Influence of Magnetic Particles and Magnetic Field on Gloss in UV Coating
Abstract
:1. Introduction
2. Materials and Methods
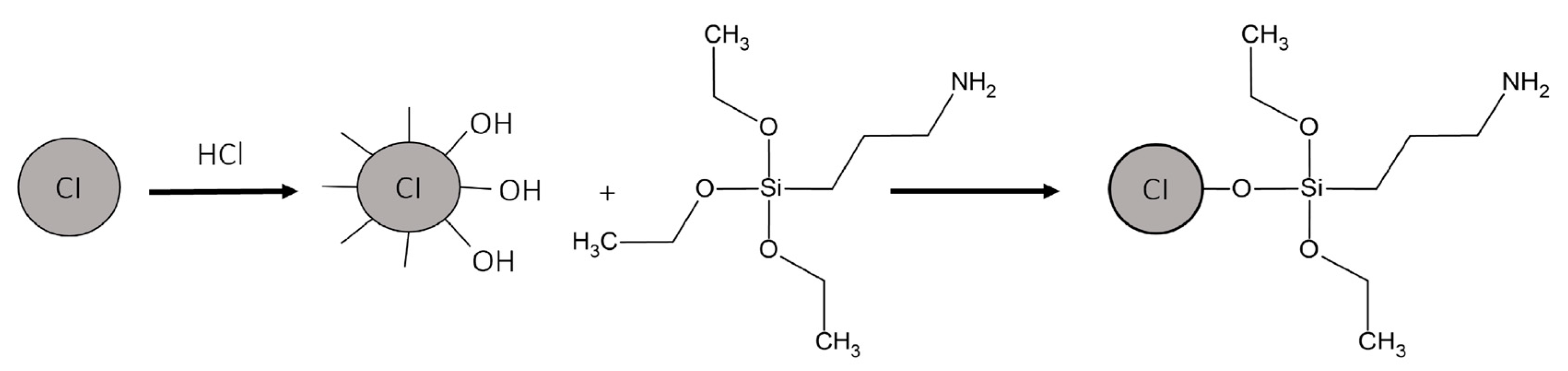
2.1. Surface Modification of Magnetic Particles
2.2. Coating Film and Curing Preparation
2.3. Characterization
2.3.1. Characterization of MPs
2.3.2. Characterization of UV-Cured Coatings
3. Results
3.1. Morphology and Thermal Analysis of MPs
3.2. Conversion Analysis of MPs UV-Curable Coatings
3.3. MPs Dispersion in Formulations
3.4. Surface Roughness of the Coatings Cured by UV and UV-MF
3.5. Gloss Measurements
4. Conclusions
Supplementary Materials
Author Contributions
Funding
Institutional Review Board Statement
Informed Consent Statement
Data Availability Statement
Acknowledgments
Conflicts of Interest
References
- Schwalm, R. UV Coatings: Basics, Recent Developments and New Applications; Elsevier Science: Amsterdam, The Netherlands, 2006. [Google Scholar] [CrossRef]
- Rawat, R.S.; Chouhan, N.; Talwar, M.; Diwan, R.K.; Tyagi, A.K. UV coatings for wooden surfaces. Prog. Org. Coat. 2019, 135, 490. [Google Scholar] [CrossRef]
- Bongiovanni, R.; Montefusco, F.; Priola, A.; Macchioni, N.; Lazzeri, S.; Sozzi, L.; Ameduri, B. High performance UV-cured coatings for wood protection. Prog. Org. Coat. 2002, 45, 359. [Google Scholar] [CrossRef]
- Javadi, A.; Mehr, H.S.; Sobani, M.; Soucek, M.D. Cure-on-command technology: A review of the current state of the art. Prog. Org. Coat. 2016, 100, 2–31. [Google Scholar] [CrossRef]
- Kiyoi, E. Keep it cool to keep it clean. Eur. Coat. J. 2013, 10, 26. [Google Scholar]
- Marshall, A.M.; Fields, J.L. Case Studies: Low-VOC/HAP Wood Furniture Coatings; US Environmental Protection Agency, Office of Research and Development: Research Triangle Park, NC, USA, 2000.
- Dvorchak, M.; Henderson, K.; Gambino, C. New 100% Solids, Acrylated Allophanate Oligomers Offer Low Viscosity and High Functionality while Maximizing UV Coating System Performance. In RadTech Report. 2010. Available online: https://www.radtech.org/proceedings/2010/papers/1529.pdf (accessed on 10 September 2023).
- Bauer, F.; Decker, U.; Czihal, K.; Mehnert, R.; Riedel, C.; Riemschneider, M.; Schubert, R.; Buchmeiser, M.R. UV curing and matting of acrylate nanocomposite coatings by 172 nm excimer irradiation. Prog. Org. Coat. 2009, 64, 474. [Google Scholar] [CrossRef]
- Jones, F.N.; Nichols, M.E.; Pappas, S.P. Organic Coatings: Science and Technology; John Wiley & Sons: Hoboken, NJ, USA, 2017. [Google Scholar]
- Gunde, M.K.; Kunaver, M.; Čekada, M. Surface analysis of matt powder coatings. Dyes Pigments 2007, 74, 74. [Google Scholar] [CrossRef]
- Yong, Q.; Nian, F.; Liao, B.; Guo, Y.; Huang, L.; Wang, L.; Pang, H. Synthesis and surface analysis of self-matt coating based on waterborne polyurethane resin and study on the matt mechanism. Polym. Bull. 2017, 74, 1061. [Google Scholar] [CrossRef]
- Lueers, G.; Kent, D.J.; Petry, V.; Pospesch, U. Matting agent radiation for curing coatings. U.S. Patent No. 6,770,128, 3 August 2004. [Google Scholar]
- Hashemi-Nasab, R.; Mirabedini, S. Effect of silica nanoparticles surface treatment on in situ polymerization of styrene–butyl acrylate latex. Prog. Org. Coat. 2013, 76, 1016. [Google Scholar] [CrossRef]
- Yong, Q.; Chang, J.; Liu, Q.; Jiang, F.; Wei, D.; Li, H. Matt Polyurethane Coating: Correlation of Surface Roughness on Measurement Length and Gloss. Polymers 2020, 12, 326. [Google Scholar] [CrossRef]
- Maskery, S. Development and applications for matting agents. Pigment Resin Technol. 1973, 2, 11–19. [Google Scholar] [CrossRef]
- Landry, V.; Riedl, B.; Blanchet, P. Alumina and zirconia acrylate nanocomposites coatings for wood flooring: Photocalorimetric characterization. Prog. Org. Coat. 2008, 61, 76. [Google Scholar] [CrossRef]
- Yong, Q.; Xu, D.; Liu, Q.; Xiao, Y.; Wei, D. Advances in polymer-based matte coatings: A review. Polym. Adv. Technol. 2022, 33, 5. [Google Scholar] [CrossRef]
- Ou, J.; Zhang, M.; Liu, H.; Zhang, L.; Pang, H. Matting films prepared from waterborne acrylic/micro-SiO2 blends. J. Appl. Polym. Sci. 2015, 132, 41707. [Google Scholar] [CrossRef]
- Yang, Z.; Wu, J.; Ma, G.; Hou, C.; Niu, Y.; Duan, H.; Hao, X. Effect of the particle sizes of silica on the properties of UV-curing matting coatings. J. Coat. Technol. Res. 2021, 18, 183. [Google Scholar] [CrossRef]
- Basu, S.K.; Scriven, L.; Francis, L.; McCormick, A. Mechanism of wrinkle formation in curing coatings. Prog. Org. Coat. 2005, 53, 1. [Google Scholar] [CrossRef]
- Jeong, K.-M.; Park, S.S.; Nagappan, S.; Min, G.; Zhang, Y.; Qu, M.; Zhang, Y.; Ha, C.-S. Highly transparent, organic-inorganic hybrid UV-curable coating materials with amphiphobic characteristics. Prog. Org. Coat. 2019, 134, 323. [Google Scholar] [CrossRef]
- Petry, V.; Kent, D. The effect of UV-curable formulations and matting agents on lacquer properties. Surf. Coat. Int. Part B Coat. Trans. 2004, 87, 103. [Google Scholar] [CrossRef]
- Liu, F.; Liu, A.; Tao, W.; Yang, Y. Preparation of UV curable organic/inorganic hybrid coatings—A review. Prog. Org. Coat. 2020, 145, 105685. [Google Scholar] [CrossRef]
- Rissa, K.; Lepistö, T.; Yrjölä, K. Effect of kaolin content on structure and functional properties of water-based coatings. Prog. Org. Coat. 2006, 55, 137. [Google Scholar] [CrossRef]
- Cho, J.-D.; Kim, Y.-B.; Ju, H.-T.; Hong, J.-W. The effects of silica nanoparticles on the photocuring behaviors of UV-curable polyester acrylate-based coating systems. Macromol. Res. 2005, 13, 362. [Google Scholar] [CrossRef]
- Zhang, H.; Wu, Z. UV-curable self-matting waterborne polyurethane acrylate coating via self-wrinkled surface during curing in open-air. RSC Adv. 2022, 12, 33945. [Google Scholar] [CrossRef]
- Varga, Z.; Filipcsei, G.; Zrínyi, M. Smart composites with controlled anisotropy. Polymer 2005, 46, 7779. [Google Scholar] [CrossRef]
- Chen, L.; Gong, X.; Li, W. Microstructures and viscoelastic properties of anisotropic magnetorheological elastomers. Smart Mater. Struct. 2007, 16, 2645–2649. [Google Scholar] [CrossRef]
- Glavan, G.; Kettl, W.; Brunhuber, A.; Shamonin, M.; Drevenšek-Olenik, I. Effect of Material Composition on Tunable Surface Roughness of Magnetoactive Elastomers. Polymers 2019, 11, 594. [Google Scholar] [CrossRef] [PubMed]
- Glavan, G.; Salamon, P.; Belyaeva, I.A.; Shamonin, M.; Drevenšek-Olenik, I. Tunable surface roughness and wettability of a soft magnetoactive elastomer. J. Appl. Polym. Sci. 2018, 135, 135. [Google Scholar] [CrossRef]
- Li, R.; Li, X.; Yang, P.-A.; Liu, J.; Chen, S. The field-dependent surface roughness of magnetorheological elastomer: Numerical simulation and experimental verification. Smart Mater. Struct. 2019, 28, 085018. [Google Scholar] [CrossRef]
- Dodi, G.; Hritcu, D.; Draganescu, D.; Popa, M.I. Iron oxide nanoparticles for magnetically assisted patterned coatings. J. Magn. Magn. Mater. 2015, 388, 49. [Google Scholar] [CrossRef]
- Samanta, A.; Bordes, R. On the effect of particle surface chemistry in film stratification and morphology regulation. Soft Matter 2020, 16, 6371. [Google Scholar] [CrossRef] [PubMed]
- Lauter-Pasyuk, V.; Lauter, H.; Gordeev, G.; Müller-Buschbaum, P.; Toperverg, B.; Petry, W.; Jernenkov, M.; Petrenko, A.; Aksenov, V. Parallel and perpendicular lamellar phases in copolymer–nanoparticle multilayer structures. Phys. B Condens. Matter 2004, 350, E939. [Google Scholar] [CrossRef]
- Jiang, C.; Ng, S.M.; Leung, C.W.; Pong, P.W. Magnetically assembled iron oxide nanoparticle coatings and their integration with pseudo-spin-valve thin films. J. Mater. Chem. C 2017, 5, 252. [Google Scholar] [CrossRef]
- Filipcsei, G.; Csetneki, I.; Szilágyi, A.; Zrínyi, M. Magnetic Field-Responsive Smart Polymer Composites. Oligomers Polym. Compos. Mol. Imprinting 2007, 206, 137. [Google Scholar] [CrossRef]
- An, J.S.; Kwon, S.H.; Choi, H.J.; Jung, J.H.; Kim, Y.G. Modified silane-coated carbonyl iron/natural rubber composite elastomer and its magnetorheological performance. Compos. Struct. 2017, 160, 1020. [Google Scholar] [CrossRef]
- Ronzova, A.; Sedlacik, M.; Cvek, M. Magnetorheological fluids based on core–shell carbonyl iron particles modified by various organosilanes: Synthesis, stability and performance. Soft Matter 2021, 17, 1299. [Google Scholar] [CrossRef] [PubMed]
- Noval, V.E.; Carriazo, J.G. Fe3O4-TiO2 and Fe3O4-SiO2 Core-shell Powders Synthesized from Industrially Processed Magnetite (Fe3O4) Microparticles. Mater. Res. 2019, 22, 1. [Google Scholar] [CrossRef]
- Yang, H.; Li, S.; Wang, X.; Zhang, F.; Zhong, X.; Dong, Z.; Ma, J. Core–shell silica magnetic microspheres supported proline as a recyclable organocatalyst for the asymmetric aldol reaction. J. Mol. Catal. A Chem. 2012, 363, 404. [Google Scholar] [CrossRef]
- Hermann, A.; Burr, D.; Landry, V. Comparative study of the impact of additives against oxygen inhibition on pendulum hardness and abrasion resistance for UV-curable wood finishes. Prog. Org. Coat. 2020, 148, 105879. [Google Scholar] [CrossRef]
- Yoon, T.H.; Lee, Y.K.; Lim, B.S.; Kim, C.W. Degree of polymerization of resin composites by different light sources. J. Oral Rehabil. 2002, 29, 1165. [Google Scholar] [CrossRef]
- Nguyen, T.V.; Nguyen-Tri, P.; Azizi, S.; Dang, T.C.; Hoang, D.M.; Hoang, T.H.; Nguyen, T.L.; Le Bui, T.T.; Dang, V.H.; Nguyen, N.L. The role of organic and inorganic UV-absorbents on photopolymerization and mechanical properties of acrylate-urethane coating. Mater. Today Commun. 2020, 22, 100780. [Google Scholar] [CrossRef]
- Nagarajan, B.; Wang, Y.; Taheri, M.; Trudel, S.; Bryant, S.; Qureshi, A.J.; Mertiny, P. Development and Characterization of Field Structured Magnetic Composites. Polymers 2021, 13, 2843. [Google Scholar] [CrossRef]
- Tyson, B.M.; Al-Rub, R.K.A.; Yazdanbakhsh, A.; Grasley, Z. A quantitative method for analyzing the dispersion and agglomeration of nano-particles in composite materials. Compos. Part B Eng. 2011, 42, 1395. [Google Scholar] [CrossRef]
- Luo, Z.; Koo, J.H. Quantifying the dispersion of mixture microstructures. J. Microsc. 2007, 225, 118. [Google Scholar] [CrossRef]
- Järnström, J.; Ihalainen, P.; Backfolk, K.; Peltonen, J. Roughness of pigment coatings and its influence on gloss. Appl. Surf. Sci. 2008, 254. [Google Scholar] [CrossRef]
- Fletcher, T. A simple model to describe relationships between gloss behaviour, matting agent concentration and the rheology of matted paints and coatings. Prog. Org. Coat. 2002, 44, 25–36. [Google Scholar] [CrossRef]
- Calvez, I.; Szczepanski, C.R.; Landry, V. Preparation and characterization of low gloss UV-curable coatings based on silica surface modification using an acrylate monomer. Prog. Org. Coat. 2021, 158, 106369. [Google Scholar] [CrossRef]
- Wu, J.; Gong, X.; Chen, L.; Xia, H.; Hu, Z. Preparation and characterization of isotropic polyurethane magnetorheological elastomer through in situ polymerization. J. Appl. Polym. Sci. 2009, 114, 901. [Google Scholar] [CrossRef]
- Cvek, M.; Mrlik, M.; Ilcikova, M.; Plachy, T.; Sedlacik, M.; Mosnacek, J.; Pavlinek, V. A facile controllable coating of carbonyl iron particles with poly(glycidyl methacrylate): A tool for adjusting MR response and stability properties. J. Mater. Chem. C 2015, 3, 4646. [Google Scholar] [CrossRef]
- Jun, J.-B.; Uhm, S.-Y.; Ryu, J.-H.; Suh, K.-D. Synthesis and characterization of monodisperse magnetic composite particles for magnetorheological fluid materials. Colloids Surf. A Physicochem. Eng. Asp. 2005, 260, 157. [Google Scholar] [CrossRef]
- Wu, J.; Xie, J.; Ling, L.; Ma, G.; Wang, B. Surface modification of nanosilica with 3-mercaptopropyl trimethoxysilane and investigation of its effect on the properties of UV curable coatings. J. Coat. Technol. Res. 2013, 10, 849–857. [Google Scholar] [CrossRef]
- Landry, V.; Riedl, B.; Blanchet, P. Nanoclay dispersion effects on UV coatings curing. Prog. Org. Coat. 2008, 62, 400. [Google Scholar] [CrossRef]
- Pickering, K.L.; Khimi, S.R.; Ilanko, S. The effect of silane coupling agent on iron sand for use in magnetorheological elastomers Part 1: Surface chemical modification and characterization. Compos. Part A Appl. Sci. Manuf. 2015, 68, 377. [Google Scholar] [CrossRef]
- Mehdizadeh, A.; Mei, R.; Klausner, J.F.; Rahmatian, N. Interaction forces between soft magnetic particles in uniform and non-uniform magnetic fields. Acta Mech. Sin. 2010, 26, 921. [Google Scholar] [CrossRef]
- Krommenhoek, P.J.; Tracy, J.B. Magnetic Field-Directed Self-Assembly of Magnetic Nanoparticle Chains in Bulk Polymers. Part. Part. Syst. Charact. 2013, 30, 759. [Google Scholar] [CrossRef]
- Li, R.; Li, X.; Li, Y.; Yang, P.-A.; Liu, J. Experimental and numerical study on surface roughness of magnetorheological elastomer for controllable friction. Friction 2020, 8, 917–929. [Google Scholar] [CrossRef]
- Zablotskii, V.; Lunov, O.; Kubinova, S.; Polyakova, T.; Sykova, E.; Dejneka, A. Effects of high-gradient magnetic fields on living cell machinery. J. Phys. D Appl. Phys. 2016, 49, 493003. [Google Scholar] [CrossRef]
- Shiwei, C.; Shuai, D.; Xiaojie, W.; Weihua, L. Magneto-induced surface morphologies in magnetorheological elastomer films: An analytical study. Smart Mater. Struct. 2019, 28, 045016. [Google Scholar] [CrossRef]















| Function | Percentage ± 0.5 (wt.%) | |||||
|---|---|---|---|---|---|---|
| F1 | F2-B | F3-B | F5-M | F6-M | ||
| Photoinitiator | Genocure LTM | 3.9 | 3.9 | 4.0 | 4.1 | 4.0 |
| Photoinitiator | Genocure EMK | 2.0 | 2.0 | 2.0 | 2.0 | 2.0 |
| Photoinitiator | Genocure TPO-L | 2.9 | 2.9 | 3.0 | 3.0 | 3.0 |
| Oligomer | CN9010 | 45 | 45.6 | 46.3 | 45.2 | 44.5 |
| Oligomer | Genomer 2252-20 | 10.0 | 10.0 | 10.3 | 9.98 | 10.3 |
| Monomer | DPGDA-Canlak | 30.0 | 30.0 | 30.0 | 30.0 | 29.9 |
| Additive | BYK A500 | 2.0 | 2.0 | 2.0 | 2.0 | 2.0 |
| Additive | BYK 1794 | 1.0 | 1.0 | 1.1 | 1.0 | 1.0 |
| MP | Fe(CO)5 | 3.0 | 5.0 | |||
| Modified MP | Fe(CO)5-APTES | 3.1 | 5.0 | |||
| Sample | Maximum Heat Flow (Wg−1) | Jg−1 | Conversion (%) |
|---|---|---|---|
| F1 | 41.2 ± 0.8 | 312.6 ± 3.4 | 57 ± 2 |
| F2-B | 32.5 ± 2.5 | 280.6 ± 5.9 | 51 ± 2 |
| F3-B | 31.9 ± 5.0 | 283.5 ± 9.6 | 51 ± 1 |
| F4-M | 45.4 ± 4.2 | 317.5 ± 5.4 | 58 ± 2 |
| F5-M | 33.0 ± 1.0 | 285.6 ± 2.1 | 51 ± 1 |
Disclaimer/Publisher’s Note: The statements, opinions and data contained in all publications are solely those of the individual author(s) and contributor(s) and not of MDPI and/or the editor(s). MDPI and/or the editor(s) disclaim responsibility for any injury to people or property resulting from any ideas, methods, instructions or products referred to in the content. |
© 2023 by the authors. Licensee MDPI, Basel, Switzerland. This article is an open access article distributed under the terms and conditions of the Creative Commons Attribution (CC BY) license (https://creativecommons.org/licenses/by/4.0/).
Share and Cite
Davoudi, S.; Multigner, M.; Calvez, I.; Hermann, A.; Landry, V. Influence of Magnetic Particles and Magnetic Field on Gloss in UV Coating. Coatings 2023, 13, 1625. https://doi.org/10.3390/coatings13091625
Davoudi S, Multigner M, Calvez I, Hermann A, Landry V. Influence of Magnetic Particles and Magnetic Field on Gloss in UV Coating. Coatings. 2023; 13(9):1625. https://doi.org/10.3390/coatings13091625
Chicago/Turabian StyleDavoudi, Sorour, Marta Multigner, Ingrid Calvez, Aurélien Hermann, and Véronic Landry. 2023. "Influence of Magnetic Particles and Magnetic Field on Gloss in UV Coating" Coatings 13, no. 9: 1625. https://doi.org/10.3390/coatings13091625
APA StyleDavoudi, S., Multigner, M., Calvez, I., Hermann, A., & Landry, V. (2023). Influence of Magnetic Particles and Magnetic Field on Gloss in UV Coating. Coatings, 13(9), 1625. https://doi.org/10.3390/coatings13091625

