Corrosion Inhibition of Aluminum in Acidic Solution by Ilex paraguariensis (Yerba Mate) Extract as a Green Inhibitor
Abstract
1. Introduction
2. Materials and Methods
2.1. Preparation of Aluminum Samples and Solutions
2.2. Weight Loss Measurements
2.3. Electrochemical Measurements
2.3.1. Potentiodynamic Polarization (PP) Measurements
2.3.2. Electrochemical Impedance Spectroscopy
2.4. Surface Analysis
3. Results and Discussion
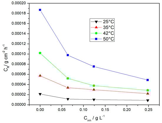
3.1. Weight Loss Measurements
3.2. Effect of Temperature
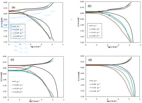
3.3. Potentiodynamic Polarization Measurement
3.4. Electrochemical Impedance Spectroscopic Measurements
3.5. Adsorption Isotherm
3.6. Surface Analysis
4. Conclusions
- Ilex paraguariensis is a good corrosion inhibitor for aluminum in 0.1 M HCl solution. The inhibition efficiency increases with its concentration, and, after 48 h exposure to the corrosive solution, efficiency increases with temperature. Maximum efficiency values (69 and 71%) were achieved at a concentration of 0.248 g L−1 of Ilex paraguariensis at 315 K and 323 K, respectively.
- The adsorption of Ilex paraguariensis occurs in agreement with the isotherm of El-Awady that considers the phenomenon of adsorption by active sites. The process of adsorption is endothermic, and is accompanied by an increase in entropy.
- An increase in the concentration of Ilex paraguariensis improves its performance as an inhibitor.
- Ilex paraguariensis acts as a mixed-type inhibitor.
- Complex EIS results were successfully understood in terms of a theoretical model of the interface where adsorption by the inhibitor’s molecules hinders the progress of the electrochemical reactions related to the corrosive attack.
Supplementary Materials
Author Contributions
Funding
Institutional Review Board Statement
Informed Consent Statement
Data Availability Statement
Acknowledgments
Conflicts of Interest
References
- Bentiss, F.; Traisnel, M.; Lagrenee, M. The substituted 1,3,4-oxadiazoles: A new class of corrosion inhibitors of mild steel in acidic media. Corros. Sci. 2000, 42, 127–146. [Google Scholar] [CrossRef]
- Noor, E.A. The inhibition of mild steel corrosion in phosphoric acid solutions by some N-heterocyclic compounds in the salt form. Corros. Sci. 2005, 47, 33–55. [Google Scholar] [CrossRef]
- Lagrenee, M.; Mernari, B.; Chaibi, N.; Traisnel, M.; Vezin, H.; Bentiss, F. Investigation of the inhibitive effect of substituted oxadiazoles on the corrosion of mild steel in Cl medium. Corros. Sci. 2001, 43, 51–962. [Google Scholar] [CrossRef]
- Bethencourt, M.; Botana, F.J.; Calvino, J.J.; Marcos, M.; Rodriguez-Chacon, M.A. Lathanide compounds as environmentally friendly corrosion inhibitors of aluminium alloys—A review. Corros. Sci. 1998, 39, 1803–1819. [Google Scholar] [CrossRef]
- Arenas, M.A.; Conde, A.; de Damborenea, J. Cerium: A suitable green corrosión inhibitor for tinplate. Corros. Sci. 2002, 44, 511–520. [Google Scholar] [CrossRef]
- Cano, E.; Pinilla, P.; Polo, J.L.; Bastidas, J.M. Copper corrosion inhibition by fast green, fuchsin acid and basic compounds in citric acid solution. Mater. Corros. 2003, 54, 222–228. [Google Scholar] [CrossRef]
- Montemor, M.F. Fostering green inhibitors for corrosion prevention. In Active Protective Coatings; Series in Materials Science; Hughes, A., Mol, J., Zheludkevich, M., Buchheit, R., Eds.; Springer: Dordrecht, The Netherlands, 2016; Volume 233, pp. 107–137. [Google Scholar]
- Sharmin, E.; Ahmad, S.; Zafar, F.; Islamia, J.M. Corrosion Resistance, 1st ed.; InTech: Rijeka, Croatia, 2012; pp. 449–472. [Google Scholar]
- Moretti, G.; Guidi, F.; Grion, G. Tryptamine as a green iron corrosion inhibitor in 0.5 M deaerated sulphuric acid. Corros. Sci. 2004, 46, 387–403. [Google Scholar] [CrossRef]
- de Souza, F.S.; Giacomelli, C.; Gonçalves, R.S.; Spinelli, A. Adsorption behavior of caffeine as a green corrosion inhibitor for copper. Mater. Sci. Eng. 2012, C 32, 2436–2444. [Google Scholar] [CrossRef]
- Raja, P.B.; Sethuraman, M.G. Natural products as corrosion inhibitor for metals in corrosive media—A review. Mater. Lett. 2008, 62, 113–116. [Google Scholar] [CrossRef]
- Sharma, S.K.; Mudhoo, A.; Khamis, E.; Jain, G. Green Corrosion Inhibitors: An Overview of Recent Research. J. Corros. Sci. Eng. 2008, 11, 14. Available online: https://www.researchgate.net/publication/285599848_Green_Corrosion_Inhibitors_An_Overview_of_Recent_Research (accessed on 5 January 2023).
- Alvarez, P.E.; Fiori-Bimbi, M.V.; Neske, A.; Brandán, S.A.; Gervasi, C.A. Rollinia occidentalis extract as green corrosion inhibitor for carbon steel in HCl solution. J. Ind. Eng. Chem. 2018, 58, 92–99. [Google Scholar] [CrossRef]
- Casaletto, M.P.; Figà, V.; Privitera, A.; Bruno, M.; Napolitano, A.; Piacente, S. Inhibition of Cor-Ten steel corrosion by “green” extracts of Brassica campestris. Corros. Sci. 2018, 136, 91–105. [Google Scholar] [CrossRef]
- Ji, G.; Anjum, S.; Sundaram, S.; Prakash, R. Musa paradisica peel extract as green corrosion inhibitor for mild steel in HCl solution. Corros. Sci. 2015, 90, 107–117. [Google Scholar] [CrossRef]
- Kumar, D.; Jain, V.; Rai, B. Unravelling the mechanisms of corrosion inhibition of iron by henna extract: A density functional theory study. Corros. Sci. 2018, 142, 102–109. [Google Scholar] [CrossRef]
- Ennouri, A.; Essahli, M.; Lamiri, A. Corrosion Inhibition of Aluminum in Hydrochloric Acid Medium by Essential Oil of Eucalyptus camaldulensis and Myrtus Communis. Anal. Bioanal. Electrochem. 2019, 11, 913–929. [Google Scholar]
- Loto, C.A.; Joseph, O.O.; Loto, R.T.; Popoola, A.P.I. Corrosion Inhibitive Behaviour of Camellia Sinensis on Aluminium Alloy in H2SO4. Int. J. Electrochem. Sci. 2014, 9, 1221–1231. [Google Scholar]
- Ennouri, A.; Lamiri, A.; Essahli, M. Corrosion Inhibition of Aluminium in Acidic Media by Different Extracts of Trigonellafoenum-graecum L Seeds. Port. Electrochim. Acta 2017, 35, 279–295. [Google Scholar] [CrossRef]
- Fares, M.M.; Maayta, A.K.; Al-Qudah, M.M. Pectin as promising green corrosion inhibitor of aluminum in hydrochloric acid solution Mohammad. Corros. Sci. 2012, 60, 112–117. [Google Scholar] [CrossRef]
- Hechiche, N.; Boughrara, D.; Kadri, A.; Dahmani, N.; Benbrahim, N. Artemisia Herba Alba Essential Oil as Green Corrosion Inhibitor for Aluminum in Hydrochloric Acid Solution. Anal. Bioanal. Electrochem. 2019, 11, 1129–1147. [Google Scholar]
- Nathiya, R.S.; Raj, V. Evaluation of Dryopteris cochleata leaf extracts as green inhibitor for corrosion of aluminium in 1 M H2SO4, Egypt. J. Pet. 2017, 26, 313–323. [Google Scholar]
- Bashir, S.; Singh, G.; Kumar, A. Shatavari (Asparagus Racemosus) as Green Corrosion Inhibitor of Aluminium in Acidic Medium. Port. Electrochim. Acta 2019, 37, 83–91. [Google Scholar] [CrossRef]
- Anbarasi, C.M.; Divya, G. A Green Approach to Corrosion Inhibition of Aluminium in Acid Medium Using Azwain Seed Extract. Mater. Today Proc. 2017, 4, 5190–5200. [Google Scholar] [CrossRef]
- Obot, I.B.; Obi-Egbedi, N.O.; Umoren, S.A.; Ebenso, E.E. Synergistic and Antagonistic Effects of Anions and Ipomoea invulcrata as Green Corrosion Inhibitor for Aluminium Dissolution in Acidic Medium. Int. J. Electrochem. Sci. 2010, 5, 994–1007. [Google Scholar]
- Wisdom, J.; Kelechi, D.; Ugochukwu, J. Green Inhibitor for Corrosion of Aluminium Alloy AA8011A in Acidic Environment. Int. Res. J. Eng. Technol. 2018, 5, 121–124. [Google Scholar]
- Khan, G.; Newaz, K.M.S.; Basirun, W.J.; Ali, H.B.M.; Faraj, F.L.; Khan, G.M. Application of Natural Product Extracts as Green Corrosion Inhibitors for Metals and Alloys in Acid Pickling Processes—A review. Int. J. Electrochem. Sci. 2015, 10, 6120–6134. [Google Scholar]
- Berté, K.A.; Beux, M.R.; Spada, P.K.; Salvador, M.; Hoffmann-Ribani, R. Chemical Composition and Antioxidant Activity of Yerba-Mate (Ilex paraguariensis A.St.-Hil., Aquifoliaceae) Extract as Obtained by Spray Drying. J. Agric. Food Chem. 2011, 59, 5523–5527. [Google Scholar] [CrossRef] [PubMed]
- Hartwig, V.G.; Ponce Cevallos, P.A.; Schmalko, M.E.; Brumovsky, L.A. Effects of Spray Drying Conditions on the Stability and Antioxidant Properties of Spray-Dried Soluble Mate. Int. J. Food Eng. 2014, 10, 131–138. [Google Scholar] [CrossRef]
- Pomilio, A.B.; Trajtemberg, S.; Vitale, A.A. High-Performance Capillary Electrophoresis Analysis of mate infusions prepared from stems and leaves of Ilex paraguariensis using Automated Micellar Electrokinetic Capillary Chromatography. Phytochem. Anal. 2002, 13, 235–241. [Google Scholar] [CrossRef]
- Heck, C.I.; Demejia, E.G. Yerba Mate Tea (Ilex paraguariensis): A Comprehensive Review on Chemistry, Health Implications, and Technological Considerations. J. Food 2007, 72, 138–151. [Google Scholar] [CrossRef]
- Bockris, J.O.M.; Yang, B. The mechanism of corrosion inhibition of iron in acid solution by acetylenic alcohols. J. Electrochem. Soc. 1991, 138, 2237–2252. [Google Scholar] [CrossRef]
- Mourya, P.; Banerjee, S.; Singh, M.M. Corrosion inhibition of mild steel in acidic solution by Tagetes erecta (Marigold flower) extract as a green inhibitor. Corros. Sci. 2014, 85, 352–363. [Google Scholar] [CrossRef]
- Souza, T.F.; Magalhães, M.; Torres, V.V.; D’Elia, E. Inhibitory Action of Ilex paraguariensis Extracts on the Corrosion of Carbon Steel in HCl Solution. Int. J. Electrochem. Sci. 2015, 10, 22–33. [Google Scholar]
- de Souza, F.S.; Spinelli, A. Caffeic acid as a green corrosion inhibitor for mild steel. Corros. Sci. 2009, 51, 642–649. [Google Scholar] [CrossRef]
- Znini, M.; Majidi, L.; Bouyanzer, A.; Paolini, J.; Desjobert, J.M.; Costa, J.; Hammouti, B. Essential oil of Salvia aucheri mesatlantica as a green inhibitor for the corrosion of steel in 0.5 M H2SO4. Arab. J. Chem. 2012, 5, 467–474. [Google Scholar] [CrossRef]
- Noor, E.A.; Al-Moubaraki, A.H. Thermodynamic study of metal corrosion and inhibitor adsorption processes in mild steel/1-methyl-4[4 (-X)-styryl pyridinium iodides/hydrochloric acid systems. Mater. Chem. Phys. 2008, 110, 145–154. [Google Scholar] [CrossRef]
- Soltani, N.; Tavakkoli, N.; Khayatkashani, M.; Jalali, M.R.; Mosavizade, A. Green approach to corrosion inhibition of 304 stainless steel in hydrochloric acid solution by the extract of Salvia officinalis leaves. Corros. Sci. 2012, 62, 122–135. [Google Scholar] [CrossRef]
- Hukovic-Metikos, M.; Babik, R.; Grubac, Z. The study of aluminium corrosion in acidic solution with nontoxic inhibitors. J. Appl. Electrochem. 2002, 32, 35–41. [Google Scholar] [CrossRef]
- Abd El Haleem, S.M.; Abd El Wanees, S.; Abd El Aal, E.E.; Farouk, A. Factors affecting the corrosion behaviour of aluminium in acid solutions. I. Nitrogen and/or sulphur-containing organic compounds as corrosion inhibitors for Al in HCl solutions. Corros. Sci. 2013, 68, 1–13. [Google Scholar] [CrossRef]
- Brett, C.M.A. The application of electrochemical impedance techniques to aluminium corrosion in acidic chloride solution. J. Appl. Electrochem. 1990, 20, 1000–1003. [Google Scholar] [CrossRef]
- Epelboin, I.; Keddam, M.; Takenouti, H. Use of impedance measurements for the determination of the instant rate of metal corrosion. J. App. Electrochem. 1972, 2, 71–79. [Google Scholar] [CrossRef]
- Itagaki, M.; Taya, A.; Imamura, M.; Saruwatari, R.; Watanabe, K. Interpretation of Faradaic Impedance for Corrosion Monitoring. Corr. Sci. Technol. 2004, 3, 1–5. [Google Scholar]
- Deng, S.; Xianghong, L. Inhibition by Ginkgo leaves extract of the corrosion of steel in HCl and H2SO4 solutions. Corros. Sci. 2012, 55, 407–415. [Google Scholar] [CrossRef]
- Halambek, J.; Berković, K. Inhibitive Action of Anethum graveolens L. oil on Aluminium Corrosion in Acidic Media. Int. J. Electrochem. Sci. 2012, 7, 8356–8368. [Google Scholar]
- Cardozo da Rocha, J.; da Cunha Ponciano Gomes, J.A.; D’Elia, E. Corrosion inhibition of carbon steel in hydrochloric acid solution by fruit peel aqueous extracts. Corros. Sci. 2010, 52, 2341–2348. [Google Scholar] [CrossRef]
- Cao, C. On electrochemical techniques for interface inhibitor research. Corros. Sci. 1996, 38, 2073–2082. [Google Scholar] [CrossRef]
- Amin, M.A.; El-Rehim, S.S.A.; El-Sherbini, E.E.F.; Bayoumi, R.S. The inhibition of low carbon steel corrosion in hydrochloric acid solutions by succinic acid. Part I. Weight loss, polarization, EIS, PZC, EDX and SEM studies. Electrochim. Acta 2007, 52, 3588–3600. [Google Scholar] [CrossRef]
- Beda, R.H.B.; Niamien, P.M.; Avo Bilé, E.B.; Trokourey, A. Inhibition of Aluminium Corrosion in 1.0 M HCl by Caffeine: Experimental and DFT Studies. Adv. Chem. 2017, 2017, 6975248. [Google Scholar] [CrossRef]
- Morad, M.S.; Sarhan, A.A.O. Application of some ferrocene derivatives in the field of corrosion inhibition. Corros. Sci. 2008, 50, 744–753. [Google Scholar] [CrossRef]
- Villamil, R.F.V.; Corio, P.; Agostinho, S.M.L.; Rubim, J.C. Effect of sodiumdodecylsulfate on copper corrosion in sulfuric acid media in the absence and presence of benzotriazole. J. Electroanal. Chem. 1999, 472, 112–119. [Google Scholar] [CrossRef]
- EI-Awady, A.A.; Abd-EI-Nabey, B.A.; Aziz, S.G. Kinetic-Thermodynamic and Adsorption Isotherms Analyses for the Inhibition of the Acid Corrosion of Steel by Cyclic and Open-Chain Amines. J. Electrochem. Soc. 1992, 139, 2149–2154. [Google Scholar] [CrossRef]
- Deng, S.; Li, X. Inhibition by Jasminum nudiflorum Lindl. leaves extract of the corrosión of aluminium in HCl solution. Corros. Sci. 2012, 64, 253–262. [Google Scholar] [CrossRef]
- Noor, E.A. Potential of aqueous extract of Hibiscus sabdariffa leaves for inhibiting the corrosion of aluminum in alkaline solutions. J. Appl. Electrochem. 2009, 39, 1465–1475. [Google Scholar] [CrossRef]
- Umoren, S.A.; Eduok, U.M.; Israel, A.U.; Obot, I.B.; Solomon, M.M. Coconut coir dust extract: A novel eco-friendly corrosion inhibitor for Al in HCl solutions. Green Chem. Lett. Rev. 2012, 5, 303–313. [Google Scholar] [CrossRef]








| Temperature (K) | Concentration (g L−1) | CR × 105 (g cm−2 h−1) | ηw (%) |
|---|---|---|---|
| 298 | 0 | 2.13 | -- |
| 0.064 | 1.14 | 46 | |
| 0.124 | 1.03 | 50 | |
| 0.248 | 0.89 | 54 | |
| 308 | 0 | 5.73 | -- |
| 0.064 | 3.38 | 41 | |
| 0.124 | 2.97 | 46 | |
| 0.248 | 2.20 | 57 | |
| 315 | 0 | 10.2 | -- |
| 0.064 | 5.22 | 49 | |
| 0.124 | 3.77 | 62 | |
| 0.248 | 2.87 | 69 | |
| 323 | 0 | 18.7 | -- |
| 0.064 | 9.78 | 47 | |
| 0.124 | 7.54 | 58 | |
| 0.248 | 4.89 | 71 |
| Cinh (g L−1) | Ea (kJ mol−1 K−1) | (kJ mol−1) | (J mol−1 K−1) |
|---|---|---|---|
| 0 | 69.52 | 66.95 | −115.18 |
| 0.064 | 67.88 | 65.30 | −125.61 |
| 0.124 | 61.44 | 58.86 | −148.01 |
| 0.248 | 53.30 | 50.72 | −176.61 |
| Temperature (K) | Cinh (g L−1) | Ecorr (mV vs. SCE) | Icorr (μA cm−2) | βa (mV dec−1) | −βc (mV dec−1) | ηI (%) |
|---|---|---|---|---|---|---|
| 298 | 0 | −793.03 | 23.60 | 180 | 80 | - |
| 0.064 | −756.28 | 9.42 | 100 | 120 | 60 | |
| 0.124 | −810.22 | 17.9 | 120 | 100 | 44 | |
| 0.248 | −754.99 | 7.12 | 120 | 80 | 70 | |
| 308 | 0 | −770.85 | 57.4 | 70 | 45 | - |
| 0.064 | −788.33 | 41.1 | 110 | 75 | 28 | |
| 0.124 | −782.31 | 26.1 | 70 | 80 | 54 | |
| 0.248 | −796.11 | 20.2 | 100 | 100 | 65 | |
| 315 | 0 | −754.71 | 297 | 60 | 150 | - |
| 0.064 | −837.19 | 44.8 | 120 | 90 | 85 | |
| 0.124 | −846.81 | 36.9 | 120 | 70 | 88 | |
| 0.248 | −791.08 | 28.2 | 120 | 120 | 91 | |
| 323 | 0 | −751.64 | 2320 | 90 | 400 | - |
| 0.064 | −757.60 | 1750 | 70 | 400 | 25 | |
| 0.124 | −759.04 | 1320 | 70 | 400 | 43 | |
| 0.248 | −763.83 | 680 | 70 | 400 | 71 |
| T (K) | Conc (g L−1) | Qdl | Rct (ohm cm2) | Qad | Rad (ohm cm2) | ηR (%) | ||
|---|---|---|---|---|---|---|---|---|
| Yo (ohm−1 cm−2 sα) | α | Yo (ohm−1 cm−2 sα) | α | |||||
| 298 | 0 | 6.86 × 10−5 | 0.90 | 212.22 | 1.45 × 10−1 | 1.00 | 144.88 | 0.00 |
| 0.064 | 8.34 × 10−5 | 0.86 | 376.01 | 1.62 × 10−1 | 1.00 | 192.33 | 43.56 | |
| 0.124 | 6.59 × 10−5 | 0.89 | 490.05 | * | * | * | 56.69 | |
| 0.248 | 8.04 × 10−5 | 0.89 | 528.13 | * | * | * | 59.81 | |
| 308 | 0 | 7.73 × 10−5 | 0.91 | 105.00 | 1.57 × 10−1 | 1.00 | 45.57 | 0.00 |
| 0.064 | 9.33 × 10−5 | 0.90 | 141.05 | 1.74 × 10−1 | 0.99 | 103.17 | 25.56 | |
| 0.124 | 7.62 × 10−5 | 0.91 | 152.15 | 1.79 × 10−1 | 1.00 | 87.33 | 30.98 | |
| 0.248 | 7.09 × 10−5 | 0.90 | 223.25 | 1.69 × 10−1 | 1.00 | 106.70 | 52.96 | |
| 315 | 0 | 4.99 × 10−5 | 0.93 | 86.15 | 0.82 × 10−1 | 1.00 | 59.95 | 0.00 |
| 0.064 | 7.78 × 10−5 | 0.90 | 86.49 | 1.83 × 10−1 | 1.00 | 34.75 | 0.39 | |
| 0.124 | 6.77 × 10−5 | 0.89 | 167.62 | 1.38 × 10−1 | 1.00 | 276.92 | 48.60 | |
| 0.248 | 6.22 × 10−5 | 0.91 | 187.00 | 1.29 × 10−1 | 1.00 | 78.05 | 53.93 | |
| 323 | 0 | 3.33 × 10−5 | 0.91 | 106.24 | 0.58 × 10−1 | 1.00 | 57.16 | 0.00 |
| 0.064 | 4.45 × 10−5 | 0.91 | 114.58 | 0.78 × 10−1 | 1.00 | 57.58 | 7.27 | |
| 0.124 | 4.93 × 10−5 | 0.91 | 123.89 | 1.11 × 10−1 | 1.00 | 49.96 | 14.25 | |
| 0.248 | 4.00 × 10−5 | 0.91 | 226.50 | 0.56 × 10−1 | 1.00 | 203.12 | 53.09 | |
| T (K) | Kads (L g−1) | ΔG°ads (kJ mol−1) | R2 | 1/y | |
|---|---|---|---|---|---|
| WL | 298 | 7.98 | −22.25 | 0.99 | 4.22 |
| 308 | 6.74 | −22.56 | 0.96 | 2.09 | |
| 315 | 15.65 | −24.72 | 0.97 | 1.61 | |
| 323 | 13.00 | −24.24 | 0.99 | 1.33 | |
| PP | 298 | 9.45 | −22.67 | 0.73 | 1.27 |
| 308 | 7.63 | −22.88 | 0.94 | 0.87 | |
| 315 | 7.71 | −23.43 | 0.77 | 0.19 | |
| 323 | 6.12 | −23.40 | 0.95 | 0.37 | |
| EIS | 298 | 10.60 | −22.95 | 0.89 | 1.86 |
| 308 | 5.45 | −22.02 | 0.97 | 1.17 | |
| 315 | 5.20 | −22.40 | 0.77 | 0.24 | |
| 323 | 4.11 | −22.34 | 0.97 | 0.47 |
Disclaimer/Publisher’s Note: The statements, opinions and data contained in all publications are solely those of the individual author(s) and contributor(s) and not of MDPI and/or the editor(s). MDPI and/or the editor(s) disclaim responsibility for any injury to people or property resulting from any ideas, methods, instructions or products referred to in the content. |
© 2023 by the authors. Licensee MDPI, Basel, Switzerland. This article is an open access article distributed under the terms and conditions of the Creative Commons Attribution (CC BY) license (https://creativecommons.org/licenses/by/4.0/).
Share and Cite
Méndez, C.M.; Gervasi, C.A.; Pozzi, G.; Ares, A.E. Corrosion Inhibition of Aluminum in Acidic Solution by Ilex paraguariensis (Yerba Mate) Extract as a Green Inhibitor. Coatings 2023, 13, 434. https://doi.org/10.3390/coatings13020434
Méndez CM, Gervasi CA, Pozzi G, Ares AE. Corrosion Inhibition of Aluminum in Acidic Solution by Ilex paraguariensis (Yerba Mate) Extract as a Green Inhibitor. Coatings. 2023; 13(2):434. https://doi.org/10.3390/coatings13020434
Chicago/Turabian StyleMéndez, Claudia M., Claudio A. Gervasi, Gonzalo Pozzi, and Alicia E. Ares. 2023. "Corrosion Inhibition of Aluminum in Acidic Solution by Ilex paraguariensis (Yerba Mate) Extract as a Green Inhibitor" Coatings 13, no. 2: 434. https://doi.org/10.3390/coatings13020434
APA StyleMéndez, C. M., Gervasi, C. A., Pozzi, G., & Ares, A. E. (2023). Corrosion Inhibition of Aluminum in Acidic Solution by Ilex paraguariensis (Yerba Mate) Extract as a Green Inhibitor. Coatings, 13(2), 434. https://doi.org/10.3390/coatings13020434

