Fabrication of a Composite Film Optic with High Transmittance in Vis and IR Regions for an Optical System
Abstract
1. Introduction
2. Materials and Methods
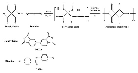
2.1. Preparation of PI film
2.2. Preparation of the Composite Polyimide Film Optic
2.3. Characterization
3. Results and Discussion
3.1. Transmittance Analysis
3.2. Optical Homogeneity Analysis
3.3. Water Absorption
3.4. Thermal Stability Analysis
4. Conclusions
Supplementary Materials
Author Contributions
Funding
Institutional Review Board Statement
Informed Consent Statement
Data Availability Statement
Conflicts of Interest
References
- Ando, S.; Matsuura, T.; Sasaki, S. Coloration of Aromatic Polyimides and Electronic Properties of Their Source Materials. Polym. J. 1997, 29, 69–76. [Google Scholar] [CrossRef]
- Hasegawa, M.; Horie, K. Photophysics, photochemistry, and optical properties of polyimides. Prog. Polym. Sci. 2001, 26, 259–335. [Google Scholar] [CrossRef]
- Ke, F.; Song, N.; Liang, D.; Xu, H. A method to break charge transfer complex of polyimide: A study on solution behavior. J. Appl. Polym. Sci. 2012, 127, 797–803. [Google Scholar] [CrossRef]
- Wu, T.; Dong, J.; Gan, F.; Fang, Y.; Zhao, X.; Zhang, Q. Low dielectric constant and moisture-resistant polyimide aerogels containing trifluo-romethyl pendent groups. Appl. Surf. Sci. 2018, 440, 595–605. [Google Scholar] [CrossRef]
- Osés, J.; Fuentes, G.G.; Palacio, J.F.; Esparza, J.; García, J.A.; Rodríguez, R. Antibacterial Functionalization of PVD Coatings on Ceramics. Coatings 2018, 8, 197. [Google Scholar] [CrossRef]
- Huang, Y.; Chen, L.; Shao, S.; Zhu, X.; Huang, K.; An, K.; Zheng, Y.; Liu, J.; Wei, J.; Li, C. Impact of deposition temperature on microstructure and properties of erbium oxide antireflective films deposited on CVD diamond substrates. Vacuum 2021, 193, 110547. [Google Scholar] [CrossRef]
- Chi, F.; Zhang, Q.; Zhang, L.; Wei, G.; Wang, L.; Yi, F. Nanostructured magnesium fluoride antireflective films with ultra-high laser induced damage thresholds. Mater. Lett. 2015, 150, 28–30. [Google Scholar] [CrossRef]
- San Vicente, G.; Germán, N.; Farchado, M.; Morales, Á.; Santamaría, P.; Fernández-García, A. Study of abrasion tests for antireflective and antisoil-ing/antireflective coatings on glass solar tubes. Sol. Energy 2023, 252, 134–144. [Google Scholar] [CrossRef]
- Wang, Y.; Cheng, X.; Lin, Z.; Zhang, C.; Xiao, H.; Zhang, F.; Zou, S. Analysis of IBAD silicon oxynitride film for anti-reflection coating application. J. Non-Cryst. Solids 2004, 333, 296–300. [Google Scholar] [CrossRef]
- Patil, S.J.; Mohite, K.C.; Mandale, A.B.; Takwale, M.G.; Gangal, S.A. Characterization of ‘ARE’ deposited silicon nitride films and their feasibility as antireflection coating. Surf. Coat. Technol. 2005, 20, 2058–2064. [Google Scholar] [CrossRef]
- Yoon, S.Y.; Park, Y.-S.; Lee, J.S. Local Liquid Phase Deposition of Silicon Dioxide on Hexagonally Close-Packed Silica Beads. Langmuir 2014, 31, 249–253. [Google Scholar] [CrossRef] [PubMed]
- Lee, K.-W.; Huang, J.-S.; Lu, Y.-L.; Lee, F.-M.; Lin, H.-C.; Huang, J.-J.; Wang, Y.-H. Liquid-phase-deposited SiO2on AlGaAs and its application. Semicond. Sci. Technol. 2011, 26, 055006. [Google Scholar] [CrossRef]
- Andosca, R.G.; Varhue, W.J.; Adams, E. Silicon dioxide films deposited by electron cyclotron resonance plasma enhanced chemical vapor deposition. J. Appl. Phys. 1992, 72, 1126–1132. [Google Scholar] [CrossRef]
- Batey, J.; Tierney, E. Low-temperature deposition of high-quality silicon dioxide by plasma-enhanced chemical vapor deposition. J. Appl. Phys. 1986, 60, 3136–3145. [Google Scholar] [CrossRef]
- Jeong, E.G.; Kwon, J.H.; Kang, K.S.; Jeong, S.Y.; Choi, K.C. A review of highly reliable flexible encapsulation technologies towards rollable and foldable OLEDs. J. Inf. Disp. 2019, 21, 19–32. [Google Scholar] [CrossRef]
- Macleod, H.A. Thin-Film Optical Filters; Taylor and Francis: New York, NY, USA, 1969. [Google Scholar]
- Zhao, J.; Green, M.A. Optimized antireflection coating for high-efficiency silicon solar cells. IEEE Trans. Electron Devices 1991, 38, 1925–1934. [Google Scholar] [CrossRef]
- Ramzan, M.; Ahmed, E.; Niaz, N. AFM applications to study the morphology of HfO2 multilayer thin films. Superlattices Microstruct. 2015, 82, 399–405. [Google Scholar] [CrossRef]
- Yuan, W.J.; Zhang, Y.G.; Shen, W.D.; Ma, Q.; Liu, X. Characteristics of Nb2O5 thin films deposited by ion beam sputtering. Acta Phys. Sin. 2011, 60, 047803-1-6. [Google Scholar] [CrossRef]
- Vinnichenko, M.; Munnik, F.; Kolitsch, A.; Chuvilin, A.; Kaiser, U.; Ebert, J.; Jakobs, S.; Kaless, A. The correlation between mechanical stress, thermal shift and refractive index in HfO2, Nb2O5, Ta2O5 and SiO2 layers and its relation to the layer porosity. Thin Solid Film. 2009, 517, 6058–6068. [Google Scholar]
- Munirathinam, B.; Pydimukkala, H.; Ramaswamy, N.; Neelakantan, L. Influence of crystallite size and surface morphology on electro-chemical properties of annealed TiO2 nanotubes. Appl. Surf. Sci. 2015, 355, 1245–1253. [Google Scholar] [CrossRef]
- Shang, P.; Xiong, S.; Li, L.; Tian, D.; Ai, W. Investigation on thermal stability of Ta2O5, TiO2 and AL2O3 coatings for application at high temperature. Appl. Surf. Sci. 2013, 285, 713–720. [Google Scholar] [CrossRef]
- Wang, Y.; Zhang, Y.G.; Chen, W.L.; Shen, W.D.; Liu, X.; Gu, P.F. Optical properties and residual stress of YbF3 thin films deposited at different tem-peratures. Appl. Opt. 2008, 47, C319–C323. [Google Scholar] [CrossRef] [PubMed]
- Reicher, D.; Jungling, K. Influence of crystal structure on the light scatter of zirconium oxide films. Appl. Opt. 1997, 36, 1626–1637. [Google Scholar] [CrossRef] [PubMed]
- Ristau, D.; Ehlers, H.; Gross, T.; Lappschies, M. Optical broadband monitoring of conventional and ion processes. Appl. Opt. 2006, 45, 1495–1501. [Google Scholar] [CrossRef] [PubMed]
- Kukli, K.; Ritala, M.; Matero, R.; Leskelä, M. Influence of atomic layer deposition parameters on the phase content of Ta2O5 films. J. Cryst. Growth 2000, 212, 459–468. [Google Scholar] [CrossRef]
- Kumar, K.J.; Raju, N.R.C.; Subrahmanyan, A. Properties of pulsed reactive DC magnetron sputtered tantalum oxide(Ta2O5) thin films for photocatalysis. Surf. Coat. Technol. 2011, 205, 261–264. [Google Scholar] [CrossRef]
- Plirdpring, T.; Horprathum, M.; Chananonnawathorn, C.; Eiamchai, P.; Harnwunggmoung, A.; Boonpichayapha, T.; Lorwongtragool, P.; Charoenphakdee, A. Effect of annealing Temperature on Structure and Optical Properties of Ta2O5 Thin Films Prepared by DC Magnetron Sputtering. Adv. Mater. Res. 2013, 770, 149–152. [Google Scholar] [CrossRef]
- Yin, J.; Mao, D.; Fan, B. Copolyamide-Imide Membrane with Low CTE and CME for Potential Space Optical Applications. Polymers 2021, 13, 1001. [Google Scholar] [CrossRef]
- Yin, J.; Hui, H.; Fan, B.; Bian, J.; Du, J.; Yang, H. Preparation and Properties of Polyimide Composite Membrane with High Transmittance and Surface Hydrophobicity for Lightweight Optical System. Membranes 2022, 12, 592. [Google Scholar] [CrossRef]








| Sample | Thickness | TAV (0.5~0.8 μm) a | TAV (1.8~2.7 μm) b | TAV (3.3~5.4 μm) c |
|---|---|---|---|---|
| PI | 22 μm | 83% | 76% | 73% |
| Composite PI | 22 μm + 891.61 nm | 87% | 86% | 78% |
| Sample | Surface Roughness (Ra, nm) | Average Roughness (nm) | σ (nm) |
|---|---|---|---|
| PI | 1.603/1.602/1.667/1.763/1.795 | 1.686 | 0.080 |
| Composite PI | 0.724/0.764/0.789/0.812/0.842 | 0.786 | 0.040 |
| PI | Before Soak (W0) | After Soak (WA) | Water Absorption Rate (%) |
|---|---|---|---|
| #1 | 0.0992 g | 0.1021 g | 3.2% |
| #2 | 0.1090 g | 0.1126 g | 3.3% |
| #3 | 0.1282 g | 0.1327 g | 3.5% |
| Average water absorption rate | 3.3% | ||
| PI after Coating | Before Soak (W0) | After Soak (WA) | Water Absorption Rate (%) |
|---|---|---|---|
| #1 | 0.1093 g | 0.1130 g | 2.9% |
| #2 | 0.1066 g | 0.1094 g | 2.6% |
| #3 | 0.1076 g | 0.1111 g | 3.3% |
| Average water absorption rate | 2.9% | ||
| Sample | a Tg | b T5% | c RW 750 |
|---|---|---|---|
| PI | 366.9 °C | 553 °C | 59% wt. |
| Composite PI | 361.1 °C | 547 °C | 56% wt. |
Disclaimer/Publisher’s Note: The statements, opinions and data contained in all publications are solely those of the individual author(s) and contributor(s) and not of MDPI and/or the editor(s). MDPI and/or the editor(s) disclaim responsibility for any injury to people or property resulting from any ideas, methods, instructions or products referred to in the content. |
© 2023 by the authors. Licensee MDPI, Basel, Switzerland. This article is an open access article distributed under the terms and conditions of the Creative Commons Attribution (CC BY) license (https://creativecommons.org/licenses/by/4.0/).
Share and Cite
Yin, J.; Fan, B.; Du, J.; Yang, H.; Bian, J. Fabrication of a Composite Film Optic with High Transmittance in Vis and IR Regions for an Optical System. Coatings 2023, 13, 811. https://doi.org/10.3390/coatings13050811
Yin J, Fan B, Du J, Yang H, Bian J. Fabrication of a Composite Film Optic with High Transmittance in Vis and IR Regions for an Optical System. Coatings. 2023; 13(5):811. https://doi.org/10.3390/coatings13050811
Chicago/Turabian StyleYin, Jiajia, Bin Fan, Junfeng Du, Hu Yang, and Jiang Bian. 2023. "Fabrication of a Composite Film Optic with High Transmittance in Vis and IR Regions for an Optical System" Coatings 13, no. 5: 811. https://doi.org/10.3390/coatings13050811
APA StyleYin, J., Fan, B., Du, J., Yang, H., & Bian, J. (2023). Fabrication of a Composite Film Optic with High Transmittance in Vis and IR Regions for an Optical System. Coatings, 13(5), 811. https://doi.org/10.3390/coatings13050811

