Atmospheric Pressure Plasma Polymerization of Carvone: A Promising Approach for Antimicrobial Coatings
Abstract
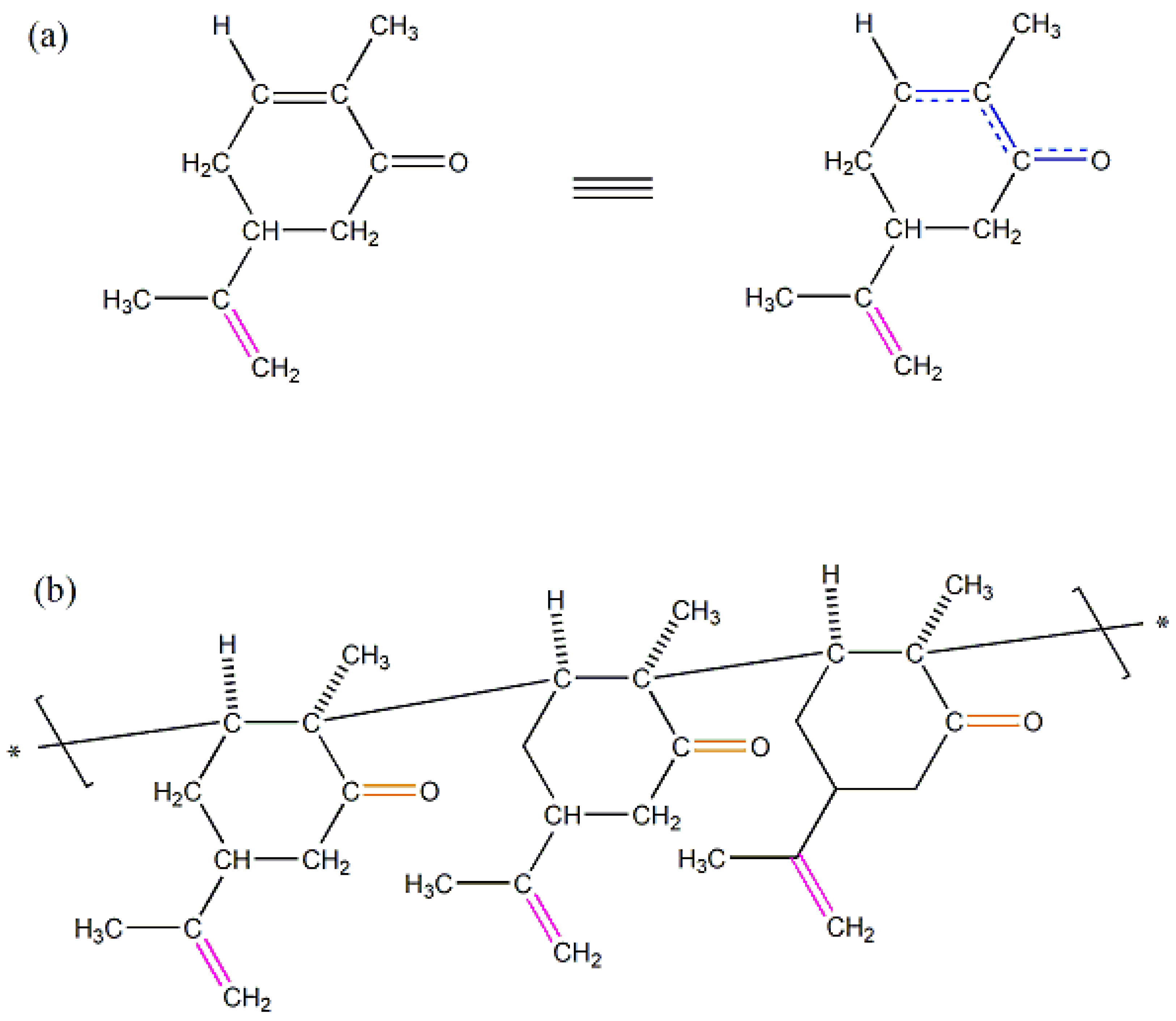
1. Introduction
2. Materials and Methods
2.1. Materials
2.2. Experimental Setup of the AP Plasma Polymerization System
2.3. Surface Characterization
2.3.1. Thickness and Roughness
2.3.2. Water Contact Angle (WCA)
2.3.3. Zeta Potential (ZP)
2.3.4. Attenuated Total Reflectance Fourier Transform Infrared Spectroscopy (ATR-FTIR) Analysis
2.3.5. X-ray Photoelectron Spectroscopy (XPS)
2.3.6. Microbiological Activity
2.3.7. Effect on Biofilm Formation
2.3.8. Field Emission Scanning Electron Microscope (FE-SEM)
2.3.9. Live–Dead Assay
2.3.10. Molecular Docking Analysis
2.3.11. Statistical Analysis
3. Results and Discussion
3.1. Surface Studies
3.1.1. Atomic Force Microscopy (AFM) Analysis
3.1.2. Zeta Potential Measurements
3.1.3. Water Contact Angle (WCA)
3.1.4. Field Emission Scanning Electron Microscopy (FE-SEM)
3.2. Chemical Analysis
3.2.1. FTIR Analysis
3.2.2. XPS Analysis
3.3. Antibacterial Evaluation of AP-PP-Car
3.3.1. Antibacterial Activity Using FE-SEM
3.3.2. Bacterial Enumeration Using Gram Staining
3.3.3. Live–Dead Assay
3.3.4. Computational Studies
4. Conclusions
Author Contributions
Funding
Institutional Review Board Statement
Informed Consent Statement
Data Availability Statement
Acknowledgments
Conflicts of Interest
References
- Francolini, I.; Donelli, G.; Crisante, F.; Taresco, V.; Piozzi, A. Antimicrobial Polymers for Anti-biofilm Medical Devices: State-of-Art and Perspectives. In Biofilm-Based Healthcare-Associated Infections: Volume II; Donelli, G., Ed.; Springer International Publishing: Cham, Switzerland, 2015; pp. 93–117. [Google Scholar]
- Kamaruzzaman, N.F.; Tan, L.P.; Hamdan, R.H.; Choong, S.S.; Wong, W.K.; Gibson, A.J.; Chivu, A.; Pina, M.d.F. Antimicrobial polymers: The potential replacement of existing antibiotics? Int. J. Mol. Sci. 2019, 20, 2747. [Google Scholar] [CrossRef]
- Kumar, M.; Patel, A.K.; Shah, A.V.; Raval, J.; Rajpara, N.; Joshi, M.; Joshi, C.G. First proof of the capability of wastewater surveillance for COVID-19 in India through detection of genetic material of SARS-CoV-2. Sci. Total Environ. 2020, 746, 141326. [Google Scholar] [CrossRef]
- Patel, B.; Mishra, S.; Priyadarsini, I.K.; Vavilala, S.L. Elucidating the anti-biofilm and anti-quorum sensing potential of selenocystine against respiratory tract infections causing bacteria: In Vitro and in silico studies. Biol. Chem. 2021, 402, 769–783. [Google Scholar] [CrossRef]
- Smith, R.D.; Yago, M.; Millar, M.; Coast, J. Assessing the macroeconomic impact of a healthcare problem: The application of computable general equilibrium analysis to antimicrobial resistance. J. Health Econ. 2005, 24, 1055–1075. [Google Scholar] [CrossRef] [PubMed]
- Naz, A.; Obaid, A.; Shahid, F.; Dar, H.A.; Naz, K.; Ullah, N.; Ali, A. Chapter 16—Reverse vaccinology and drug target identification through pan-genomics. In Pan-Genomics: Applications, Challenges, and Future Prospects; Barh, D., Soares, S., Tiwari, S., Azevedo, V., Eds.; Academic Press: Cambridge, MA, USA, 2020; pp. 317–333. [Google Scholar] [CrossRef]
- Francolini, I.; Vuotto, C.; Piozzi, A.; Donelli, G. Antifouling and antimicrobial biomaterials: An overview. APMIS 2017, 125, 392–417. [Google Scholar] [CrossRef] [PubMed]
- Riga, E.K.; Vöhringer, M.; Widyaya, V.T.; Lienkamp, K. Polymer-Based Surfaces Designed to Reduce Biofilm Formation: From Antimicrobial Polymers to Strategies for Long-Term Applications. Macromol. Rapid Commun. 2017, 38, 1700216. [Google Scholar] [CrossRef]
- Jacob, M.V.; Easton, C.D.; Anderson, L.J.; Bazaka, K. RF plasma polymerised thin films from natural resources. Proc. Int. J. Mod. Phys. Conf. Ser. 2014, 32, 1460319. [Google Scholar] [CrossRef]
- Coessens, V.; Pintauer, T.; Matyjaszewski, K. Functional polymers by atom transfer radical polymerization. Prog. Polym. Sci. 2001, 26, 337–377. [Google Scholar] [CrossRef]
- Ulman, A. Self-Assembled Monolayers of 4-Mercaptobiphenyls. Acc. Chem. Res. 2001, 34, 855–863. [Google Scholar] [CrossRef]
- Oliveira, M.B.; Hatami, J.; Mano, J.F. Coating Strategies Using Layer-by-layer Deposition for Cell Encapsulation. Chem.—Asian J. 2016, 11, 1753–1764. [Google Scholar] [CrossRef]
- Masood, A.; Ahmed, N.; Razip Wee, M.F.M.; Patra, A.; Mahmoudi, E.; Siow, K.S. Atmospheric Pressure Plasma Polymerisation of D-Limonene and Its Antimicrobial Activity. Polymers 2023, 15, 307. [Google Scholar] [CrossRef] [PubMed]
- Chan, Y.W.; Siow, K.S.; Ng, P.Y.; Gires, U.; Majlis, B.Y. Plasma polymerized carvone as an antibacterial and biocompatible coating. Mater. Sci. Eng. C 2016, 68, 861–871. [Google Scholar] [CrossRef]
- Masood, A.; Ahmed, N.; Mohd Razip Wee, M.F.; Haniff, M.A.S.M.; Mahmoudi, E.; Patra, A.; Siow, K.S. Pulsed plasma polymerisation of carvone: Characterisations and antibacterial properties. Surf. Innov. 2022, 40, 1–13. [Google Scholar] [CrossRef]
- Amirrah, I.N.; Zulkiflee, I.; Mohd Razip Wee, M.F.; Masood, A.; Siow, K.S.; Motta, A.; Fauzi, M.B. Plasma-Polymerised Antibacterial Coating of Ovine Tendon Collagen Type I (OTC) Crosslinked with Genipin (GNP) and Dehydrothermal-Crosslinked (DHT) as a Cutaneous Substitute for Wound Healing. Materials 2023, 16, 2739. [Google Scholar] [CrossRef] [PubMed]
- Ma, C.; Wang, L.; Nikiforov, A.; Onyshchenko, Y.; Cools, P.; Ostrikov, K.; De Geyter, N.; Morent, R. Atmospheric-pressure plasma assisted engineering of polymer surfaces: From high hydrophobicity to superhydrophilicity. Appl. Surf. Sci. 2021, 535, 147032. [Google Scholar] [CrossRef]
- Hartley, P.G.; Thissen, H.; Vaithianathan, T.; Griesser, H.J. A surface masking technique for the determination of plasma polymer film thickness by AFM. Plasmas Polym. 2000, 5, 47–60. [Google Scholar] [CrossRef]
- Ahmed, N.; Masood, A.; Siow, K.S.; Wee, M.; Haron, F.F.; Patra, A.; Nayan, N.; Soon, C.F.J.P.C.; Processing, P. Effects of Oxygen (O2) Plasma Treatment in Promoting the Germination and Growth of Chili. Plasma Chem. Plasma Process. 2022, 42, 91–108. [Google Scholar] [CrossRef]
- Siow, K.S.; Britcher, L.; Kumar, S.; Griesser, H.J. QCM-D and XPS study of protein adsorption on plasma polymers with sulfonate and phosphonate surface groups. Colloids Surf. B Biointerfaces 2019, 173, 447–453. [Google Scholar] [CrossRef]
- Ahmed, N.; Masood, A.; Siow, K.S.; Wee, M.; Auliya, R.Z.; Ho, W.K.J.A. Effect of H2O-based low-pressure plasma (LPP) treatment on the germination of bambara groundnut seeds. Agronomy 2021, 11, 338. [Google Scholar] [CrossRef]
- Madkour, A.E.; Tew, G.N. Towards self-sterilizing medical devices: Controlling infection. Polym. Int. 2008, 57, 6–10. [Google Scholar] [CrossRef]
- Moyes, R.B.; Reynolds, J.; Breakwell, D.P. Differential staining of bacteria: Gram stain. Curr. Protoc. Microbiol. 2009, 15, A.3C.1–A.3C.8. [Google Scholar] [CrossRef]
- Wang, Y.; Xiao, J.; Suzek, T.O.; Zhang, J.; Wang, J.; Bryant, S.H. PubChem: A public information system for analyzing bioactivities of small molecules. Nucleic Acids Res. 2009, 37, W623–W633. [Google Scholar] [CrossRef] [PubMed]
- Bode, J.W. Reactor ChemAxon Ltd.: Maramaros koz 2/a, Budapest, 1037 Hungary. Contact ChemAxon for Pricing Information. ACS Publications. 2004. Available online: www.chemaxon.com (accessed on 10 January 2023).
- Wang, X.; Guan, Q.; Wang, X.; Teng, D.; Mao, R.; Yao, J.; Wang, J. Paving the way to construct a new vaccine against Escherichia coli from its recombinant outer membrane protein C via a murine model. Process Biochem. 2015, 50, 1194–1201. [Google Scholar] [CrossRef]
- Confer, A.W.; Ayalew, S. The OmpA family of proteins: Roles in bacterial pathogenesis and immunity. Vet. Microbiol. 2013, 163, 207–222. [Google Scholar] [CrossRef] [PubMed]
- Burley, S.K.; Berman, H.M.; Kleywegt, G.J.; Markley, J.L.; Nakamura, H.; Velankar, S. Protein Data Bank (PDB): The single global macromolecular structure archive. In Protein Crystallography: Methods and Protocols; Humana Press: New York, NY, USA, 2017; pp. 627–641. [Google Scholar]
- Liu, Y.; Grimm, M.; Dai, W.-t.; Hou, M.-c.; Xiao, Z.-X.; Cao, Y. CB-Dock: A web server for cavity detection-guided protein–ligand blind docking. Acta Pharmacol. Sin. 2020, 41, 138–144. [Google Scholar] [CrossRef]
- Starič, P.; Grobelnik Mlakar, S.; Junkar, I. Response of Two Different Wheat Varieties to Glow and Afterglow Oxygen Plasma. Plants 2021, 10, 1728. [Google Scholar] [CrossRef]
- Kolská, Z.; Makajová, Z.; Kolářová, K.; Slepičková, N.K.; Trostová, S.; Řezníčková, A.; Siegel, J.; Švorčík, V. Electrokinetic potential and other surface properties of polymer foils and their modifications. Polym. Sci. 2013, 4, 203–228. [Google Scholar]
- Ajdnik, U.; Zemljič, L.F.; Plohl, O.; Pérez, L.; Trček, J.; Bračič, M.; Mohan, T. Bioactive Functional Nanolayers of Chitosan–Lysine Surfactant with Single- and Mixed-Protein-Repellent and Antibiofilm Properties for Medical Implants. ACS Appl. Mater. Interfaces 2021, 13, 23352–23368. [Google Scholar] [CrossRef]
- Rzhepishevska, O.; Hakobyan, S.; Ruhal, R.; Gautrot, J.; Barbero, D.; Ramstedt, M. The surface charge of anti-bacterial coatings alters motility and biofilm architecture. Biomater. Sci. 2013, 1, 589–602. [Google Scholar] [CrossRef]
- Srinivasan, S.; McKinley, G.H.; Cohen, R.E. Assessing the accuracy of contact angle measurements for sessile drops on liquid-repellent surfaces. Langmuir 2011, 27, 13582–13589. [Google Scholar] [CrossRef]
- Wang, Y.; Sang, D.K.; Du, Z.; Zhang, C.; Tian, M.; Mi, J. Interfacial structures, surface tensions, and contact angles of diiodomethane on fluorinated polymers. J. Phys. Chem. C 2014, 118, 10143–10152. [Google Scholar] [CrossRef]
- Belibel, R.; Avramoglou, T.; Garcia, A.; Barbaud, C.; Mora, L. Effect of chemical heterogeneity of biodegradable polymers on surface energy: A static contact angle analysis of polyester model films. Mater. Sci. Eng. C 2016, 59, 998–1006. [Google Scholar] [CrossRef]
- Fahmy, A.; Mix, R.; Schönhals, A.; Friedrich, J. Surface and bulk structure of thin spin coated and plasma-polymerized polystyrene films. Plasma Chem. Plasma Process. 2012, 32, 767–780. [Google Scholar] [CrossRef]
- Kuchakova, I.; Ionita, M.D.; Ionita, E.-R.; Lazea-Stoyanova, A.; Brajnicov, S.; Mitu, B.; Dinescu, G.; De Vrieze, M.; Cvelbar, U.; Zille, A.; et al. Atmospheric Pressure Plasma Deposition of Organosilicon Thin Films by Direct Current and Radio-frequency Plasma Jets. Materials 2020, 13, 1296. [Google Scholar] [CrossRef] [PubMed]
- Shenton, M.J.; Lovell-Hoare, M.C.; Stevens, G.C. Adhesion enhancement of polymer surfaces by atmospheric plasma treatment. J. Phys. D Appl. Phys. 2001, 34, 2754. [Google Scholar] [CrossRef]
- Baer, D.R.; Gaspar, D.J.; Nachimuthu, P.; Techane, S.D.; Castner, D.G. Application of surface chemical analysis tools for characterization of nanoparticles. Anal. Bioanal. Chem. 2010, 396, 983–1002. [Google Scholar] [CrossRef]
- Derdar, H.; Belbachir, M.; Harrane, A. A green synthesis of polylimonene using Maghnite-H+, an exchanged montmorillonite clay, as eco-catalyst. Bull. Chem. React. Eng. Catal. 2019, 14, 69–78. [Google Scholar] [CrossRef]
- Gerchman, D.; Bones, B.; Pereira, M.; Takimi, A. Thin film deposition by plasma polymerization using d-limonene as a renewable precursor. Prog. Org. Coat. 2019, 129, 133–139. [Google Scholar] [CrossRef]
- Lin-Vien, D.; Colthup, N.B.; Fateley, W.G.; Grasselli, J.G. The Handbook of Infrared and Raman Characteristic Frequencies of Organic Molecules; Elsevier: Amsterdam, The Netherlands, 1991. [Google Scholar]
- Clouet, F.; Shi, M. Interactions of polymer model surfaces with cold plasmas: Hexatriacontane as a model molecule of high-density polyethylene and octadecyl octadecanoate as a model of polyester. I. Degradation rate versus time and power. J. Appl. Polym. Sci. 1992, 46, 1955–1966. [Google Scholar] [CrossRef]
- Bazaka, K.; Jacob, M.V. Post-deposition ageing reactions of plasma derived polyterpenol thin films. Polym. Degrad. Stab. 2010, 95, 1123–1128. [Google Scholar] [CrossRef]
- Siow, K.S.; Britcher, L.; Kumar, S.; Griesser, H.J. Plasma Polymers Containing Sulfur and Their Co-Polymers With 1, 7-Octadiene: Chemical and Structural Analysis. Plasma Process. Polym. 2017, 14, 1600044. [Google Scholar] [CrossRef]
- Alancherry, S.; Bazaka, K.; Jacob, M.V. RF plasma polymerization of orange oil and characterization of the polymer thin films. J. Polym. Environ. 2018, 26, 2925–2933. [Google Scholar] [CrossRef]
- Ahmad, J.; Bazaka, K.; Whittle, J.D.; Michelmore, A.; Jacob, M.V. Structural Characterization of γ-Terpinene Thin Films Using Mass Spectroscopy and X-ray Photoelectron Spectroscopy. Plasma Process. Polym. 2015, 12, 1085–1094. [Google Scholar] [CrossRef]
- Park, C.-S.; Jung, E.Y.; Kim, D.H.; Kim, D.Y.; Lee, H.-K.; Shin, B.J.; Lee, D.H.; Tae, H.-S. Atmospheric pressure plasma polymerization synthesis and characterization of polyaniline films doped with and without iodine. Materials 2017, 10, 1272. [Google Scholar] [CrossRef]
- Diu, T.; Faruqui, N.; Sjöström, T.; Lamarre, B.; Jenkinson, H.F.; Su, B.; Ryadnov, M.G. Cicada-inspired cell-instructive nanopatterned arrays. Sci. Rep. 2014, 4, 7122. [Google Scholar] [CrossRef]
- Schiffman, J.D.; Elimelech, M. Antibacterial activity of electrospun polymer mats with incorporated narrow diameter single-walled carbon nanotubes. ACS Appl. Mater. Interfaces 2011, 3, 462–468. [Google Scholar] [CrossRef] [PubMed]
- Lee, S.B.; Koepsel, R.R.; Morley, S.W.; Matyjaszewski, K.; Sun, Y.; Russell, A.J. Permanent, nonleaching antibacterial surfaces. 1. Synthesis by atom transfer radical polymerization. Biomacromolecules 2004, 5, 877–882. [Google Scholar] [CrossRef]
- Robertson, J.; McGoverin, C.; White, J.R.; Vanholsbeeck, F.; Swift, S. Rapid detection of Escherichia coli antibiotic susceptibility using live/dead spectrometry for lytic agents. Microorganisms 2021, 9, 924. [Google Scholar] [CrossRef] [PubMed]
- Kumar, V.; Pulpytel, J.; Giudetti, G.; Rauscher, H.; Rossi, F.; Arefi-Khonsari, F. Amphiphilic Copolymer Coatings via Plasma Polymerisation Process: Switching and Anti-Biofouling Characteristics. Plasma Process. Polym. 2011, 8, 373–385. [Google Scholar] [CrossRef]
- Vijesh, A.; Isloor, A.M.; Telkar, S.; Arulmoli, T.; Fun, H.-K. Molecular docking studies of some new imidazole derivatives for antimicrobial properties. Arab. J. Chem. 2013, 6, 197–204. [Google Scholar] [CrossRef]
- Liu, Y.-F.; Yan, J.-J.; Lei, H.-Y.; Teng, C.-H.; Wang, M.-C.; Tseng, C.-C.; Wu, J.-J. Loss of outer membrane protein C in Escherichia coli contributes to both antibiotic resistance and escaping antibody-dependent bactericidal activity. Infect. Immun. 2012, 80, 1815–1822. [Google Scholar] [CrossRef] [PubMed]
- Kouranov, A.; Xie, L.; de la Cruz, J.; Chen, L.; Westbrook, J.; Bourne, P.E.; Berman, H.M. The RCSB PDB information portal for structural genomics. Nucleic Acids Res. 2006, 34, D302–D305. [Google Scholar] [CrossRef] [PubMed]
- Kim, S.; Thiessen, P.A.; Bolton, E.E.; Chen, J.; Fu, G.; Gindulyte, A.; Han, L.; He, J.; He, S.; Shoemaker, B.A. PubChem substance and compound databases. Nucleic Acids Res. 2016, 44, D1202–D1213. [Google Scholar] [CrossRef]
- Eberhardt, J.; Santos-Martins, D.; Tillack, A.F.; Forli, S. AutoDock Vina 1.2. 0: New docking methods, expanded force field, and python bindings. J. Chem. Inf. Model. 2021, 61, 3891–3898. [Google Scholar] [CrossRef] [PubMed]










| Sample | Thickness (nm) | Average Roughness, Ra (nm) | Root Mean Square Roughness, Rq (nm) |
|---|---|---|---|
| AP1 | 41.7 ± 3.1 | 5.02 ± 1.20 | 5.83 ± 1.41 |
| AP2 | 153.6 ± 1.9 | 0.07 ± 0.01 | 0.08 ± 0.01 |
| 24 h DI-water-immersed AP2 | 147.0 ± 2.5 | 0.08 ± 0.01 | 0.09 ± 0.02 |
| Monomer vs. Bacteria | Pocket ID | Vina Score | Cavity Volume (Å3) | Center (x, y, z) | Docking Size (x, y, z) | Contact Residues |
|---|---|---|---|---|---|---|
| Carvone vs. E. coli | C1 | −7.0 | 936 | 31, 8, 32 | 29, 17, 17 | PHE88 TYR90 ALA129 GLY19 LEU20 HIS21 PHE23 LEU340 GLY341 LEU342 |
| C2 | −5.8 | 821 | 25, 28, −6 | 30, 17, 17 |
GLY19 LEU20 HIS21 PHE23 LEU340 GLY341 LEU342 PHE88 TYR90 ALA129 | |
| C3 | −6.0 | 749 | 37, −13, −4 | 30, 17, 17 |
PHE88 TYR90 ALA129 TYR149 GLY19 LEU20 HIS21 PHE23 LEU340 GLY341 LEU342 | |
| C4 | −4.5 | 596 | 16, 27, 9 | 26, 17, 17 | LYS16 ASP18 VAL106 LEU107 PRO108 GLN264 THR303 TYR305 SER311 TYR313 VAL343 | |
| C5 | −4.5 | 574 | 24, −5, 26 | 24, 17, 17 | GLN266 GLY270 ARG272 TYR305 ASN307 LYS308 ASN309 GLN34 | |
| Carvone vs. S. aureus | C1 | −6.7 | 6477 | 8, 38, 31 | 35, 29, 32 | ASN146 LEU147 LYS148 GLU150 GLU239 ARG298 LYS317 LYS318 |
| C2 | −4.9 | 3793 | 1, 37, 57 | 17, 30, 28 |
LEU155 ASP323 ILE324 GLN325 ASP552 LYS153 LEU155 ASN159 GLU161 ASP323 | |
| C3 | −4.9 | 2623 | −1, 32, 8 | 17, 29, 17 |
ARG110 ASN111 HIS311 VAL174 LYS176 ASN177 ASP209 PHE211 THR234 | |
| C4 | −5.1 | 2139 | 34, 40, 18 | 17, 24, 17 |
LYS176 ASP208 ASP209 ARG110 ASN111 VAL112 GLN113 ASN115 ASP128 SER130 GLY135 | |
| C5 | −5.2 | 1450 | 28, 25, 80 | 17, 28, 28 | TYR344 THR399 SER400 GLN521 ALA601 GLU602 LEU603 LYS604 ILE614 ASN632 LYS634 |
Disclaimer/Publisher’s Note: The statements, opinions and data contained in all publications are solely those of the individual author(s) and contributor(s) and not of MDPI and/or the editor(s). MDPI and/or the editor(s) disclaim responsibility for any injury to people or property resulting from any ideas, methods, instructions or products referred to in the content. |
© 2023 by the authors. Licensee MDPI, Basel, Switzerland. This article is an open access article distributed under the terms and conditions of the Creative Commons Attribution (CC BY) license (https://creativecommons.org/licenses/by/4.0/).
Share and Cite
Masood, A.; Ahmed, N.; Shahid, F.; Mohd Razip Wee, M.F.; Patra, A.; Siow, K.S. Atmospheric Pressure Plasma Polymerization of Carvone: A Promising Approach for Antimicrobial Coatings. Coatings 2023, 13, 1112. https://doi.org/10.3390/coatings13061112
Masood A, Ahmed N, Shahid F, Mohd Razip Wee MF, Patra A, Siow KS. Atmospheric Pressure Plasma Polymerization of Carvone: A Promising Approach for Antimicrobial Coatings. Coatings. 2023; 13(6):1112. https://doi.org/10.3390/coatings13061112
Chicago/Turabian StyleMasood, Asad, Naeem Ahmed, Fatima Shahid, M. F. Mohd Razip Wee, Anuttam Patra, and Kim S. Siow. 2023. "Atmospheric Pressure Plasma Polymerization of Carvone: A Promising Approach for Antimicrobial Coatings" Coatings 13, no. 6: 1112. https://doi.org/10.3390/coatings13061112
APA StyleMasood, A., Ahmed, N., Shahid, F., Mohd Razip Wee, M. F., Patra, A., & Siow, K. S. (2023). Atmospheric Pressure Plasma Polymerization of Carvone: A Promising Approach for Antimicrobial Coatings. Coatings, 13(6), 1112. https://doi.org/10.3390/coatings13061112

