Thickness-Dependent Terahertz Permittivity of Epitaxially Grown PbTe Thin Films
Abstract
:1. Introduction
2. Samples and Methods
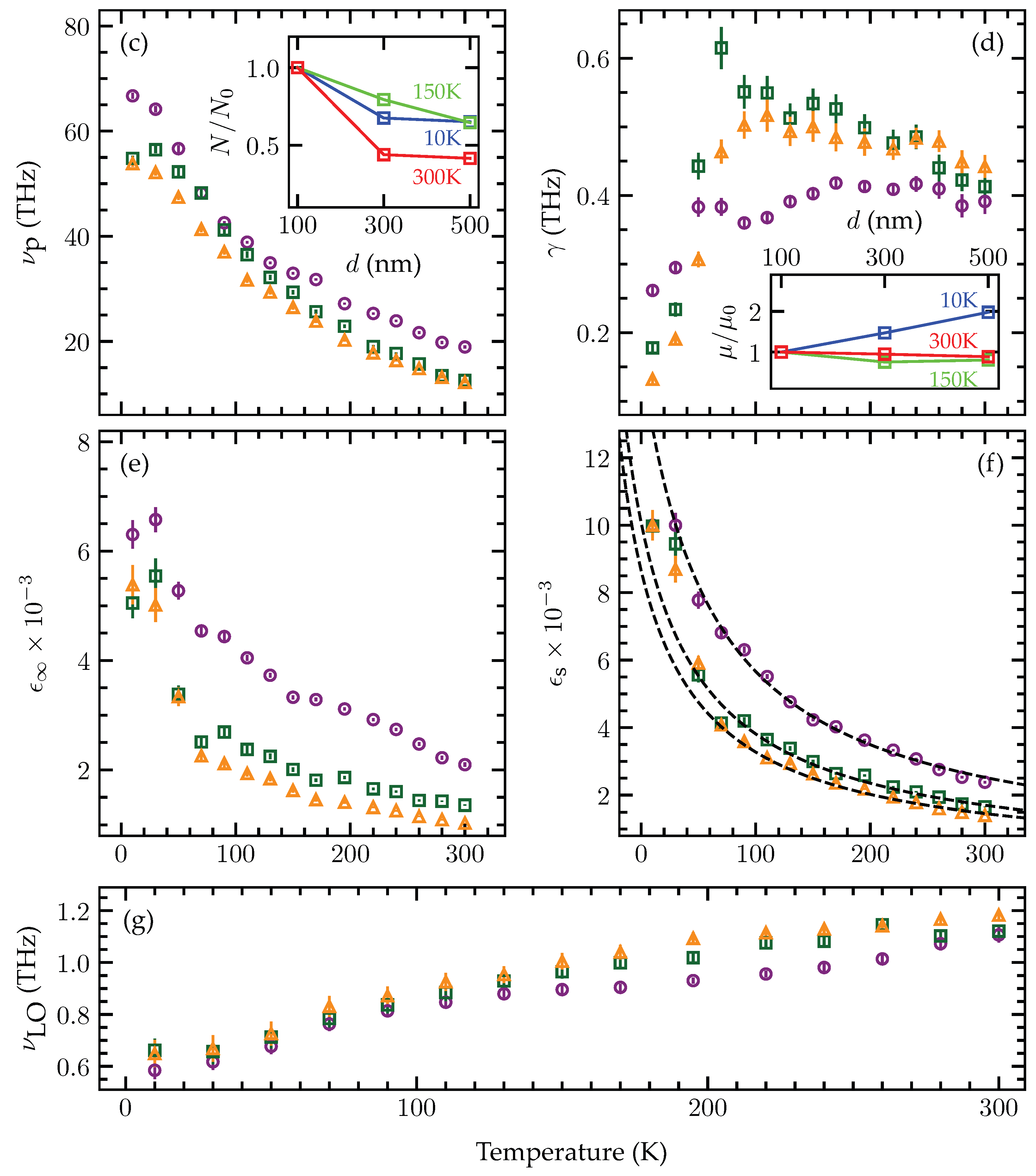
3. Results
4. Discussion
5. Conclusions
Author Contributions
Funding
Institutional Review Board Statement
Informed Consent Statement
Data Availability Statement
Conflicts of Interest
Abbreviations
| BaF2 | Barium Fluoride | 
| BEP | Beam Equivalent Pressure | 
| FWHM | Full Width at Half Maximum | 
| IR | Infrared | 
| LA | Longitudinal Acoustic | 
| LO | Longitudinal Optical | 
| LOPC | Longitudinal Optical Phonon–Plasmon Coupling | 
| LST | Lyddane-Sachs-Teller relation | 
| MBE | Molecular Beam Epitaxy | 
| PbTe | Lead Telluride | 
| PCA | Photoconductive Antenna | 
| RHEED | Reflection High-Energy Electron Diffraction | 
| TDS | Time-Domain Spectroscopy | 
| THz | Terahertz | 
| TO | Transverse Optical | 
References
- Li, C.; Hellman, O.; Ma, J.; May, A.; Cao, H.; Chen, X.; Christianson, A.; Ehlers, G.; Singh, D.; Sales, B.; et al. Phonon Self-Energy and Origin of Anomalous Neutron Scattering Spectra in SnTe and PbTe Thermoelectrics. Phys. Rev. Lett. 2014, 112, 175501. [Google Scholar] [CrossRef] [PubMed]
 - Ju, S.; Shiga, T.; Feng, L.; Shiomi, J. Revisiting PbTe to identify how thermal conductivity is really limited. Phys. Rev. B 2018, 97, 184305. [Google Scholar] [CrossRef]
 - Xia, Y.; Hegde, V.I.; Pal, K.; Hua, X.; Gaines, D.; Patel, S.; He, J.; Aykol, M.; Wolverton, C. High-Throughput Study of Lattice Thermal Conductivity in Binary Rocksalt and Zinc Blende Compounds Including Higher-Order Anharmonicity. Phys. Rev. X 2020, 10, 041029. [Google Scholar] [CrossRef]
 - Burkhard, H.; Bauer, G.; Lopez-Otero, A. Submillimeter spectroscopy of TO-phonon mode softening in PbTe. JOSA 1977, 67, 943–946. [Google Scholar] [CrossRef]
 - Jiang, M.P.; Trigo, M.; Savić, I.; Fahy, S.; Murray, E.D.; Bray, C.; Clark, J.; Henighan, T.; Kozina, M.; Chollet, M.; et al. The origin of incipient ferroelectricity in lead telluride. Nat. Commun. 2016, 7, 12291. [Google Scholar] [CrossRef] [PubMed]
 - Chudzinski, P. Anharmonic coupling between electrons and TO phonons in the vicinity of a ferroelectric quantum critical point. Phys. Rev. Res. 2020, 2, 012048. [Google Scholar] [CrossRef]
 - Delaire, O.; Ma, J.; Marty, K.; May, A.F.; McGuire, M.A.; Du, M.H.; Singh, D.J.; Podlesnyak, A.; Ehlers, G.; Lumsden, M.D.; et al. Giant anharmonic phonon scattering in PbTe. Nat. Mater. 2011, 10, 614–619. [Google Scholar] [CrossRef]
 - Xia, Y. Revisiting lattice thermal transport in PbTe: The crucial role of quartic anharmonicity. Appl. Phys. Lett. 2018, 113, 073901. [Google Scholar] [CrossRef]
 - Lu, Y.; Sun, T.; Zhang, D.B. Lattice anharmonicity, phonon dispersion, and thermal conductivity of PbTe studied by the phonon quasiparticle approach. Phys. Rev. B 2018, 97, 174304. [Google Scholar] [CrossRef]
 - Ribeiro, G.A.S.; Paulatto, L.; Bianco, R.; Errea, I.; Mauri, F.; Calandra, M. Strong anharmonicity in the phonon spectra of PbTe and SnTe from first principles. Phys. Rev. B 2018, 97, 014306. [Google Scholar] [CrossRef]
 - Melnikov, A.A.; Selivanov, Y.G.; Chekalin, S.V. Anharmonic coherent dynamics of the soft phonon mode of a PbTe crystal. arXiv 2023, arXiv:2309.06549. [Google Scholar] [CrossRef]
 - Baydin, A.; Hernandez, F.G.G.; Rodriguez-Vega, M.; Okazaki, A.K.; Tay, F.; Noe, G.T.; Katayama, I.; Takeda, J.; Nojiri, H.; Rappl, P.H.O.; et al. Magnetic Control of Soft Chiral Phonons in PbTe. Phys. Rev. Lett. 2022, 128, 075901. [Google Scholar] [CrossRef] [PubMed]
 - Cheng, B.; Schumann, T.; Wang, Y.; Zhang, X.; Barbalas, D.; Stemmer, S.; Armitage, N.P. A Large Effective Phonon Magnetic Moment in a Dirac Semimetal. Nano Lett. 2020, 20, 5991–5996. [Google Scholar] [CrossRef] [PubMed]
 - Hernandez, F.G.G.; Baydin, A.; Chaudhary, S.; Tay, F.; Katayama, I.; Takeda, J.; Nojiri, H.; Okazaki, A.K.; Rappl, P.H.O.; Abramof, E.; et al. Chiral Phonons with Giant Magnetic Moments in a Topological Crystalline Insulator. arXiv 2023, arXiv:2208.12235. [Google Scholar] [CrossRef]
 - Jiang, M.P.; Fahy, S.; Hauber, A.; Murray, E.D.; Savić, I.; Bray, C.; Clark, J.N.; Henighan, T.; Kozina, M.; Lindenberg, A.M.; et al. Observation of photo-induced plasmon–phonon coupling in PbTe via ultrafast X-ray scattering. Struct. Dyn. 2022, 9, 024301. [Google Scholar] [CrossRef] [PubMed]
 - Mane, R.S.; Lokhande, C.D. Chemical deposition method for metal chalcogenide thin films. Mater. Chem. Phys. 2000, 65, 1–31. [Google Scholar] [CrossRef]
 - Wuttig, M.; Yamada, N. Phase-change materials for rewriteable data storage. Nat. Mater. 2007, 6, 824–832. [Google Scholar] [CrossRef]
 - Schneider, M.N.; Rosenthal, T.; Stiewe, C.; Oeckler, O. From phase-change materials to thermoelectrics? Z. FüR Krist. Cryst. Mater. 2010, 225, 463–470. [Google Scholar] [CrossRef]
 - Mochalov, L.; Kudryashov, M.; Logunov, A.; Zelentsov, S.; Nezhdanov, A.; Mashin, A.; Gogova, D.; Chidichimo, G.; De Filpo, G. Structural and optical properties of arsenic sulfide films synthesized by a novel PECVD-based approach. Superlattices Microstruct. 2017, 111, 1104–1112. [Google Scholar] [CrossRef]
 - Mochalov, L.; Dorosz, D.; Nezhdanov, A.; Kudryashov, M.; Zelentsov, S.; Usanov, D.; Logunov, A.; Mashin, A.; Gogova, D. Investigation of the composition-structure-property relationship of AsxTe100-x films prepared by plasma deposition. Spectrochim. Acta Part A Mol. Biomol. Spectrosc. 2018, 191, 211–216. [Google Scholar] [CrossRef]
 - Chen, C.; Chen, S.; Lobo, R.P.; Maciel-Escudero, C.; Lewin, M.; Taubner, T.; Xiong, W.; Xu, M.; Zhang, X.; Miao, X.; et al. Terahertz Nanoimaging and Nanospectroscopy of Chalcogenide Phase-Change Materials. ACS Photonics 2020, 7, 3499–3506. [Google Scholar] [CrossRef]
 - Koch, M.; Mittleman, D.M.; Ornik, J.; Castro-Camus, E. Terahertz time-domain spectroscopy. Nat. Rev. Methods Prim. 2023, 3, 1–14. [Google Scholar] [CrossRef]
 - Kaplunov, I.A.; Kropotov, G.I.; Rogalin, V.E.; Shakhmin, A.A. Optical properties of some crystalline fluorides in the terahertz region of the spectrum. Opt. Mater. 2021, 115, 111019. [Google Scholar] [CrossRef]
 - Lopez-Otero, A. Growth of PbTe films under near-equilibrium conditions. J. Appl. Phys. 1977, 48, 446–448. [Google Scholar] [CrossRef]
 - Springholz, G.; Bauer, G.; Ihninger, G. MBE of high mobility PbTe films and PbTe/Pb1-xEuxTe heterostructures. J. Cryst. Growth 1993, 127, 302–307. [Google Scholar] [CrossRef]
 - Rappl, P.H.O.; Closs, H.; Ferreira, S.O.; Abramof, E.; Boschetti, C.; Motisuke, P.; Ueta, A.Y.; Bandeira, I.N. Molecular beam epitaxial growth of high quality Pb1−xSnxTe layers with 0 ≤ x ≤ 1. J. Cryst. Growth 1998, 191, 466–471. [Google Scholar] [CrossRef]
 - Lloyd-Hughes, J.; Jeon, T.I. A Review of the Terahertz Conductivity of Bulk and Nano-Materials. J. Infrared Millim. Terahertz Waves 2012, 33, 871–925. [Google Scholar] [CrossRef]
 - Neu, J.; Schmuttenmaer, C.A. Tutorial: An introduction to terahertz time domain spectroscopy (THz-TDS). J. Appl. Phys. 2018, 124, 231101. [Google Scholar] [CrossRef]
 - Fox, M. Optical Properties of Solids, 2nd ed.; Oxford Master Series in Condensed Matter Physics; Oxford University Press: New York, NY, USA, 2010. [Google Scholar]
 - Devonshire, A. Theory of ferroelectrics. Adv. Phys. 1954, 3, 85–130. [Google Scholar] [CrossRef]
 - Cochran, W. Crystal Stability and the Theory of Ferroelectricity. Phys. Rev. Lett. 1959, 3, 412–414. [Google Scholar] [CrossRef]
 - Alperin, H.A.; Pickart, S.J.; Rhyne, J.J.; Minkiewicz, V.J. Softening of the transverse-optic mode in PbTe. Phys. Lett. A 1972, 40, 295–296. [Google Scholar] [CrossRef]
 - Sievers, A.J.; Page, J.B. A generalized Lyddane-Sachs-Teller relation for solids and liquids. Infrared Phys. 1991, 32, 425–433. [Google Scholar] [CrossRef]
 - Kittel, C. Introduction to Solid State Physics, 8th ed.; Wiley: Hoboken, NJ, USA, 2005. [Google Scholar]
 - Klemens, P.G. Anharmonic Decay of Optical Phonons. Phys. Rev. 1966, 148, 845–848. [Google Scholar] [CrossRef]
 - Lyden, H.A. Temperature Dependence of the Effective Masses in PbTe. Phys. Rev. 1964, 135, A514–A521. [Google Scholar] [CrossRef]
 - Abd El-Ati, M.I. Electrical conductivity of PbTe thin films. Phys. Solid State 1997, 39, 68–71. [Google Scholar] [CrossRef]
 - Okazaki, A.K. Investigation of the Magnetotransport Properties in the Crystalline Topological Insulator Lead Tin Telluride. Ph.D. Thesis, INPE, São José dos Campos, Brazil, 2019. [Google Scholar]
 - Luković, D.; König, W.; Blagojević, V.; Jakšić, O.; Nikolić, P.M. Far infrared spectroscopy of PbTe doped with Ni. Mater. Res. Bull. 2006, 41, 367–375. [Google Scholar] [CrossRef]
 - Takaoka, S.; Hamaguchi, T.; Shimomura, S.; Murase, K. Observation of the coupled plasmon-LO phonon mode energy in photo-excited Pb1-xSnxTe doped with indium impurities. Solid State Commun. 1985, 54, 99–102. [Google Scholar] [CrossRef]
 - Trajic, J.; Paunovic, N.; Romcevic, M.; Slynko, V.E.; Ristic-Djurovic, J.L.; Dobrowolski, W.D.; Romcevic, N. Far infrared spectra of Si doped PbTe single crystals. Opt. Mater. 2019, 91, 195–198. [Google Scholar] [CrossRef]
 - Cochran, W.; Cowley, R.A.; Dolling, G.; Elcombe, M.M. The Crystal Dynamics of Lead Telluride. Proc. R. Soc. Lond. Ser. A Math. Phys. Sci. 1966, 293, 433–451. [Google Scholar]
 





Disclaimer/Publisher’s Note: The statements, opinions and data contained in all publications are solely those of the individual author(s) and contributor(s) and not of MDPI and/or the editor(s). MDPI and/or the editor(s) disclaim responsibility for any injury to people or property resulting from any ideas, methods, instructions or products referred to in the content.  | 
© 2023 by the authors. Licensee MDPI, Basel, Switzerland. This article is an open access article distributed under the terms and conditions of the Creative Commons Attribution (CC BY) license (https://creativecommons.org/licenses/by/4.0/).
Share and Cite
Kawahala, N.M.; Matos, D.A.; Rappl, P.H.O.; Abramof, E.; Baydin, A.; Kono, J.; Hernandez, F.G.G. Thickness-Dependent Terahertz Permittivity of Epitaxially Grown PbTe Thin Films. Coatings 2023, 13, 1855. https://doi.org/10.3390/coatings13111855
Kawahala NM, Matos DA, Rappl PHO, Abramof E, Baydin A, Kono J, Hernandez FGG. Thickness-Dependent Terahertz Permittivity of Epitaxially Grown PbTe Thin Films. Coatings. 2023; 13(11):1855. https://doi.org/10.3390/coatings13111855
Chicago/Turabian StyleKawahala, Nicolas M., Daniel A. Matos, Paulo H. O. Rappl, Eduardo Abramof, Andrey Baydin, Junichiro Kono, and Felix G. G. Hernandez. 2023. "Thickness-Dependent Terahertz Permittivity of Epitaxially Grown PbTe Thin Films" Coatings 13, no. 11: 1855. https://doi.org/10.3390/coatings13111855
APA StyleKawahala, N. M., Matos, D. A., Rappl, P. H. O., Abramof, E., Baydin, A., Kono, J., & Hernandez, F. G. G. (2023). Thickness-Dependent Terahertz Permittivity of Epitaxially Grown PbTe Thin Films. Coatings, 13(11), 1855. https://doi.org/10.3390/coatings13111855
        
