Abstract
In this study, NiO films were fabricated through radio frequency sputtering with various oxygen flow rates and processed via rapid thermal annealing under Ar, O2, and N2 atmospheres. The electrical, optical, and crystallographic properties of the NiO films were influenced by their oxygen content in each film. As the oxygen content, carrier concentration, and resistivity increased, transmittance and mobility decreased. The carrier mobility of the NiO film in the p-type layer of the photodetector requires improvement. Rapid thermal annealing (RTA) has been widely used to improve the crystallinity and mobility of films. However, the reduction in oxygen content during RTA causes a decrease in the carrier concentration and transmittance of NiO films. Regarding the aim of preventing a reduction in oxygen content in the NiO films due to the RTA process, an O2 atmosphere (compared with Ar and N2 atmospheres) was identified as the optimal condition for mobility (3.42 cm2/V·s) and transmittance (50%).
1. Introduction
Transparent conductive oxides (TCOs) [,] with high conductivity and transmittance in the visible region are extensively used in transparent electrodes, sensors, and solar cells [,]. The majority of oxide semiconductors have n-type properties owing to their orbitals and the low hole mobility of oxygen atoms. Compared with n-type materials, which have been researched since 1907 [], p-type materials have been less studied. The first p-type TCO (p-TCO) thin film was reported in 1997 []. This study introduces a new field of application for p-TCOs. As the history of p-TCOs is short, p-type semiconductors require further research.
NiO, a type of TCO material, is a semi-transparent, wide-bandgap (3.6–4.0 eV) [], and p-type semiconductor. As a candidate for p-type oxide semiconductors, NiO has been extensively studied for application in pn junction diodes, electrochromic devices, chemical sensors, and p-type conductive films [,,,] because of its excellent chemical stability and electrical, optical, and magnetic properties compared to other p-type oxide semiconductors. NiO films are grown using various techniques, such as spraying, sol–gel methods, chemical deposition, e-beam evaporation [,,,], and magnetron sputtering. Among them, magnetron sputtering is widely used for NiO film growth because it can easily be used to change the composition ratio to adjust the film properties [,].
The p-type property of NiO is known to generally originate from its non-stoichiometric composition [], with defects such as Ni vacancies and interstitial oxygen atoms, which are adjusted using the oxygen flow ratio during the sputtering process []. The Ni vacancies and interstitial oxygen result in the formation of Ni3+ ions in NiO films. Ni3+ ions act as hole carriers for the electrical neutrality of the film, and they also strongly absorb visible light []. Therefore, the electrical, optical, and crystallographic properties of NiO films are influenced by their Ni3+ ion content.
NiO films have a trade-off relationship between mobility, transmittance, resistivity, and carrier concentration. The presence of Ni3+ ions in NiO films increases the carrier concentrations of these films and decreases their resistivity. In contrast, the existence of interstitial oxygen atoms reduces the transmittance and mobility of the films because of lattice expansion and impurity scattering. Therefore, the Ni3+ content was adjusted to achieve the optimal conditions of improved transmittance, resistivity, crystallinity, and mobility. With regard to adjusting the properties of thin films, recent vacuum studies report various techniques such as sputtering targets with different microstructures, decreasing the heating rate, co-sputtering, and post-annealing [,,,].
Many studies on NiO films have investigated the influence of the oxygen content in films. To be utilized as the p-type layer of a photodetector and as TCOs in a device, the interfacial defects between NiO and other materials should be minimized. Moreover, NiO films must also have high carrier mobility and crystallinity. Low carrier mobility, which is a disadvantage of p-type semiconductors, can be improved using several methods, such as ion doping, surface treatment, and thermal treatment [,,]. RTA has the advantages of being a cost-effective and rapid process. In particular, RTA is commonly used to improve the crystallization of and rearrange the atoms in films. However, RTA can inhibit the recovery of defects caused by conventional annealing. In this study, a method of improving crystallinity while maintaining oxygen concentration is suggested. The RTA process affected the carrier concentration, mobility, and transmittance of the NiO films. It is important to consider not only the RTA temperature but the gas atmosphere during the RTA process. However, the research on the effect of the gas atmosphere is less extensive than that on the effect of temperature. Inert gases such as Ar and N2 had less of an effect on the thin film. In this study, the effects, during RTA, of various gas conditions on the electrical, optical, and crystallographic properties of a NiO film were investigated.
2. Materials and Methods
All processes were conducted in a clean room in which the temperature and humidity were controlled. Before deposition, the glass substrates were cleaned with deionized (DI) water, isopropyl alcohol, and acetone using an ultrasonic cleaner for 10 min. The chamber was evacuated to a base pressure of 5 × 10−6 Torr and maintained at a working pressure of 5 × 10−3 Torr with an Ar flow of 20 sccm. A NiO film was deposited at a thickness of 50 nm on a glass substrate. The distance between target and substrate was 126.65 mm. To investigate the influence of oxygen content on the NiO films, the oxygen flow rate was adjusted to 0, 2, 4, 6, 8, and 10 sccm during the sputtering process, as shown in Figure 1. Regardless of the oxygen flow rate, the working pressure was fixed at 5 mTorr. To ensure the uniformity and quality of the samples, pre-sputtering was performed for 10 min before deposition, and the substrate was rotated at 3 rpm during deposition. Subsequently, the as-fabricated NiO films were annealed at 300 °C for 1 min under Ar, O2, and N2 atmospheres. The RTA chamber was maintained at a pressure of 1 Torr, equivalent to gas flow rates of 50 sccm for Ar, 30 sccm for O2, and 40 sccm for N2, respectively. Details of the sputtering and RTA conditions are listed in Table 1 and Table 2.

Figure 1.
Schematic of the sputtering system.

Table 1.
Details regarding the sputtering conditions.

Table 2.
Details regarding the RTA conditions.
The thicknesses of the NiO thin films were measured using an Alpha-Step (Alpha-Step-500 Profiler, KLA-Tencor, Milpitas, CA, USA). The crystal structures and surface morphologies of the films were observed using a Rigaku X-ray diffractometer (MPA-2000, Smartlab, Rigaku, Tokyo, Japan) with Cu-Kα radiation (1.541 Å) and SEM (Hitachi, SU8600, Hitachi, Tokyo, Japan) at the Smart Materials Research Center for IoT at Gachon University. The electrical properties of the films were monitored using Hall Effect measurement equipment (HMS-3000, Ecopia, Gyeonggi-do, Korea) and the optical properties were analyzed using a UV/Vis/NIR spectrophotometer (Lambda 750 UV-vis-NIR, Perkin Elmer, Waltham, MA, USA).
3. Results
Figure 2 shows the deposition rate of the NiO films fabricated at different oxygen flow rates. The deposition rate decreased from 7 to 2.6 nm/min, with the oxygen flow rate varying between 0 and 10 sccm. This shows that the deposition rate was influenced by the oxygen content in the sputtering gas. Generally, the main parameter affecting the deposition rate is the amount of inert gas present. With an increasing oxygen content at the working pressure, the deposition rate decreases because of a reduction in the inert gas ratio. Moreover, an increase in the oxygen content in the chamber influences the mean free path of Ar atoms []. During the reactive sputtering process in the chamber, oxygen atoms can interrupt Ar atoms, thereby reducing the mean free path of the Ar atoms. Therefore, the deposition rate decreases.

Figure 2.
Deposition rates of the NiO films at various oxygen flow rates.
3.1. As-Fabricated NiO Films
Figure 3 shows the SEM images of the NiO films with different oxygen flow rates. All the films were dense and homogeneous and had smooth surfaces. The SEM results shown in Figure 3 reveal no clear differences. Before the RTA treatment, the NiO thin films deposited via sputtering did not achieve sufficient crystal growth owing to the fact that the sputtered atoms did not have enough energy to carry out crystal growth. Thus, XRD measurements were used to investigate the details of the crystallographic properties.


Figure 3.
SEM images of the surface morphology of NiO films deposited via RF sputtering on a glass substrate at oxygen flow rates of (a) 0, (b) 2, (c) 4, (d) 6, (e) 8, and (f) 10 sccm. (g) Section of 50 nm NiO thin film fabricated with oxygen flow rate of 0 sccm.
Figure 4 shows a homogeneous surface morphology independent of the oxygen flow rate obtained via AFM with a scan area of 1 × 1 μm2. The root-mean-square (RMS), which was used to evaluate the roughness of the surface, increased from 1.694 to 15.506 nm. When the oxygen flow rate increased, the surface roughness presented an uptrend because the oxygen content in the chamber influenced the deposited thin film during sputtering. The interstitial oxygen in the NiO film was applied as a point defect. The more defects in a film, the lower its crystallinity. This means that the interfacial contact between NiO and another material will deteriorate. However, Figure 4d depicts a lower RMS, 2.616 nm, than the other samples without 0 sccm. This result either shows that the NiO film fabricated with 4 sccm had excellent roughness or reflects an error in measurement.

Figure 4.
AFM images of the surface morphology of NiO films deposited via RF sputtering on a glass substrate at oxygen flow rates of (a) 0, (b) 2, (c) 4, (d) 6, (e) 8, and (f) 10 sccm.
The theoretical stoichiometry of the NiO films presented XRD peaks (JCPDS card no. 01-1239) of (111), (200), (220), (311), and (222) []. The NiO film deposited using a flow rate of 0 sccm was strongly associated with the (111), (200), and (220) peaks and weakly associated with the (311) and (222) peaks. As the oxygen flow ratio was increased to 2 sccm, all the peak intensities decreased. Upon a further increase to 10 sccm, the XRD pattern of the NiO film showed very weak peaks. This decrease in the peak intensity indicates the low crystallinity of the film. Thus, we can conclude that the interstitial oxygen causes a decrease in the crystallinity of the NiO film because interstitial oxygen is a point defect [] on NiO films. Point defects, such as interstitial anions and cation vacancies, result in lattice mismatches and reduce crystallinity or crystallographic properties. NiO film which has stoichiometry composition is NaCl crystal structure. The interstitial oxygen introduced via an excessive oxygen flow rate influences the change from a NaCl crystal structure to an amorphous structure. This means that to attain a crystalline NiO film, the oxygen flow rate must be controlled. Additionally, the lattice constant and 2θ are related through Bragg’s law []
where d is the distance between successive layers of atoms, and n is the diffraction order.
2dsin θ = nλ,
Here, a is the lattice constant, and h and k are the Miller indices.
Table 3 lists the calculated crystallographic parameters of the NiO films. XRD peaks were not observed in the NiO film deposited via RF sputtering with a 10 sccm oxygen flow. Table 3 shows the increase in the lattice constant. The theoretical lattice constant of NiO is 4.1678 Å [], which is in agreement with the result regarding the NiO film deposited at an oxygen flow rate of 0 sccm. When the oxygen flow rate was gradually increased, the lattice constant also increased because of the expansion of the lattice due to the presence of interstitial oxygen. According to Bragg’s law, the 2θ and lattice constant exhibit a trade-off relationship. The values in Table 3, calculated using various equations, may differ from the actual values. In general, a low FWHM and a large D indicate the coincidence of peaks, sharp peak intensity, and high crystallinity. However, the values in Table 3 do not correspond to the crystallinity shown in the XRD pattern in Figure 5 because the calculated FWHM and D are influenced by the lattice structure, peak intensity, and shape. Therefore, a decrease in the peak intensity or a change in the peak shape can reduce the calculated FWHM. Moreover, the increase in the lattice constant indicates lattice expansion, which leads to a large D.

Table 3.
Calculated lattice constant and 2θ of NiO film deposited with various oxygen flow rates.

Figure 5.
XRD patterns of the 50 nm NiO films on a glass substrate with different oxygen flow rates.
Figure 6 shows the change in transmittance with oxygen content during the sputtering process. The transmittance of the NiO film is clearly influenced by the oxygen flow rate. When the oxygen flow rate increases from 0 to 10 sccm, the transmittance of the NiO film changes from 65% to 40% because the Ni3+ ions strongly absorb in the visible region []. In addition, the optical bandgap energy Eg and strain ε can be calculated using the following equations []:
(αhv)n = A(hv − Eg)

Figure 6.
Transmittance of NiO films on a glass substrate using different oxygen flow rates.
Here, α is the absorption coefficient, hv is the photon energy, and A is a constant.
Above, a is the measured lattice parameter, and a0 (0.41678 nm) is the theoretical lattice parameter of the NiO film.
The Eg values of the NiO films fabricated under various conditions are listed in Table 4. The Eg was calculated as 3.69 eV at 0 sccm and 3.57 eV at 10 sccm. The theoretical band gap energy of nickel oxide is 3.6–4.0 eV [], which is in agreement with Figure 7. When the oxygen flow rate was increased, the Eg decreased. Therefore, the oxygen content of the NiO film affects the Eg. The reduction in the Eg can be attributed to various interactions between ions and carriers []. In addition, films fabricated via various processes have residual stress due to lattice mismatch, impurities, and dislocation in the films. In this case, interstitial oxygen caused tensile stress through lattice expansion and reduced the Eg. The optical bandgap was narrowed for these reasons. The calculated strain exhibits a tendency that corresponds to the Eg, as shown in Table 4. The calculation of film stress in addition to the measurement of film stress via glancing incident XRD (GIXRD) are shown in Figure 8 and Table 5.

Table 4.
Optical band gap energy Eg and strain ε of the NiO films at different oxygen flow rates.

Figure 7.
Optical band gap energy Eg of the NiO film at (a) 0 sccm and (b) 10 sccm.

Figure 8.
Residual stress of NiO film with different oxygen flow rates measured via GIXRD (measured point and fitted linear graph of epsilon vs. sin2psi).

Table 5.
Residual stress values of NiO film with different oxygen flow rates.
Figure 8 shows a linear graph of epsilon vs. sin2psi. The residual stress was calculated by considering elastic theory and diffraction theory in a sin2psi system. The relationship between epsilon and sin2psi is represented in the equation [] below
where ψ (shi) and φ (phi) are the polar and azimuthal angles. E = 181 Gpa (Young’s modulus) and v = 0.27 (Poisson’s ratio) are the constants for the NiO film during the residual stress measurements. σφ is the measured stress component in the φ direction.
Stress in a thin film is caused by applied stress (an externally applied load) and residual stress (stress existing in a thin film in the absence of an applied force). Applied stress, which is structural stress, arises through lattice mismatch and growth defects, and residual stress is typically caused during formation or heating. The tensile and compressive stresses are the residual stresses existing in a material without the application of an external load. The presence of tensile and compressive stress can be confirmed by referring to the slope of the graph. The six fitted lines have a negative slope, which indicates compressive stress. Thin films deposited via expansion and plasma during the sputtering process are subjected to compressive stress due to their tendency to return to their origin state. Thus, the NiO films deposited with interstitial oxygen exhibited signs of compressive stress. The compressive stress values range from −857.2 to −1604.0 MPa in Table 5, in which the highest stress was indicated by the 2 sccm sample and the lowest stress was observed for the 6 sccm sample. This means that high crystallinity does not result in low stress owing to the lattice mismatch between the NiO film and the glass substrate. Compressive stress can change the physical properties of a thin film, leading to peeling via hillock formation and wrinkling. To manufacture stable devices, residual stress must be reduced.
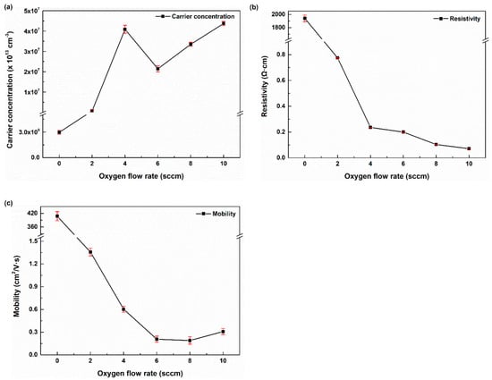
As shown in Figure 9, as the oxygen flow rate increased, the carrier concentration and resistivity of the NiO films improved, while their mobility decreased. The relationship between the oxygen content and Ni3+ ions can be represented in the equation [] below
where Nivancancy is the ionized nickel vacancy.

Figure 9.
Electrical properties of the NiO films deposited with various oxygen flow rates.
Figure 9a–c show the carrier concentration, the resistivity, and the mobility of the NiO film, respectively. In the above equation, Ni2+ is replaced by two Ni3+ ions with Nivacancy to achieve electrical neutrality of the NiO film. Therefore, the oxygen-rich conditions during the sputtering process resulted in more Ni3+ ions. Nivacancy generates a hole carrier, which is the reason behind the p-type characteristics observed, and causes an increase in carrier concentration. In Figure 9b, the NiO film deposited with 0 sccm exhibited a higher resistivity than the other samples because the stoichiometric NiO film is a Mott–Hubbard insulator []. As the oxygen flow rate increased, resistivity rapidly decreased because of an increase in the carrier concentration. Figure 9c shows that the carrier mobility of the NiO films is influenced by the oxygen flow rate. The NiO films deposited under oxygen-rich conditions exhibited low carrier mobility. Interstitial oxygen can interrupt carrier movement because of impurity scattering. The higher the carrier concentration, the more impurity scattering that occurs among the hole carriers. Moreover, lattice expansion causes lattice imperfections, which can interrupt the carrier movement. Thus, carrier concentration and carrier mobility exhibit a trade-off relationship.
The NiO films affect the oxygen flow rate during the deposition process. To apply the various fields, the NiO films require the control of properties. As the oxygen flow rate increased, crystallinity, optical properties, and mobility decreased, and the carrier concentration increased. The stoichiometric composition of the NiO film reveals its excellent optical and crystallographic properties. However, its excessive resistivity close to an insulator makes it difficult to apply in devices. Thus, the NiO films must have interstitial oxygen, which induces a high carrier concentration. To obtain a NiO film with a high carrier concentration and excellent crystallinity, RTA gas conditions were considered. The RTA under O2 condition was predicted to prevent the evaporation of oxygen via heat.
Before studying the effect of RTA gas conditions, it is important to account for the RTA temperature, which is an important parameter that affects the properties of NiO films. To evaluate the effect of RTA temperature, the samples deposited at 0, 2, 4, 6, 8, and 10 sccm oxygen flow rates were annealed via RTA at 100, 200, 300, 400, and 500 °C, respectively. The atoms in the film thermally vibrated at low temperatures in circles during the thermal treatment. The samples processed at 100 and 200 °C showed no significant changes. However, when the temperature was increased, the atoms provided sufficient energy and moved from the film lattice to the air because sufficient energy around the atoms can overcome the binding system of the film. In the NiO film, the Ni-O binding energy was higher than the interstitial oxygen binding energy. Therefore, the samples processed at 400 and 500 °C showed similar properties to those of the sample fabricated at a 0 sccm oxygen flow rate in Table 6 and Table 7. This indicates that oxygen on the NiO film evaporated at high temperatures. Thus, the optimal temperature for investigating the effect of the atmosphere was 300 °C.

Table 6.
Carrier concentrations of NiO films deposited with various oxygen flow rates and processed at various temperatures.

Table 7.
Mobility of NiO films deposited with various oxygen flow rates and processed at various temperatures.
3.2. NiO Film Annealed at 300 °C RTA under Ar, O2, and N2 Atmospheres
The samples were then annealed at 300 °C via RTA under Ar, O2, and N2 atmospheres, respectively. To prevent the reduction in the oxygen content in the NiO films through the RTA process, the effect of the RTA atmosphere was intensively investigated in terms of its electrical, optical, and crystallographic properties.
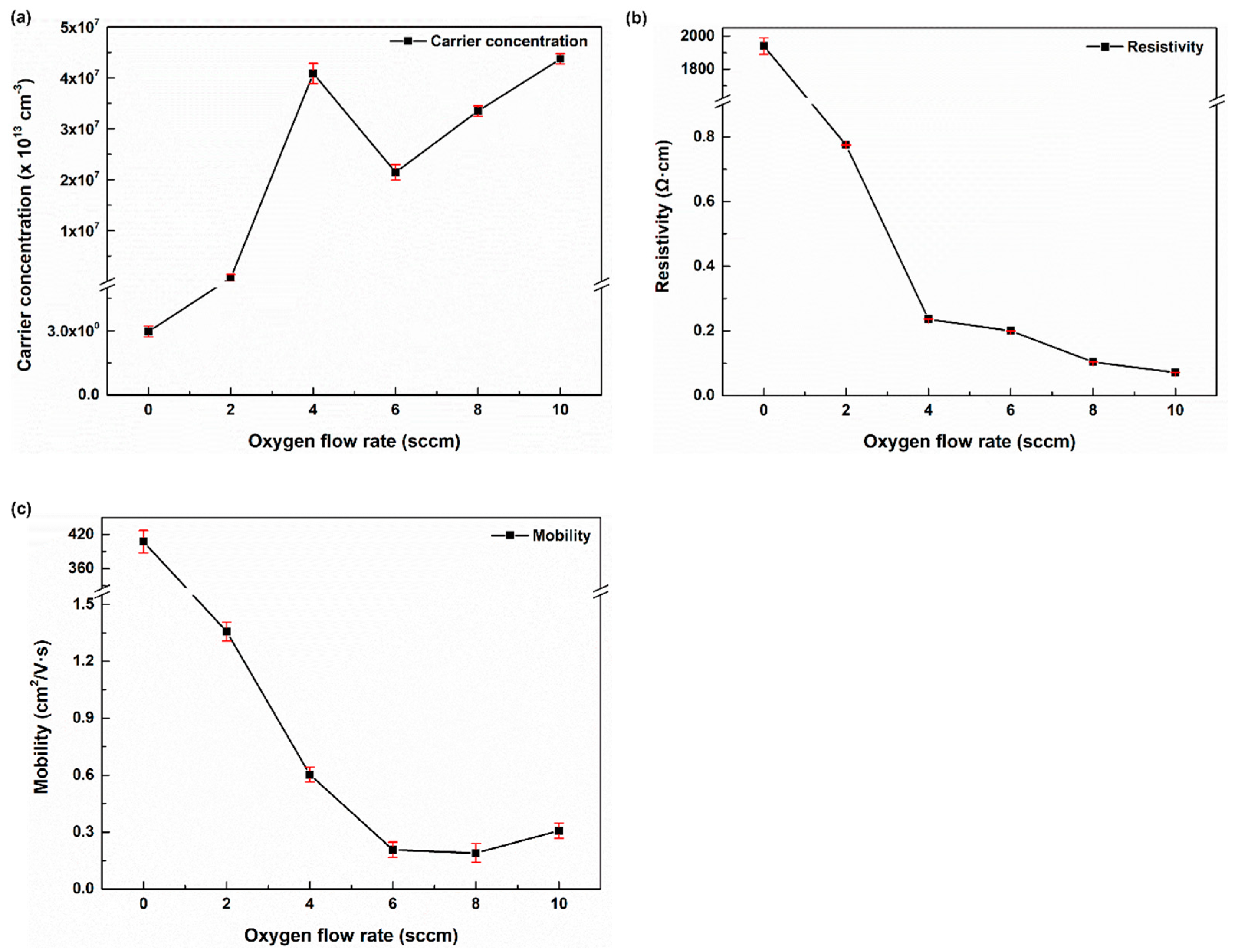
Figure 10a–c show the carrier concentration, the resistivity, and the mobility of the NiO film by RTA on the NiO films under different atmospheres. After annealing the NiO films, the carrier concentration decreased, and the resistivity increased. This is because oxygen atoms were transferred from the NiO film to air via the RTA process. Interstitial oxygen in the lattice of NiO caused the formation of Ni3+ ions, which are hole carriers. In contrast, carrier mobility was improved. This was due to the reduction in point defects and carrier concentration. The impurity scattering on the films was influenced by the carrier concentration. In particular, the carrier mobility was maximally improved under an O2 atmosphere. However, the carrier concentration was not a higher value than that under other conditions. This means that mobility was affected by not only the carrier concentration but other parameters such as crystallinity. The low carrier mobility, which is a disadvantage of p-type oxide semiconductors, can be improved via the RTA process under an O2 atmosphere compared to other atmospheres.

Figure 10.
The electrical properties of NiO films processed via RTA system under Ar, O2, and N2 atmospheres.
Figure 11a–c show an improvement in transmittance of the NiO film after carrying out the 300 °C RTA process under different atmosphere. This indicates a reduction in the number of Ni3+ ions in the NiO film. The samples processed via RTA under Ar and N2 atmospheres slightly increased the transmittance. On the other hand, the samples processed via RTA under an O2 atmosphere significantly improved transmittance compared with those processed under other conditions. The transmittance of the NiO films was influenced by various conditions as well as the presence of Ni3+ ions. This suggests that there are various ways to improve optical properties.

Figure 11.
Transmittance of NiO films processed via RTA under Ar, O2, and N2 atmospheres.
Table 8 and Figure 12a–f show that the optical band gaps of the samples increased after annealing, except for 0 sccm. This is because of the reduction in electrostatic attraction between electrons in the valence band and holes in the conduction band due to the carrier concentration. Moreover, the RTA process can be associated with improved crystallographic properties and a reduction in point defects, with the latter being interstitial oxygen and lattice imperfections. In addition, tensile stress decreased after the RTA process, while the optical band gap increased. The optical band gap energy of the NiO film processed under an O2 atmosphere showed a tendency of having a higher energy value than it did under other atmospheres.

Table 8.
The optical band gap energy (Eg) of the NiO films processed via RTA under Ar, O2, and N2 atmospheres.

Figure 12.
The optical bandgap energy of NiO films processed via RTA under Ar, O2, and N2 atmospheres. (a) with 0 sccm under Ar atmosphere; (b) with 0 sccm under O2 atmosphere; (c) with 0 sccm under N2 atmosphere; (d) with 10 sccm under Ar atmosphere; (e) with 10 sccm under O2 atmosphere; (f) with 10 sccm under N2 atmosphere.
The NiO films annealed at 300 °C were investigated for their effect on the oxygen flow rate and gas conditions. The samples deposited with 0, 2, 4, 6, 8, and 10 sccm oxygen flows showed electrical and optical properties. All the samples exhibited improved transmittance, optical bandgaps, and mobility. To evaluate the NiO films under RTA conditions in greater detail, three oxygen flow rates were selected. Among these samples numbered the 0 sccm sample, which had the stoichiometric composition of an NiO film; the 4 sccm sample, with higher carrier mobility than the other samples; and the 8 sccm sample, which had a higher carrier concentration than the other samples, while the 10 sccm was excluded; the samples XRD peaks are shown in Figure 4.
Figure 13 shows the clearly different surfaces of the NiO films compared with the samples before the RTA process. Before applying the RTA process, the samples had low crystallinity owing to the presence of interstitial oxygen. Thermal treatment led to the evaporation of interstitial oxygen in the NiO film, halting lattice expansion and improving the crystallinity of the NiO film. The SEM images show grain boundaries and large grains compared to those of the as-fabricated samples. XRD was used to evaluate the crystallinity of the NiO films.


Figure 13.
SEM images of the NiO films at different oxygen flow rates after 300 °C RTA. (a) 0 sccm, Ar; (b) 4 sccm, Ar; (c) 8 sccm, Ar; (d) 0 sccm, O2; (e) 4 sccm, O2; (f) 8 sccm, O2; (g) 0 sccm, N2; (h) 4 sccm, N2, and (i) 8 sccm, N2.
In Figure 14, the peak of the XRD pattern is slightly sharpened because the RTA process induced an improvement in the crystallinity of the NiO film. Moreover, the peaks shifted to the right compared to the samples before the RTA process as shown by Table 9. This peak shift is related to the lattice constant according to Bragg’s law. This means that lattice expansion caused by interstitial oxygen was resolved, and the RTA process reduced the interstitial oxygen in the NiO film. The corresponding results are shown in Table 10. The value of strain indicates whether the strain turned into either compressive stress (ε < 0) or tensile stress (ε > 0). The strain applied to the thin film by interstitial oxygen was reduced compared to that before RTA process. Thus, the strain applied to the thin film can be reduced via the RTA process. The NiO films annealed under Ar gas showed lower strain values. This might have been due to the oxygen content.

Figure 14.
The XRD images of NiO films fabricated using 0, 4, and 8 sccm oxygen flow rates after RTA processes under Ar, N2, and O2 atmospheres.

Table 9.
Lattice constant; 2θ for NiO films deposited under various oxygen flow rates and gas conditions.

Table 10.
Strain of the NiO films deposited under various oxygen flow rates and gas conditions.
The properties of the NiO films were mostly affected by the oxygen content. The effect of the RTA atmosphere was slightly different under the Ar, O2, and N2 conditions. The atomic compositions of the NiO films were measured to evaluate the specific effects of the gas conditions during the RTA process. The atomic composition of the NiO film fabricated with an 8 sccm oxygen flow rate and processed via the RTA process was investigated via XPS measurement because the sample fabricated with an 8 sccm oxygen flow rate had a higher carrier concentration, indicating higher oxygen and Ni3+ ion content, and was expected to show a clear difference in atomic composition before and after RTA.
XPS measurements were performed using the following parameter: spot size: 400 μm, pass energy: 200 eV, and step size: 1.0 eV. The XPS binding energy of all the samples was aligned by reference [,]. The sample work function was calculated as the sum of the electron affinity (the value in the literature was 1.46 eV) and the optical bandgap energy (which, in this study, was 8 sccm and 3.61 eV) []. The C 1s peak position was calculated as follows: BE = 289.58 − ΦSA (5.07 eV) = 284.51 eV. Thus, all peaks were shifted by taking the difference of the measured BE (284.8 eV) and the calculated BE. Figure 15 shows the XPS survey spectra (Figure 15a) and the NiO peaks of the XPS system, such as the Ni 2p and O 1s spectra (Figure 15b–i). As shown in the images, the Ni 2p1/2 represented two peaks Ni2+ at ~872 eV and a satellite at ~878 eV. The Ni 2p3/2 showed Ni2+ at ~853 eV, Ni3+ at ~855 eV, and a satellite at ~861 eV. In the O 1s spectrum, only two peaks were exhibited: Ni2+ at ~529 eV and Ni3+ at ~531 eV. The binding energy of the NiO film was not influenced by the RTA process because the peak shift caused a change in the oxidation number and the bonding of other atoms. The Ni 2p1/2 peak at ~872 eV and O 1s peak at ~529 eV related to the Ni–O octahedral bonding of cubic NiO correspond to the lattice oxygen and Ni2+ because the lattice oxygen exists as O2- in NiO films []. The Ni 2p3/2 peak at ~855 eV and O 1s peak at ~531 eV correspond to Ni3+. The Ni3+ was present because of the interstitial oxygen and nickel vacancy, as shown in Formula (5), or due to the excess oxygen from NiOOH owing to exposure and the pollution. The peak intensity of the XPS measurement system is proportional to the amount of material on the surface. The Ni 2p peak intensity indicates that there were more Ni2+ ions than Ni3+ ions in all the samples. This means that the presence of Ni3+ ions, which was very high, affected the properties of NiO films. The atomic compositions of the NiO films are shown in Table 11, and the as-fabricated sample exhibited the highest oxygen content. After the RTA process, the sample processed in an O2 atmosphere showed a higher oxygen content in Ar and N2 atmospheres. In terms of preventing oxygen content in the NiO film during the RTA process, O2 atmosphere is an optimal condition compared to Ar and N2 gas.


Figure 15.
(a) Peaks of as-fabricated NiO films deposited at 8 sccm oxygen flow rate obtained via XPS measurement (the Ni 2p and O 1s spectra of NiO films); (b) C 1s, as-fabricated; (c) Ni 2p, as-fabricated; (d) O 1s, as-fabricated; (e) Ni 2p, RTA: Ar; (f) O 1s, RTA: Ar; (g) Ni 2p, RTA: O2; (h) O 1s, RTA: O2; (i) Ni 2p, RTA: N2; (j) O 1s, RTA: N2.

Table 11.
Atomic compositions, measured using XPS, of NiO films fabricated at 8 sccm oxygen flow and processed via RTA under Ar, O2, and N2 atmospheres.
4. Conclusions
NiO films were fabricated using an RF sputtering system at various oxygen flow rates and annealed at 300 °C using an RTA system under Ar, O2, and N2 atmospheres. The NiO films were mainly influenced by the oxygen flow rate. As the oxygen flow rate increased, carrier concentration, resistivity, and mobility changed from 2.95 × 1013 cm−3 to 4.37 × 1020 cm−3; 1940 Ω·cm to 0.07 Ω·cm; and 407.32 cm2/V·s to 0.307 cm2/V·s, respectively. In addition, the crystallinity and transmittance were decreased by lattice expansion and Ni3+ ions. The interstitial oxygen, which caused the lattice expansion and increased the carrier concentration of the NiO films, was reduced via the RTA process due to heat evaporation. Thus, after the RTA process, all the samples presented a reduction in carrier concentration and an improvement in transmittance, mobility, and crystallinity owing to the reduction in oxygen content. When the NiO film forms an interface with another material after contact, RTA is required to improve the interface properties. To prevent the presence of oxygen in the NiO films during the RTA process, the effect of the RTA gas conditions was investigated under Ar, O2, and N2 atmospheres. Among them, the sample processed via RTA under an O2 atmosphere showed higher carrier mobility (3.42 cm2/V·s), transmittance (50%), and oxygen content (38.25%) than those processed under Ar and N2 atmospheres. Among the RTA parameters, the gas condition particularly influences oxygen content. Applying RTA under an O2 atmosphere to NiO films is a method that can improve crystallinity while maintaining oxygen content, leading to a high carrier concentration. In particular, the sample fabricated with a 4 sccm oxygen flow rate and under an O2 atmosphere was predicted to have been produced under the optimal conditions for the p-type layer of a photodetector because of its excellent electrical properties owing to high mobility.
Author Contributions
Conceptualization, H.K., K.K. and J.H.; methodology, H.K. and K.K.; validation, K.K. and J.H.; formal analysis, H.K.; investigation, J.H.; resources, K.K. and J.H.; data curation, H.K.; writing—original draft preparation, H.K. and J.H.; writing—review and editing, K.K. and J.H.; visualization, H.K.; supervision, K.K. and J.H.; project administration, J.H.; funding acquisition, J.H. All authors have read and agreed to the published version of the manuscript.
Funding
This work was funded by the Technology Innovation Program (RS-2023-00227306, Development of ultra-sensitive DUV sensor for arc detection with high reliability in natural light environment) funded By the Ministry of Trade, Industry, and Energy (MOTIE, Korea) and the Korea Institute for the Advancement of Technology (KIAT) grant funded by the Korean Government (MOTIE) (P0012451, The Competency Development Program for Industry Specialists).
Institutional Review Board Statement
Not applicable.
Informed Consent Statement
Not applicable.
Data Availability Statement
Data are contained within the article.
Conflicts of Interest
The authors declare no conflict of interest.
References
- Hong, J.; Katsumata, K.-I.; Matsushita, N. High-conductivity solution-processed ZnO films realized via UV irradiation and hydrogen treatment. Acta Mater. 2016, 103, 844–849. [Google Scholar] [CrossRef]
- Hong, J.S.; Kim, S.M.; Park, S.J.; Choi, H.W.; Kim, K.H. Preparation of In2O3-ZnO (IZO) thin film on glass substrate for organic light emitting device (OLED). Mol. Cryst. Liq. Cryst. 2010, 520, 19/[295]–227/[303]. [Google Scholar] [CrossRef]
- Rim, Y.S.; Bae, S.-H.; Chen, H.; De Marco, N.; Yang, Y. Recent Progress in Materials and Devices toward Printable and Flexible Sensors. Adv. Mater. 2016, 28, 4415–4440. [Google Scholar] [CrossRef]
- Tsai, W.-C.; Thomas, S.R.; Hsu, C.-H.; Huang, Y.-C.; Tseng, J.-Y.; Wu, T.-T.; Chang, C.-H.; Wang, Z.M.; Shieh, J.-M.; Shen, C.-H. Flexible high performance hybrid AZO/Ag-nanowire/AZO sandwich structured transparent conductors for flexible Cu (In, Ga) Se 2 solar cell applications. J. Mater. Chem. A 2016, 4, 6980–6988. [Google Scholar] [CrossRef]
- Badeker, K. Concerning the electricity conductibility and the thermoelectric energy of several heavy metal bonds. Ann. Phys. 1907, 22, 749. [Google Scholar]
- Kawazoe, H.; Yasukawa, M.; Hyodo, H.; Kurita, M.; Yanagi, H.; Hosono, H. P-type electrical conduction in transparent thin films of CuAlO2. Nature 1997, 389, 939–942. [Google Scholar] [CrossRef]
- Kunz, A.B. Electronic structure of NiO. J. Phys. C Solid State Phys. 1981, 14, L455. [Google Scholar] [CrossRef]
- Hao, W.; He, Q.; Zhou, K.; Xu, G.; Xiong, W.; Zhou, X.; Jian, G.; Chen, C.; Zhao, X.; Long, S. Low defect density and small I−V curve hysteresis in NiO/β-Ga2O3 pn diode with a high PFOM of 0.65 GW/cm2. Appl. Phys. Lett. 2021, 118, 043501. [Google Scholar] [CrossRef]
- Xia, X.; Tu, J.; Zhang, J.; Wang, X.; Zhang, W.; Huang, H. Electrochromic properties of porous NiO thin films prepared by a chemical bath deposition. Sol. Energy Mater. Sol. Cells 2008, 92, 628–633. [Google Scholar] [CrossRef]
- Kumagai, H.; Matsumoto, M.; Toyoda, K.; Obara, M. Preparation and characteristics of nickel oxide thin film by controlled growth with sequential surface chemical reactions. J. Mater. Sci. Lett. 1996, 15, 1081–1083. [Google Scholar] [CrossRef]
- Sato, H.; Minami, T.; Takata, S.; Yamada, T. Transparent conducting p-type NiO thin films prepared by magnetron sputtering. Thin Solid Films 1993, 236, 27–31. [Google Scholar] [CrossRef]
- Kamal, H.; Elmaghraby, E.; Ali, S.; Abdel-Hady, K. Characterization of nickel oxide films deposited at different substrate temperatures using spray pyrolysis. J. Cryst. Growth 2004, 262, 424–434. [Google Scholar] [CrossRef]
- Sharma, P.K.; Fantini, M.; Gorenstein, A. Synthesis, characterization and electrochromic properties of NiOxHy thin film prepared by a sol–gel method. Solid State Ionics 1998, 113, 457–463. [Google Scholar] [CrossRef]
- Vidales-Hurtado, M.; Mendoza-Galvan, A. Optical and structural characterization of nickel oxide-based thin films obtained by chemical bath deposition. Mater. Chem. Phys. 2008, 107, 33–38. [Google Scholar] [CrossRef]
- Hong, J.S.; Matsushita, N.; Kim, K.H. Investigation of the effect of oxygen gas on properties of GAZO thin films fabricated by facing targets sputtering system. Semicond. Sci. Technol. 2014, 29, 075007. [Google Scholar] [CrossRef]
- Park, T.; Park, S.; Park, J.H.; Min, J.Y.; Jung, Y.; Kyoung, S.; Kang, T.Y.; Kim, K.; Rim, Y.S.; Hong, J. Temperature-Dependent Self-Powered Solar-Blind Photodetector Based on Ag2O/β-Ga2O3 Heterojunction. Nanomaterials 2022, 12, 2983. [Google Scholar] [CrossRef]
- Agrawal, A.; Habibi, H.R.; Agrawal, R.K.; Cronin, J.P.; Roberts, D.M.; Lampert, C.M. Effect of deposition pressure on the microstructure and electrochromic properties of electron-beam-evaporated nickel oxide films. Thin Solid Films 1992, 221, 239–253. [Google Scholar] [CrossRef]
- Fievet, F.; Germi, P.; De Bergevin, F.; Figlarz, M. Lattice parameter, microstrains and non-stoichiometry in NiO. Comparison between mosaic microcrystals and quasi-perfect single microcrystals. J. Appl. Crystallogr. 1979, 12, 387–394. [Google Scholar] [CrossRef]
- Nandy, S.; Saha, B.; Mitra, M.K.; Chattopadhyay, K. Effect of oxygen partial pressure on the electrical and optical properties of highly (200) oriented p-type Ni1− xO films by DC sputtering. Mater. Chem. Phys. 2007, 42, 5766–5772. [Google Scholar] [CrossRef]
- Uplane, M.; Mujawar, S.; Inamdar, A.; Shinde, P.; Sonavane, A.; Patil, P. Structural, optical and electrochromic properties of nickel oxide thin films grown from electrodeposited nickel sulphide. Appl. Surf. Sci. 2007, 253, 9365–9371. [Google Scholar] [CrossRef]
- Ning, Z.; Wang, Y.; Li, S.; Tang, K.; Wen, M. The sputtering performance of Ag sputtering targets with different microstructure. Vacuum 2023, 210, 111888. [Google Scholar] [CrossRef]
- Dorri, S.; Palisaitis, J.; Greczynski, G.; Petrov, I.; Birch, J.; Hultman, L.; Bakhit, B. Oxidation kinetics of overstoichiometric TiB2 thin films grown by DC magnetron sputtering. Corros. Sci. 2022, 206, 110493. [Google Scholar] [CrossRef]
- Hellgren, N.; Sredenschek, A.; Petruins, A.; Palisaitis, J.; Klimashin, F.F.; Sortica, M.A.; Hultman, L.; Persson, P.O.; Rosen, J. Synthesis and characterization of TiBx (1.2 ≤ x ≤ 2.8) thin films grown by DC magnetron co-sputtering from TiB2 and Ti targets. Surf. Coat. Technol. 2022, 433, 128110. [Google Scholar] [CrossRef]
- Zhao, H.; Lin, G.; Han, C.; Hickey, R.; Zhama, T.; Cui, P.; Deroy, T.; Feng, X.; Ni, C.; Zeng, Y. Improving the short-wave infrared response of strained GeSn/Ge multiple quantum wells by rapid thermal annealing. Vacuum 2023, 210, 111868. [Google Scholar] [CrossRef]
- Zhang, J.; Li, W.; Hoye, R.; MacManus-Driscoll, J.; Budde, M.; Bierwagen, O.; Wang, L.; Du, Y.; Wahila, M.; Piper, L. Electronic and transport properties of Li-doped NiO epitaxial thin films. J. Mater. Chem. C. 2018, 6, 2275–2282. [Google Scholar] [CrossRef]
- Liu, S.; Liu, R.; Chen, Y.; Ho, S.; Kim, J.H.; So, F. Nickel oxide hole injection/transport layers for efficient solution-processed organic light-emitting diodes. Chem. Mater. 2014, 26, 4528–4534. [Google Scholar] [CrossRef]
- Akinkuade, S.T.; Meyer, W.E.; Nel, J.M. Effects of thermal treatment on structural, optical and electrical properties of NiO thin films. Physica B 2019, 575, 411694. [Google Scholar] [CrossRef]
- Grado-Caffaro, M.; Grado-Caffaro, M. On the sensitivity to partial pressure of oxygen of the mobility in cadmium oxide. Mod. Phys. Lett. B 2015, 29, 1550206. [Google Scholar] [CrossRef]
- Kanjwal, M.A.; Chronakis, I.S.; Barakat, N.A. Electrospun NiO, ZnO and composite NiO–ZnO nanofibers/photocatalytic degradation of dairy effluent. Ceram. Int. 2015, 41, 12229–12236. [Google Scholar] [CrossRef]
- Peterson, N.L.; Wiley, C. Point defects and diffusion in NiO. J. Phys. Chem. Solids 1985, 46, 43–52. [Google Scholar] [CrossRef]
- Park, S.; Yoon, Y.; Lee, S.; Park, T.; Kim, K.; Hong, J. Thermoinduced and Photoinduced Sustainable Hydrophilic Surface of Sputtered-TiO2 Thin Film. Coatings 2021, 11, 1360. [Google Scholar] [CrossRef]
- Cairns, R.; Ott, E. X-ray studies of the system nickel—Oxygen—Water. I. Nickelous oxide and hydroxide1. J. Am. Chem. Soc. 1933, 55, 527–533. [Google Scholar] [CrossRef]
- Martinez-Luevanos, A.; Oliva, J.; Garcia, C.; Avalos-Belmontes, F.; Garcia-Lobato, M. Effect of cobalt on the electrochromic properties of NiO films deposited by spray pyrolysis. Appl. Phys. A 2017, 123, 1–8. [Google Scholar] [CrossRef]
- Park, S.; Park, T.; Park, J.H.; Min, J.Y.; Jung, Y.; Kyoung, S.; Kang, T.-Y.; Kim, K.H.; Rim, Y.S.; Hong, J. Ag2O/β-Ga2O3 Heterojunction-Based Self-Powered Solar Blind Photodetector with High Responsivity and Stability. ACS Appl. Mater. Interfaces 2022, 14, 25648–25658. [Google Scholar] [CrossRef] [PubMed]
- Nandy, S.; Maiti, U.; Ghosh, C.; Chattopadhyay, K. Enhanced p-type conductivity and band gap narrowing in heavily Al doped NiO thin films deposited by RF magnetron sputtering. J. Phys. Condens. Matter 2009, 21, 115804. [Google Scholar] [CrossRef]
- Kirubaharan, A.K.; Anderson, A.; Thykattusserry, N.J.; Rajasekaramoorthy, M.; Saketh, M.S.; Bhargav, P. Measurement of residual stress in thermal barrier coating using GIXRD. Mater. Today Proc. 2021, 44, 3575–3577. [Google Scholar] [CrossRef]
- Dubey, P.; Kaurav, N.; Devan, R.S.; Okram, G.; Kuo, Y. The effect of stoichiometry on the structural, thermal and electronic properties of thermally decomposed nickel oxide. RSC Adv. 2018, 8, 5882–5890. [Google Scholar] [CrossRef]
- Ahmed, A.A.; Devarajan, M.; Afzal, N. Effects of substrate temperature on the degradation of RF sputtered NiO properties. Mater. Sci. Semicond. Process. 2017, 63, 137–141. [Google Scholar] [CrossRef]
- Greczynski, G.; Hultman, L. Reliable determination of chemical state in X-ray photoelectron spectroscopy based on sample-work-function referencing to adventitious carbon: Resolving the myth of apparent constant binding energy of the C 1s peak. Appl. Surf. Sci. 2018, 451, 99–103. [Google Scholar] [CrossRef]
- Greczynski, G.; Hultman, L. C 1s peak of adventitious carbon aligns to the vacuum level: Dire consequences for material’s bonding assignment by photoelectron spectroscopy. ChemPhysChem 2017, 18, 1507–1512. [Google Scholar] [CrossRef]
- Wu, H.; Wang, L.-S. A study of nickel monoxide (NiO), nickel dioxide (ONiO), and Ni(O2) complex by anion photoelectron spectroscopy. J. Chem. Phys. 1997, 107, 16–21. [Google Scholar] [CrossRef]
- Kwon, U.; Kim, B.-G.; Nguyen, D.C.; Park, J.-H.; Ha, N.Y.; Kim, S.-J.; Ko, S.H.; Lee, S.; Lee, D.; Park, H.J. Solution-processible crystalline NiO nanoparticles for high-performance planar perovskite photovoltaic cells. Sci. Rep. 2016, 6, 30759. [Google Scholar] [CrossRef] [PubMed]
Disclaimer/Publisher’s Note: The statements, opinions and data contained in all publications are solely those of the individual author(s) and contributor(s) and not of MDPI and/or the editor(s). MDPI and/or the editor(s) disclaim responsibility for any injury to people or property resulting from any ideas, methods, instructions or products referred to in the content. |
© 2023 by the authors. Licensee MDPI, Basel, Switzerland. This article is an open access article distributed under the terms and conditions of the Creative Commons Attribution (CC BY) license (https://creativecommons.org/licenses/by/4.0/).