Postharvest Application of Novel Bio-Based Antifungal Composite Edible Coatings to Reduce Sour Rot and Quality Losses of ‘Valencia’ Oranges
Abstract
1. Introduction
2. Materials and Methods
2.1. Antifungal Bioactive Agents and Coating Matrix Ingredients
2.2. Preparation of Inoculum of G. citri-aurantii
2.3. In Vitro Inhibition of G. citri-aurantii
2.4. Bio-Based Coating Preparation
2.5. Orange Fruit
2.6. Effect of Antifungal Edible Coatings on Sour Rot Development
2.7. Impact of Bio-Based Coatings on Orange Quality during Shelf Life at 20 °C
2.7.1. Fruit Weight Loss
2.7.2. Fruit Firmness
2.7.3. Juice Physicochemical Quality
2.7.4. Sensory Quality
2.8. Statistical Analysis
3. Results
3.1. In Vitro Inhibitory Activity of Natural Agents against G. citri-aurantii
3.2. Effect of Antifungal Edible Coatings on Sour Rot Development and Quality of Oranges
3.2.1. In Vivo Sour Rot Control
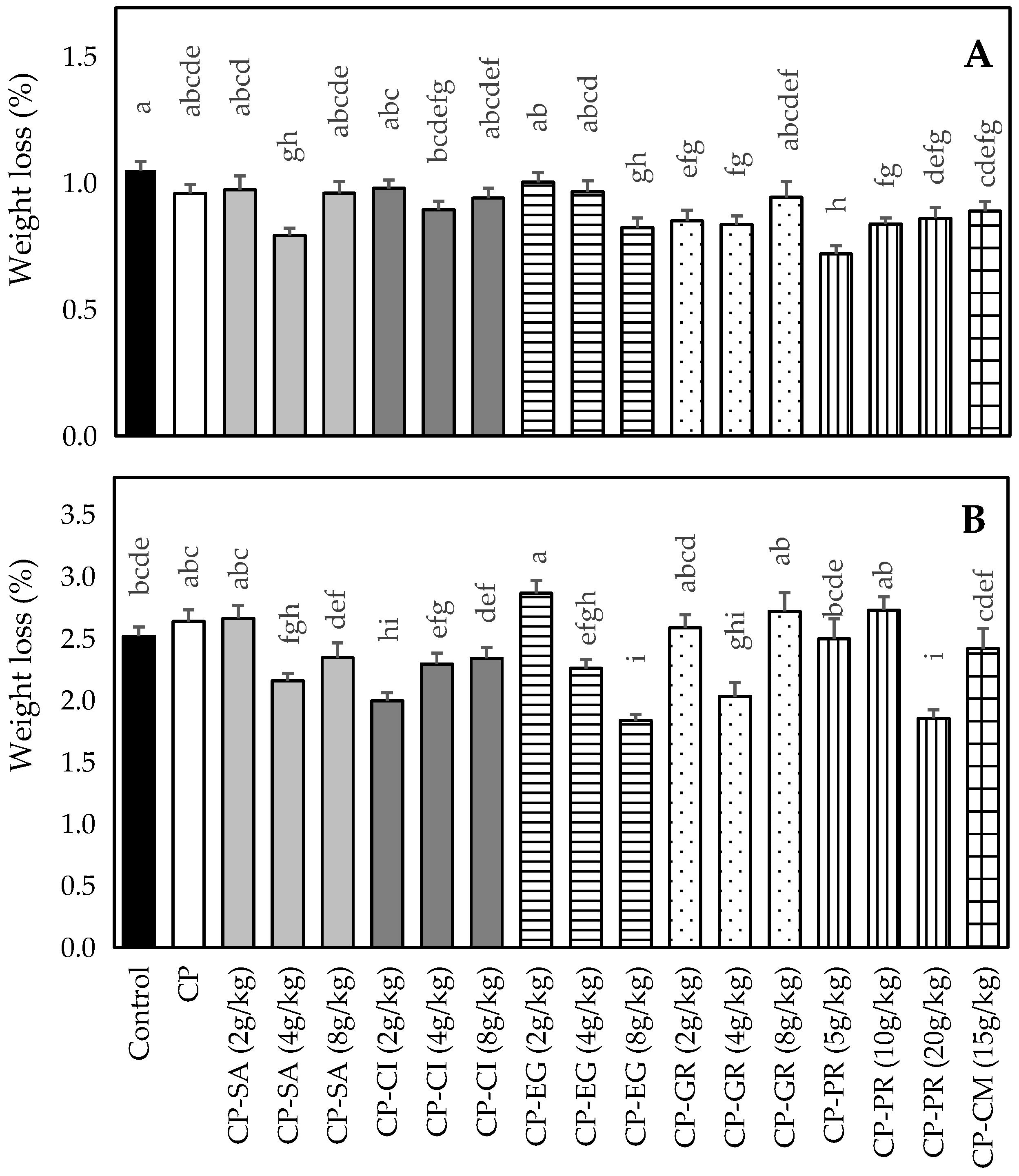
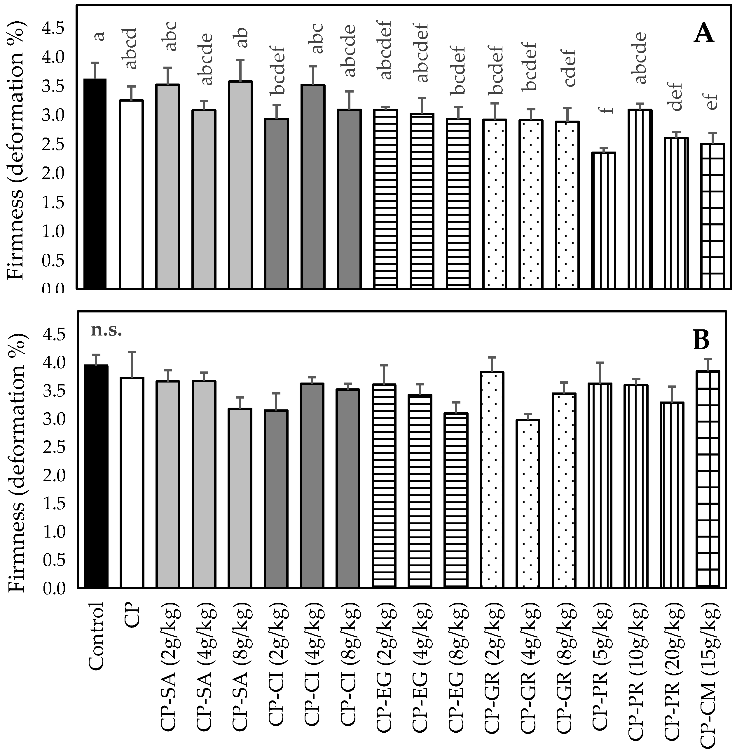
3.2.2. Fruit Weight Loss and Firmness
3.2.3. Internal Physicochemical Quality and Sensory Evaluation
4. Discussion
5. Conclusions
Author Contributions
Funding
Institutional Review Board Statement
Informed Consent Statement
Data Availability Statement
Acknowledgments
Conflicts of Interest
References
- Soto-Muñoz, L.; Pérez-Gago, M.B.; Martínez-Blay, V.; Palou, L. Postharvest Application of Potato Starch Edible Coatings with Sodium Benzoate to Reduce Sour Rot and Preserve Mandarin Fruit Quality. Coatings 2023, 13, 296. [Google Scholar] [CrossRef]
- Adaskaveg, J.E.; Förster, H. Postharvest Diseases of Citrus. In Postharvest Pathology of Fruit and Nut Crops: Principles, Concepts, and Management Practices; Adaskaveg, J.E., Förster, H., Prusky, D.B., Eds.; APS Press: St. Paul, MN, USA, 2022; pp. 403–422. ISBN 9780890546673. [Google Scholar]
- Soto-Muñoz, L.; Taberner, V.; de la Fuente, B.; Jerbi, N.; Palou, L. Curative Activity of Postharvest GRAS Salt Treatments to Control Citrus Sour Rot Caused by Geotrichum citri-aurantii. Int. J. Food Microbiol. 2020, 335, 108860. [Google Scholar] [CrossRef]
- Felicia, W.X.L.; Rovina, K.; Vonnie, J.M.; Aqilah, M.N.N.; Erna, K.H.; Mailin, M. Consolidating Plant-Based Essential Oils onto Polysaccharides-Based Coatings: Effect on Mechanisms and Reducing Postharvest Losses of Fruits. Appl. Food Res. 2022, 2, 100226. [Google Scholar] [CrossRef]
- François, G.A.; de Moraes Pontes, J.G.; Pereira, A.K.; Fill, T.P. Exploring the Citrus Sour Rot Pathogen: Biochemical Aspects, Virulence Factors, and Strategies for Disease Management—A Review. Fungal Biol. Rev. 2022, 41, 70–83. [Google Scholar] [CrossRef]
- Xu, L.; Feng, L.; Sun, J.; Mao, L.; Li, X.; Jiang, Y.; Duan, X.; Li, T. Antifungal Activities of a Natural Trisaccharide Ester against Sour Rot in Mandarin Fruit. Postharvest Biol. Technol. 2022, 191, 111981. [Google Scholar] [CrossRef]
- Du, Y.; Li, Y.; Tian, Z.; Cheng, Y.; Long, C. Natamycin as a Safe Food Additive to Control Postharvest Green Mould and Sour Rot in Citrus. J. Appl. Microbiol. 2022, 133, 3438–3450. [Google Scholar] [CrossRef]
- Bhandari, N.; Bika, R.; Subedi, S.; Pandey, S. Essential Oils Amended Coatings in Citrus Postharvest Management. J. Agric. Food Res. 2022, 10, 100375. [Google Scholar] [CrossRef]
- Hall, D.J. Innovations in Citrus Waxing—An Overview. Proc. Fla. State Hortic. Soc. 1981, 94, 258–263. [Google Scholar]
- Panahirad, S.; Dadpour, M.; Peighambardoust, S.H.; Soltanzadeh, M.; Gullón, B.; Alirezalu, K.; Lorenzo, J.M. Applications of Carboxymethyl Cellulose- and Pectin-Based Active Edible Coatings in Preservation of Fruits and Vegetables: A Review. Trends Food Sci. Technol. 2021, 110, 663–673. [Google Scholar] [CrossRef]
- Duan, B.; Gao, Z.; Reymick, O.O.; Ouyang, Q.; Chen, Y.; Long, C.; Yang, B.; Tao, N. Cinnamaldehyde Promotes the Defense Response in Postharvest Citrus Fruit Inoculated with Penicillium digitatum and Geotrichum citri-aurantii. Pestic. Biochem. Physiol. 2021, 179, 104976. [Google Scholar] [CrossRef] [PubMed]
- Chen, K.; Tian, Z.; He, H.; Long, C.; Jiang, F. Bacillus Species as Potential Biocontrol Agents against Citrus Diseases. Biol. Control 2020, 151, 104419. [Google Scholar] [CrossRef]
- Hammami, R.; Oueslati, M.; Smiri, M.; Nefzi, S.; Ruissi, M.; Comitini, F.; Romanazzi, G.; Cacciola, S.O.; Sadfi Zouaoui, N. Epiphytic Yeasts and Bacteria as Candidate Biocontrol Agents of Green and Blue Molds of Citrus Fruits. J. Fungi 2022, 8, 818. [Google Scholar] [CrossRef]
- El Khetabi, A.; Lahlali, R.; Ezrari, S.; Radouane, N.; Lyousfi, N.; Banani, H.; Askarne, L.; Tahiri, A.; El Ghadraoui, L.; Belmalha, S.; et al. Role of Plant Extracts and Essential Oils in Fighting against Postharvest Fruit Pathogens and Extending Fruit Shelf Life: A Review. Trends Food Sci. Technol. 2022, 120, 402–417. [Google Scholar] [CrossRef]
- Regnier, T.; Combrinck, S.; Veldman, W.; Du Plooy, W. Application of Essential Oils as Multi-Target Fungicides for the Control of Geotrichum citri-aurantii and Other Postharvest Pathogens of Citrus. Ind. Crops Prod. 2014, 61, 151–159. [Google Scholar] [CrossRef]
- Liu, X.; Wang, L.P.; Li, Y.C.; Li, H.Y.; Yu, T.; Zheng, X.D. Antifungal Activity of Thyme Oil against Geotrichum citri-aurantii in Vitro and in Vivo. J. Appl. Microbiol. 2009, 107, 1450–1456. [Google Scholar] [CrossRef]
- Moussa, H.; El Omari, B.; Chefchaou, H.; Tanghort, M.; Mzabi, A.; Chami, N.; Remmal, A. Action of Thymol, Carvacrol and Eugenol on Penicillium and Geotrichum Isolates Resistant to Commercial Fungicides and Causing Postharvest Citrus Decay. Can. J. Plant Pathol. 2021, 43, 26–34. [Google Scholar] [CrossRef]
- Serna-Escolano, V.; Serrano, M.; Valero, D.; Rodríguez-López, M.I.; Gabaldón, J.A.; Castillo, S.; Valverde, J.M.; Zapata, P.J.; Guillén, F.; Martínez-Romero, D. Thymol Encapsulated into HP-β-Cyclodextrin as an Alternative to Synthetic Fungicides to Induce Lemon Resistance against Sour Rot Decay. Molecules 2020, 25, 4348. [Google Scholar] [CrossRef]
- Xu, S.X.; Li, Y.C.; Liu, X.; Mao, L.J.; Zhang, H.; Zheng, X.D. In Vitro and in Vivo Antifungal Activity of a Water-Dilutable Cassia Oil Microemulsion against Geotrichum citri-aurantii. J. Sci. Food Agric. 2012, 92, 2668–2671. [Google Scholar] [CrossRef] [PubMed]
- Wu, Y.; Duan, X.; Jing, G.; OuYang, Q.; Tao, N. Cinnamaldehyde Inhibits the Mycelial Growth of Geotrichum citri-aurantii and Induces Defense Responses against Sour Rot in Citrus Fruit. Postharvest Biol. Technol. 2017, 129, 23–28. [Google Scholar] [CrossRef]
- OuYang, Q.; Reymick, O.O.; Tao, N. A Combination of Cinnamaldehyde and Citral Greatly Alleviates Postharvest Occurrence of Sour Rot in Citrus Fruits without Compromising the Fruit Quality. J. Food Sci. Technol. 2022, 59, 2776–2783. [Google Scholar] [CrossRef] [PubMed]
- OuYang, Q.; Duan, X.; Li, L.; Tao, N. Cinnamaldehyde Exerts Its Antifungal Activity by Disrupting the Cell Wall Integrity of Geotrichum citri-aurantii. Front. Microbiol. 2019, 10, 55. [Google Scholar] [CrossRef]
- Cai, X.; Xu, Z.; Li, X.; Wang, D.; Ren, X.; Kong, Q. Underlying Mechanism of Menthol on Controlling Postharvest Citrus Sour Rot Caused by Geotrichum citri-aurantii. Postharvest Biol. Technol. 2023, 196, 112160. [Google Scholar] [CrossRef]
- Karim, H.; Boubaker, H.; Askarne, L.; Cherifi, K.; Lakhtar, H.; Msanda, F.; Boudyach, E.H.; Ait Ben Aoumar, A. Use of Cistus Aqueous Extracts as Botanical Fungicides in the Control of Citrus Sour Rot. Microb. Pathog. 2017, 104, 263–267. [Google Scholar] [CrossRef] [PubMed]
- Karim, H.; Boubaker, H.; Askarne, L.; Talibi, I.; Msanda, F.; Boudyach, E.H.; Saadi, B.; Ait Ben Aoumar, A. Antifungal Properties of Organic Extracts of Eight Cistus L. Species against Postharvest Citrus Sour Rot. Lett. Appl. Microbiol. 2016, 62, 16–22. [Google Scholar] [CrossRef] [PubMed]
- Kara, M.; Soylu, E.M. Assessment of Glucosinolate-Derived Isothiocyanates as Potential Natural Antifungal Compounds against Citrus Sour Rot Disease Agent Geotrichum citri-aurantii. J. Phytopathol. 2020, 168, 279–289. [Google Scholar] [CrossRef]
- Júnior, L.M.; Fozzatti, C.R.; Jamróz, E.; Vieira, R.P.; Alves, R.M.V. Biopolymer-Based Films from Sodium Alginate and Citrus Pectin Reinforced with SiO2. Materials 2022, 15, 3881. [Google Scholar] [CrossRef]
- Mellinas, C.; Ramos, M.; Jiménez, A.; Garrigós, M.C. Recent Trends in the Use of Pectin from Agro-Waste Residues as a Natural-Based Biopolymer for Food Packaging Applications. Materials 2020, 13, 673. [Google Scholar] [CrossRef]
- Plaza, P.; Torres, R.; Usall, J.; Lamarca, N.; Viñas, I. Evaluation of the Potential of Commercial Post-Harvest Application of Essential Oils to Control Citrus Decay. J. Hortic. Sci. Biotechnol. 2004, 79, 935–940. [Google Scholar] [CrossRef]
- Martínez-Blay, V.; Taberner, V.; Pérez-Gago, M.B.; Palou, L. Control of Major Citrus Postharvest Diseases by Sulfur-Containing Food Additives. Int. J. Food Microbiol. 2020, 330, 108713. [Google Scholar] [CrossRef]
- Martínez-Blay, V.; Pérez-Gago, M.B.; de la Fuente, B.; Carbó, R.; Palou, L. Edible Coatings Formulated with Antifungal GRAS Salts to Control Citrus Anthracnose Caused by Colletotrichum gloeosporioides and Preserve Postharvest Fruit Quality. Coatings 2020, 10, 730. [Google Scholar] [CrossRef]
- Khorram, F.; Ramezanian, A.; Hosseini, S.M.H. Shellac, Gelatin and Persian Gum as Alternative Coating for Orange Fruit. Sci. Hortic. 2017, 225, 22–28. [Google Scholar] [CrossRef]
- Valencia-Chamorro, S.A.; Pérez-Gago, M.B.; del Río, M.A.; Palou, L. Effect of Antifungal Hydroxypropyl Methylcellulose (HPMC)-Lipid Edible Composite Coatings on Postharvest Decay Development and Quality Attributes of Cold-Stored “Valencia” Oranges. Postharvest Biol. Technol. 2009, 54, 72–79. [Google Scholar] [CrossRef]
- Khamsaw, P.; Sangta, J.; Chaiwan, P.; Rachtanapun, P.; Sirilun, S.; Sringarm, K.; Thanakkasaranee, S.; Sommano, S.R. Bio-Circular Perspective of Citrus Fruit Loss Caused by Pathogens: Occurrences, Active Ingredient Recovery and Applications. Horticulturae 2022, 8, 748. [Google Scholar] [CrossRef]
- Alvarez, M.V.; Palou, L.; Taberner, V.; Fernández-Catalán, A.; Argente-Sanchis, M.; Pitta, E.; Pérez-Gago, M.B. Natural Pectin-Based Edible Composite Coatings with Antifungal Properties to Control Green Mold and Reduce Losses of ‘Valencia’ Oranges. Foods 2022, 11, 1083. [Google Scholar] [CrossRef]
- Verdeguer, M.; Roselló, J.; Castell, V.; Llorens, J.A.; Santamarina, M.P. Cherry Tomato and Persimmon Kaki Conservation with a Natural and Biodegradable Film. Curr. Res. Food Sci. 2020, 2, 33–40. [Google Scholar] [CrossRef]
- Combrinck, S.; Regnier, T.; Kamatou, G.P.P. In Vitro Activity of Eighteen Essential Oils and Some Major Components against Common Postharvest Fungal Pathogens of Fruit. Ind. Crops Prod. 2011, 33, 344–349. [Google Scholar] [CrossRef]
- Prakash, B.; Singh, P.; Kedia, A.; Dubey, N.K. Assessment of Some Essential Oils as Food Preservatives Based on Antifungal, Antiaflatoxin, Antioxidant Activities and in Vivo Efficacy in Food System. Food Res. Int. 2012, 49, 201–208. [Google Scholar] [CrossRef]
- Moreno, M.A.; Vallejo, A.M.; Ballester, A.R.; Zampini, C.; Isla, M.I.; López-Rubio, A.; Fabra, M.J. Antifungal Edible Coatings Containing Argentinian Propolis Extract and Their Application in Raspberries. Food Hydrocoll. 2020, 107, 105973. [Google Scholar] [CrossRef]
- Pu, Y.; Jiang, H.; Zhang, Y.; Cao, J.; Jiang, W. Advances in Propolis and Propolis Functionalized Coatings and Films for Fruits and Vegetables Preservation. Food Chem. 2023, 414, 135662. [Google Scholar] [CrossRef]
- Sivakumar, D.; Bautista-Baños, S. A Review on the Use of Essential Oils for Postharvest Decay Control and Maintenance of Fruit Quality during Storage. Crop Prot. 2014, 64, 27–37. [Google Scholar] [CrossRef]
- Arora, S.; Kumar, G. Phytochemical Screening of Root, Stem and Leaves of Cenchrus biflorus Roxb. J. Pharmacogn. Phytochem. 2018, 7, 1445–1450. [Google Scholar]
- Prasath, K.G.; Tharani, H.; Kumar, M.S.; Pandian, S.K. Palmitic Acid Inhibits the Virulence Factors of Candida tropicalis: Biofilms, Cell Surface Hydrophobicity, Ergosterol Biosynthesis, and Enzymatic Activity. Front. Microbiol. 2020, 11, 864. [Google Scholar] [CrossRef]
- Walters, D.; Raynor, L.; Mitchell, A.; Walker, R.; Walker, K. Antifungal Activities of Four Fatty Acids against Plant Pathogenic Fungi. Mycopathologia 2004, 157, 87–90. [Google Scholar] [CrossRef] [PubMed]
- Kouassi, K.H.S.; Bajji, M.; Jijakli, H. The Control of Postharvest Blue and Green Molds of Citrus in Relation with Essential Oil-Wax Formulations, Adherence and Viscosity. Postharvest Biol. Technol. 2012, 73, 122–128. [Google Scholar] [CrossRef]
- Tayel, A.A.; Moussa, S.H.; Salem, M.F.; Mazrou, K.E.; El-Tras, W.F. Control of Citrus Molds Using Bioactive Coatings Incorporated with Fungal Chitosan/Plant Extracts Composite. J. Sci. Food Agric. 2015, 96, 1306–1312. [Google Scholar] [CrossRef] [PubMed]
- Faten, M.E. Combination between Citral and Chitosan for Controlling Sour Rot Disease of Lime Fruits. Res. J. Agric. Biol. Sci. 2010, 6, 744–749. [Google Scholar]
- Du Plooy, W.; Regnier, T.; Combrinck, S. Essential Oil Amended Coatings as Alternatives to Synthetic Fungicides in Citrus Postharvest Management. Postharvest Biol. Technol. 2009, 53, 117–122. [Google Scholar] [CrossRef]
- Cháfer, M.; Sánchez-González, L.; González-Martínez, C.; Chiralt, A. Fungal Decay and Shelf Life of Oranges Coated with Chitosan and Bergamot, Thyme, and Tea Tree Essential Oils. J. Food Sci. 2012, 77, E182–E187. [Google Scholar] [CrossRef]
- Sahraee, S.; Milani, J.M.; Regenstein, J.M.; Kafil, H.S. Protection of Foods against Oxidative Deterioration Using Edible Films and Coatings: A Review. Food Biosci. 2019, 32, 100451. [Google Scholar] [CrossRef]



| Exposure to Volatile Compounds | Agar Dilution Assay | ||||||
|---|---|---|---|---|---|---|---|
| Bioactive Agent | Dose (µL) | Radial Growth Inhibition (%) 1 | Bioactive Agent | Dose (g/kg) | Radial Growth Inhibition (%) 1 | ||
| SA | 10 | 77.5 ± 6.0 | bcd | GT | 5.00 | 0.0 ± 0.0 | f |
| 20 | 100.0 ± 0.0 * | a | - | 10.00 | 26.7 ± 3.8 | d | |
| 40 | 100.0 ± 0.0 * | a | - | 20.00 | 53.9 ± 2.7 | b | |
| CI | 10 | 62.1 ± 2.4 | d | CM | 1.25 | 58.2 ± 5.6 | ab |
| 20 | 100.0 ± 0.0 | a | - | 2.50 | 62.1 ± 1.4 | a | |
| 40 | 100.0 ± 0.0 | a | - | 5.00 | 63.6 ± 3.1 | a | |
| LE | 10 | 82.1 ± 4.8 | abc | PR | 5.00 | 16.6 ± 8.8 | e |
| 20 | 91.1 ± 0.8 | ab | - | 10.00 | 47.0 ± 6.1 | c | |
| 40 | 93.4 ± 1.9 | ab | - | - | - | - | |
| EG | 10 | 67.1 ± 5.6 | cd | - | - | ||
| 20 | 80.11 ± 6.6 | bcd | - | - | |||
| 40 | 100.0 ± 0.0 * | a | - | - | |||
| GR | 10 | 88.0 ± 5.5 | ab | - | - | ||
| 20 | 90.8 ± 0.9 | ab | - | - | |||
| 40 | 90.0 ± 1.7 | ab | - | - | |||
| Internal Quality Attributes 1 | Shelf-Life Period | Coating Treatments 2 | |||||||
|---|---|---|---|---|---|---|---|---|---|
| Control (Uncoated) | CP | CP-SA (8 g/kg) | CP-CI (8 g/kg) | CP-EG (8 g/kg) | CP-GR (8 g/kg) | CP-PR (20 g/kg) | CP-CM (15 g/kg) | ||
| pH | At harvest | 3.53 ± 0.09 | - | - | - | - | - | - | - |
| 7 days | 3.44 ± 0.07 b | 3.68 ± 0.01 a | 3.68 ± 0.02 a | 3.60 ± 0.01 a | 3.68 ± 0.03 a | 3.61 ± 0.04 a | 3.63 ± 0.00 a | 3.60 ± 0.0 a | |
| 14 days | 3.60 ± 0.05 ns | 3.66 ± 0.06 | 3.62 ± 0.07 | 3.53 ± 0.04 | 3.58 ± 0.02 | 3.57 ± 0.11 | 3.72 ± 0.03 | 3.66 ± 0.01 | |
| Titratable Acidity (g/L Citric Acid) | At harvest | 10.10 ± 0.55 | - | - | - | - | - | - | - |
| 7 days | 9.42 ± 0.10 ns | 9.47 ± 0.13 | 9.54 ± 0.32 | 9.86 ± 0.24 | 9.68 ± 0.53 | 9.91 ± 1.09 | 9.14 ± 0.21 | 9.56 ± 0.59 | |
| 14 days | 8.04 ± 0.63 ns | 8.49 ± 0.85 | 9.59 ± 0.74 | 9.02 ± 0.52 | 9.68 ± 0.05 | 9.19 ± 1.30 | 7.65 ± 0.64 | 8.24 ± 0.62 | |
| Soluble Solids Content (°Brix) | At harvest | 11.3 ± 0.0 | - | - | - | - | - | - | - |
| 7 days | 11.0 ± 0.3 ns | 12.4 ± 0.5 | 12.4 ± 0.6 | 11.3 ± 0.6 | 11.9 ± 0.2 | 11.7 ± 0.5 | 10.8 ± 0.3 | 12.0 ± 0.5 | |
| 14 days | 10.8 ± 0.4 ns | 11.1 ± 0.5 | 12.0 ± 0.3 | 12.2 ± 0.4 | 10.9 ± 0.2 | 12.1 ± 1.2 | 12.1 ± 0.4 | 11.4 ± 0.5 | |
| Sensory Quality Attributes 3 | |||||||||
| Overall Flavor | At harvest | 7.1 ± 0.3 | - | - | - | - | - | - | - |
| 7 days | 6.3 ± 0.5 ns | 6.4 ± 0.4 | 6.6 ± 0.5 | 6.1 ± 0.4 | 5.5 ± 0.6 | 6.0 ± 0.7 | 6.0 ± 0.8 | 5.9 ± 0.4 | |
| 14 days | 5.0 ± 0.6 ns | 5.2 ± 0.5 | 5.7 ± 0.5 | 5.1 ± 0.6 | 5.5 ± 0.6 | 4.8 ± 0.5 | 5.3 ± 0.5 | 6.0 ± 0.5 | |
| Off-Flavors | At harvest | 1,0 ± 0.0 | - | - | - | - | - | - | - |
| 7 days | 1.1 ± 0.1 ns | 1.1 ± 0.1 | 1.2 ± 0.1 | 1.2 ± 0.1 | 1.7 ± 0.4 | 1.7 ± 0.4 | 1.8 ± 0.5 | 1.2 ± 0.1 | |
| 14 days | 1.8 ± 0.4 ns | 2.1 ± 0.4 | 1.5 ± 0.2 | 1.8 ± 0.3 | 1.7 ± 0.3 | 2.0 ± 0.4 | 1.8 ± 0.3 | 1.5 ± 0.3 | |
| Visual Quality | At harvest | 2.8 ± 0.4 | - | - | - | - | - | - | - |
| 7 days | 2.8 ± 0.1 ns | 2.7 ± 0.2 | 2.9 ± 0.1 | 2.9 ± 0.1 | 3.0 ± 0.0 | 2.9 ± 0.1 | 2.9 ± 0.1 | 2.9 ± 0.1 | |
| 14 days | 2.7 ± 0.2 ns | 2.4 ± 0.2 | 2.6 ± 0.2 | 2.6 ± 0.2 | 2.9 ± 0.1 | 2.7 ± 0.1 | 2.4 ± 0.2 | 2.6 ± 0.1 | |
| Coating Treatments 1 | Shelf-Life Period (20 °C) | |||
|---|---|---|---|---|
| Gloss Rank 2 | 7 Days | 14 Days | ||
| Glossier | CP-EG (8 g/kg) | a | CP-EG (8 g/kg) | a |
| CP-CM (15 g/kg) | ab | CP-GR (8 g/kg) | b | |
| CP-GR (8 g/kg) | ab | CP-CI (8 g/kg) | b | |
| CP-CI (8 g/kg) | b | CP-CM (15 g/kg) | b | |
| CONTROL | b | CP-SA (8 g/kg) | bc | |
| CP | bc | CONTROL | cd | |
| CP-SA (8 g/kg) | bc | CP-PR (20 g/kg) | d | |
| Less glossy | CP-PR (20 g/kg) | c | CP | d |
Disclaimer/Publisher’s Note: The statements, opinions and data contained in all publications are solely those of the individual author(s) and contributor(s) and not of MDPI and/or the editor(s). MDPI and/or the editor(s) disclaim responsibility for any injury to people or property resulting from any ideas, methods, instructions or products referred to in the content. |
© 2023 by the authors. Licensee MDPI, Basel, Switzerland. This article is an open access article distributed under the terms and conditions of the Creative Commons Attribution (CC BY) license (https://creativecommons.org/licenses/by/4.0/).
Share and Cite
Alvarez, M.V.; Pérez-Gago, M.B.; Taberner, V.; Settier-Ramírez, L.; Martínez-Blay, V.; Palou, L. Postharvest Application of Novel Bio-Based Antifungal Composite Edible Coatings to Reduce Sour Rot and Quality Losses of ‘Valencia’ Oranges. Coatings 2023, 13, 1412. https://doi.org/10.3390/coatings13081412
Alvarez MV, Pérez-Gago MB, Taberner V, Settier-Ramírez L, Martínez-Blay V, Palou L. Postharvest Application of Novel Bio-Based Antifungal Composite Edible Coatings to Reduce Sour Rot and Quality Losses of ‘Valencia’ Oranges. Coatings. 2023; 13(8):1412. https://doi.org/10.3390/coatings13081412
Chicago/Turabian StyleAlvarez, María Victoria, María Bernardita Pérez-Gago, Verònica Taberner, Laura Settier-Ramírez, Victoria Martínez-Blay, and Lluís Palou. 2023. "Postharvest Application of Novel Bio-Based Antifungal Composite Edible Coatings to Reduce Sour Rot and Quality Losses of ‘Valencia’ Oranges" Coatings 13, no. 8: 1412. https://doi.org/10.3390/coatings13081412
APA StyleAlvarez, M. V., Pérez-Gago, M. B., Taberner, V., Settier-Ramírez, L., Martínez-Blay, V., & Palou, L. (2023). Postharvest Application of Novel Bio-Based Antifungal Composite Edible Coatings to Reduce Sour Rot and Quality Losses of ‘Valencia’ Oranges. Coatings, 13(8), 1412. https://doi.org/10.3390/coatings13081412

