Abstract
The inhibition behavior of the promising eco-friendly inhibitor 8-hydroxyquinoline (8HQ) in two concentrations of sodium chloride solution was studied by hydrogen evolution, scanning electron microscope (SEM), three-dimensional morphology, electrochemical testing, and computational calculations. The results indicated that the 8HQ inhibitor showed satisfactory inhibition effect due to its fast, excellent adsorption capacity and self-healing ability. The corrosion inhibition effect is related to the concentration of the inhibitor. There was a competitive adsorption relationship between 8HQ and [Cl−], and the adsorption morphology was obviously affected by the concentration of [Cl−]. At the lower concentration of NaCl solution, the adsorption of 8HQ was more orderly, faster, and the adsorption amount was larger, which led to the formation of a denser protective layer. Density functional theory (DFT) results showed that the most stable adsorption configuration of 8HQ was NO-Top. N and O atoms are the active sites, and there is a strong coupling between them and Mg atoms, which is consistent with the experimental results.
1. Introduction
Mg and magnesium alloys are generally utilized in the aviation industry and biomedical fields due to their light weight, exceptional dampening capacity, and nontoxicity to the environment and humans [1,2]. Unfortunately, the poor corrosion resistance severely restricts the large-scale application of magnesium alloys. Adding inhibitor has been widely considered as one of the most practical and effective methods to improve the corrosion resistance of magnesium alloys. Chromate used to be an effective corrosion inhibitor, but has since been banned because of its toxic properties [3,4]. Therefore, researchers are inclined to develop green and environmentally friendly corrosion inhibitors for magnesium alloy surfaces.
Currently, widely used inhibitors include inorganic and organic species, such as Ce3+ [5] organic heterocyclic molecule [6,7] and amino acid anion [8,9]. Organic compounds, especially heteroatoms containing a single pair of electrons (such as N, O, P, and S), benzene rings, or conjugated functional groups, are often used as inhibitors to protect the matrix from corrosion. Among them, 8HQ has been reported as a green and efficient inhibitor and can be applied to various metal surfaces, such as aluminum, copper, steel, and magnesium [10,11,12,13,14]. Gerengi et al. [10] found that the inhibition of Cu corrosion by 8HQ is due to electrostatic interaction between Cu surface and 8HQ.
Obot et al. [15] revealed 8HO could function as an effective corrosion inhibitor on X60 steel in 15% hydrochloric acid. The potentiodynamic polarization measurement illustrated the mixed-type behavior of 8HQ. The functional groups in 8HQ were complexed with iron ions on the surface of X60 steel, thus forming a corrosion inhibition layer and delaying corrosion. Tang et al. [16] reported that, in 0.5 M sulfuric acid NaCl medium, a synergistic effect exists between [Cl−] and 8HQ. The presence of [Cl−] increased the adsorption stability of the 8HQ molecule, thus improving the inhibition efficiency of 8HQ on cold rolled steel. Zong et al. [17] studied the growth mechanism and electrochemical behavior of an Mg(HQ)2 coating on magnesium alloy and showed that the Mg(HQ)2 coating can provide a long-term barrier through its self-healing behavior. The protective film plays a crucial role in the process of corrosion, mainly by blocking the active site on the metal surface, thus avoiding the adsorption of aggressive ions such as [Cl−] or [OH−].
The inhibition effect and mechanism of 8HQ and its derivatives have been verified in many studies. Due to the presence of a –C=C– group, N, and O atoms in the 8HQ molecule, the non-bonding electrons of oxygen and nitrogen can form strong coordination with metals, making 8HQ exhibit high corrosion inhibition potential. From a theoretical point of view, theoretical calculation has become an important method to evaluate the corrosion inhibition performance of corrosion inhibitors [18,19,20,21,22,23,24]. Fatah et al. [25] studied the adsorption modes of 8HQ on the Al (111) surface using DFT methods. It was suggested that 8HQ may exist in aqueous solution in the form of 8HQ molecule, its tautomer, dehydrogenated, and hydrogenated species. Among them, the dehydrogenated 8HQ had the strongest coupling with an Al (111) surface. Subsequently, Fatah et al. [26] investigated the interaction of 8HQ and its derivatives on an aluminum surface with different coverage. It was shown that 8HQ forms a protective barrier on the surface of Al (111) by adsorption. During the adsorption process, 8HQ molecule has strong deformation, which reduces the adsorption energy. There is local electron transfer from the substrate to the adsorbent, and the work function decreases due to the redistribution of electron density caused by molecular adsorption. You et al. [27] utilized a DFT-based molecular dynamic simulation to explore the protective influence of 8HQ on an Al2Cu alloy, and confirmed the chemical bond between N and Al atoms was formed, resulting in a reduced corrosion rate. However, the theoretical study of 8HQ adsorption on a magnesium alloy surface remains to be discussed [10], and there is a lack of theoretical simulation to elucidate the 8HQ-Mg interaction. In addition, most scholars pay attention to the corrosion inhibition effect of 8HQ in 3.5 wt.% NaCl solution, which largely depends on its adsorption behavior. What is the relationship between the adsorption behavior of 8HQ and the concentration of corrosive ions? When the concentration of corrosive ions (such as chloride ions) is low, how does the kinetic and thermodynamic process change? The answers to these key questions are the focus of this paper, and also have important significance for the development of a new generation of 8HQ-based inhibitors.
Therefore, this work was designed to conduct a detailed study on the corrosion inhibition and adsorption behavior of 8HQ in 3.5 wt.% and 0.05 wt.% NaCl solutions by SEM, hydrogen evolution test, and electrochemical experiment. The three-dimensional morphology and composition of an 8HQ adsorbed film was analyzed in two media with different concentrations. Adsorption kinetics and thermodynamic data were compared. Finally, the theoretical part of the study was carried out with quantum chemical calculations, trying to further reveal the inhibition mechanism of 8HQ from both theoretical and experimental aspects.
2. Experimental Theoretical Details
2.1. Materials and Sample Preparation
The die-cast AZ91D alloy (the composition given in Table 1) was used as a substrate material in this work. For different measurements, the test specimen was cut into specimens with two sizes (10 × 10 × 10 mm for electrochemical tests and 10 × 20 × 30 mm for hydrogen evolution tests). Before the experiments, all the samples were manually ground to 2000 grit with SiC paper. For the microstructure observation, samples were further mechanically polished with up to 0.35 μm non-water suspension to obtain a mirror-like surface without obvious scratches. Finally, the specimens were rinsed using deionized water and anhydrous ethanol, and after that were blow-dried in cool air with a hair dryer. All the solutions were made with ultrapure water (18.2 MΩ cm−l) provided by the Milli-Q system. All the chemicals used were analytical grade and with no further purification.
Table 1.
Chemical constitute of AZ91D alloy (in wt.%).
2.2. Hydrogen Evolution Test
The hydrogen evolution test was carried with a traditional equipment (a burette and an inverted funnel), immersing the processed samples (encapsulated with epoxy resin so that the specific surface with the dimension of 20 × 30 mm was exposed) in 1000 mL of testing solution. All tests were conducted at room temperature (temperature difference between a.m. and p.m. was about 10 °C). The pH and C8HQ changes of the solution before and after the hydrogen evolution test were also estimated. The concentration of 8HQ after 72 h of immersion was measured by UV-Vis spectrophotometer at 282 nm. The pH value was surveyed by acidity meter.
The inhibition efficiency (IEH) was calculated as Equation (1) [28]:
where and represent the volume of hydrogen produced from NaCl solution with and without the addition of 8HQ inhibitor, respectively.
2.3. Electrochemical Test
A Zennium electrochemical work station (Zahner, Kronach, Germany) was employed for the electrochemical measurements. A three-electrode system was utilized, which was composed of a working electrode (with the exposed area of 1 cm2), a counter electrode (platinum plate), and a reference electrode (saturated calomel electrode, SCE). For electrochemical measurements, specimens were embedded in epoxy resin electrically connected to the opposite side of the examined surface to illustrate the inhibition efficiency of different solutions. Prior to electrochemical impedance spectroscopy (EIS) measurement (measuring frequency ranged from 10 mHz to 100 KHz and the amplitude was 5 mV), a stabilization time of 3600 s was applied and the open circuit potential (OCP) variation were detected during this period. The potential for the potentiodynamic polarization (PDP) tests were scanned in the range of ±300 mV vs. OCP, and the scanning rate was 5 mV/s. All the obtained data were processed with the Zahner analysis software (version 3.1.1). To ensure the reproducibility of the experiment, at least three parallel samples were measured for each test.
The inhibitor efficiency for the PDP tests (IEP) was calculated according to Equation (2) [29]:
where iinh and icorr represent the current density value with and without the addition of 8HQ, respectively.
2.4. Surface Morphology and Components Analysis
The surface micromorphology of the specimens before and after the immersing experiments were determined utilizing an energy dispersive spectroscopy (EDS) coupled with the SEM (higlt voltage = 20.00 kV, view field = 600.0 μm, JEOL JSM-7500). In addition, the three-dimensional morphological changes of different samples were captured by three-dimensional laser confocal microscopy (OLYMPUS DSX1000).
2.5. DFT Computations
Quantum chemical calculations were executed by BIOVIA Material Studio (version 2020) to study the adsorption behavior, using the DMol3 module. The Perdew–Burke–Ernzerhof (PBE) functional with generalized gradient approximation (GGA) was utilized to explain the electronic exchange–correlation influence. The empirical correction in the Grimme scheme was utilized to describe van der Waals interactions [30,31]. The basis set was set as double numerical plus polarization (DNP). The convergence tolerance of energy of 1.0 × 10−5 Ha, maximum force of 1.0 × 10−3 Ha/Å, and maximum displacement of 5.0 × 10−3 Å was used in the geometry optimization process. A smearing value of 5.0 × 10−3 Ha to orbital occupation was used for all the computations to improve SCF convergence. The Mg (001) surface was used as a simplified model to analyze magnesium alloys [30,32]. To simulate the Mg surfaces, a 4 × 4 super cell including 128 Mg atoms was constructed. To eliminate the interaction between Mg surfaces and the periodic images, a vacuum slab of 20 Å was set along the z direction normal to the sheet. The Brillouin zone of the sample was carried out using a 2 × 2 × 1 Monkhorst–Pack grid.
3. Results and Discussion
3.1. Hydrogen Evolution Measurement
AZ91D alloy was immersed in blank and 8HQ-containing NaCl solution (3.5 wt.% and 0.05 wt.%) over 72 h to preliminarily evaluate the inhibition performance of 8HQ (See Figure 1).
Figure 1.
Hydrogen evolution volume change during immersion for 72 h in 3.5 wt.% NaCl (a) and 0.05 wt.% NaCl (b) with the addition of various amounts of 8HQ.
For the 3.5 wt.% NaCl solution (Figure 1a), small gas columns appeared on the surface of all samples in the first few minutes of immersion, and the number of columns in the blank salt solution was significantly higher, indicating that 8HQ adsorbed very quickly and played a role in corrosion inhibition in a very short time. With the increase of immersion time, the pitting site increased, pitting pit deepened, and the volume of H2 increased almost exponentially. With the increase of C8HQ, the hydrogen evolution rate gradually reduced and the inhibition efficiency gradually increased. At the saturation concentration of 8HQ (0.5 g/L), IEH reached 82.0% within 48 h, which may be related to the continuous replenishment and supply of 8HQ in the saturated solution. For the 0.05 wt.% NaCl (Figure 1b), due to the decrease of [Cl−], the degree of corrosion was reduced, and the change of hydrogen volume was small. Since the hydrogen evolution experiment was not carried out at a constant temperature, the H2 evolution accelerated with the increase of temperature (about 25 °C at a.m.) and decreased with the decrease of temperature (about 10 °C at p.m.). When the temperature was lowest (at night), the H2 evolution remained almost constant. This is due to the effect of temperature on electrochemical activity, or oxygen corrosion may have occurred.
The pH and C8HQ of the solution before and after immersion was also detected. In terms of ΔpH and ΔC8HQ (Table 2), the [OH−] generated in the corrosion process increased the pH of the solution, and the change value decreased with the increase of C8HQ. Especially in the saturated solution, ΔpH was minimal, which is consistent with the H2 evolution results. The adsorption capacity of 8HQ on the Mg surface can be roughly expressed by ΔC8HQ, and it can be found that the adsorption capacity increases with the increase of C8HQ. It is worth noting that at the same C8HQ, theΔC8HQ in the solution of low [Cl−] (0.05 wt.%) was always greater than that in the solution of high [Cl−] (3.5 wt.%), which indirectly indicates the possible competitive adsorption between [Cl−] and 8HQ. The increase of [Cl−] may affect the adsorption process of 8HQ, which was also mentioned in Tang’s report [16].
Table 2.
The concentration of 8HQ and pH change during immersion for 72 h in sodium chloride solution with various amounts of 8HQ.
3.2. Electrochemical Evaluation of Corrosion Inhibition
3.2.1. OCP Measurement
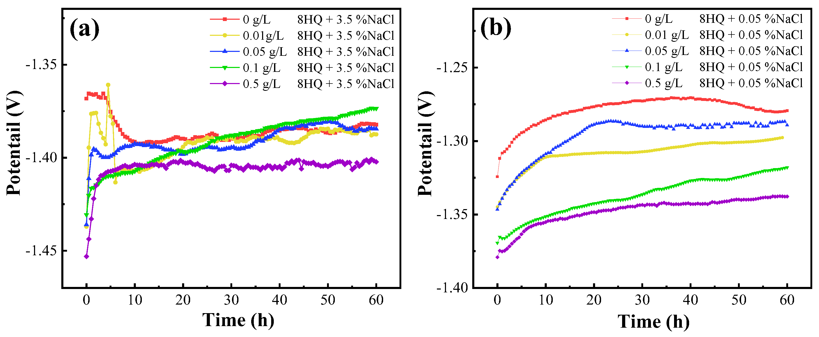
The fluctuations in open circuit potential indicate significant changes (dissolution and adsorption) in the electrode surface [33,34]. However, this fluctuation is also related to the metastable surface film formed after adsorption and desorption. The OCP values were surveyed during different immersion times (bath temperature was 298 K) and the changes of OCP versus immersion time are shown in Figure 2.
Figure 2.
OPC curves for the tested alloys during immersion in 3.5 wt.% NaCl (a) and 0.05 wt.% NaCl (b) with the addition of various amounts of 8HQ.
For blank 3.5 wt.% NaCl solution without 8HQ inhibitor (Figure 2a), the OCP fluctuated slightly in the first several minutes, then decreased rapidly to −1.4 V and remained basically constant thereafter. This may be because once polarization occurs, the cation cannot leave the anode surface quickly, and the potential will rise [11]. In the presence of 8HQ, OCP curves showed the same trend, and the initial fluctuation could provide some key information. Firstly, the OCP increased rapidly within 5 min, then basically stabilized (still with continuous fluctuation), which is related to the intense adsorption and desorption process on the AZ91D alloy surface. It should be noted that the initial OCP values of all the samples containing 8HQ were lower than that of blank NaCl solution. As the C8HQ increased, the OCP shifted to more negative values. The sudden drop in potential may be due to the initiation of pitting on the magnesium surface. For 0.05 wt.% NaCl solution (Figure 2b), the potential of all samples tended to stabilize after soaking within 10 min and the initial potential value decreased with the increasing C8HQ. The rapid and stable open circuit potential indicates that the 8HQ film grows evenly and quickly. In general, the open circuit curves of low [Cl−] were smoother and the initial EOCP are lower than that of high [Cl−], suggesting that the adsorption competition between [Cl−] ions and 8HQ is less fierce.
3.2.2. PDP Measurement
The potentiodynamic polarization was measured in two NaCl solutions (3.5 wt.% and 0.05 wt.%) containing different C8HQ (See Figure 3). Cathodic Tafel extrapolation, as quoted in [34], was employed to estimate the corrosion current density from PDP curves. The derived parameters are listed in Table 3, including corrosion current density (icorr), corrosion potential (Ecorr), cathodic Tafel slope (βc), as well as the effectiveness of inhibition (IEp).
Figure 3.
Potentiodynamic polarization curves for the tested alloys during immersion in 3.5 wt.% NaCl (a) and 0.05 wt.% NaCl (b) with the addition of various amounts of 8HQ.
Table 3.
Electrochemical parameters derived from PDP plots for AZ91D alloy in NaCl solution (3.5 wt.% and 0.05 wt.%) with the addition of different amount of 8HQ.
The curves exhibited different behaviors, depending on the concentration of NaCl and 8HQ. As the concentration of [Cl−] decreased, the Ecorr shifted towards more anodic potentials: a difference of 60 mV was measured between 3.5 wt.% and 0.05 wt.% NaCl solution. As C8HQ increased, the icorr decreased significantly and a current platform was observed in the anode range, which may be caused by inhibitor desorption [35]. At high cathodic potentials, the current plateau values were similar in 0.05 wt.% solution (Figure 3b), this means the addition of 8HQ did not alter the machinery of H2 evolution [36]. However, in 3.5 wt.% solution (Figure 3a), a slight difference was observed, possibly attributed to the influence of the ohmic drop compensation [37]. This also illustrates that 8HQ can be classified into the adsorptive inhibitor for AZ91D alloy, which could form a shielded layer and prevent activated corrosion sites. From the anodic branch of PDP curves, the anodic process was markedly suppressed with 8HQ. The 8HQ inhibitor showed higher inhibition efficiency on the anodic range than on the cathode branch, suggesting that the 8HQ exhibited a mixed-type inhibitor to mainly affect the anodic reaction [36,38]. The addition with 8HQ led to a decrease in icorr values and an enhancement in IEp (reaching values of 93.23% for 3.5 wt.% and 85.35% for 0.05 wt.% NaCl solution, respectively).
3.2.3. EIS Measurement
Another important non-destructive electrochemical technique [39], EIS, was utilized to research the corrosion reaction and interface process in different NaCl solutions, adding different amounts of 8HQ (See Figure 4). As Figure 4 shows, the Nyquist plots were not perfect depressed semicircles due to the roughness and uneven distribution of corrosion activity centers of the Mg surface [40]. Compared with the blank NaCl solution, all 8HQ-inhibited samples showed a larger semicircle, indicating better corrosion inhibition performance of the inhibitor. For the 3.5 wt.% NaCl solution (Figure 4a), the EIS diagram exhibited an inductive arc at low frequency and a capacitive arc at high frequency. The high frequency semicircles are the result of the charge transfer and double layer capacitance. The low frequency inductive arcs are probably related to the local surface corrosion or weak adsorption capacity of the surface layer. In 0.05 wt.% solution (Figure 4b), the EIS curves consisted of double capacitive arcs. The high frequency capacitive arcs are attributed to charge transfer, reflecting the corrosion resistance of the specimens. The low frequency capacitive arcs are related to the adsorbing–desorbing process of 8HQ. The depressed capacitive loops indicate that the charge transfer process plays an important role in the corrosion reaction with and without inhibitors in 0.05 wt.% solution [21,36]. In the meantime, the high frequency capacitive arc magnified to the maximum as C8HQ was 0.1 g/L and then quickly decreased with saturated 8HQ concentration. This may have occurred due to the extreme concentration phenomenon, which is also in common with the results of PDP curves.
Figure 4.
Nyquist plots for the tested alloys during immersion in 3.5 wt.% NaCl (a) and 0.05 wt.% NaCl (b) with the addition of various amounts of 8HQ.
Table 4 shows the simulated results of Nyquist plots, fitted with two kinds of equivalent circuits extensively used in the literature [28,36,41]. The equivalent circuits in Figure 5a,b were used to simulate the curves with and without inductive loop, respectively. The equivalent circuits contained several elements, including the solution resistance (Rs), the film resistance (Rfi), the film capacitance (CPEfi), the charge transfer resistance (Rct), the double-layer capacitance (CPEdl), and inductance (L). Considering surface or interface imperfections due to uneven distribution of corrosion products, charge distribution, and inhibition of molecular adsorption, a constant phase element (CPE, described by the value of Q and n) was used rather than pure capacitor.
Table 4.
Electrochemical parameters derived from Nyquist plots for AZ91D alloy in 3.5 wt.% NaCl and 0.05 wt.% NaCl with the addition of various amounts of 8HQ.
Figure 5.
Equivalent circuits utilized to approximate the EIS data on AZ91D alloy in 3.5 wt.% NaCl solution (a) and 0.05 wt.% NaCl solution (b).
With the addition of inhibitors, both Rct and Rfi values increased as the C8HQ increased from 0.01 g/L to 0.1 g/L. This phenomenon manifests the formation of inhibitor–adsorption films on the Mg surface, leaving fewer electro-active sites for corrosion [20,42]. Furthermore, the values of CPEdl and CPEfi decreased with the increasing C8HQ, which can be related to the adsorption of 8HQ molecules on the Mg surface, forming a shielded layer and reducing the area of AZ91D alloy exposed to the NaCl solution.
3.3. Surface Morphology and Components Analysis
3.3.1. SEM Analysis
Figure 6 displays the SEM pictures of AZ91D alloy after immersing for 24 h in different solutions (blank 3.5 wt.% NaCl, distilled water + 0.1 g/L 8HQ, 3.5 wt.% NaCl + 8HQ, and 0.05 wt.% NaCl + 8HQ). As seen from Figure 6a, the AZ91D alloy in blank NaCl solution was severely corroded, showing typical pitting behavior, with large cracks, deep local corrosion pits, and a layer of loose corrosion products (whose main components were MgO and Mg(OH)2) covered near the pits [43,44]. In pure water, without the influence of [Cl−], 8HQ molecules can continuously grow along the larger 8HQ grains, forming relatively complete flower-like or petal-like Mg(HQ)2 (Figure 6b) [45]. Figure 6c shows the optical and SEM images of AZ91D alloy after immersion in inhibited 3.5 wt.% solution. It can be seen that the corrosion was effectively reduced, and the parts marked by the yellow dotted line indicate that the 8HQ molecule can continue to adsorb at the position where corrosion occurred. The further formation of corrosion pits was prevented, which is consistent with electrochemical results. It can be clearly seen that the adsorption film of 8HQ was relatively dense, but the molecular morphology changed significantly. In Figure 6d, due to the low concentration of [Cl−], the corrosion is not obvious, and the adsorption form of 8HQ is different from that of the blank solution, showing a relatively complete hexagonal crystal structure (size about 10 μm) [11]. In general, 8HQ has excellent adsorption capacity and strong self-healing ability, which can effectively delay corrosion. Moreover, the concentration of chloride ions has a great influence on the adsorption form of 8HQ, and the higher the concentration, the more difficult it is for 8HQ to form a complete crystal.
Figure 6.
SEM images of the AZ91D alloy after soaking for 24 h in different solutions: the blank 3.5 wt.% NaCl (a), the distilled water + 0.1 g/L 8HQ (b), the 3.5 wt.% NaCl + 0.1 g/L 8HQ (c), and the 0.05 wt.% NaCl + 0.1 g/L 8HQ (d).
3.3.2. Three-Dimensional Morphology
In order to further understand the adsorption behavior of 8HQ, the AZ91D alloy was soaked for 24 h in different corrosion solutions (blank 3.5 wt.% NaCl, 3.5 wt.% NaCl + 8HQ blank 0.05 wt.% NaCl, and 0.05 wt.% NaCl + 8HQ), and its three-dimensional morphology was observed (See Figure 7). As can be seen from Figure 7a, serious corrosion occurred after the sample was immersed in 3.5 wt.% NaCl solution for 24 h, resulting in an uneven surface of the magnesium alloy and the maximum depth of the corrosion pit was 41.652 μm. There was an accumulation of corrosion products near the corrosion pit and the maximum upward height was 266.303 μm. The maximum height difference was 307.955 μm. The corrosion was reduced after the addition of 8HQ inhibitor (See Figure 7b). The maximum downward depth and maximum upward height were reduced to 11.301 μm and 216.501 μm, respectively, and the maximum height difference was 227.802 μm. In 0.05 wt.% NaCl solution (See Figure 7c), the corrosion was significantly weakened. There were no obvious corrosion pits and corrosion product accumulation, and the maximum height difference was reduced to 48.833 μm. After adding 8HQ inhibitor, the surface of the magnesium alloy was relatively flat, and the maximum height difference was 39.517 μm. After the addition of 8HQ (See Figure 7d), the surface was relatively flat, and the maximum height difference was 39.517 μm. In general, the corrosion morphology was more flat after the addition of inhibitor. Especially at low [Cl−] concentration, the 8HQ molecule can be adsorbed in a more orderly manner, which proves the competitive adsorption relationship between 8HQ and [Cl−]. This is also consistent with the results of the SEM diagram.
Figure 7.
Three-dimensional morphology of the AZ91D alloy after soaking for 24 h in different solutions: the blank 3.5 wt.% NaCl (a), the 3.5 wt.% NaCl + 0.1 g/L 8HQ (b), the blank 0.05 wt.% NaCl (c), and the 0.05 wt.% NaCl + 0.1 g/L 8HQ (d).
3.4. Adsorption Isotherms Studies
For a better understanding of the adsorption and inhibition mechanism of 8HQ inhibitor, adsorption isotherms were evaluated using PDP methods, by soaking AZ91D alloy in 3.5 wt.% sodium chloride solution with various 8HQ concentrations (from 0 g/L to 0.5 g/L) at a temperature of 298 K (See Figure 3). According to the obtained PDP data (Table 3), the Langmuir adsorption model was used in this study, which showed a linear line with an R2 more than 0.999 (See Figure 8). The Kads and ∆Gads of 8HQ were calculated with the Formulas (3) and (4) [46,47]:
where θ, Cinh, and Kads represent the surface coverage, the concentration of 8HQ, and the equilibrium constant of adsorption, respectively. R and T represent the universal gas equilibrium constant and absolute temperature (298 K).
Figure 8.
Langmuir adsorption isotherm plots in 3.5 wt.% NaCl (a) and 0.05 wt.% NaCl (b) with the addition of various amounts of 8HQ using PDP method.
As pictured in Figure 8, the curve of Cinh/θ against Cinh yielded a straight line both in 3.5 wt.% (R2 is 0.9994 and slope is 1.06, Figure 8a) and 0.05 wt.% (R2 is 0.9996 and slope is 1.16, Figure 8b) NaCl solution. The calculated Kads value for 8HQ was 4.23 × 104 M−1 (in 3.5 wt.% NaCl) and 2.03 × 105 M−1 (in 0.05 wt.% NaCl). When the Kads value is greater than 100 M−1, it signifies stronger adsorption and more effective inhibition [28,47]. The negative ∆Gads value means the adsorption could happen spontaneously [3]. Usually, when ∆Gads value is within −20 KJ·mol−1, it represents an electrostatic interaction (physical adsorption). While the ∆Gads value is greater than −40 KJ·mol−1, it represents chemical adsorption. In this paper, the ∆Gads values obtained for the examined samples were near or superior to −40 KJ·mol−1 (−36.39 KJ·mol−1 for 3.5 wt.% and −40.27 KJ·mol−1 for 0.05 wt.% NaCl solution), implying the adsorption of 8HQ belongs to predominant chemical adsorption on the AZ91D alloy surface [48,49]. As previously confirmed by [17,50], 8HQ can react with Mg to form Mg(HQ)2 (highly stable and insoluble) on the magnesium alloy surface, thus providing a shield against corrosive media.
3.5. Temperature Effects and Activation Parameters
The effects of temperature on the inhibitory efficiency were also studied potentiometrically [51]. The PDP curves were obtained in 3.5 wt.% and 0.05 wt.% NaCl solution with 0.1 g/L 8HQ at different temperatures (298 K, 308 K, 318 K, and 328 K) (see Figure 9). As is shown in Figure 9, the current density displays a noticeable enhancement with increasing temperature. The cathodic branch of PDP curves was parallel, implying that the pure activation mechanism of H2 evolution reaction was similar at different temperatures. The corresponding electrochemical parameters results are grouped in Table 5, so that the kinetics and thermodynamics parameters of 8HQ could be calculated. To get further detail of the corrosion behavior, various activation parameters were determined according to the Arbenius equation [40,52]. The linear relationship between the icorr and temperature (See Figure 10) could be described by the Equations (5) and (6), so that the parameters (Ea, ΔHa and ΔSa) can be calculated (See Table 6):
where icorr, k, R, T, N, h, Ea, ΔSa, and ΔHa stand for corrosion current (μA cm−2), the pre-exponential factor, the ideal gas constant (KJ·mol−1·K−1), the temperature (K), Avogadro’s number, Planck’s constant, the activation energy (KJ·mol−1), activation enthalpy (KJ·mol−1), and activation entropy (KJ·mol−1·K−1), respectively.
Figure 9.
PDP curves of AZ91D alloy in 3.5 wt.% NaCl + 0.1 g/L 8HQ (a) and 0.05 wt.% NaCl + 0.1 g/L 8HQ (b) at different temperatures (298 K, 308 K, 318 K, 328 K).
Table 5.
Electrochemical parameters of AZ91D alloy in NaCl solution (3.5 wt.% and 0.05 wt.%) with the addition of 8HQ at different temperatures.
Figure 10.
Arrhenius (a) and transition state plots (b) determined from corrosion current density for AZ91D alloy in 3.5 wt.% and 0.05 wt.% NaCl solution with the addition of 0.1 g/L 8HQ.
Table 6.
Thermodynamic parameters for AZ91D alloy in inhibited 3.5 wt.% and 0.05 wt.% NaCl solution.
The thermodynamic parameters of corrosion inhibitor adsorption can provide valuable information for the study of inhibition mechanisms of 8HQ. Activation enthalpy represents the degree of difficulty of adsorption and the lower the enthalpy value is, the easier the inhibitor is to adsorb on the AZ91D alloy surface [20]. As is shown in Figure 10, the activation energy of 8HQ in 0.05 wt.% NaCl (Ea = 44.56 KJ·mol−1) is greater than in 3.5 wt.% NaCl solution (Ea = 36.25 KJ·mol−1). Physical and chemical adsorption can be distinguished by the absolute value of ΔHa. For physical adsorption, this magnitude is usually under 40 KJ·mol−1, while for chemical adsorption, it is closer to 100 KJ·mol−1. In this investigation, the value of ΔHa was close to or higher than 40 KJ·mol−1, indicating that the system has both chemical adsorption and physical adsorption [53]. Activation entropy represents the degree of order of the system. The ΔSa value of within both high and low [Cl−] ion solutions were negative, and less negative in the 0.05 wt.% solution, reflecting the reduction of disorder in the Mg dissolution process [40,54].
3.6. Quantum Chemical Calculations
In order to investigate further the principle of the adsorption and inhibition mechanism, DFT calculations were carried out to build absorption models of 8HQ on Mg (001) surfaces. Figure 11 shows the distribution of the HOMO (highest occupied molecular orbital) and the LUMO (lowest unoccupied molecular orbital) of an optimized configuration of 8HQ. Meanwhile, the calculated ELUMO, EHOMO, and separation energy (ΔEgap = ELUMO − EHOMO) values are also listed. The adsorption of inhibitor molecules could be roughly comprehended through the molecular frontier orbitals (HOMO and LUMO). As displayed in Figure 11, the HOMO of 8HQ is about 2.81 eV greater than that of LUMO, indicating that the 8HQ molecule was easy to react by giving and receiving electrons, the same conclusion has been verified by [25].
Figure 11.
Frontier orbital distribution of inhibitor molecule 8HQ.
According to the different positions of N and O atom corresponding to the Mg (001) surface, four adsorption configurations were constructed to determine the optimal adsorption configuration: (1) the N atom was on the top position, denoted as N-Top; (2) the N atom was on the face centered cubic (FCC) hollow, denoted as N-FCC; (3) the N atom was on the hexagonal close-packed (HCP) hollow, denoted as N-HCP; (4) both N and O atom were on the top position, denoted as NO-Top. Figure 12 shows the top view of the four initial adsorption configurations and the side view of the most stable adsorption system before and after geometric optimization. 8HQ showed a typical planar structure and was placed parallel to the Mg (001) surface before adsorption. The adsorption distance is set to 2.5 Å (Figure 12b). Table 7 lists the adsorption energy (Eads) and work function (Φ) of the system after geometric optimization. The adsorption energy was calculated by Equation (7), were Eslab+in, Eslab/vac and Ein/vac are the total energy of the system with inhibitor 8HQ adsorbed on Mg (001), the energy of clean relaxed Mg (001) slab, and of the single 8HQ optimized in vacuum, respectively:
Eads = Eslab+in − Eslab/vac − Ein/vac
Figure 12.
The adsorption diagram of 8HQ on the surface of Mg (001): (a) initial adsorption sites of the four configurations (top view), (b) NO-Top configuration before optimization (side view), (c) NO-Top configuration after optimization (side view).
Table 7.
The adsorption energy and work function of four different configurations after geometric optimization.
As is clear from Figure 12 and Table 7, the adsorption energy values of the four systems are different, indicating that the initial site of 8HQ on Mg (001) will affect its adsorption capacity. However, the adsorption energy is all negative, indicating that the adsorption process is spontaneous. Generally speaking, the larger the adsorption energy, the more stable the adsorption system is [55]. It can be observed that the configuration of 8HQ changed greatly after adsorption, with the benzene and pyridine rings significantly deformed (Figure 12c). Meanwhile, the surface of Mg (001) also showed slight variation, especially below the N and O atoms. When N and O atoms were located at the top position, the Eads was the largest (−114.41 kJ mol−1), and the distance between N and Mg (001) plane was the smallest, indicating that the NO-Top configuration is the most stable. According to literature [18], the two more favored positions for Cl atoms adsorption are FCC- and HCP- hollows, which indirectly prove that a low concentration of [Cl−] can promote the adsorption of corrosion inhibitors during the initial adsorption process. In terms of work function, the N-top system had the smallest work function value, while the other three systems had similar values. A larger work function means that electrons are less likely to leave the metal, and when these surfaces are exposed to an electrochemical environment, they are less likely to lose electrons.
Density of states analysis can provide more detailed information about molecular–surface bonding. Figure 13 shows the projected density of states for Mg, N, and O atoms of the most stable system (NO-Top configuration). The p-orbital electrons (N and O atoms in 8HQ) and the sp-orbital electrons (Mg atoms) showed the corresponding peak values at similar energy levels, illustrating that strong coupling occurred between the reactive sites of 8HQ (especially for N atoms) and the Mg atoms [56].
Figure 13.
Projected density of states (PDOS) for Mg, N, and O atoms after adsorption.
3.7. Possible Corrosion and Inhibition Mechanism
It is commonly known that the corrosion process of Mg is mainly composed of the following reactions [28,36]:
The corrosion rate of magnesium enhances with the increasing concentration of [Cl−]. [Cl−] can move to the surface of the Mg, taking the place of H2O molecules and preventing the formation of oxide films. At the same time, the presence of complex ions can promote the dissolution of Mg, the ionized Mg2+ could form coordination ions with chloridion [11]. The chloride ions can penetrate the hydroxide membrane and form metal hydroxyl chloride complexes, which worsen corrosion [57].
The corrosion of magnesium alloys can be effectively delayed by adding corrosion inhibitors. The inhibition mechanism may include adsorption (including physical adsorption and chemical adsorption), the reaction of corrosion inhibitors on the metal surface, and the composite corrosion inhibition mechanism. For example, sodium dodecyl sulfate (SDS) can form a dense and uniform adsorption layer on Mg-8Li-3Al alloy, effectively realizing the isolation between the cathode phase, anode phase, and electrolyte solution [3]. Su et al. [21] synthesized a new type of ionic liquid corrosion inhibitor whose long alkyl chains can help cover more metal areas and repel more aggressive molecules. In addition, the inhibitor also reacts with Mg to form new products, forming a composite film or filling holes on the metal surface. Considering the experimental analysis of inhibition behavior and quantum calculations on the molecular properties of 8HQ, the possible corrosion and inhibition mechanism were speculated and the schematic graphic is shown in Figure 14.
Figure 14.
Schematic graphic of the corrosion and corrosion inhibition mechanism of AZ91D alloy in sodium chloride solution without (a) and with (b) the addition of 8HQ.
Once the 8HQ corrosion inhibitor is added, there would be competitive adsorption relationship between 8HQ molecule and [Cl−]. Chloride ions may play a positive role in promoting the membrane growth at the beginning [4]. Mg can be directly bonded with 8HQ by O and N atoms to form insoluble Mg(HQ)2. This 8HQ incorporated film consisted of outer porous layers and inner compact layers [14,20]. As can be seen from the previous electrochemical results, the adsorption speed of 8HQ on a magnesium alloy surface is very fast. However, such an adsorption behavior depends on the charge state of the inhibitor molecule, the surface state of the substrate, as well as the [Cl−] concentration of the solution. In the solution with high [Cl−] concentration, the adsorption capacity of 8HQ will decrease. Especially at saturated 8HQ concentration, adsorption and desorption behavior occurs frequently, which may lead to agglomeration of the adsorption layer, resulting in 8HQ and corrosion products falling off into the solution.
Based on this thought, the possible corrosion inhibition process of 8HQ molecules can be regarded as the following: (a) the active sites of chloride ions are greatly reduced by the initial spontaneous adsorption of 8HQ on intrinsic passivation film, which would enhance the stability of this barrier film. (b) The 8HQ inhibitor tends to participate in the formation of the surface corrosion layer, making the corrosion products more complex and improving the corrosion resistance to a certain extent. However, high concentration of 8HQ may lead to agglomeration phenomenon, so that the corrosion products directly fall off, and the matrix loses protection instead. (c) 8HQ has a strong “self-repair” ability; that is, the dissolution recrystallization process will occur and the corrosion inhibitor can continue to adsorb in the pitting position, so as to avoid the further deepening of the corrosion pit [57].
4. Conclusions
In this paper, the inhibition behavior of 8HQ at two concentrations of sodium chloride solutions was investigated by the hydrogen analysis, electrochemical experiments, SEM, three-dimensional morphology, adsorption isotherms studies, and computational methods. According to all the experiment results, conclusions can be drawn as follows:
- 8-hydroxyquinoline is a kind of mixed corrosion inhibitor, which can form a protective layer on an AZ91D alloy surface to delay corrosion. The inhibition efficiency of 8HQ is greatly related to the concentration of inhibitor. According to the thermodynamic results, the adsorption process includes both physical and chemical adsorptions and the activation energy in 0.05 wt.% NaCl is greater than that in 3.5 wt.% NaCl.
- There is a competitive adsorption relationship between 8HQ and [Cl−], and the adsorption morphology is obviously affected by the concentration of [Cl−]. The lower concentration of [Cl−] can promote the adsorption of 8HQ on an AZ91D alloy, making its adsorption more orderly and faster, so as to form a denser protective layer with excellent anti-corrosion properties.
- The DFT results showed that the most stable adsorption configuration of 8HQ is NO-Top (N and O are located on the top site of Mg (001)). The N and O atoms are the active sites, and there is strong coupling between them and Mg atoms, which is consistent with the experimental results.
- The results and conclusions provide theoretical and experimental support for the development of a new generation of green corrosion inhibitors. However, whether 8HQ has good durability and can maintain the corrosion inhibition effect in more complex environments needs further research. In addition, from the point of view of quantum computing, it is necessary to establish a more complete model using molecular dynamics methods to study the coexistence of multiple water molecules and sodium chloride molecules.
Author Contributions
Conceptualization, Y.W. and P.W.; methodology, Y.W.; validation, Y.W.; formal analysis, Y.W. and S.W.; investigation, Y.W. and W.L.; resources, J.L.; data curation, Y.W. and W.L.; writing—original draft preparation, Y.W.; writing—review and editing, P.W. and C.L.; visualization, Y.W.; supervision, P.W.; project administration, P.W.; funding acquisition, P.W. All authors have read and agreed to the published version of the manuscript.
Funding
This work was financially supported by the National Natural Science Foundation of China (52271066), the Youth Innovation Team of Shaanxi Universities: Metal corrosion protection and surface engineering technology and Key Projects of Shaanxi Natural Science Foundation Research Program (2021JZ-54), the Opening Project of Material Corrosion and Protection Key Laboratory of Sichuan province (2021CL17) and the Scientific Research Fund of Shangluo University (21FK005).
Institutional Review Board Statement
Not applicable.
Informed Consent Statement
Not applicable.
Data Availability Statement
Not applicable.
Conflicts of Interest
The authors declare no conflict of interest.
References
- Esmaily, M.; Svensson, J.E.; Fajardo, S.; Birbilis, N.; Frankel, G.S.; Virtanen, S.; Arrabal, R.; Thomas, S.; Johansson, L.G. Fundamentals and advances in magnesium alloy corrosion. Prog. Mater. Sci. 2017, 89, 92–193. [Google Scholar] [CrossRef]
- Atrens, A.; Song, G.L.; Liu, M.; Shi, Z.; Cao, F.; Dargusch, M.S. Review of recent developments in the field of magnesium corrosion. Adv. Eng. Mater. 2015, 17, 400–453. [Google Scholar] [CrossRef]
- Song, H.; Xu, Z.; Benabou, L.; Yin, Z.; Guan, H.; Yan, H.; Chao, L.; Hu, Z.; Wang, X. Sodium dodecyl sulfate (SDS) as an effective corrosion inhibitor for Mg-8Li-3Al alloy in aqueous NaCl: A combined experimental and theoretical investigation. J. Magnes. Alloys 2023, 11, 287–300. [Google Scholar] [CrossRef]
- Montemor, M.F.; Simões, A.M.; Ferreira, M.G.S.; Carmezim, M.J. Composition and corrosion resistance of cerium conversion films on the AZ31 magnesium alloy and its relation to the salt anion. Appl. Surf. Sci. 2008, 254, 1806–1814. [Google Scholar] [CrossRef]
- Adsul, S.H.; Soma Raju, K.R.C.; Sarada, B.V.; Sonawane, S.H.; Subasri, R. Evaluation of self-healing properties of inhibitor loaded nanoclay-based anticorrosive coatings on magnesium alloy AZ91D. J. Magnes. Alloys 2018, 6, 299–308. [Google Scholar] [CrossRef]
- Mingo, B.; Guo, Y.; Leiva-Garcia, R.; Connolly, B.J.; Matthews, A.; Yerokhin, A. Smart Functionalization of Ceramic-Coated AZ31 Magnesium Alloy. ACS Appl. Mater. Interfaces 2020, 12, 30833–30846. [Google Scholar] [CrossRef]
- Ji, X.; Wang, W.; Li, W.; Zhao, X.; Shi, H. pH-responsible self-healing performance of coating with dual-action core-shell electrospun fibers. J. Taiwan Inst. Chem. Eng. 2019, 104, 227–239. [Google Scholar] [CrossRef]
- Song, Y.; Tang, Y.; Fang, L.; Wu, F.; Zeng, X.; Hu, J.; Zhang, S.F.; Jiang, B.; Luo, H. Enhancement of corrosion resistance of AZ31 Mg alloys by one-step in situ synthesis of ZnAl-LDH films intercalated with organic anions (ASP, La). J. Magnes. Alloys 2020, 9, 658–667. [Google Scholar] [CrossRef]
- Wang, X.; Jing, C.; Chen, Y.; Wang, X.; Zhao, G.; Zhang, X.; Wu, L.; Liu, X.; Dong, B.; Zhang, Y. Active corrosion protection of super-hydrophobic corrosion inhibitor intercalated Mg–Al layered double hydroxide coating on AZ31 magnesium alloy. J. Magnes. Alloys 2020, 8, 291–300. [Google Scholar] [CrossRef]
- Gerengi, H.; Mielniczek, M.; Gece, G.; Solomon, M.M. Experimental and Quantum Chemical Evaluation of 8-Hydroxyquinoline as a Corrosion Inhibitor for Copper in 0.1 M HCl. Ind. Eng. Chem. Res. 2016, 55, 9614–9624. [Google Scholar] [CrossRef]
- Cicileo, G.P.; Rosales, B.M.; Varela, F.E.; Vilche, J.R. Inhibitory action of 8-HYDROXYQUINOLINE on the copper corrosion process. Corros. Sci. 1998, 40, 1915–1926. [Google Scholar] [CrossRef]
- Soliman, H.N. Influence of 8-hydroxyquinoline addition on the corrosion behavior of commercial Al and Al-HO411 alloys in NaOH aqueous media. Corros. Sci. 2011, 53, 2994–3006. [Google Scholar] [CrossRef]
- Snihirova, D.; Lamaka, S.V.; Taheri, P.; Mol, J.M.C.; Montemor, M.F. Comparison of the synergistic effects of inhibitor mixtures tailored for enhanced corrosion protection of bare and coated AA2024-T3. Surf. Coat. Technol. 2016, 303, 342–351. [Google Scholar] [CrossRef]
- Gao, H.; Li, Q.; Dai, Y.; Luo, F.; Zhang, H.X. High efficiency corrosion inhibitor 8-hydroxyquinoline and its synergistic effect with sodium dodecylbenzenesulphonate on AZ91D magnesium alloy. Corros. Sci. 2010, 52, 1603–1609. [Google Scholar] [CrossRef]
- Obot, I.B.; Ankah, N.K.; Sorour, A.A.; Gasem, Z.M.; Haruna, K. 8-Hydroxyquinoline as an alternative green and sustainable acidizing oilfield corrosion inhibitor. Sustain. Mater. Technol. 2017, 14, 1–10. [Google Scholar] [CrossRef]
- Tang, L.; Li, X.; Si, Y.; Mu, G.; Liu, G. The synergistic inhibition between 8-hydroxyquinoline and chloride ion for the corrosion of cold rolled steel in 0.5M sulfuric acid. Mater. Chem. Phys. 2006, 95, 29–38. [Google Scholar] [CrossRef]
- Zong, Q.; Wang, L.; Sun, W.; Liu, G. Active deposition of bis (8-hydroxyquinoline) magnesium coating for enhanced corrosion resistance of AZ91D alloy. Corros. Sci. 2014, 89, 127–136. [Google Scholar] [CrossRef]
- Duan, Y.H. Adsorption of fluorine and chlorine on Mg (0001) surface: A density functional theory investigation. Trans. Nonferrous Met. Soc. China 2014, 24, 1844–1852. [Google Scholar] [CrossRef]
- Chen, X.; Zou, W.; Lin, Q.; Li, R.; Xia, G.; Yu, X. The effect of oxygen coverages on hydrogenation of Mg (0001) surface. Appl. Surf. Sci. 2019, 487, 510–518. [Google Scholar] [CrossRef]
- Hrimla, M.; Bahsis, L.; Boutouil, A.; Laamari, M.R.; Julve, M.; Stiriba, S.E. Corrosion inhibition performance of a structurally well-defined 1,2,3-triazole derivative on mild steel-hydrochloric acid interface. J. Mol. Struct. 2021, 1231, 129895. [Google Scholar] [CrossRef]
- Su, H.; Wang, L.; Wu, Y.; Zhang, Y.; Zhang, J. Insight into inhibition behavior of novel ionic liquids for magnesium alloy in NaCl solution: Experimental and theoretical investigation. Corros. Sci. 2020, 165, 108410. [Google Scholar] [CrossRef]
- El Faydy, M.; Lakhrissi, B.; Jama, C.; Zarrouk, A.; Olasunkanmi, L.O.; Ebenso, E.E.; Bentiss, F. Electrochemical, surface and computational studies on the inhibition performance of some newly synthesized 8-hydroxyquinoline derivatives containing benzimidazole moiety against the corrosion of carbon steel in phosphoric acid environment. J. Mater. Res. Technol. 2020, 9, 727–748. [Google Scholar] [CrossRef]
- Gao, X.; Wu, Y.; Huang, Q.; Jiang, Y.; Ma, D.; Ren, T. The inhibition behavior of novel ionic liquids for magnesium alloy in NaCl solution: Experimental and theoretical investigation. J. Mol. Liq. 2021, 324, 114732. [Google Scholar] [CrossRef]
- Kavitha, T.; Aruna Priyankaa, B.K.; Yuvarani, N.; Sudha, N.; Inmozhi, C.; Mathammal, R. Investigation on crystal growth characterisation and molecular docking insights of 8-hydroxyquinoline. Mater. Today Proc. 2021, 36, 480–487. [Google Scholar] [CrossRef]
- Chiter, F.; Lacaze-Dufaure, C.; Tang, H.; Pébère, N. DFT studies of the bonding mechanism of 8-hydroxyquinoline and derivatives on the (111) aluminum surface. Phys. Chem. Chem. Phys. 2015, 17, 22243–22258. [Google Scholar] [CrossRef]
- Chiter, F.; Bonnet, M.L.; Lacaze-Dufaure, C.; Tang, H.; Pébère, N. Corrosion protection of Al(111) by 8-hydroxyquinoline: A comprehensive DFT study. Phys. Chem. Chem. Phys. 2018, 20, 21474–21486. [Google Scholar] [CrossRef]
- You, J.; Liu, Z. Atomistic simulation of corrosion protection of Al2Cu aluminum alloy by 8-hydroxyquinoline. Appl. Surf. Sci. 2021, 540, 148315. [Google Scholar] [CrossRef]
- Su, H.; Liu, Y.; Gao, X. Corrosion inhibition of magnesium alloy in NaCl solution by ionic liquid: Synthesis, electrochemical and theoretical studies. J. Alloys Compd. 2019, 791, 681–689. [Google Scholar] [CrossRef]
- Osipenko, M.A.; Kharytonau, D.S.; Kasach, A.A. Inhibitive effect of sodium molybdate on corrosion of AZ31 magnesium alloy in chloride solutions. Electrochim. Acta 2022, 414, 140175. [Google Scholar] [CrossRef]
- Duan, Y.H.; Zhou, S.G.; Sun, Y.; Peng, M.J. The electronic structure and phase diagram of chlorine adsorption on Mg (0001) surface. Comput. Mater. Sci. 2014, 84, 108–114. [Google Scholar] [CrossRef]
- Grimme, S. Semiempirical GGA-type density functional constructed with a long-range dispersion correction. J. Comput. Chem. 2006, 27, 1787–1799. [Google Scholar] [CrossRef]
- Wu, Y.; Zhang, Y.; Jiang, Y.; Qian, Y.; Guo, X.; Wang, L.; Zhang, J. Orange peel extracts as biodegradable corrosion inhibitor for magnesium alloy in NaCl solution: Experimental and theoretical studies. J. Taiwan Inst. Chem. Eng. 2020, 115, 35–46. [Google Scholar] [CrossRef]
- Kharitonov, D.S.; Zimowska, M.; Ryl, J.; Zieliński, A.; Osipenko, M.A.; Adamiec, J.; Wrzesińska, A.; Claesson, P.M.; Kurilo, I.I. Aqueous molybdate provides effective corrosion inhibition of WE43 magnesium alloy in sodium chloride solutions. Corros. Sci. 2021, 190, 109664. [Google Scholar] [CrossRef]
- Saei, E.; Ramezanzadeh, B.; Amini, R.; Kalajahi, M.S. Effects of combined organic and inorganic corrosion inhibitors on the nanostructure cerium based conversion coating performance on AZ31 magnesium alloy: Morphological and corrosion studies. Corros. Sci. 2017, 127, 186–200. [Google Scholar] [CrossRef]
- Wang, J.; Cao, C. Anodic desorption of inhibitor III. Mechanism of inhibitor desorption. J. Chin. Soc. Corros. Prot. 1996, 16, 6. [Google Scholar]
- Shang, W.; He, C.; Wen, Y.; Wang, Y.; Zhang, Z. Performance evaluation of triethanolamine as corrosion inhibitor for magnesium alloy in 3.5 wt% NaCl solution. Rsc Adv. 2016, 6, 113967–113980. [Google Scholar] [CrossRef]
- Baril, G.; Pébère, N. The corrosion of pure magnesium in aerated and deaerated sodium sulphate solutions. Corros. Sci. 2001, 43, 471–484. [Google Scholar] [CrossRef]
- Li, S.M.; Zhang, H.R.; Liu, J.H. Corrosion behavior of aluminum alloy 2024-T3 by 8-hydroxy-quinoline and its derivative in 3.5% chloride solution. Trans. Nonferrous Met. Soc. China 2007, 17, 318–325. [Google Scholar] [CrossRef]
- Verma, C.; Sorour, A.A.; Ebenso, E.E.; Quraishi, M.A. Inhibition performance of three naphthyridine derivatives for mild steel corrosion in 1M HCl: Computation and experimental analyses. Results Phys. 2018, 10, 504–511. [Google Scholar] [CrossRef]
- Fernandes, C.M.; Alvarez, L.X.; Santos, N.E.; Maldonado, A.C.; Ponzio, E.A. Green synthesis of 1-benzyl-4-phenyl-1H- 1,2,3-triazole, its application as corrosion inhibitor for mild steel in acidic medium and new approach of classical electrochemical analyses. Corros. Sci. 2019, 149, 185–194. [Google Scholar] [CrossRef]
- Jiang, Y.; Liu, Y.; Gao, S.; Guo, X.; Zhang, J. Experimental and theoretical studies on corrosion inhibition behavior of three imidazolium-based ionic liquids for magnesium alloys in sodium chloride solution. J. Mol. Liq. 2021, 345, 116998. [Google Scholar] [CrossRef]
- Talebian, M.; Raeissi, K.; Atapour, M.; Fernández-Pérez, B.M.; Salarvand, Z.; Meghdadi, S.; Amirnasr, M.; Souto, R.M. Inhibitive effect of sodium (E)-4-(4-nitrobenzylideneamino)benzoate on the corrosion of some metals in sodium chloride solution. Appl. Surf. Sci. 2018, 447, 852–865. [Google Scholar] [CrossRef]
- Ballerini, G.; Bardi, U.; Bignucolo, R.; Ceraolo, G. About some corrosion mechanisms of AZ91D magnesium alloy. Corros. Sci. 2005, 47, 2173–2184. [Google Scholar] [CrossRef]
- Ma, L.; Li, W.; Zhu, S.; Wang, L.; Guan, S. Corrosion inhibition of Schiff bases for Mg-Zn-Y-Nd alloy in normal saline: Experimental and theoretical investigations. Corros. Sci. 2021, 184, 109268. [Google Scholar] [CrossRef]
- Kaseem, M.; Ko, Y.G. Formation of flower-like structures for optimizing the corrosion resistance of Mg alloy. Mater. Lett. 2018, 221, 196–200. [Google Scholar] [CrossRef]
- Zhang, Y.; Wu, Y.; Li, N.; Jiang, Y.; Qian, Y.; Wang, L.; Zhang, J. Synergistic inhibition effect of L-Phenylalanine and zinc salts on chloride-induced corrosion of magnesium alloy: Experimental and theoretical investigation. J. Taiwan Inst. Chem. Eng. 2021, 121, 48–60. [Google Scholar] [CrossRef]
- Dhar, H.P.; Conway, B.E.; Joshi, K.M. On the form of adsorption isotherms for substitutional adsorption of molecules of different sizes. Electrochim. Acta 1973, 18, 789–798. [Google Scholar] [CrossRef]
- Zarrouk, A.; Hammouti, B.; Dafali, A.; Bentiss, F. Inhibitive Properties and adsorption of purpald as a corrosion inhibitor for copper in nitric acid medium. Ind. Eng. Chem. Res. 2013, 52, 2560–2568. [Google Scholar] [CrossRef]
- Galai, M.; Rbaa, M.; Ouakki, M.; Guo, L.; Dahmani, K.; Nouneh, K.; Briche, S.; Lakhrissi, B.; Dkhireche, N.; Ebn Touhami, M. Effect of alkyl group position on adsorption behavior and corrosion inhibition of new naphthol based on 8-hydroxyquinoline: Electrochemical, surface, quantum calculations and dynamic simulations. J. Mol. Liq. 2021, 335, 116552. [Google Scholar] [CrossRef]
- Shen, S.; Zuo, Y.; Zhao, X. The effects of 8-hydroxyquinoline on corrosion performance of a Mg-rich coating on AZ91D magnesium alloy. Corros. Sci. 2013, 76, 275–283. [Google Scholar] [CrossRef]
- Gopiraman, M.; Selvakumaran, N.; Kesavan, D.; Karvembu, R. Adsorption and corrosion inhibition behaviour of N-(phenylcarbamothioyl)benzamide on mild steel in acidic medium. Prog. Org. Coat. 2012, 73, 104–111. [Google Scholar] [CrossRef]
- Aljourani, J.; Raeissi, K.; Golozar, M.A. Benzimidazole and its derivatives as corrosion inhibitors for mild steel in 1M HCl solution. Corros. Sci. 2009, 51, 1836–1843. [Google Scholar] [CrossRef]
- Noor, E.; Al-Moubaraki, A. Thermodynamic study of metal corrosion and inhibitor adsorption processes in mild steel/1-methyl-4[4′(-X)-styryl pyridinium iodides/hydrochloric acid systems. Mater. Chem. Phys. 2008, 110, 145–154. [Google Scholar] [CrossRef]
- Behpour, M.; Ghoreishi, S.M.; Soltani, N.; Salavati-Niasari, M. The inhibitive effect of some bis-N,S-bidentate Schiff bases on corrosion behaviour of 304 stainless steel in hydrochloric acid solution. Corros. Sci. 2009, 51, 1073–1082. [Google Scholar] [CrossRef]
- Duan, Y.H.; Sun, Y.; Zhou, S.G. Different coverages of fluorine adsorption on Mg (0001) surface. Comput. Mater. Sci. 2013, 72, 81–85. [Google Scholar] [CrossRef]
- Wang, D.; Yang, D.; Zhang, D.; Li, K.; Gao, L.; Lin, T. Electrochemical and DFT studies of quinoline derivatives on corrosion inhibition of AA5052 aluminium alloy in NaCl solution. Appl. Surf. Sci. 2015, 357, 2176–2183. [Google Scholar] [CrossRef]
- Thirumalaikumarasamy, D.; Shanmugam, K.; Balasubramanian, V. Influence of chloride ion concentration on immersion corrosion behaviour of plasma sprayed alumina coatings on AZ31B magnesium alloy. J. Magnes. Alloys 2014, 2, 325–334. [Google Scholar] [CrossRef]
Disclaimer/Publisher’s Note: The statements, opinions and data contained in all publications are solely those of the individual author(s) and contributor(s) and not of MDPI and/or the editor(s). MDPI and/or the editor(s) disclaim responsibility for any injury to people or property resulting from any ideas, methods, instructions or products referred to in the content. |
© 2023 by the authors. Licensee MDPI, Basel, Switzerland. This article is an open access article distributed under the terms and conditions of the Creative Commons Attribution (CC BY) license (https://creativecommons.org/licenses/by/4.0/).













