Mechanical and Tribological Properties of Ag/TiBx Nanocomposite Thin Films with Strong Antibacterial Effect Prepared by Magnetron Co-Sputtering
Abstract
1. Introduction
2. Materials and Methods
2.1. Preparation
2.2. Analytical Methods
3. Results and Discussion
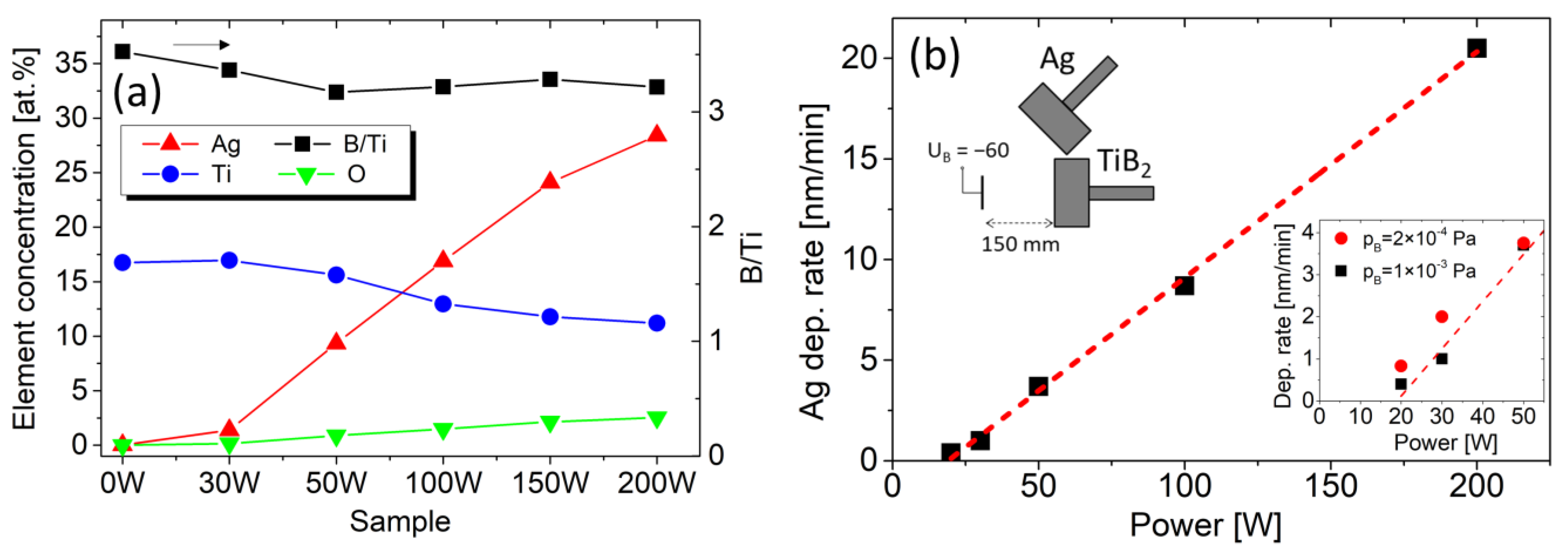
3.1. Chemical Properties
3.2. Structure Analysis
3.3. Antibacterial Properties
3.4. Mechanical Properties
4. Conclusions
- For low silver content (1.4 at.%), spherical-like Ag nanoclusters with dimensions of 2–3 nm are formed in the overstoichiometric TiBx matrix.
- For higher silver content (24 at.%), Ag segregates into larger layered regions with typical dimensions of 40 nm.
- The strongest growth inhibition of E. coli is observed for films with 24 at.% Ag. In the case of higher doping, the antibacterial effect begins to saturate, which can be caused by the decrease in the surface-to-volume ratio of the Ag clusters.
- The antibacterial effect is maintained after 45 days of immersion in a solution of LB medium + 5% HNO3, which indicates the strong protective function of the chemically stable TiBx matrix.
- Alloying with Ag results in a rapid decrease in hardness from 40 to 6.4 GPa, which is faster compared to Ag/transition-metal nitrides and can be attributed to the suppression of the columnar (001) growth.
- The coefficient of friction decreases by 55% from 0.77 to 0.35. The lowest specific wear rate is observed for 9–17 at.% Ag. Higher silver doping increases the wear due to the loss of hardness.
Author Contributions
Funding
Institutional Review Board Statement
Informed Consent Statement
Data Availability Statement
Conflicts of Interest
References
- Wei, Q.; Xu, Y.; Wang, Y. Textile Surface Functionalization by Physical Vapor Deposition (PVD). In Surface Modification of Textiles; Wei, Q., Ed.; Woodhead Publishing: Sawston, UK, 2009; pp. 58–90. ISBN 9781845694197. [Google Scholar]
- Panáček, A.; Kvítek, L.; Smékalová, M.; Večeřová, R.; Kolář, M.; Röderová, M.; Dyčka, F.; Šebela, M.; Prucek, R.; Tomanec, O.; et al. Bacterial Resistance to Silver Nanoparticles and How to Overcome It. Nat. Nanotechnol. 2018, 13, 65–71. [Google Scholar] [CrossRef]
- Scholz, J.; Nocke, G.; Hollstein, F.; Weissbach, A. Investigations on Fabrics Coated with Precious Metals Using the Magnetron Sputter Technique with Regard to Their Anti-Microbial Properties. Surf. Coat. Technol. 2005, 192, 252–256. [Google Scholar] [CrossRef]
- Shahidi, S.; Moazzenchi, B.; Ghoranneviss, M. A Review-Application of Physical Vapor Deposition (PVD) and Related Methods in the Textile Industry. EPJ Appl. Phys. 2015, 71, 31302. [Google Scholar] [CrossRef]
- Chen, Y.H.; Hsu, C.C.; He, J.L. Antibacterial Silver Coating on Poly(Ethylene Terephthalate) Fabric by Using High Power Impulse Magnetron Sputtering. Surf. Coat. Technol. 2013, 232, 868–875. [Google Scholar] [CrossRef]
- Kratochvíl, J.; Kuzminova, A.; Kylián, O.; Biederman, H. Comparison of Magnetron Sputtering and Gas Aggregation Nanoparticle Source Used for Fabrication of Silver Nanoparticle Films. Surf. Coat. Technol. 2015, 275, 296–302. [Google Scholar] [CrossRef]
- Kuzminova, A.; Beranová, J.; Polonskyi, O.; Shelemin, A.; Kylián, O.; Choukourov, A.; Slavínská, D.; Biederman, H. Antibacterial Nanocomposite Coatings Produced by Means of Gas Aggregation Source of Silver Nanoparticles. Surf. Coat. Technol. 2016, 294, 225–230. [Google Scholar] [CrossRef]
- Sant, S.B.; Gill, K.S.; Burrell, R.E. Nanostructure, Dissolution and Morphology Characteristics of Microcidal Silver Films Deposited by Magnetron Sputtering. Acta Biomater. 2007, 3, 341–350. [Google Scholar] [CrossRef]
- Mejía, M.I.; Restrepo, G.; Marín, J.M.; Sanjines, R.; Pulgarín, C.; Mielczarski, E.; Mielczarski, J.; Kiwi, J. Magnetron-Sputtered Ag Surfaces. New Evidence for the Nature of the Ag Ions Intervening in Bacterial Inactivation. ACS Appl. Mater. Interfaces 2010, 2, 230–235. [Google Scholar] [CrossRef]
- Kelly, P.J.; Li, H.; Whitehead, K.A.; Verran, J.; Arnell, R.D.; Iordanova, I. A Study of the Antimicrobial and Tribological Properties of TiN/Ag Nanocomposite Coatings. Surf. Coat. Technol. 2009, 204, 1137–1140. [Google Scholar] [CrossRef]
- Ren, Y.; Jia, J.; Cao, X.; Zhang, G.; Ding, Q. Effect of Ag Contents on the Microstructure and Tribological Behaviors of NbN–Ag Coatings at Elevated Temperatures. Vacuum 2022, 204, 111330. [Google Scholar] [CrossRef]
- Ju, H.; Xu, J. Microstructure and Tribological Properties of NbN-Ag Composite Films by Reactive Magnetron Sputtering. Appl. Surf. Sci. 2015, 355, 878–883. [Google Scholar] [CrossRef]
- Baghriche, O.; Kiwi, J.; Pulgarin, C.; Sanjinés, R. Antibacterial Ag-ZrN Surfaces Promoted by Subnanometric ZrN-Clusters Deposited by Reactive Pulsed Magnetron Sputtering. J. Photochem. Photobiol. A Chem. 2012, 229, 39–45. [Google Scholar] [CrossRef]
- Kertzman, Z.; Marchal, J.; Suarez, M.; Staia, M.H.; Filip, P.; Kohli, P.; Aouadi, S.M. Mechanical, Tribological, and Biocompatibility Properties of ZrN-Ag Nanocomposite Films. J. Biomed. Mater. Res. Part A 2008, 84, 1061–1067. [Google Scholar] [CrossRef]
- Domínguez-Meister, S.; Rojas, T.C.; Frías, J.E.; Sánchez-López, J.C. Silver Effect on the Tribological and Antibacterial Properties of A-C:Ag Coatings. Tribol. Int. 2019, 140, 105837. [Google Scholar] [CrossRef]
- Zia, A.W.; Anestopoulos, I.; Panayiotidis, M.I.; Bowen, L.; Birkett, M. Biomechanical Characteristics of Silver Enriched Diamond-like Carbon Coatings for Medical Applications. J. Alloys Compd. 2023, 958, 170473. [Google Scholar] [CrossRef]
- Akopov, G.; Pangilinan, L.E.; Mohammadi, R.; Kaner, R.B. Perspective: Superhard Metal Borides: A Look Forward. APL Mater. 2018, 6, 070901. [Google Scholar] [CrossRef]
- Fiantok, T.; Truchlý, M.; Šroba, V.; Roch, T.; Izai, V.; Vidiš, M.; Haršáni, M.; Satrapinskyy, L.; Mikula, M. First Approach to ZrB2 Thin Films Alloyed with Silver Prepared by Magnetron Co-Sputtering. Coatings 2023, 13, 663. [Google Scholar] [CrossRef]
- Truchlý, M.; Haršáni, M.; Frkáň, A.; Fiantok, T.; Sahul, M.; Roch, T.; Kúš, P.; Mikula, M. First Approach to Doping Silver into CrB2 Thin Films Deposited by DC/HiPIMS Technology in Terms of Mechanical and Tribological Properties. Coatings 2023, 13, 824. [Google Scholar] [CrossRef]
- Glechner, T.; Oemer, H.G.; Wojcik, T.; Weiss, M.; Limbeck, A.; Ramm, J.; Polcik, P.; Riedl, H. Influence of Si on the Oxidation Behavior of TM-Si-B2 ± z Coatings (TM = Ti, Cr, Hf, Ta, W). Surf. Coat. Technol. 2022, 434, 128178. [Google Scholar] [CrossRef]
- Zhou, Y.; Xiang, H.; Feng, Z.; Li, Z. General Trends in Electronic Structure, Stability, Chemical Bonding and Mechanical Properties of Ultrahigh Temperature Ceramics TMB2 (TM = Transition Metal). J. Mater. Sci. Technol. 2015, 31, 285–294. [Google Scholar] [CrossRef]
- Makau, F.M.; Morsi, K.; Gude, N.; Alvarez, R.; Sussman, M.; May-Newman, K. Viability of Titanium-Titanium Boride Composite as a Biomaterial. ISRN Biomater. 2013, 2013, 970535. [Google Scholar] [CrossRef]
- Liu, Y.; Wang, X.; Li, H.; Lu, J.; Wang, Z.; Zhou, C. Enhancing Properties of AgTiB2 Contact Material by CuO Semi-Coated TiB2 Composite Particles. Mater. Lett. 2021, 293, 5–8. [Google Scholar] [CrossRef]
- Ciuman-Krzemień, A.; Burzyńska, L.; Galanty, M. Selection of Optimum Parameters to Obtain Ag-TiB2 Composite Electrical Contacts. Powder Metall. 2009, 52, 49–60. [Google Scholar] [CrossRef]
- Li, H.; Wang, X.; Xi, Y.; Liu, Y.; Guo, X. Influence of WO3 Addition on the Material Transfer Behavior of the AgTiB2 Contact Material. Mater. Des. 2017, 121, 85–91. [Google Scholar] [CrossRef]
- Sun, Y.; Tran, V.; Zhang, D.; Wang, W.; Yang, S. Technology and Antimicrobial Properties of Cu/TiB2 Composite Coating on 304 Steel Surface Prepared by Laser Cladding. Mater. Sci. Forum 2018, 944 MSF, 473–479. [Google Scholar] [CrossRef]
- Fairley, N.; Fernandez, V.; Richard-Plouet, M.; Guillot-Deudon, C.; Walton, J.; Smith, E.; Flahaut, D.; Greiner, M.; Biesinger, M.; Tougaard, S.; et al. Systematic and Collaborative Approach to Problem Solving Using X-Ray Photoelectron Spectroscopy. Appl. Surf. Sci. Adv. 2021, 5, 100112. [Google Scholar] [CrossRef]
- Klinger, M.; Jäger, A. Crystallographic Tool Box (CrysTBox): Automated Tools for Transmission Electron Microscopists and Crystallographers. J. Appl. Crystallogr. 2015, 48, 2012–2018. [Google Scholar] [CrossRef]
- Woodcock, D.M.; Crowther, P.J.; Doherty, J.; Jefferson, S.; DeCruz, E.; Noyer-Weidner, M.; Smith3, S.S.; Michael, M.Z.; Graham, M.W. Quantitative Evaluation of Escherichia Coli Host Strains for Tolerance to Cytosine Methylation in Plasmid and Phage Recombinants. Nucleic Acids Res. 1989, 17, 3469–3478. [Google Scholar] [CrossRef]
- Oliver, W.C.; Pharr, G.M. An Improved Technique for Determining Hardness and Elastic Modulus Using Load and Displacement Sensing Indentation Experiments. J. Mater. Res. 1992, 7, 1564–1583. [Google Scholar] [CrossRef]
- Neidhardt, J.; Mráz, S.; Schneider, J.M.; Strub, E.; Bohne, W.; Liedke, B.; Möller, W.; Mitterer, C. Experiment and Simulation of the Compositional Evolution of Ti–B Thin Films Deposited by Sputtering of a Compound Target. J. Appl. Phys. 2008, 104, 063304. [Google Scholar] [CrossRef]
- Bakhit, B.; Primetzhofer, D.; Pitthan, E.; Sortica, M.A.; Rosén, J.; Hultman, L.; Petrov, I.; Greczynski, G. Systematic Compositional Analysis of Sputter- Deposited Boron-Containing Thin Films. J. Vac. Sci. Technol. A 2021, 39, 063408. [Google Scholar] [CrossRef]
- Li, J.; Wang, J.; Kumar, A.; Li, H.; Xiong, D. High Temperatures Tribological Properties of Ta-Ag Films Deposited at Various Working Pressures and Sputtering Powers. Surf. Coat. Technol. 2018, 349, 186–197. [Google Scholar] [CrossRef]
- Zuo, J. Deposition of Ag Nanostructures on TiO2 Thin Films by RF Magnetron Sputtering. Appl. Surf. Sci. 2010, 256, 7096–7101. [Google Scholar] [CrossRef]
- Cinali, M.B.; Coşkun, Ö.D. Optimization of Physical Properties of Sputtered Silver Films by Change of Deposition Power for Low Emissivity Applications. J. Alloys Compd. 2021, 853, 157073. [Google Scholar] [CrossRef]
- Tjeng, L.H.; Meinders, M.B.J.; van Elp, J.; Ghijsen, J.; Sawatzky, G.A.; Johnson, R.L. Electronic Structure of Ag2O. Phys. Rev. B Condens. Matter Mater. Phys. 2000, 41, 3190–3199. [Google Scholar] [CrossRef] [PubMed]
- Greczynski, G.; Hultman, L. A Step-by-Step Guide to Perform X-ray Photoelectron Spectroscopy. J. Appl. Phys. 2022, 132, 011101. [Google Scholar] [CrossRef]
- Pelleg, J.; Rotman, M.; Sinder, M. Borides of Ag and Au Prepared by Magnetron Sputtering. Phys. C Supercond. Appl. 2007, 466, 61–64. [Google Scholar] [CrossRef]
- Barna, P.B.; Adamik, M. Fundamental Structure Forming Phenomena of Polycrystalline Films and the Structure Zone Models. Thin Solid Films 1998, 317, 27–33. [Google Scholar] [CrossRef]
- Drábik, M.; Choukourov, A.; Artemenko, A.; Kousal, J.; Polonskyi, O.; Solaå, P.; Kylián, O.; Matoušek, J.; Pešička, J.; Matolínová, I.; et al. Morphology of Titanium Nanocluster Films Prepared by Gas Aggregation Cluster Source. Plasma Process. Polym. 2011, 8, 640–650. [Google Scholar] [CrossRef]
- Fuger, C.; Hahn, R.; Hirle, A.; Kutrowatz, P.; Weiss, M.; Limbeck, A.; Hunold, O.; Polcik, P.; Riedl, H. Revisiting the Origins of Super-Hardness in TiB2+z Thin Films—Impact of Growth Conditions and Anisotropy. Surf. Coat. Technol. 2022, 446, 128806. [Google Scholar] [CrossRef]
- Mayrhofer, P.H.; Mitterer, C. Self-Organized Nanocolumnar Structure in Superhard TiB2 Thin Films. Appl. Phys. Lett. 2005, 86, 131909. [Google Scholar] [CrossRef]
- Lofaj, F.; Moskalewicz, T.; Cempura, G.; Mikula, M.; Dusza, J.; Czyrska-Filemonowicz, A. Nanohardness and Tribological Properties of Nc-TiB2 Coatings. J. Eur. Ceram. Soc. 2013, 33, 2347–2353. [Google Scholar] [CrossRef]
- Murthy, T.S.R.C.; Basu, B.; Srivastava, A.; Balasubramaniam, R.; Suri, A.K. Tribological Properties of TiB2 and TiB2-MoSi2 Ceramic Composites. J. Eur. Ceram. Soc. 2006, 26, 1293–1300. [Google Scholar] [CrossRef]










| Sample | Ag 3d [at.%] | Ti 2p [at.%] | B 1s [at.%] | O 1s [at.%] | B/Ti Ratio |
|---|---|---|---|---|---|
| 0 W | 0 | 23 | 71 | 6 | 3.1 |
| 100 W | 10 | 21 | 62 | 7 | 3.0 |
| 150 W | 13 | 18 | 56 | 13 | 3.1 |
| Sample | Ag [at.%] | O [at.%] | Inhibition [%] | H [GPa] | COF | Ws [mm3/Nm] |
|---|---|---|---|---|---|---|
| 0 W | 0.0 | 0 | 48 | 40.4 | 0.77 | 2.0 × 10−4 |
| 30 W | 1.4 | 0.2 | 59 | 32.9 | 0.74 | 7.1 × 10−5 |
| 50 W | 9 | 0.9 | 89 | 18.9 | 0.52 | 2.2 × 10−5 |
| 100 W | 17 | 1.5 | 75 | 11.0 | 0.47 | 2.4 × 10−5 |
| 150 W | 24 | 2.2 | 97 | 7.9 | 0.38 | 6.5 × 10−5 |
| 200 W | 28 | 2.5 | 94 | 6.4 | 0.35 | 6.4 × 10−5 |
Disclaimer/Publisher’s Note: The statements, opinions and data contained in all publications are solely those of the individual author(s) and contributor(s) and not of MDPI and/or the editor(s). MDPI and/or the editor(s) disclaim responsibility for any injury to people or property resulting from any ideas, methods, instructions or products referred to in the content. |
© 2023 by the authors. Licensee MDPI, Basel, Switzerland. This article is an open access article distributed under the terms and conditions of the Creative Commons Attribution (CC BY) license (https://creativecommons.org/licenses/by/4.0/).
Share and Cite
Vidiš, M.; Truchlý, M.; Izai, V.; Fiantok, T.; Rajninec, M.; Roch, T.; Satrapinskyy, L.; Haršáni, M.; Nagy, Š.; Turiničová, V.; et al. Mechanical and Tribological Properties of Ag/TiBx Nanocomposite Thin Films with Strong Antibacterial Effect Prepared by Magnetron Co-Sputtering. Coatings 2023, 13, 989. https://doi.org/10.3390/coatings13060989
Vidiš M, Truchlý M, Izai V, Fiantok T, Rajninec M, Roch T, Satrapinskyy L, Haršáni M, Nagy Š, Turiničová V, et al. Mechanical and Tribological Properties of Ag/TiBx Nanocomposite Thin Films with Strong Antibacterial Effect Prepared by Magnetron Co-Sputtering. Coatings. 2023; 13(6):989. https://doi.org/10.3390/coatings13060989
Chicago/Turabian StyleVidiš, Marek, Martin Truchlý, Vitalii Izai, Tomáš Fiantok, Miroslav Rajninec, Tomáš Roch, Leonid Satrapinskyy, Marián Haršáni, Štefan Nagy, Veronika Turiničová, and et al. 2023. "Mechanical and Tribological Properties of Ag/TiBx Nanocomposite Thin Films with Strong Antibacterial Effect Prepared by Magnetron Co-Sputtering" Coatings 13, no. 6: 989. https://doi.org/10.3390/coatings13060989
APA StyleVidiš, M., Truchlý, M., Izai, V., Fiantok, T., Rajninec, M., Roch, T., Satrapinskyy, L., Haršáni, M., Nagy, Š., Turiničová, V., & Mikula, M. (2023). Mechanical and Tribological Properties of Ag/TiBx Nanocomposite Thin Films with Strong Antibacterial Effect Prepared by Magnetron Co-Sputtering. Coatings, 13(6), 989. https://doi.org/10.3390/coatings13060989

