013, 10, 20120759. [Google Scholar] [CrossRef] [PubMed]
- Lee, H.; Scherer, N.; Messersmith, P. Single-molecule mechanics of mussel adhesion. Proc. Natl. Acad. Sci. USA 2006, 103, 12999–13003. [Google Scholar] [CrossRef]
- Han, J.; Zheng, S.; Jin, J.; Wu, T.; Shi, Y.; Yang, K.; Zhang, H.; Li, Y.; Sun, Y.; Lv, Y.; et al. Polydopamine-loaded prunetin nanomaterials activate DRD2 to reduce UV-induced inflammation by stabilizing and promoting Nrf2 nuclear translocation. Acta Biomater. 2023, 169, 556–565. [Google Scholar] [CrossRef]
- Li, Y.; Yao, M.; Luo, Y.; Li, J.; Wang, Z.; Liang, C.; Qin, C.; Huang, C.; Yao, S. Polydopamine-reinforced hemicellulose-based multifunctional flexible hydrogels for human movement sensing and self-powered transdermal drug delivery. ACS Appl. Mater. Interfaces 2023, 15, 5883–5896. [Google Scholar] [CrossRef]
- Li, L.; Xiong, W.; Wu, S.; Zhang, J. Ultrastable aluminum nanoparticles with enhanced combustion performance enabled by a polydopamine/polyethyleneimine nanocoating. Langmuir 2023, 39, 8833–8840. [Google Scholar] [CrossRef] [PubMed]
- Gu, H.; Liu, Q.; Zhu, J.; Sun, G.; Liu, J.; Yu, J.; Li, R.; Li, Y.; Wang, J. Mussel-inspired polydopamine microspheres self-adhered on natural hemp fibers for marine uranium harvesting and photothermal-enhanced antifouling properties. J. Colloid Interface Sci. 2022, 622, 109–116. [Google Scholar] [CrossRef] [PubMed]
- Asha, A.; Chen, Y.; Narain, R. Bioinspired dopamine and zwitterionic polymers for non-fouling surface engineering. Chem. Soc. Rev. 2021, 50, 11668–11683. [Google Scholar] [CrossRef] [PubMed]
- Batul, R.; Tamanna, T.; Khaliq, A.; Yu, A. Recent progress in the biomedical applications of polydopamine nanostructures. Biomater. Sci. 2017, 5, 1204–1229. [Google Scholar] [CrossRef] [PubMed]
- Hemmatpour, H.; De Luca, O.; Crestani, D.; Stuart, M.; Lasorsa, A.; van der Wel, P.; Loos, K.; Giousis, T.; Haddadi-Asl, V.; Rudolf, P. New insights in polydopamine formation via surface adsorption. Nat. Commun. 2023, 14, 664. [Google Scholar] [CrossRef] [PubMed]
- Ho, C.; Ding, S. Structure, properties and applications of mussel-inspired polydopamine. J. Biomed. Nanotechnol. 2014, 10, 3063–3084. [Google Scholar] [CrossRef] [PubMed]
- Ball, V. Polydopamine nanomaterials: Recent advances in synthesis methods and applications. Front. Bioeng. Biotechnol. 2018, 6, 109. [Google Scholar] [CrossRef]
- Ball, V.; Hirtzel, J.; Leks, G.; Frisch, B.; Talon, I. Experimental methods to get polydopamine films: A comparative review on the synthesis methods, the films’ composition and properties. Macromol. Rapid Commun. 2023, 44, e2200946. [Google Scholar] [CrossRef]
- Li, H.; Jiang, B.; Li, J. Recent advances in dopamine-based materials constructed via one-pot co-assembly strategy. Adv. Colloid Interface Sci. 2021, 295, 102489. [Google Scholar] [CrossRef]
- Geng, X.; Wang, J.; Ye, J.; Yang, S.; Han, Q.; Lin, H.; Liu, F. Electrosprayed polydopamine membrane: Surface morphology, chemical stability and separation performance study. Sep. Purif. Technol. 2020, 244, 116857. [Google Scholar] [CrossRef]
- Yang, W.; Liu, C.; Chen, Y. Stability of polydopamine coatings on gold substrates inspected by surface plasmon resonance imaging. Langmuir 2018, 34, 3565–3571. [Google Scholar] [CrossRef]
- Wei, H.; Ren, J.; Han, B.; Xu, L.; Han, L.; Jia, L. Stability of polydopamine and poly (DOPA) melanin-like films on the surface of polymer membranes under strongly acidic and alkaline conditions. Colloid Surface B 2013, 110, 22–28. [Google Scholar] [CrossRef] [PubMed]
- Yang, Y.; Qi, P.; Wen, F.; Li, X.; Xia, Q.; Maitz, M.; Yang, Z.; Shen, R.; Tu, Q.; Huang, N. Mussel-inspired one-step adherent coating rich in amine groups for covalent immobilization of heparin: Hemocompatibility, growth behaviors of vascular cells, and tissue response. ACS Appl. Mater. Interfaces 2014, 6, 14608–14620. [Google Scholar] [CrossRef] [PubMed]
- Lee, H.; Lee, Y.; Statz, A.; Rho, J.; Park, T.; Messersmith, P. Substrate-independent layer-by-layer assembly by using mussel-adhesive-inspired polymers. Adv. Mater. 2008, 20, 1619–1623. [Google Scholar] [CrossRef] [PubMed]
- Liu, Y.; Luo, R.; Shen, F.; Tang, L.; Wang, J.; Huang, N. Construction of mussel-inspired coating via the direct reaction of catechol and polyethyleneimine for efficient heparin immobilization. Appl. Surf. Sci. 2015, 328, 163–169. [Google Scholar] [CrossRef]
- McGinty, K.; Brittain, W. Hydrophilic surface modification of poly (vinyl chloride) film and tubing using physisorbed free radical grafting technique. Polymer 2008, 49, 4350–4357. [Google Scholar] [CrossRef]
- Yao, M.; Yan, Z.; Sun, X.; Guo, B.; Yu, C.; Zhao, Z.; Li, X.; Tan, Z.; Zhang, H.; Yao, F.; et al. Strongly adhesive zwitterionic composite hydrogel paints for surgical sutures and blood-contacting devices. Acta Biomater. 2023, 166, 201–211. [Google Scholar] [CrossRef] [PubMed]
- Al-Ani, F.; Alsalhy, Q.; Raheem, R.; Rashid, K.; Figoli, A. Experimental investigation of the effect of implanting TiO2-NPs on PVC for long-term uf membrane performance to treat refinery wastewater. Membrane 2020, 10, 77. [Google Scholar] [CrossRef] [PubMed]
- Ahmad, T.; Liu, X.; Guria, C. Preparation of polyvinyl chloride (PVC) membrane blended with acrylamide grafted bentonite for oily water treatment. Chemosphere 2023, 310, 136840. [Google Scholar] [CrossRef]
- Zhao, Y.; Kang, J.; Huang, W.; Kong, P.; An, D.; He, G. Copper nanowire/polydopamine-modified sodium alginate composite films with enhanced long-term stability and adhesion for flexible organic light-emitting diodes. ACS Appl. Mater. Interfaces 2023, 15, 52863–52873. [Google Scholar] [CrossRef]
- Zhang, C.; Ou, Y.; Lei, W.; Wan, L.; Ji, J.; Xu, Z. CuSO4/H2O2-induced rapid deposition of polydopamine coatings with high uniformity and enhanced stability. Angew. Chem. Int. Edit. 2016, 55, 3054–3057. [Google Scholar] [CrossRef]
- Wei, Q.; Zhang, F.; Li, J.; Li, B.; Zhao, C. Oxidant-induced dopamine polymerization for multifunctional coatings. Polym. Chem. 2010, 1, 1430–1433. [Google Scholar] [CrossRef]
- Zhang, W.; Liao, Z.; Meng, X.; Niwaer, A.; Wang, H.; Li, X.; Liu, D.; Zuo, F. Fast coating of hydrophobic upconversion nanoparticles by NaIO4-induced polymerization of dopamine: Positively charged surfaces and in situ deposition of Au nanoparticles. Appl. Surf. Sci. 2020, 527, 146821. [Google Scholar] [CrossRef]
- Wu, M.; Liu, J.; Wang, X.; Zeng, H. Recent advances in antimicrobial surfaces via tunable molecular interactions: Nanoarchitectonics and bioengineering applications. Curr. Opin. Colloid Interface Sci. 2023, 66, 101707. [Google Scholar] [CrossRef]
- Yang, Z.; Xi, Y.; Bai, J.; Jiang, Z.; Wang, S.; Zhang, H.; Dai, W.; Chen, C.; Gou, Z.; Yang, G.; et al. Covalent grafting of hyperbranched poly-l-lysine on Ti-based implants achieves dual functions of antibacteria and promoted osteointegration in vivo. Biomaterials 2021, 269, 120534. [Google Scholar] [CrossRef] [PubMed]
- Song, B.; Park, I.; Park, D.; Kim, Y.; Kim, M.; Lee, K.; Park, S.; Choi, B.; Min, B. Anti-adhesive effect of chondrocyte-derived extracellular matrix surface-modified with poly-l-lysine. J. Tissue Eng. Regen. Med. 2022, 16, 279–289. [Google Scholar] [CrossRef]
- Yuan, Y.; Shi, X.; Gan, Z.; Wang, F. Modification of porous PLGA microspheres by poly-l-lysine for use as tissue engineering scaffolds. Colloid Surface B 2017, 161, 162–168. [Google Scholar] [CrossRef]
- Wang, J.; Sun, Y.; Liu, X.; Kang, Y.; Cao, W.; Ye, J.; Gao, C. An antibacterial and anti-oxidant hydrogel containing hyperbranched poly-l-lysine and tea polyphenols accelerates healing of infected wound. Biomater. Adv. 2023, 157, 213755. [Google Scholar] [CrossRef] [PubMed]
- Tu, C.; Lu, H.; Zhou, T.; Zhang, W.; Deng, L.; Cao, W.; Yang, Z.; Wang, Z.; Wu, X.; Ding, J.; et al. Promoting the healing of infected diabetic wound by an anti-bacterial and nano-enzyme-containing hydrogel with inflammation-suppressing, ROS-scavenging, oxygen and nitric oxide-generating properties. Biomaterials 2022, 286, 121597. [Google Scholar] [CrossRef]
- Li, C.; Yang, Q.; Chen, D.; Zhu, H.; Chen, J.; Liu, R.; Dang, Q.; Wang, X. Polyethyleneimine-assisted co-deposition of polydopamine coating with enhanced stability and efficient secondary modification. RSC Adv. 2022, 12, 35051–35063. [Google Scholar] [CrossRef]
- Chen, R.; Lin, B.; Luo, R. Recent progress in polydopamine-based composites for the adsorption and degradation of industrial wastewater treatment. Heliyon 2022, 8, e12105. [Google Scholar] [CrossRef]
- Tsai, M.; Chang, M.; Chien, H. Effect of codeposition of polydopamine with polyethylenimine or poly(ethylene glycol) coatings on silver nanoparticle synthesis. Langmuir 2023, 39, 6895–6904. [Google Scholar] [CrossRef] [PubMed]
- Cihanoğlu, A.; Schiffman, J.; Alsoy Altinkaya, S. Biofouling-resistant ultrafiltration membranes via codeposition of dopamine and cetyltrimethylammonium bromide with retained size selectivity and water flux. ACS Appl. Mater. Interfaces 2022, 14, 38116–38131. [Google Scholar] [CrossRef]
- Cai, H.; Wang, Y.; Wu, K.; Guo, W. Enhanced hydrophilic and electrophilic properties of polyvinyl chloride (PVC) biofilm carrier. Polymers 2020, 12, 1240. [Google Scholar] [CrossRef] [PubMed]
- Kazmierska, K.; Szwast, M.; Ciach, T. Determination of urethral catheter surface lubricity. J. Mater. Sci.-Mater. M. 2008, 19, 2301–2306. [Google Scholar] [CrossRef] [PubMed]
- Tapia-Lopez, L.; Luna-Velasco, M.; Beaven, E.; Conejo-Dávila, A.; Nurunnabi, M.; Castro, J. RGD peptide-functionalized polyether ether ketone surface improves biocompatibility and cell response. ACS Biomater. Sci. Eng. 2023, 9, 5270–5278. [Google Scholar] [CrossRef]
- Qiu, W.; Yang, H.; Xu, Z. Dopamine-assisted co-deposition: An emerging and promising strategy for surface modification. Adv. Colloid Interface 2018, 256, 111–125. [Google Scholar] [CrossRef]
- Yao, L.; He, C.; Chen, S.; Zhao, W.; Xie, Y.; Sun, S.; Nie, S.; Zhao, C. Codeposition of polydopamine and zwitterionic polymer on membrane surface with enhanced stability and antibiofouling property. Langmuir 2019, 35, 1430–1439. [Google Scholar] [CrossRef]











| Sample | DA/HBPL Ratio | ||||||
|---|---|---|---|---|---|---|---|
| 4:1 | 2:1 | 1:1 | 0:1 | 1:2 | 1:4 | 1:0 | |
| PVC-pDA/HBPL | 0.034 ± 0.004 | 0.038 ± 0.010 | 0.043 ± 0.009 | 0.001 ± 0.003 | 0.027 ± 0.006 | 0.022 ± 0.008 | 0.021 ± 0.003 |
| PVC-pDA-HBPL | 0.023 ± 0.004 | 0.029 ± 0.005 | 0.031 ± 0.003 | 0 ± 0.002 | 0.029 ± 0.011 | 0.031 ± 0.007 | 0.021 ± 0.003 |
| Sample | Uneluted | Eluted with HCl | Eluted with NaOH |
|---|---|---|---|
| PVC-pDA | 0.021 ± 0.003 | 0.020 ± 0.001 | 0.011 ± 0.002 |
| PVC-pDA/HBPL | 0.043 ± 0.009 | 0.042 ± 0.004 | 0.037 ± 0.005 |
| PVC-pDA-HBPL | 0.031 ± 0.003 | 0.029 ± 0.002 | 0.025 ± 0.003 |
Disclaimer/Publisher’s Note: The statements, opinions and data contained in all publications are solely those of the individual author(s) and contributor(s) and not of MDPI and/or the editor(s). MDPI and/or the editor(s) disclaim responsibility for any injury to people or property resulting from any ideas, methods, instructions or products referred to in the content. |
© 2024 by the authors. Licensee MDPI, Basel, Switzerland. This article is an open access article distributed under the terms and conditions of the Creative Commons Attribution (CC BY) license (https://creativecommons.org/licenses/by/4.0/).
Share and Cite
Zhang, Y.; Wang, D.; Xu, Y.; Wen, L.; Dong, J.; Wang, L. Enhancement of the Surface Hydrophilicity of Poly(Vinyl Chloride) Using Hyperbranched Polylysine with Polydopamine. Coatings 2024, 14, 103. https://doi.org/10.3390/coatings14010103
Zhang Y, Wang D, Xu Y, Wen L, Dong J, Wang L. Enhancement of the Surface Hydrophilicity of Poly(Vinyl Chloride) Using Hyperbranched Polylysine with Polydopamine. Coatings. 2024; 14(1):103. https://doi.org/10.3390/coatings14010103
Chicago/Turabian StyleZhang, Yixian, Dong Wang, Ying Xu, Li Wen, Jian Dong, and Liming Wang. 2024. "Enhancement of the Surface Hydrophilicity of Poly(Vinyl Chloride) Using Hyperbranched Polylysine with Polydopamine" Coatings 14, no. 1: 103. https://doi.org/10.3390/coatings14010103
APA StyleZhang, Y., Wang, D., Xu, Y., Wen, L., Dong, J., & Wang, L. (2024). Enhancement of the Surface Hydrophilicity of Poly(Vinyl Chloride) Using Hyperbranched Polylysine with Polydopamine. Coatings, 14(1), 103. https://doi.org/10.3390/coatings14010103

