Impact of Swirling Flow on the Overall Cooling Effectiveness and TBCs Insulation Characteristics of Turbine Vane
Abstract
:1. Introduction
2. Numerical Methods
2.1. Numerical Meshing and Computational Approaches
2.2. Thermal Parameter Definition
3. Discussion
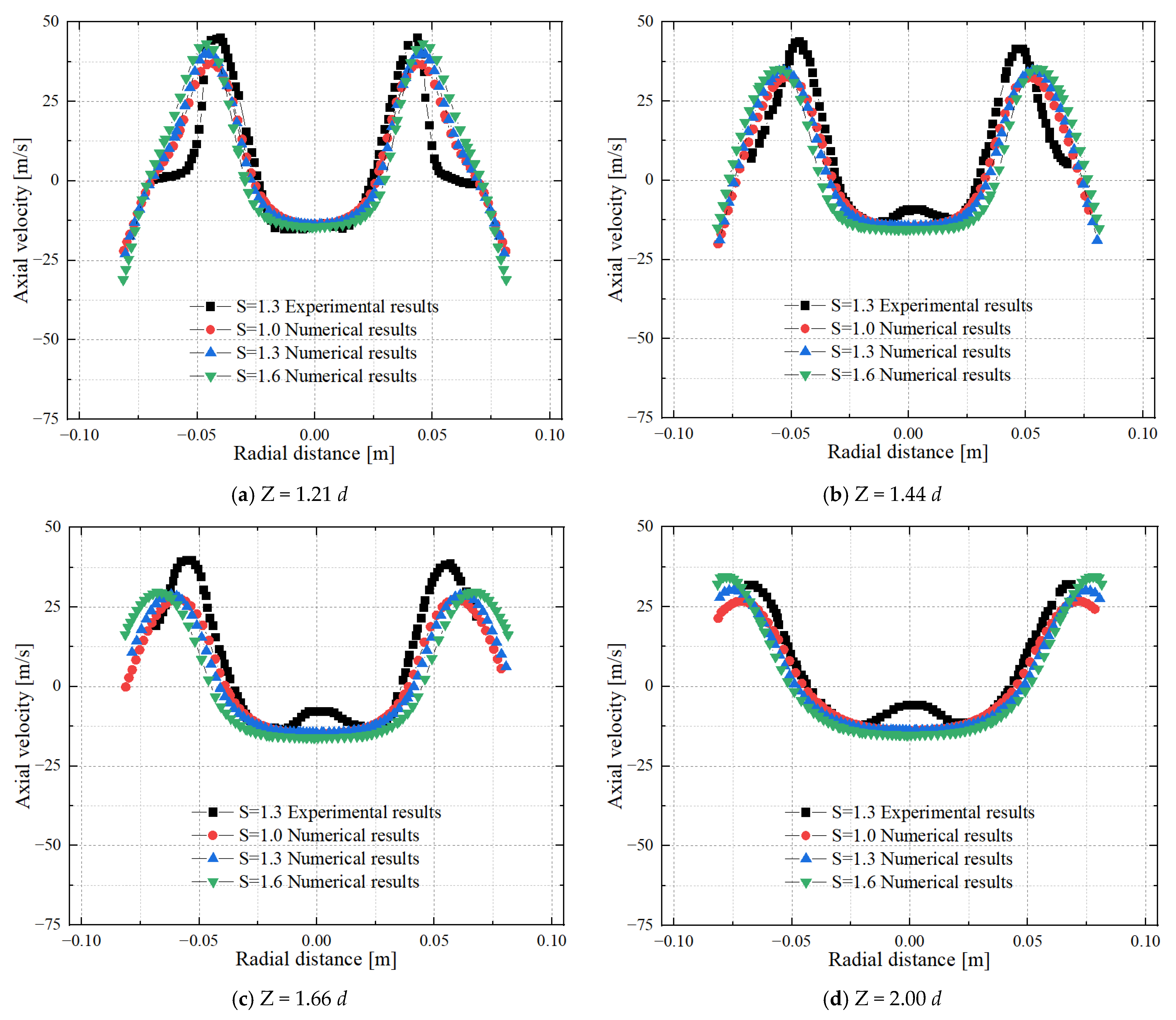
3.1. The Impact of Swirl Number on Velocity and Temperature Profiles within the Combustion Chamber
3.2. Influence of Swirl Number on the Gas–Thermal Performance and TBCs Insulation Characteristics of the Turbine Stage
4. Conclusions
Author Contributions
Funding
Institutional Review Board Statement
Informed Consent Statement
Data Availability Statement
Conflicts of Interest
Nomenclature
| x, y, z | Cartesian Coordinates [mm] |
| Cax | axial chord [mm] |
| φ | overall cooling effectiveness of the uncoated vane |
| φTBC | overall cooling effectiveness of the coated vane |
| Δφ | overall cooling effectiveness increment due to coating |
| S | swirl number |
| α | swirl angle |
| β | pitch angle |
| uax | axial velocity component |
| utan | tangential velocity component |
| Δq | delta heat flux |
| θ | temperature ratio |
| Abbreviations | |
| NGV | nozzle guide vane |
| TBC | thermal barrier coating |
| PS | pressure side |
| SS | suction side |
References
- Han, J.-C.; Huh, M. Recent studies in turbine blade internal cooling. Heat Transf. Res. 2010, 41, 803–828. [Google Scholar]
- Ligrani, P.; Goodro, M.; Fox, M.; Moon, H.-K. Full-coverage film cooling: Film effectiveness and heat transfer coefficients for dense hole arrays at different hole angles, contraction ratios, and blowing ratios. J. Heat Trans. 2013, 135, 031707. [Google Scholar] [CrossRef]
- Liu, J.H.; Liu, Y.B.; He, X.; Liu, L. Study on TBCs insulation characteristics of a turbine blade under serving conditions. Case Stud. Therm. Eng. 2016, 8, 250–259. [Google Scholar] [CrossRef]
- Feuerstein, A.; Knapp, J.; Taylor, T.; Ashary, A.; Bolcavage, A.; Hitchman, N. Technical and economical aspects of current thermal barrier coating systems for gas turbine engines by thermal spray and EBPVD: A review. J. Therm. Spray Technol. 2008, 17, 199–213. [Google Scholar] [CrossRef]
- Padture, N.P.; Gell, M.; Jordan, E.H. Thermal barrier coatings for gas-turbine engine applications. Science 2002, 296, 280–284. [Google Scholar] [CrossRef]
- Wang, Z.; Wang, D.; Wang, Z.; Feng, Z. Heat transfer analyses of film-cooled HP turbine vane considering effects of swirl and hot streak. Appl. Therm. Eng. 2018, 142, 815–829. [Google Scholar] [CrossRef]
- Zhang, R.; Xu, Q.; Fan, W. Effect of swirl field on the fuel concentration distribution and combustion characteristics in gas turbine combustor with cavity. Energy 2018, 162, 83–98. [Google Scholar] [CrossRef]
- Habib, M.A.; Nemitallah, M.A.; Ahmed, P. Experimental analysis of oxygen-methane combustion inside a gas turbine reactor under various operating conditions. Energy 2015, 86, 105–114. [Google Scholar]
- Abubakar, Z.; Shakeel, M.R.; Mokheimer, E. Experimental and numerical analysis of non-premixed oxy-combustion of hydrogen-enriched propane in a swirl stabilized combustor. Energy 2018, 165, 1401–1414. [Google Scholar] [CrossRef]
- Ruan, C.; Yu, T.; Chen, F. Experimental characterization of the spatiotemporal dynamics of a turbulent flame in a gas turbine model combustor using computed tomography of chemiluminescence. Energy 2019, 170, 744–751. [Google Scholar] [CrossRef]
- Tang, C.W.; Li, J.Z.; Jin, W. Experiment on effect of main swirl number on the flow and combustion characteristics of three-stage swirl combustor. J. Aerosp. Power 2021, 36, 634–645. [Google Scholar]
- Feyz, M.E.; Pishbin, S.I.; Ghazikhani, M. Parametric assessment of a low-swirl burner using the exergy analysis. Energy 2015, 79, 117–126. [Google Scholar] [CrossRef]
- Yu, B.W.; Zhang, C.; Yang, Q. Characteristics of the recirculation zone downstream a dual-swirl cup at varied inlet Reynolds numbers. J. Aerosp. Power 2016, 31, 823–829. [Google Scholar]
- Said, S.A.; Aliyu, M.; Nemitallah, M.A.; Habib, M.A.; Mansir, I.B. Experimental investigation of the stability of a turbulent diffusion flame in a gas turbine combustor. Energy 2018, 157, 904–913. [Google Scholar] [CrossRef]
- Zhu, Y.; Zhang, Q. Effects of geometry on characteristics of central toroidal recirculation zone generated by an axial swirler. J. Aerosp. Power 2014, 29, 2684–2693. [Google Scholar]
- Liu, Y.J.; Liu, X.; Zhou, B. Large eddy simulation of low swirl premixed flame stabilization mechanism. J. Aerosp. Power 2020, 36, 298–304. [Google Scholar]
- Chang, F.; Lin, H.J.; Cheng, M. Study on Flow Field Characteristics of Low Swirl Concentric Staged Combustor. J. Propul. Technol. 2020, 41, 1334–1339. [Google Scholar]
- Yang, Y.J.; Li, X.Y.; Xie, W. Numerical Study on Combustion Stability in a Lean Premixed Combustor. J. Propul. Technol. 2017, 38, 2562–2571. [Google Scholar]
- Mansouri, Z.; Aouissi, M.; Boushaki, T. Numerical computations of premixed propane flame in a swirl-stabilized burner: Effects of hydrogen enrichment, swirl number, and equivalence ratio on flame characteristics. Int. J. Hydrogen Energy 2016, 41, 9664–9678. [Google Scholar] [CrossRef]
- Sohn, K.H.; Rusak, Z.; Kapila, A.K. Effect of near-critical swirl on the Burke-Schumann reaction sheet. J. Eng. Math. 2006, 54, 181–196. [Google Scholar] [CrossRef]
- Shi, L.; Sun, Z.; Lu, Y. The Combined Influences of Film Cooling and Thermal Barrier Coatings on the Cooling Performances of a Film and Internal Cooled Vane. Coatings 2020, 10, 861. [Google Scholar] [CrossRef]
- Shi, L.; Huang, H.; Lu, Y.; Xu, S.; Ge, C. The Combined Influences of Hot Streak and Swirl on the Cooling Performances of C3X Guide Vane with or without TBCs. Coatings 2021, 11, 688. [Google Scholar] [CrossRef]
- Shi, L.; Lu, Y.; Huang, H. Analysis of Rotor–Stator Interaction on the Aerothermal and TBC Insulation Performance of a Turbine Stage under Hot Streak Inlet Condition. Coatings 2022, 12, 25. [Google Scholar] [CrossRef]
- Stopper, U.; Aigner, M.; Meier, W.; Sadanandan, R.; Stöhr, M.; Kim, I.S. Flow Field and Combustion Characterization of Premixed Gas Turbine Flames by Planar Laser Techniques. ASME J. Eng. Gas Turbines Power 2009, 131, 021504. [Google Scholar] [CrossRef]
- Stopper, U.; Aigner, M.; Ax, H.; Meier, W.; Sadanandan, R.; Stöhr, M.; Bonaldo, A. PIV, 2D-LIF and 1D-Raman measurements of flow field, composition and temperature in premixed gas turbine flames. Exp. Therm. Fluid Sci. 2010, 34, 396–403. [Google Scholar] [CrossRef]
- Stopper, U.; Meier, W.; Sadanandan, R.; Stöhr, M.; Aigner, M.; Bulat, G. Experimental study of industrial gas turbine flames including quantification of pressure influence on flow field, fuel/air premixing and flame shape. Combust. Flame 2013, 160, 2103–2118. [Google Scholar] [CrossRef]
- Bulat, G.; Jones, W.P.; Marquis, A.J. NO and CO formation in an industrial gas-turbine combustion chamber using LES with the Eulerian sub-grid PDF method. Combust. Flame 2014, 161, 1804–1825. [Google Scholar] [CrossRef]
- Giller, L.; Schiffer, H. Interactions Between the Combustor Swirl and the High Pressure Stator of a Turbine. In Volume 8: Turbomachinery, Parts A, B, and C, Proceedings of the ASME Turbo Expo 2012: Turbine Technical Conference and Exposition, Copenhagen, Denmark, 11–15 June 2012; ASME: New York, NY, USA, 2012; pp. 1401–1415. [Google Scholar]
- Povey, T.; Chana, K.S.; Jones, T.V.; Hurrion, J. The effect of hot-streaks on HP vane surface and endwall heat transfer: An experimental and numerical study. ASME J. Turbomach. 2007, 29, 32–43. [Google Scholar] [CrossRef]
- Hylton, L.D.; Nirmalan, V.; Sultanian, B.K.; Kauffman, R.M. The Effects of Leading Edge and Downstream Film Cooling on Turbine Vane Heat Transfer; NASA Technical Report; NASA: Washington, DC, USA, 1988.
- Hylton, L.D.; Mihelc, M.S.; Turner, E.R.; Nealy, D.A.; York, R.E. Analytical and Experimental Evaluation of the Heat Transfer Distribution over the Surfaces of Turbine Vanes; NASA Technical Report; NASA Lewis Research Center: Cleveland, OH, USA, 1982.















| Parameters | Value |
|---|---|
| Number of channels | 12 |
| swirl number | 1.3 |
| Length of pre-chamber (mm) | 46 |
| Length of the combustion chamber (mm) | 275 |
| Area of pre-chamber (cm2) | 60 |
| Area of the combustion chamber (m2) | 0.026 |
| Mass flow rate of air (g∙s−1) | 175 |
| Temperature of air (K) | 685 |
| Mass flow rate of fuel (g∙s−1) | 6.20 |
| Preheat temperature (K) | 483 |
| Equivalence ratio | 0.60 |
| Calorific value of fuel (MJ/Nm3) | 39.4 |
| Turbulence intensity of the cooling air (%) | 5 |
Disclaimer/Publisher’s Note: The statements, opinions and data contained in all publications are solely those of the individual author(s) and contributor(s) and not of MDPI and/or the editor(s). MDPI and/or the editor(s) disclaim responsibility for any injury to people or property resulting from any ideas, methods, instructions or products referred to in the content. |
© 2023 by the authors. Licensee MDPI, Basel, Switzerland. This article is an open access article distributed under the terms and conditions of the Creative Commons Attribution (CC BY) license (https://creativecommons.org/licenses/by/4.0/).
Share and Cite
Shi, L.; Wu, P.; Huang, H.; Wang, C.; Tan, X.; Shen, Y.; Song, J. Impact of Swirling Flow on the Overall Cooling Effectiveness and TBCs Insulation Characteristics of Turbine Vane. Coatings 2023, 13, 1863. https://doi.org/10.3390/coatings13111863
Shi L, Wu P, Huang H, Wang C, Tan X, Shen Y, Song J. Impact of Swirling Flow on the Overall Cooling Effectiveness and TBCs Insulation Characteristics of Turbine Vane. Coatings. 2023; 13(11):1863. https://doi.org/10.3390/coatings13111863
Chicago/Turabian StyleShi, Li, Peng Wu, Hanze Huang, Changce Wang, Xiao Tan, Yinuo Shen, and Jiasheng Song. 2023. "Impact of Swirling Flow on the Overall Cooling Effectiveness and TBCs Insulation Characteristics of Turbine Vane" Coatings 13, no. 11: 1863. https://doi.org/10.3390/coatings13111863
APA StyleShi, L., Wu, P., Huang, H., Wang, C., Tan, X., Shen, Y., & Song, J. (2023). Impact of Swirling Flow on the Overall Cooling Effectiveness and TBCs Insulation Characteristics of Turbine Vane. Coatings, 13(11), 1863. https://doi.org/10.3390/coatings13111863
