Preparation and Study of Ca/Tb Co-Doped HfO2 Infrared Coatings with Different Atomic Ratios
Abstract
1. Introduction
2. Materials and Methods
2.1. Preparation of Coatings
2.2. Characterization
3. Results and Discussion
3.1. Microstructure and Chemical Composition
3.2. Room Temperature Infrared Radiation Property
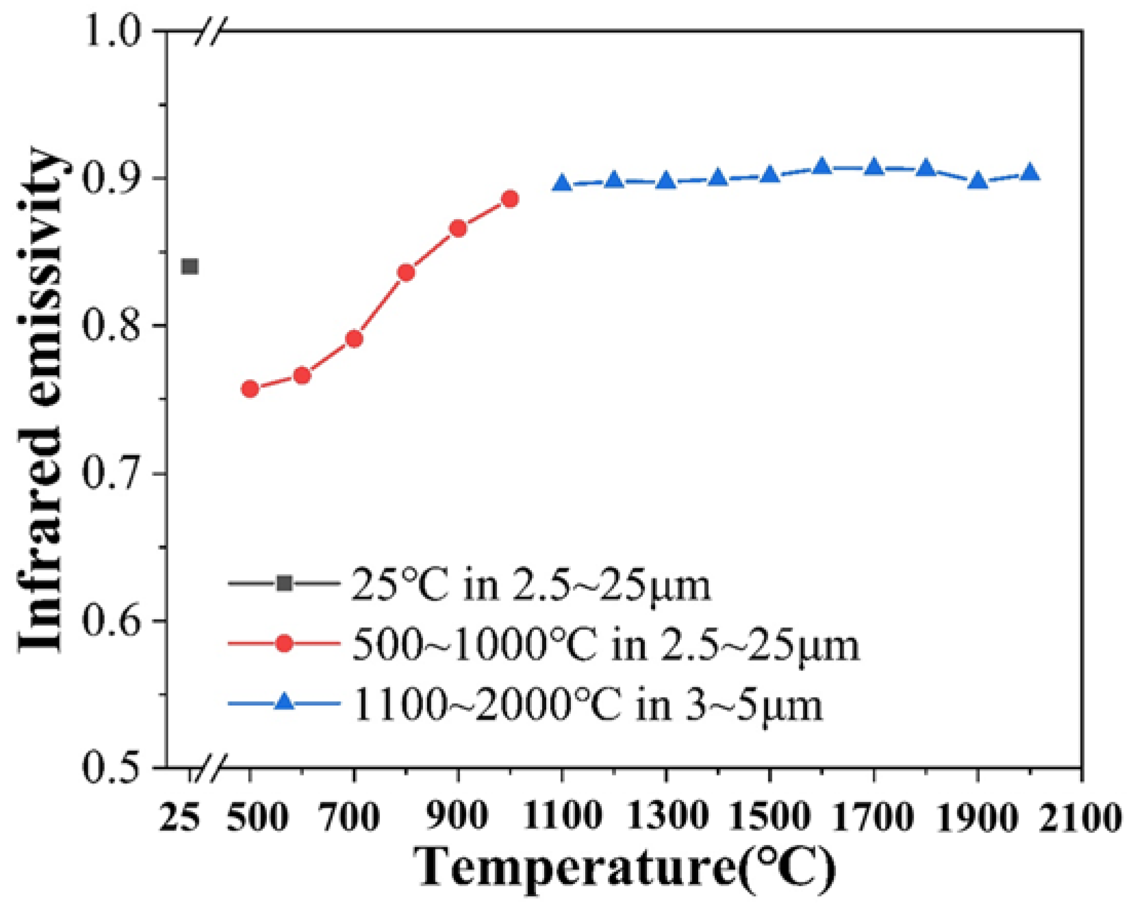
3.3. High-Temperature Infrared Radiation Performance
3.4. High-Temperature Thermal Stability
4. Conclusions
Author Contributions
Funding
Institutional Review Board Statement
Informed Consent Statement
Data Availability Statement
Conflicts of Interest
References
- Wang, G.; Chen, Z.; Pan, Z.; Tang, H. Development and Properties of Infrared High Radiation Energy-Saving Coatings for Industrial Furnace. IOP Conf. Ser. Mater. Sci. Eng. 2019, 252, 022058. [Google Scholar] [CrossRef]
- Yue, X.; Zhang, T.; Yang, D.; Qiu, F.; Wei, G.; Lv, Y. A robust Janus fibrous membrane with switchable infrared radiation properties for potential building thermal management applications. J. Mater. Chem. A 2019, 7, 8344–8352. [Google Scholar] [CrossRef]
- Tang, H.; Tao, W.; Wang, H.; Song, Y.; Jian, X.; Yin, L.; Wang, X.; Scarpa, F. High-performance infrared emissivity of micro-arc oxidation coatings formed on titanium alloy for aerospace applications. Int. J. Appl. Ceram. Technol. 2018, 15, 579–591. [Google Scholar] [CrossRef]
- Paul, A.; Jayaseelan, D.; Venugopal, S.D. UHTC composites for hypersonic applications. Am. Ceram. Soc. Bull. 2012, 91, 22–29. [Google Scholar] [CrossRef]
- Li, H.; Wang, Y.; Fu, Q. Ablation resistance of carbides-coated C/C composites. Adv. Surf. Eng. Mater. 2017, 33, 803–809. [Google Scholar] [CrossRef]
- Chu, Y.; Sun, W.; Tian, T.; Xiong, X.; Zhang, H. Effect of sintering additives on the sintering and ablation resistance of novel HfO2-ThO2 high-temperature multiphase oxides. Ceram. Int. 2023, 49, 18977–18987. [Google Scholar] [CrossRef]
- Ren, L.; Yang, L.; Zhang, S.; Li, H.; Zhou, Y.; Ai, D.; Xie, Z.; Zhao, X.; Peng, Z.; Liao, R.; et al. Largely enhanced dielectric properties of polymer composites with HfO2 nanoparticles for high-temperature film capacitors. Compos. Sci. Technol. 2021, 201, 108528. [Google Scholar] [CrossRef]
- Ding, Q.; Tan, X.; Jiang, L.; Fan, X.; He, B.; Wang, C.; Zhuo, X.; Zhou, K.; Zhang, X. High-temperature performances of Si-HfO2-based environmental barrier coatings via atmospheric plasma spraying. Ceram. Int. 2022, 48, 23127–23136. [Google Scholar] [CrossRef]
- Zhang, Z.; Park, Y.; Kim, D.H.; Xue, Z.; Ji, X.; Park, H.; Zhang, S.; Byon, E.; Koo, B.H. High-temperature oxidation performance of novel environmental barrier coating 50HfO2-50SiO2/YxYb(2−x)Si2O7 at 1475 °C. J. Eur. Ceram. Soc. 2023, 43, 1127–1140. [Google Scholar] [CrossRef]
- Khoshman, J.M.; Kordesch, M.E. Optical properties of a-HfO2 thin films. Surf. Coat. Technol. 2006, 201, 3530–3535. [Google Scholar] [CrossRef]
- Dubinov, A.; Kitaev, I. Generalized Wien’s displacement law and Stefan–Boltzmann law for thermal radiation with a nonzero chemical potential. J. Opt. Technol. 2018, 6, 314–316. [Google Scholar] [CrossRef]
- Zhang, Y.; Wang, L.; Duan, Y.; Liu, B.; Liang, J. Preparation and performance of Ce-doped far-infrared radiation ceramics by single iron ore tailings. Ceram. Int. 2022, 48, 11709–11717. [Google Scholar] [CrossRef]
- Zhang, K.; Deng, Y.; Yang, Y.; Liao, Y.; Wang, B.; Gong, B.; Yang, W. Effect of lanthanum doping on the far-infrared emission property of vanadium–titanium slag ceramic. RSC Adv. 2017, 7, 13509–13516. [Google Scholar] [CrossRef]
- Liu, J.; Meng, J.; Liang, J.; Duan, X.; Huo, X.; Tang, Q. Effect of rare earth Ce on the far infrared radiation property of iron ore tailings ceramics. Mater. Res. Bull. 2015, 66, 26–31. [Google Scholar] [CrossRef]
- Umezawa, M.; Kurahashi, H.; Nigoghosian, K.; Okubo, K.; Soga, K. Designing Er3+/Ho3+-Doped Near-Infrared (NIR-II) Fluorescent Ceramic Particles for Avoiding Optical Absorption by Water. J. Photopolym. Sci. Technol. 2022, 35, 9–16. [Google Scholar] [CrossRef]
- Liu, L.; Zhang, S.; Ma, Z.; Zhu, S. Effects of Ca2+-Sr2+ doping on the infrared emissivity of LaCrO3. Ceram. Int. 2020, 46, 19738–19742. [Google Scholar] [CrossRef]
- Liu, F.; Cheng, X.; Mao, J.; Li, Q.; Zeng, X. Effects of rare-earth oxide doping on the thermal radiation performance of HfO2 coating. Ceram. Int. 2019, 45, 13004–13010. [Google Scholar] [CrossRef]
- De Souza, E.F.; Appel, L.G. Oxygen vacancy formation and their role in the CO2 activation on Ca doped ZrO2 surface: An ab-initio DFT study. Appl. Surf. Sci. 2021, 553, 149589. [Google Scholar] [CrossRef]
- Wang, H.; Sun, T.; Chang, L.; Liu, F.; Liu, B.; Zhao, C.; Xue, X.; Xiong, X. Preparation of Ca doping ZrO2 coating on NiTi shape memory alloy by cathodic plasma electrolytic deposition and its structure, in-vitro bioactivity and biocompatibility analysis. Surf. Coat. Technol. 2017, 325, 136–144. [Google Scholar] [CrossRef]
- Zeng, X.; Tong, X.; Liu, Z.; Xiong, Y.; Cao, Q.; Cheng, X. Fabrication and investigation of Ca/Tb co-doped HfO2 infrared coatings. J. Eur. Ceram. Soc. 2022, 42, 3542–3549. [Google Scholar] [CrossRef]
- Ng, H.W.; Gan, Z. A finite element analysis technique for predicting as-sprayed residual stresses generated by the plasma spray coating process. Finite Elem. Anal. Des. 2005, 41, 1235–1254. [Google Scholar] [CrossRef]
- Andrievskaya, E.R. Phase equilibria in the refractory oxide systems of zirconia, hafnia and yttria with rare-earth oxides. J. Eur. Ceram. Soc. 2008, 28, 2363–2388. [Google Scholar] [CrossRef]
- Rahm, M.; Hoffmann, R.; Ashcroft, N.W. Atomic and Ionic Radii of Elements 1–96. Chem. Eur. J. 2016, 22, 14625–14632. [Google Scholar] [CrossRef]
- Chen, C.; Zhao, C.; Zhou, X.; Chen, J. DFT study on the interaction of H2O and O2 with α-Fe2O3 (001) surface. Vacuum 2021, 188, 110164. [Google Scholar] [CrossRef]
- Auerhammer, J.M.; Eliel, E.R. Frequency doubling of mid-infrared radiation in gallium selenide. Opt. Lett. 1996, 21, 773–775. [Google Scholar] [CrossRef]
- Sturm, J.C.; Reaves, C.M. Silicon temperature measurement by infrared absorption. Fundamental processes and doping effects. IEEE Trans. Electron Devices 1992, 39, 81–88. [Google Scholar] [CrossRef]
- Martins, G.M.; Siqueira, K.; Fantini, C. New insight on the use of diffuse reflectance spectroscopy for the optical characterization of Ln2Ge2O7 (Ln = lanthanides) pyrogermanates. J. Lumin. 2021, 238, 118312. [Google Scholar] [CrossRef]
- Foster, A.S.; Lopez Gejo, F.; Shluger, A.L.; Nieminen, R.M. Vacancy and interstitial defects in hafnia. Phys. Rev. B 2002, 65, 174117. [Google Scholar] [CrossRef]
- Zhang, L.; Liu, Y.; Fang, X.; Cheng, Y. Regulating oxygen species for promoted deep oxidation of toluene: A comparative study of adsorbed oxygen and lattice oxygen. Fuel 2022, 321, 124116. [Google Scholar] [CrossRef]
- Chen, D.; Zhong, L.; Liu, F.; Liu, J.; Yu, J.; Wan, G.; He, S.; Luo, Y. Investigation of the role of surface lattice oxygen and bulk lattice oxygen migration of cerium-based oxygen carriers: XPS and designed H2-TPR characterization. Appl. Catal. B 2017, 218, 249–259. [Google Scholar] [CrossRef]
- Das, R. Wavelength- and Frequency-Dependent Formulations of Wien’s Displacement Law. J. Chem. Educ. 2015, 92, 1130–1134. [Google Scholar] [CrossRef]
- Han, R.; Tariq, N.; Liu, H. Development of high infrared emissivity porous ceramic coating using pre-synthesized flower-like CeO2 powder for high temperature applications. Ceram. Int. 2022, 48, 1340–1348. [Google Scholar] [CrossRef]











| Number | 0.75~6.5 μm | 6.5~15 μm |
|---|---|---|
| HfO2 | 0.618 | 0.870 |
| CT1 | 0.844 | 0.900 |
| CT2 | 0.832 | 0.880 |
| CT3 | 0.820 | 0.884 |
| CT4 | 0.811 | 0.872 |
| CT5 | 0.785 | 0.865 |
Disclaimer/Publisher’s Note: The statements, opinions and data contained in all publications are solely those of the individual author(s) and contributor(s) and not of MDPI and/or the editor(s). MDPI and/or the editor(s) disclaim responsibility for any injury to people or property resulting from any ideas, methods, instructions or products referred to in the content. |
© 2023 by the authors. Licensee MDPI, Basel, Switzerland. This article is an open access article distributed under the terms and conditions of the Creative Commons Attribution (CC BY) license (https://creativecommons.org/licenses/by/4.0/).
Share and Cite
Zou, J.; Cheng, X.; Hu, C.; Tong, X.; Zeng, X.; Chen, Y. Preparation and Study of Ca/Tb Co-Doped HfO2 Infrared Coatings with Different Atomic Ratios. Coatings 2023, 13, 1386. https://doi.org/10.3390/coatings13081386
Zou J, Cheng X, Hu C, Tong X, Zeng X, Chen Y. Preparation and Study of Ca/Tb Co-Doped HfO2 Infrared Coatings with Different Atomic Ratios. Coatings. 2023; 13(8):1386. https://doi.org/10.3390/coatings13081386
Chicago/Turabian StyleZou, Jun, Xudong Cheng, Chengwei Hu, Xu Tong, Xian Zeng, and Yaping Chen. 2023. "Preparation and Study of Ca/Tb Co-Doped HfO2 Infrared Coatings with Different Atomic Ratios" Coatings 13, no. 8: 1386. https://doi.org/10.3390/coatings13081386
APA StyleZou, J., Cheng, X., Hu, C., Tong, X., Zeng, X., & Chen, Y. (2023). Preparation and Study of Ca/Tb Co-Doped HfO2 Infrared Coatings with Different Atomic Ratios. Coatings, 13(8), 1386. https://doi.org/10.3390/coatings13081386
