Energy Distribution of Sputtered Atoms Explored by SRIM Simulations
Abstract
:1. Introduction
2. SRIM Simulation Details
2.1. The Energy Distribution Function of Sputtered Atoms
2.2. The Average Energy of Sputtered Atoms
3. Results of SRIM Simulations
3.1. Energy Distribution Functions of Sputtered Atoms
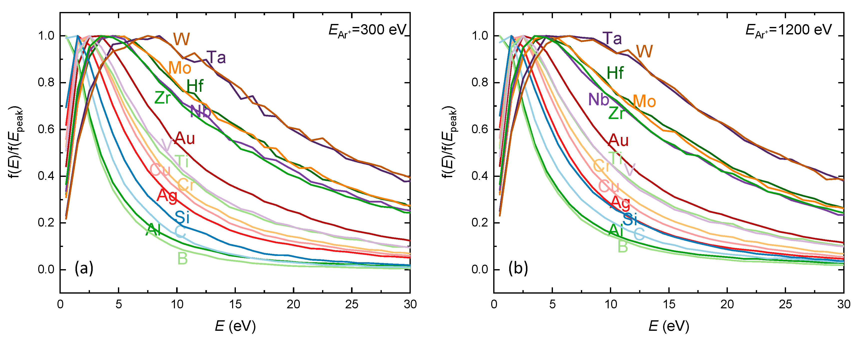
3.1.1. Total Energy Distribution Functions
3.1.2. Angular Energy Distribution Functions
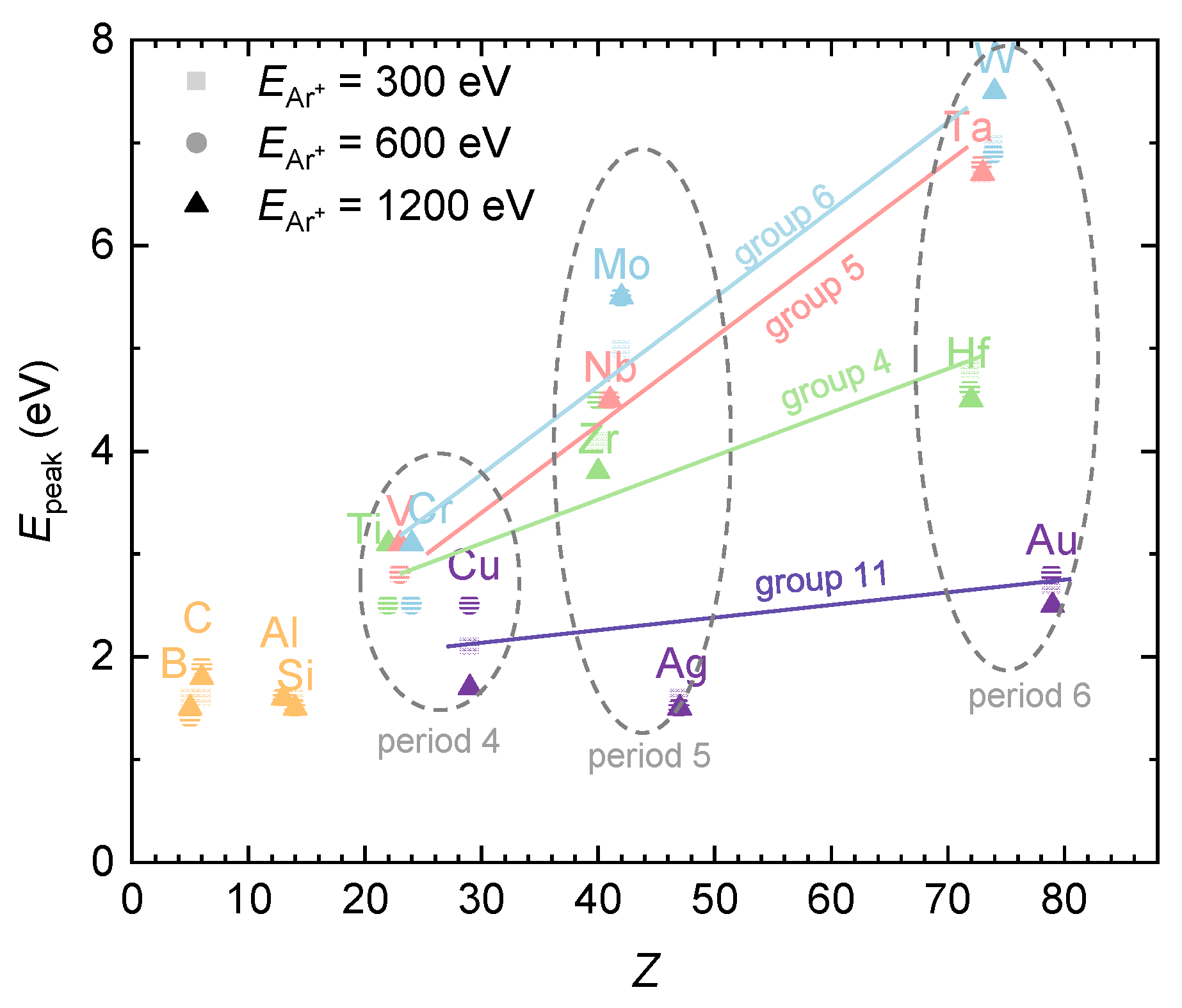
3.2. Average Energy of Sputtered Particles
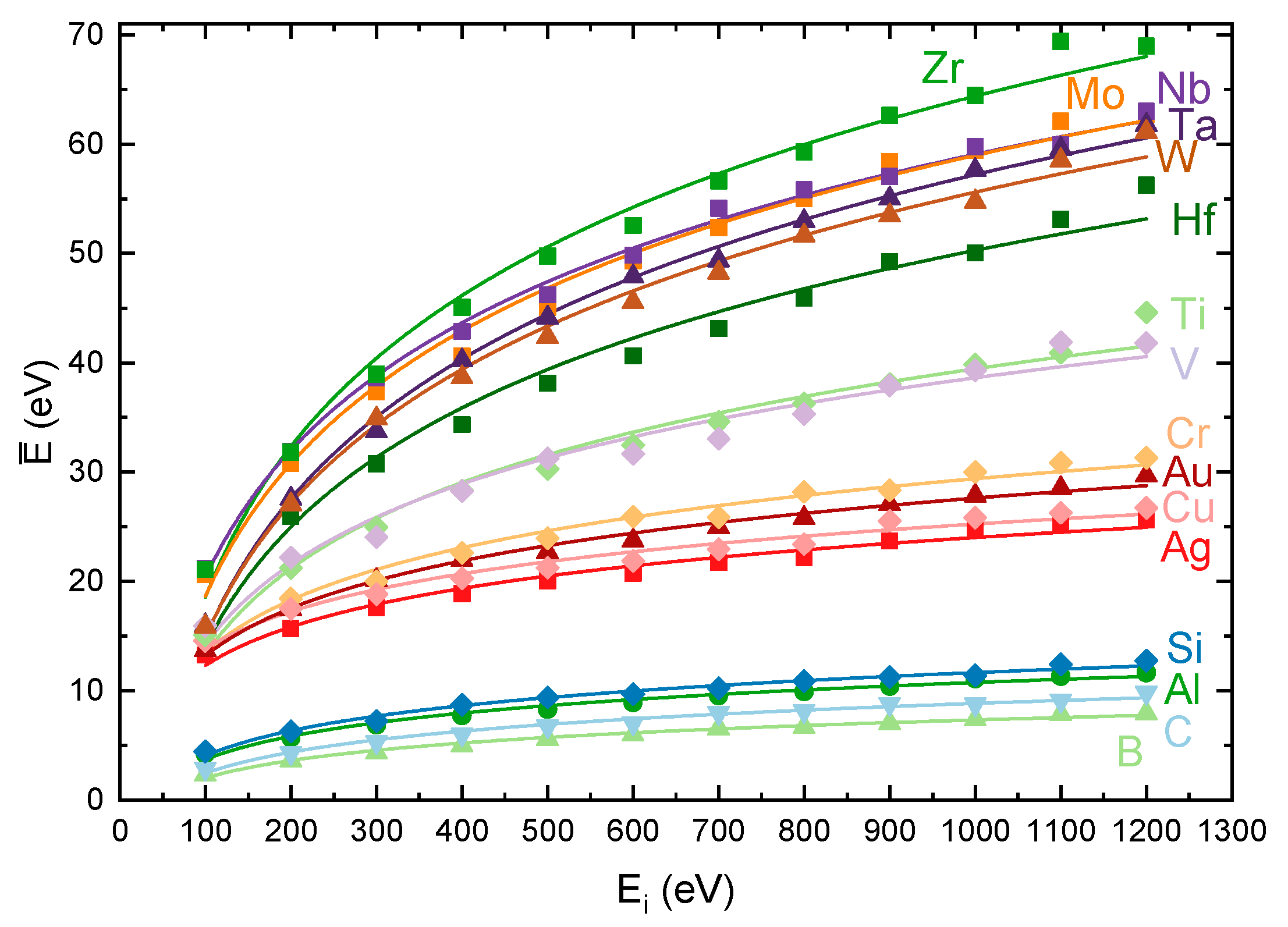
3.2.1. Total Average Energy of Sputtered Atoms
| Elem. | Z | Λ | Emsb | a | b | 
|---|---|---|---|---|---|
| B | 5 | 0.670 | 2.8 | 0.82 | 1.90 | 
| C | 6 | 0.711 | 3.6 | 0.77 | 1.62 | 
| Al | 13 | 0.962 | 2.8 | 1.09 | 2.54 | 
| Si | 14 | 0.970 | 3.8 | 0.87 | 1.76 | 
| Ti | 22 | 0.992 | 5.2 | 2.18 | 3.88 | 
| V | 23 | 0.985 | 5.5 | 1.93 | 2.97 | 
| Cr | 24 | 0.983 | 4.9 | 1.41 | 1.47 | 
| Cu | 29 | 0.948 | 4.3 | 1.15 | 0.37 | 
| Zr | 40 | 0.847 | 8.3 | 2.40 | 3.34 | 
| Nb | 41 | 0.841 | 9.0 | 1.87 | 1.92 | 
| Mo | 42 | 0.830 | 10.0 | 1.75 | 1.85 | 
| Ag | 47 | 0.789 | 3.2 | 1.59 | 1.24 | 
| Hf | 72 | 0.598 | 9.5 | 1.66 | 1.56 | 
| Ta | 73 | 0.593 | 13.5 | 1.36 | 0.92 | 
| W | 74 | 0.587 | 14.0 | 1.26 | 0.74 | 
| Au | 79 | 0.561 | 5.5 | 1.14 | 0.25 | 
3.2.2. Angular Average Energies of Sputtered Atoms
4. Discussion
4.1. Energy Distribution Functions of Sputtered Atoms
4.1.1. Total Energy Distribution Functions
4.1.2. Angular Energy Distribution Functions
4.2. Average Energy of Sputtered Atoms
4.2.1. Total Average Energy of Sputtered Atoms
4.2.2. Angular Average Energies of Sputtered Atoms
5. Conclusions
Author Contributions
Funding
Institutional Review Board Statement
Informed Consent Statement
Data Availability Statement
Conflicts of Interest
References
- Frey, H.; Khan, H.R. Handbook of Thin Film Technology; Springer Berlin Heidelberg: Berlin/Heidelberg, Germany, 2015. [Google Scholar]
- Panjan, M. Influence of substrate rotation and target arrangement on the periodicity and uniformity of layered coatings. Surf. Coat. Technol. 2013, 235, 32–44. [Google Scholar] [CrossRef]
- Petrov, I.; Adibi, F.; Greene, J.; Hultman, L.; Sundgren, J.E. Average energy deposited per atom: A universal parameter for describing ion-assisted film growth? Appl. Phys. Lett. 1993, 63, 36–38. [Google Scholar] [CrossRef]
- Greene, J.; Sundgren, J.E.; Hultman, L.; Petrov, I.; Bergstrom, D. Development of preferred orientation in polycrystalline TiN layers grown by ultrahigh vacuum reactive magnetron sputtering. Appl. Phys. Lett. 1995, 67, 2928–2930. [Google Scholar] [CrossRef]
- Musil, J.; Poláková, H.; Šuna, J.; Vlček, J. Effect of ion bombardment on properties of hard reactively sputtered Ti(Fe)Nx films. Surf. Coat. Technol. 2004, 177–178, 289–298. [Google Scholar] [CrossRef]
- Greczynski, G.; Lu, J.; Jensen, J.; Bolz, S.; Kölker, W.; Schiffers, C.; Lemmer, O.; Greene, J.E.; Hultman, L. A review of metal-ion-flux-controlled growth of metastable TiAlN by HIPIMS/DCMS co-sputtering. Surf. Coat. Technol. 2014, 257, 15–25. [Google Scholar] [CrossRef]
- Xia, J.; Liang, W.; Miao, Q.; Depla, D. The effect of energy and momentum transfer during magnetron sputter deposition of yttrium oxide thin films. Appl. Surf. Sci. 2018, 439, 545–551. [Google Scholar] [CrossRef]
- Greczynski, G.; Mráz, S.; Schneider, J.M.; Hultman, L. Metal-ion subplantation: A game changer for controlling nanostructure and phase formation during film growth by physical vapor deposition. J. Appl. Phys. 2020, 127, 180901. [Google Scholar] [CrossRef]
- Anders, A. A structure zone diagram including plasma-based deposition and ion etching. Thin Solid Film. 2010, 518, 4087–4090. [Google Scholar] [CrossRef]
- Barranco, A.; Borras, A.; Gonzalez-Elipe, A.R.; Palmero, A. Perspectives on oblique angle deposition of thin films: From fundamentals to devices. Prog. Mater Sci. 2016, 76, 59–153. [Google Scholar] [CrossRef]
- Goehlich, A.; Gillmann, D.; Döbele, H.F. Angular resolved energy distributions of sputtered atoms at low bombarding energy. Nucl. Instrum. Methods Phys. Res. Sect. B Interact. Mater. At. 2000, 164–165, 834–839. [Google Scholar] [CrossRef]
- Goehlich, A.; Niemöller, N.; Döbele, H.F. Anisotropy effects in physical sputtering investigated by laser-induced fluorescence spectroscopy. Phys. Rev. B 2000, 62, 9349–9358. [Google Scholar] [CrossRef]
- Goehlich, A.; Gillmann, D.; Döbele, H. An experimental investigation of angular resolved energy distributions of atoms sputtered from evaporated aluminum films. Nucl. Instrum. Methods Phys. Res. Sect. B Interact. Mater. At. 2001, 179, 351–363. [Google Scholar] [CrossRef]
- Dembowski, J.; Oechsner, H.; Yamamura, Y.; Urbassek, M. Energy distributions of neutral atoms sputtered from Cu, V and Nb under different bombardment and ejection angles. Nucl. Instrum. Methods Phys. Res. Sect. B Interact. Mater. At. 1986, 18, 464–470. [Google Scholar] [CrossRef]
- Betz, G.; Wien, K. Energy and angular distributions of sputtered particles. Int. J. Mass Spectrom. Ion Process. 1994, 140, 1–110. [Google Scholar] [CrossRef]
- Feder, R.; Bundesmann, C.; Neumann, H.; Rauschenbach, B. Ion beam sputtering of Ag–Angular and energetic distributions of sputtered and scattered particles. Nucl. Instrum. Methods Phys. Res. Sect. B Interact. Mater. At. 2013, 316, 198–204. [Google Scholar] [CrossRef]
- Lautenschläger, T.; Feder, R.; Neumann, H.; Rice, C.; Schubert, M.; Bundesmann, C. Ion beam sputtering of Ti: Influence of process parameters on angular and energy distribution of sputtered and backscattered particles. Nucl. Instrum. Methods Phys. Res. Sect. B Interact. Mater. At. 2016, 385, 30–39. [Google Scholar] [CrossRef]
- Bundesmann, C.; Feder, R.; Lautenschläger, T.; Neumann, H. Energy Distribution of Secondary Particles in Ion Beam Deposition Process of Ag: Experiment, Calculation and Simulation. Contrib. Plasma Phys. 2015, 55, 737–746. [Google Scholar] [CrossRef]
- Panjan, M.; Franz, R.; Anders, A. Asymmetric particle fluxes from drifting ionization zones in sputtering magnetrons. Plasma Sources Sci. Technol. 2014, 23, 025007. [Google Scholar] [CrossRef]
- Franz, R.; Clavero, C.; Kolbeck, J.; Anders, A. Influence of ionisation zone motion in high power impulse magnetron sputtering on angular ion flux and NbO x film growth. Plasma Sources Sci. Technol. 2016, 25, 015022. [Google Scholar] [CrossRef]
- Kalanov, D.; Anders, A.; Bundesmann, C. Ion beam sputtering of silicon: Energy distributions of sputtered and scattered ions. J. Vac. Sci. Technol. A 2019, 37, 051507. [Google Scholar] [CrossRef]
- Zeuner, M.; Neumann, H.; Meichsner, J. Ion energy distributions in a dc biased rf discharge. J. Appl. Phys. 1997, 81, 2985. [Google Scholar] [CrossRef]
- Benedikt, J.; Hecimovic, A.; Ellerweg, D.; von Keudell, A. Quadrupole mass spectrometry of reactive plasmas. J. Phys. D Appl. Phys 2012, 45, 403001. [Google Scholar] [CrossRef]
- Benedikt, J.; Kersten, H.; Piel, A. Foundations of measurement of electrons, ions and species fluxes toward surfaces in low-temperature plasmas. Plasma Sources Sci. Technol. 2021, 30, 033001. [Google Scholar] [CrossRef]
- Dullni, E. Laser fluorescence measurements of the flux density of titanium sputtered from an oxygen covered surface. Appl. Phys. A 1985, 38, 131–138. [Google Scholar] [CrossRef]
- Berres, W.; Rusbüldt, D.; Hintz, E.; Bay, H.L. An investigation of laser-induced fluorescence for measuring velocity distributions of neutral atoms using a CW dye laser. Appl. Phys. B 1984, 35, 83–93. [Google Scholar] [CrossRef]
- Goehlich, A. Investigation of time-of-flight and energy distributions of atoms and molecules sputtered from oxygen-covered metal surfaces by laser-aided techniques. Appl. Phys. A 2001, 72, 523–529. [Google Scholar] [CrossRef]
- Hintz, E.; Rusbüldt, D.; Schweer, B.; Bohdansky, J.; Roth, J.; Martinelli, A. The determination of the flux density of sputtered atoms by means of pulsed dye laser excited fluorescence. J. Nucl. Mater. 1980, 93, 656–663. [Google Scholar] [CrossRef]
- Husinsky, W.; Betz, G.; Girgis, I.; Viehböck, F.; Bay, H. Velocity distributions and sputtering yields of chromium atoms under argon, oxygen and carbon ion bombardment. J. Nucl. Mater. 1984, 128, 577–582. [Google Scholar] [CrossRef]
- Husinsky, W. The application of Doppler shift laser fluorescence spectroscopy for the detection and energy analysis of particles evolving from surfaces. J. Vac. Sci. Technol. B 1985, 3, 1546–1559. [Google Scholar] [CrossRef]
- Pellin, M.; Wright, R.; Gruen, D. Laser fluorescence spectroscopy of sputtered zirconium atoms. J. Chem. Phys. 1981, 74, 6448–6457. [Google Scholar] [CrossRef]
- Thompson, M.W., II. The energy spectrum of ejected atoms during the high energy sputtering of gold. Philos. Mag. 1968, 18, 377–414. [Google Scholar] [CrossRef]
- Sigmund, P. Theory of Sputtering. I. Sputtering Yield of Amorphous and Polycrystalline Targets. Phys. Rev. 1969, 184, 383. [Google Scholar]
- Stepanova, M.; Dew, S. Estimates of differential sputtering yields for deposition applications. J. Vac. Sci. Technol. A 2001, 19, 2805–2816. [Google Scholar] [CrossRef]
- Stepanova, M.; Dew, S. Anisotropic energies of sputtered atoms under oblique ion incidence. Nucl. Instrum. Methods Phys. Res. Sect. B Interact. Mater. At. 2004, 215, 357–365. [Google Scholar] [CrossRef]
- Mahne, N.; Čekada, M.; Panjan, M. Total and Differential Sputtering Yields Explored by SRIM Simulations. Coatings 2022, 12, 1541. [Google Scholar] [CrossRef]
- Ziegler, J.F.; Ziegler, M.D.; Biersack, J.P. SRIM–The stopping and range of ions in matter (2010). Nucl. Instrum. Methods Phys. Res. Sect. B Interact. Mater. At. 2010, 268, 1818–1823. [Google Scholar] [CrossRef]
- Eckstein, W. Computer Simulation of Ion-Solid Interactions; Springer Science & Business Media: Berlin/Heidelberg, Germany, 2013; Volume 10. [Google Scholar]
- Behrisch, R. Sputtering by Particle Bombardment I: Physical Sputtering of Single-Element Solids; Springer: Berlin/Heidelberg, Germany, 1981. [Google Scholar]
- Depla, D. Magnetrons, Reactive Gases and Sputtering. 2019. Available online: Lulu.com (accessed on 21 July 2023).
- Held, J.; Hecimovic, A.; von Keudell, A.; Schulz-von der Gathen, V. Velocity distribution of titanium neutrals in the target region of high power impulse magnetron sputtering discharges. Plasma Sources Sci. Technol. 2018, 27, 105012. [Google Scholar] [CrossRef]
- Behrisch, R.; Eckstein, W. Sputtering by Particle Bombardment: Experiments and Computer Calculations from Threshold to MeV Energies; Springer: Berlin/Heidelberg, Germany, 2007. [Google Scholar]
- Sigmund, P. Mechanisms and theory of physical sputtering by particle impact. Nucl. Instrum. Methods Phys. Res. Sect. B: Interact. Mater. At. 1987, 27, 1–20. [Google Scholar] [CrossRef]
- Hofsäss, H.; Zhang, K.; Mutzke, A. Simulation of ion beam sputtering with SDTrimSP, TRIDYN and SRIM. Appl. Surf. Sci. 2014, 310, 134–141. [Google Scholar] [CrossRef]
- Shulga, V.I. Note on the artefacts in SRIM simulation of sputtering. Appl. Surf. Sci. 2018, 439, 456–461. [Google Scholar] [CrossRef]
- Wittmaack, K. Reliability of a popular simulation code for predicting sputtering yields of solids and ranges of low-energy ions. J. Appl. Phys. 2004, 96, 2632–2637. [Google Scholar] [CrossRef]
- Thompson, M.W.; Colligon, J.S.; Grove, W.R. Sputtering: Past, Present and Future, W.R. Grove 150th Anniversary Issue: Papers of a Theme Issue; Royal Society: London, UK, 2004. [Google Scholar]
- Eckstein, W. Energy distributions of sputtered particles. Nucl. Instrum. Methods Phys. Res. Sect. B Interact. Mater. 1986, 18, 344–348. [Google Scholar] [CrossRef]
- Brizzolara, R.A.; Cooper, C.B.; Olson, T.K. Energy distributions of neutral atoms sputtered by very low energy heavy ions. Nucl. Instrum. Methods Phys. Res. Sect. B Interact. Mater. 1988, 35, 36–42. [Google Scholar] [CrossRef]
- Feder, R.; Frost, F.; Neumann, H.; Bundesmann, C.; Rauschenbach, B. Systematic investigations of low energy Ar ion beam sputtering of Si and Ag. Nucl. Instrum. Methods Phys. Res. Sect. B Interact. Mater. 2013, 317, 137–142. [Google Scholar] [CrossRef]
- Feder, R.; Bundesmann, C.; Neumann, H.; Rauschenbach, B. Ion beam sputtering of germanium—Energy and angular distribution of sputtered and scattered particles. Nucl. Instrum. Methods Phys. Res. Sect. B Interact. Mater. 2014, 334, 88–95. [Google Scholar] [CrossRef]


















| Elem. | Z | M (amu) | S-T | SRIM | SRIM | SRIM | SRIM | |
|---|---|---|---|---|---|---|---|---|
| B | 5 | 10.81 | 2.8 | 1.4 | 0.49 | 0.72 | 0.72 | 0.64 | 
| C | 6 | 12.01 | 3.6 | 1.8 | 0.75 | 0.94 | 0.95 | 0.88 | 
| Al | 13 | 26.98 | 2.8 | 1.4 | 0.65 | 0.72 | 0.72 | 0.70 | 
| Si | 14 | 28.08 | 3.8 | 1.9 | 1.15 | 1.25 | 1.35 | 1.25 | 
| Ti | 22 | 47.85 | 5.2 | 2.6 | 2.25 | 2.25 | 2.25 | 2.25 | 
| V | 23 | 50.94 | 5.5 | 2.8 | 2.27 | 2.25 | 2.25 | 2.26 | 
| Cr | 24 | 51.99 | 4.9 | 2.5 | 1.95 | 1.83 | 1.83 | 1.87 | 
| Cu | 29 | 63.55 | 4.3 | 2.2 | 1.83 | 1.75 | 1.75 | 1.78 | 
| Zr | 40 | 91.22 | 8.3 | 4.2 | 4.15 | 4.05 | 4.05 | 4.08 | 
| Nb | 41 | 92.91 | 9.0 | 4.5 | 4.25 | 4.05 | 4.05 | 4.12 | 
| Mo | 42 | 95.95 | 10.0 | 5.0 | 4.55 | 4.35 | 4.27 | 4.39 | 
| Ag | 47 | 107.87 | 3.2 | 1.6 | 1.61 | 1.55 | 1.53 | 1.56 | 
| Hf | 72 | 178.49 | 9.5 | 4.8 | 4.55 | 4.35 | 4.35 | 4.42 | 
| Ta | 73 | 180.95 | 13.5 | 6.8 | 6.25 | 5.75 | 5.75 | 5.92 | 
| W | 74 | 183.84 | 14.0 | 7.0 | 6.35 | 5.85 | 5.83 | 6.01 | 
| Au | 79 | 196.97 | 5.5 | 2.8 | 2.72 | 2.71 | 2.55 | 2.66 | 
| ELEM. | Z | Λ | Emsb | n Ei = 300 eV | n Ei = 600 eV | n Ei = 1200 eV | 
|---|---|---|---|---|---|---|
| Si | 14 | 0.970 | 3.8 | 3.63 | 3.48 | 3.35 | 
| Ti | 22 | 0.992 | 5.2 | 3.21 | 3.21 | 3.15 | 
| V | 23 | 0.985 | 5.5 | 3.26 | 3.27 | 3.25 | 
| Cr | 24 | 0.983 | 4.9 | 3.33 | 3.34 | 3.32 | 
| Cu | 29 | 0.948 | 4.3 | 3.24 | 3.27 | 3.27 | 
| Zr | 40 | 0.847 | 8.3 | 3.02 | 3.04 | 3.02 | 
| Nb | 41 | 0.841 | 9.0 | 3.08 | 3.14 | 3.14 | 
| Mo | 42 | 0.830 | 10.0 | 3.13 | 3.20 | 3.20 | 
| Ag | 47 | 0.789 | 3.2 | 3.07 | 3.12 | 3.04 | 
| Hf | 72 | 0.598 | 9.5 | 3.07 | 3.12 | 3.10 | 
| Ta | 73 | 0.593 | 13.5 | 3.12 | 3.23 | 3.23 | 
| W | 74 | 0.587 | 14.0 | 3.15 | 3.25 | 3.27 | 
| Au | 79 | 0.561 | 5.5 | 3.03 | 3.09 | 3.09 | 
| Element | ||||||
|---|---|---|---|---|---|---|
| Ti | 0.39 | 28.82 | 0.63 | 45.36 | 0.89 | 63.60 | 
| V | 0.44 | 27.14 | 0.72 | 42.43 | 1.04 | 58.83 | 
| Cr | 0.61 | 23.05 | 1.05 | 35.13 | 1.55 | 48.19 | 
| Mn | 0.90 | 18.97 | 1.53 | 29.10 | 2.26 | 39.91 | 
| Fe | 0.77 | 20.51 | 1.34 | 31.10 | 2.01 | 42.32 | 
| Co | 0.86 | 19.41 | 1.52 | 29.20 | 2.32 | 39.39 | 
| Ni | 0.94 | 18.57 | 1.70 | 27.61 | 2.60 | 37.21 | 
| Cu | 1.09 | 17.24 | 1.98 | 25.58 | 3.08 | 34.19 | 
| Zn | 3.44 | 9.70 | 6.40 | 14.23 | 10.11 | 18.87 | 
| Zr | 0.41 | 28.11 | 0.66 | 44.31 | 0.95 | 61.56 | 
| Nb | 0.41 | 28.11 | 0.69 | 43.34 | 1.00 | 60.00 | 
| Mo | 0.43 | 27.45 | 0.73 | 42.13 | 1.07 | 58.00 | 
| Tc | 1.48 | 14.80 | 2.51 | 22.72 | 3.70 | 31.19 | 
| Ru | 0.63 | 22.68 | 1.07 | 34.80 | 1.60 | 47.43 | 
| Rh | 0.75 | 20.78 | 1.29 | 31.70 | 1.93 | 43.19 | 
| Pd | 1.10 | 17.16 | 1.92 | 25.98 | 2.90 | 35.23 | 
| Ag | 1.36 | 15.43 | 2.39 | 23.29 | 3.63 | 31.49 | 
| Cd | 3.38 | 9.79 | 6.04 | 14.65 | 9.25 | 19.73 | 
| Hf | 0.44 | 27.14 | 0.73 | 42.13 | 1.06 | 58.28 | 
| Ta | 0.36 | 30.00 | 0.61 | 46.09 | 0.88 | 63.96 | 
| W | 0.40 | 28.46 | 0.69 | 43.34 | 1.02 | 59.41 | 
| Re | 0.60 | 23.24 | 1.03 | 35.47 | 1.52 | 48.67 | 
| Os | 0.64 | 22.50 | 1.09 | 34.48 | 1.63 | 47.00 | 
| Ir | 0.76 | 20.65 | 1.32 | 31.33 | 1.98 | 42.64 | 
| Pt | 0.91 | 18.87 | 1.60 | 28.46 | 2.42 | 38.57 | 
| Au | 1.00 | 18.00 | 1.77 | 27.06 | 2.69 | 36.58 | 
| Disclaimer/Publisher’s Note: The statements, opinions and data contained in all publications are solely those of the individual author(s) and contributor(s) and not of MDPI and/or the editor(s). MDPI and/or the editor(s) disclaim responsibility for any injury to people or property resulting from any ideas, methods, instructions or products referred to in the content. | 
© 2023 by the authors. Licensee MDPI, Basel, Switzerland. This article is an open access article distributed under the terms and conditions of the Creative Commons Attribution (CC BY) license (https://creativecommons.org/licenses/by/4.0/).
Share and Cite
Mahne, N.; Čekada, M.; Panjan, M. Energy Distribution of Sputtered Atoms Explored by SRIM Simulations. Coatings 2023, 13, 1448. https://doi.org/10.3390/coatings13081448
Mahne N, Čekada M, Panjan M. Energy Distribution of Sputtered Atoms Explored by SRIM Simulations. Coatings. 2023; 13(8):1448. https://doi.org/10.3390/coatings13081448
Chicago/Turabian StyleMahne, Nastja, Miha Čekada, and Matjaž Panjan. 2023. "Energy Distribution of Sputtered Atoms Explored by SRIM Simulations" Coatings 13, no. 8: 1448. https://doi.org/10.3390/coatings13081448
APA StyleMahne, N., Čekada, M., & Panjan, M. (2023). Energy Distribution of Sputtered Atoms Explored by SRIM Simulations. Coatings, 13(8), 1448. https://doi.org/10.3390/coatings13081448
 
        


 
       