A Nano-CeO2/Zn–Mn Composite Conversion Coatings on AZ91D Magnesium Alloy Surface of Corrosion Resistance Research
Abstract
1. Introduction
2. Materials and Methods
2.1. Materials and Instruments
2.2. Sample Preparation
2.3. Experimental Content
2.4. Test and Analysis
- (1)
- Electrochemical test
- (2)
- SEM and XRD detection under the morphology of the coating layer
- (3)
- Analysis of macroscopic morphology of coating layer
- (4)
- Copper sulfate drop test
3. Results and Discussion
3.1. Characteristics of Zn–Mn Conversion Coatings
3.1.1. Microstructure and Chemical Composition Analysis
3.1.2. Morphology of Zn–Mn Conversion Coatings with Different ZnO Contents
3.2. Corrosion Resistance of Zn–Mn Conversion Coatings
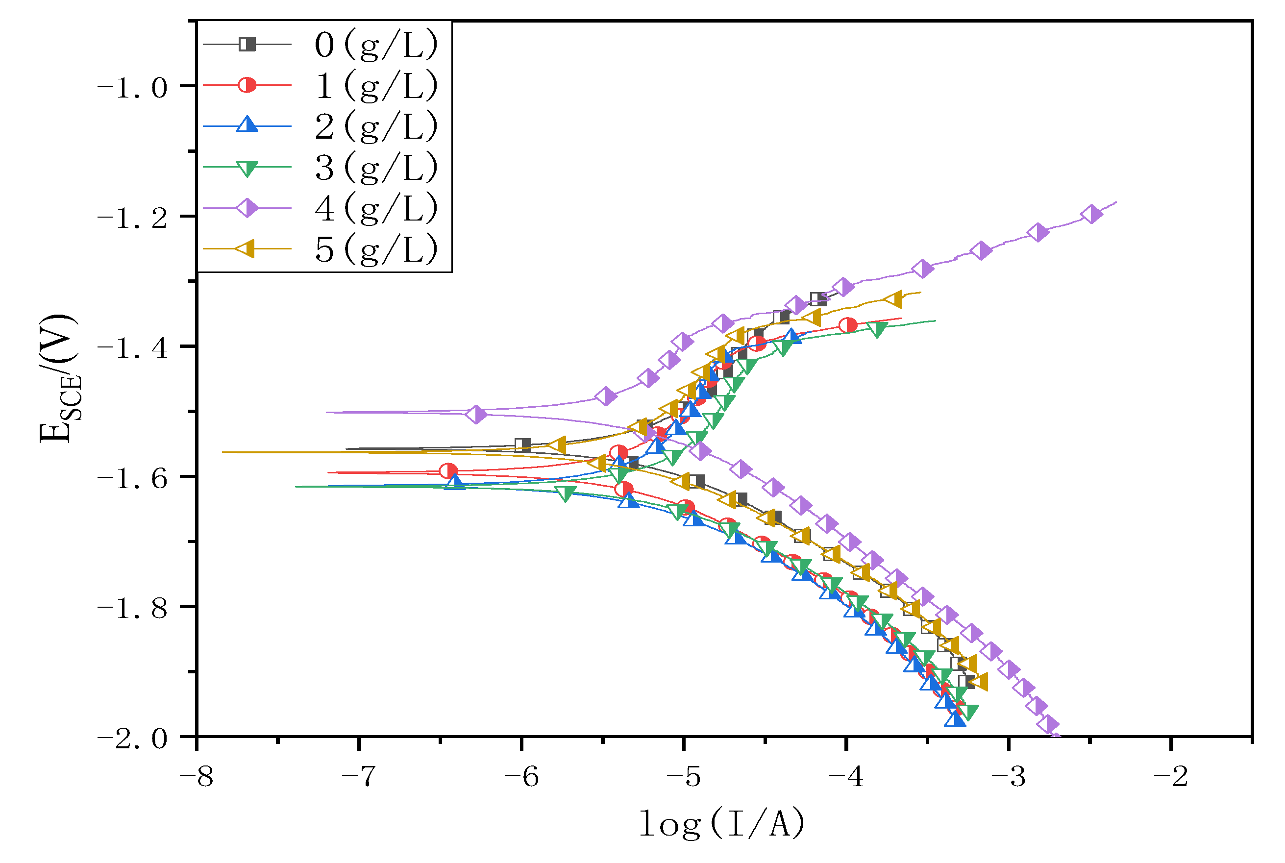
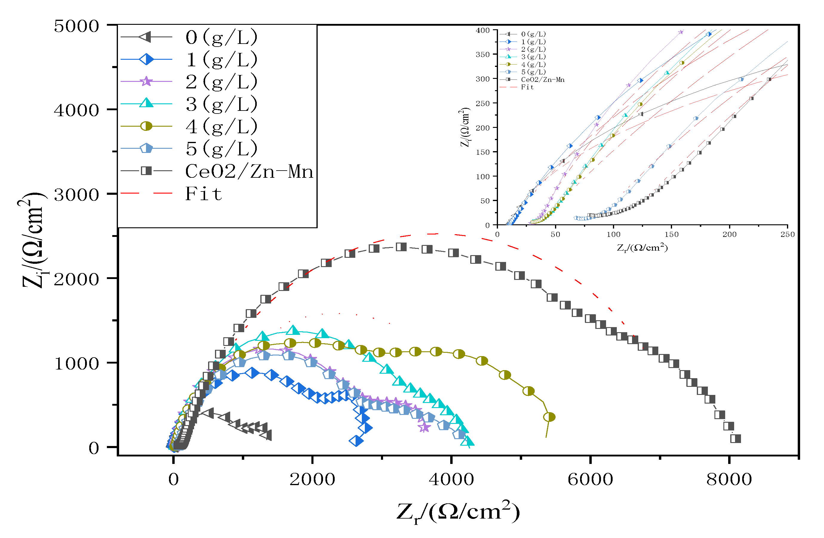
Corrosion Resistance of Zn–Mn Conversion Coatings with Different ZnO Contents
3.3. Nano CeO2/Zn–Mn Composite Coating
3.3.1. Microstructure of Nano-CeO2/Zn–Mn Composite Coatings with Optimal ZnO Content
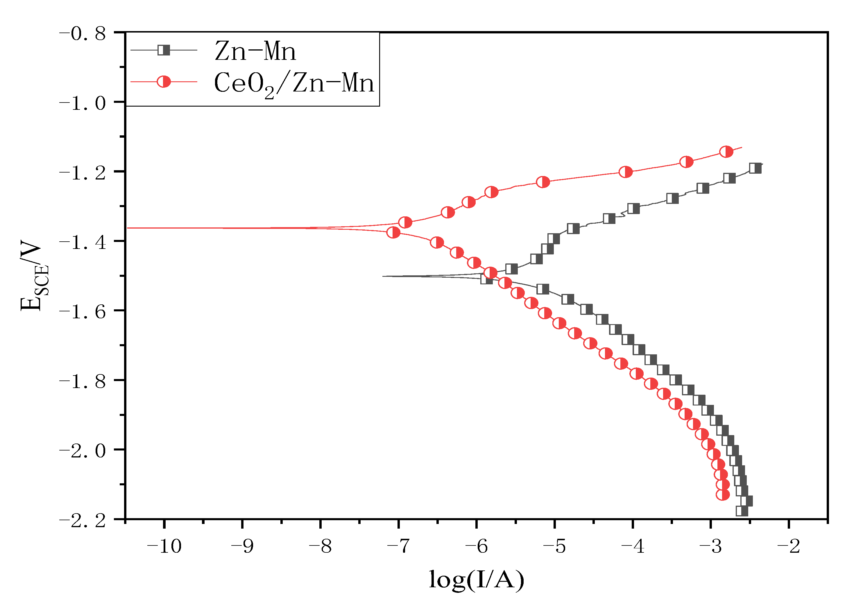
3.3.2. Corrosion Resistance of Nano CeO2/Zn–Mn Composite Coatings with Optimal ZnO Content
3.3.3. The Cross-Section Morphology of CeO2/Zn–Mn Nano-Composite Coatings with Optimal ZnO Content
4. Conclusions
- (1)
- Based on the above analysis, the optimum technoligial formula of the composite coating is 6.08 g/L Mazhiv salt, 1 g/L NaF, 4.6 g/L EDTA-4Na, 20 g/L Mn(NO3)2, 4 g/L ZnO, 2.4 g/L CeO2 and 0.5 g/L OP-10. The preparation conditions are 70 °C, pH = 3 (adjusted by phosphoric acid and ammonia water), water bath conversion time of 15 min and conversion temperature of 60 °C;
- (2)
- In this work, when ZnO is not added, the Zn–Mn coating is composed of MgO and Mg(OH)2. When ZnO is added, the Zn phase appears. With the increase of ZnO concentration, the coating has a mixture of Mn3(PO4)2·5H2O, Zn and Zn3(PO4)2·4H2O. When the content of ZnO is 4 g/L, the phase tends to be in equilibrium. There are the fewest pores and cracks in the coating. When the content of ZnO is 5 g/L, a zinc-rich phase appears, and the monolayer coating has certain corrosion resistance;
- (3)
- The results show that the nano-CeO2/Zn–Mn composite coating has an obvious double-layer structure. The addition of nano-CeO2 refines the spalling on the surface of Zn–Mn phosphating coating, enhances the adhesion between surface grains and changes the size of the coating particles. The surface is denser, there are fewer cracks, the coating thickness is about 48 microns and the corrosion resistance is obviously improved;
- (4)
- According to the electrochemical impedance spectrum (EIS) and electrochemical polarization curve (Tafel), under the optimum ZnO concentration, the electrochemical impedance spectrum (EIS) value is obviously improved after adding nano-CeO2 particles into the phosphide solution. Nano-CeO2 acts as a strong oxidant, which helps to improve the potential of the REDOX potential solution, accelerate the formation of the coating and promote the increase of thickness. The corrosion current density decreased from 1.86 × 10−6 A/cm2 to 9.538 × 10−7 A/cm2, and the corrosion resistance of the coating was remarkable.
Author Contributions
Funding
Institutional Review Board Statement
Informed Consent Statement
Data Availability Statement
Conflicts of Interest
References
- Khisamov, R.; Shayakhmetov, R.; Yumaguzin, Y.M.; Kistanov, A. Work Function, Sputtering Yield and Microhardness of an Al-Mg Metal-Matrix Nanostructured Composite Obtained with High-Pressure Torsion. Coatings 2023, 13, 5007. [Google Scholar] [CrossRef]
- Tun, K.S.; Brendan, T.Y.S.; Tekumalla, S.Y.; Gupta, M.J. Development from Alloys to Nanocomposite for an Enhanced Mechanical and Ignition Response in Magnesium. Coatings 2021, 11, 1792. [Google Scholar] [CrossRef]
- Lei, C.; Di, M.; Zhao, Q.Z.; Yuan, D.H. Advances in bioorganic molecules inspired degradation and surface modifications on Mg and its alloys. Mater. Eng. 2022, 3, 723–745. [Google Scholar]
- Yang, Q.X.; Tabish, M.H.M.; Wang, J.B.; Zhao, J.M. Enhanced Corrosion Resistance of Layered Double Hydroxide coatings on Mg Alloy: The Key Role of Cationic Surfactant. Materials 2022, 15, 2028. [Google Scholar] [CrossRef]
- Wang, B.J.; Hou, J.Y.; Luan, J.Y.; Xu, D.K.; Sun, H.J.; Sun, J. The Corrosion Behaviors of an As-Rolled Mg-8Li (in wt.%) Alloy in Two Differently Concentrated NaCl Solutions. Coatings 2023, 12, 406. [Google Scholar] [CrossRef]
- Salsabila, A.L.; Pratama, A.Y.; Nurrochman, A.A.; Hermawan, H.D. Preparation of Tannic Acid/Hyaluronic Acid Coating to Improve the Corrosion Resistance of Implant Material Based on AZ31B Magnesium Alloy. Coatings 2023, 13, 494. [Google Scholar] [CrossRef]
- Li, T.L.; Zhao, Y.; Chen, M.F. Study on Enhancing the Corrosion Resistance and Photo-Thermal Antibacterial Properties of the Micro-Arc Oxidation Coating Fabricated on Medical Magnesium Alloy. Int. J. Mol. Sci. 2022, 23, 10708. [Google Scholar] [CrossRef]
- Song, J.; She, J.; Chen, D.; Pan, F. Latest research advances on magnesium and magnesium alloys worldwide. Magnes. Alloy. 2021, 9, 705–747. [Google Scholar] [CrossRef]
- Pargavi, B.S.L.; Dhanaji, T.U.; Dassani, S.J.; Somasundaram, M. Microstructural, Mechanical, and Corrosion Properties of AZXX Magnesium Alloy: A Review of Processing Methods. Coatings 2023, 13, 344. [Google Scholar]
- Xu, D.K.; Li, C.Q.; Wang, B.J.; Han, E.H. Effect of icosahedral phase on the crystallographic texture and mechanical anisotropy of duplex structured Mg-Li alloys. Mater. Des. 2015, 88, 88–97. [Google Scholar] [CrossRef]
- Chen, J.X.; Xu, Y.; Kolawole, S.F.D.; Wang, J.H.; Su, X.P.; Tian, L.I.; Yang, K. Systems, Properties, Surface Modification and Applications of Biodegradable Magnesium-Based Alloys: A Review. Materials 2022, 15, 5031. [Google Scholar] [CrossRef] [PubMed]
- Sun, W.T.; Bian, G.X.; Jia, L.I.; Pai, J.J.; Ye, Z.H.; Wang, N.; Qi, J.T.; Li, T.J. Study of Trivalent Chromium Conversion Coating Formation at Solution—Metal Interface. Metals 2023, 13, 93. [Google Scholar] [CrossRef]
- Wang, B.J.; Xu, K.; Xu, D.K.; Cai, X.; Qiao, Y.X.; Sheng, L.Y. Anisotropic corrosin behavior of hot-rolled Mg-8wt.% Li alloy. J. Mater. Sci. Technol. 2020, 53, 102–111. [Google Scholar] [CrossRef]
- Li, M.; Hao, H.; Zhang, A.; Song, Y.; Zhang, X. Effects of Nd on microstructure and mechanical properties of as-cast Mg-8Li-3Al alloy. J. Rare Earths 2012, 30, 492–496. [Google Scholar] [CrossRef]
- Rangaswamy, A. Sudarsanam, P.; Benjaram, M. Rare earth doped CeO2 -based catalytic materials for diesel soot oxidation at lower temperatures. Reddy J. High. Sch. Chem. 2015, 33, 1162–1169. [Google Scholar]
- Liu, G.; Wang, J.; Bian, K.; Zhu, P. Preparation and characterization of nanostructured dibasic calcium phosphate coating on magnesium alloy wire. Mater. Lett. 2017, 209, 323–326. [Google Scholar] [CrossRef]
- Yang, L.H.; Jiang, Q.T.; Zheng, M.; Hou, B.; Li, Y. Corrosion behavior of Mg-8Li-3Zn-Al alloy in neutral 3.5% NaCl solution. J. Magnes. Alloy. 2016, 4, 22–26. [Google Scholar] [CrossRef]
- Dobkowska, A.; Adamczyk-Cieslak, B.; Mizera, J.; Kubásek, J.; Vojtˇech, D. Corrosion Behaviour of Magnesium Lithium Alloys in NaCl Solution. Solid. State. Phenom. 2015, 3763, 87–90. [Google Scholar] [CrossRef]
- Yang, J.; Zhang, P.; Zhou, Y.; Yan, F. The study of a phosphate conversion coating on magnesium alloy AZ91D: IV. Comparison of electrochemical behaviors in borate buffer and sodium chloride solutions. Int. J. Electrochem. Sci. 2019, 14, 11349–11357. [Google Scholar] [CrossRef]
- Thirumalaikumarasamy, D.; Shanmugam, K.; Balasubramanian, V. Comparison of the corrosion behaviour of AZ31B magnesium alloy under immersion test and potentiodynamic polarization test in NaCl solution. J. Magnes. Alloy. 2014, 2, 36–49. [Google Scholar] [CrossRef]
- Xie, J.S.; Zhang, J.H.; Liu, S.J.; You, Z.H.; Zhang, Z.; Zhao, T.F.; Zhang, X.B.; Wu, R.Z. Developing Mg-Gd-Dy-Ag-Zn-Zr Alloy with High Strength via Nano-Precipitation. Coatings 2023, 13, 1219. [Google Scholar] [CrossRef]
- Liu, F.; Song, Y.W.; Shan, D.Y.; Han, E.H. Corrosion behavior of AZ31 magnesium alloy in simulated acid rain solution. Trans. Nonferrous Met. Soc. 2010, 20, 638–642. [Google Scholar] [CrossRef]
- Ma, X.C.; Jin, S.Y.; Wu, R.Z.; Wang, J.X.; Wang, G.X.; Krit, B.; Betsofen, S. Corrosion behavior of Mg-Li alloys: A review. Trans. Nonferrous Met. Soc. 2021, 31, 3228–3254. [Google Scholar] [CrossRef]
- Zhang, Z.Y.; Zhang, J.; Zhao, X.Y.; Cheng, X.Q.; Jiang, S.M.; Zhang, Q.F. Effects of Al-Mg on the Microstructure and Phase Distribution of Zn-Al-Mg Coatings. Coatings 2023, 13, 46. [Google Scholar] [CrossRef]
- Stojadinovic, S.; Radic, N.N.; Vasilic, R.K. ZnO Particles Modified MgAl Coatings with Improved Photocatalytic Activity Formed by Plasma Electrolytic Oxidation of AZ31 Magnesium Alloy in Aluminate Electrolyte. Coatings 2023, 12, 1503. [Google Scholar] [CrossRef]
- Ashassi-Sorkhabi, H.; Moradi-Alavian, S.; Esrafifili, M.D.; Kazempour, A. Hybrid sol-gel coatings based on silanesamino acids for corrosion protection of AZ91 magnesium alloy: Electrochemical and DFT insights. Prog. Org. Coat. 2019, 131, 191–202. [Google Scholar] [CrossRef]
- Pommies, S.; Frayret, J.; Castetbon, A.; Potin-Gautier, M. Alternative conversion coatings to chromate for the protection of magnesium alloys. Corrosion Sci. 2014, 84, 135–146. [Google Scholar] [CrossRef]
- Liang, F.; Shen, Y.; Pei, C.; Qiu, B.; Lei, J. Sun, D. Microstructure evolution and corrosion resistance of multi interface AlTiAlN nano-composite ficoatings on AZ91D magnesium alloy. Surf. Coat. Technol. 2019, 357, 83–92. [Google Scholar] [CrossRef]
- Ernens, D.; Rooij, M.B.; Pasaribu, H.R.; Riet, E.J.; Haaften, W.M.; Schipper, D.J. Mechanical characterization and single asperity scratch behaviour of dry zinc and manganese phosphate coatings. Tribol Int. 2018, 118, 474–483. [Google Scholar] [CrossRef]
- Hu, L.; Gao, B.; Xu, N.; Sun, Y.; Zhang, Y.; Xing, P.F. Effect of Cerium and Magnesium on Surface Microcracks of Al–20Si Alloys Induced by High-Current Pulsed Electron Beam. Coatings 2022, 12, 61. [Google Scholar] [CrossRef]
- Li, C.Q.; He, Y.B.; Huang, H.P. Effect of lithium content on the mechanical and corrosion behaviors of HCP binary Mg-Li alloys. J. Magnes. Alloy. 2021, 9, 569–580. [Google Scholar] [CrossRef]
- Xu, W.; Birbilis, N.; Sha, G.; Wang, Y.; Daniels, J.; Xiao, Y.; Ferry, M. A high-specifific-strength and corrosion-resistant magnesium alloy. Nat. Mater 2015, 14, 1229–1235. [Google Scholar] [CrossRef]
- Zhiheng, G. Corrosion characteristics and protection technology of magnesium alloy. Surf. Technol. 2016, 45, 169–177. [Google Scholar]
- Van, P.N.; Gupta, M.; Moon, S. Enhanced corrosion performance of magnesium pHospHate conversion coating on AZ31 magnesium alloy. Trans. Nonferrous Met. Soc. China 2017, 27, 1087–1095. [Google Scholar]
- Gnedenkov, A.S.; Filonina, V.S.; Sinebryukhov, S.L.; Gnedenkov, S.V. A Superior Corrosion Protection of Mg Alloy via Smart Nontoxic Hybrid Inhibitor-Containing Coatings. Molecules 2023, 28, 2538. [Google Scholar] [CrossRef] [PubMed]
- Dong, T.L.; Shao, H.; Wang, H.; Wang, X.; Song, K.; Li, Q. Advances in degradation behavior of biomedical magnesium alloys: A review. J. Alloy. Compd. 2022, 14, 164600. [Google Scholar] [CrossRef]
- Li, C.Q.; Xu, D.K.; Chen, X.B.; Wang, B.J.; Wu, R.Z.; Han, E.H.; Birbilis, N. Composition and microstructure dependent corrosion behaviour of Mg-Li alloys. Electrochim. Acta. 2018, 260, 55–64. [Google Scholar] [CrossRef]
- Jafari, S.; Harandi, S.E.; Raman, K.S. A review of stress-corrosion cracking and corrosion fatigue of magnesium alloys for biodegradable implant applications. J. Miner. Met. 2015, 67, 1143–1153. [Google Scholar] [CrossRef]
- Fan, Z.M.; Yu, J.; Song, Y.W. Advances in the study of pitting corrosion of magnesium alloys. Chin. J. Corros. Prot. 2018, 38, 317–325. [Google Scholar]
- Qinhuan, Y.; Zhou, C.; Zhongping, X.I. Study on the corrosion resistance of AZ91D magnesium alloy anodic oxide coating enhanced by sodium dodecyl benzene sulfonate. Electroplat. Finish. 2017, 39, 5–9. [Google Scholar]
- Rehman, Z.H.; Kim, J.S.; Churchill, D.G.; Koo, B.H. Tuning Corrosion Properties of the Bio-Inspired AZ-Series Mg Alloys Using Electrochemical Surface Treatment under Varying Experimental Regimes. Coatings 2022, 12, 1617. [Google Scholar] [CrossRef]















| List | 1 | 2 | 3 |
|---|---|---|---|
| ZnO (g/L) | Ecorr/V | icorr/(A/cm2) | Rp (Ω) |
| 0 | −1.562 | 1.562 × 10−5 | 1308.2 |
| 1 | −1.587 | 1.738 × 10−5 | 2659.47 |
| 2 | −1.556 | 1.854 × 10−5 | 3220.16 |
| 3 | −1.569 | 1.538 × 10−5 | 3898.27 |
| 4 | −1.420 | 1.86 × 10−6 | 4653.85 |
| 5 | −1.519 | 8.912 × 10−5 | 3401.08 |
| CeO2/Zn–Mn | −1.327 | 9.538 × 10−7 | 8050.43 |
Disclaimer/Publisher’s Note: The statements, opinions and data contained in all publications are solely those of the individual author(s) and contributor(s) and not of MDPI and/or the editor(s). MDPI and/or the editor(s) disclaim responsibility for any injury to people or property resulting from any ideas, methods, instructions or products referred to in the content. |
© 2023 by the authors. Licensee MDPI, Basel, Switzerland. This article is an open access article distributed under the terms and conditions of the Creative Commons Attribution (CC BY) license (https://creativecommons.org/licenses/by/4.0/).
Share and Cite
Zhang, S.; Liu, L.; Lei, Q.; Zhang, T.; Bing, J.; Dong, J. A Nano-CeO2/Zn–Mn Composite Conversion Coatings on AZ91D Magnesium Alloy Surface of Corrosion Resistance Research. Coatings 2023, 13, 929. https://doi.org/10.3390/coatings13050929
Zhang S, Liu L, Lei Q, Zhang T, Bing J, Dong J. A Nano-CeO2/Zn–Mn Composite Conversion Coatings on AZ91D Magnesium Alloy Surface of Corrosion Resistance Research. Coatings. 2023; 13(5):929. https://doi.org/10.3390/coatings13050929
Chicago/Turabian StyleZhang, Shudi, Linkun Liu, Quanda Lei, Tao Zhang, Jiahui Bing, and Jialin Dong. 2023. "A Nano-CeO2/Zn–Mn Composite Conversion Coatings on AZ91D Magnesium Alloy Surface of Corrosion Resistance Research" Coatings 13, no. 5: 929. https://doi.org/10.3390/coatings13050929
APA StyleZhang, S., Liu, L., Lei, Q., Zhang, T., Bing, J., & Dong, J. (2023). A Nano-CeO2/Zn–Mn Composite Conversion Coatings on AZ91D Magnesium Alloy Surface of Corrosion Resistance Research. Coatings, 13(5), 929. https://doi.org/10.3390/coatings13050929
