Titanium–Platinum Thin Films as a Tool for the Electrooxidation of Cyanide
Abstract
1. Introduction
2. Experimental
2.1. Preparation of Ti-Covered Glass Electrode (Glass|Ti)
2.2. Preparation of Pt-Coated Glass|Ti Electrode (Glass|Ti|Pt)
2.3. Atomic Force Microscopy, Scanning Electron Microscopy, and Spectroscopic Ellipsometry Measurements of the Glass|Ti and Glass|Ti|Pt Electrodes
2.4. Electrochemical Investigations of Glass|Ti and Glass|Ti|Pt Electrodes
2.5. Electrooxidation of Cyanide by Using the Glass|Ti|Pt Electrode
3. Results and Discussion
3.1. Atomic Force Microscopy, Scanning Electron Microscopy, and Spectroscopic Ellipsometry Measurements of the Glass|Ti Electrode
3.2. Electrodeposition of Pt Layer on the Glass|Ti Electrode
- (I)
- Reduction of (Equation (4)), followed by reduction of (Equation (5)):
- (II)
- Reduction of (Equation (4)), followed by disproportionation of formed (Equation (6)):
- (III)
- Formation of gas (Equation (7)), followed by a reaction between and (Equation (8)):
3.3. Cyclic Voltammetry and FFT-EIS Investigations of the Glass|Ti|Pt Electrode
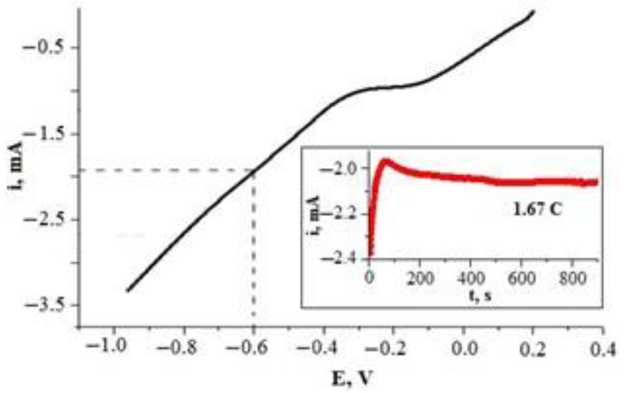
3.4. Application of the Glass|Ti|Pt Electrode for the Electrochemical Oxidation of Cyanide
4. Conclusions
Author Contributions
Funding
Institutional Review Board Statement
Informed Consent Statement
Data Availability Statement
Acknowledgments
Conflicts of Interest
References
- Botz, M.M. Overview of Cyanide Treatment Methods. Min. Environ. Manag. 2001, 28–30. [Google Scholar]
- Gail, E.; Gos, S.; Kulzer, R.; Lorösch, J.; Rubo, A.; Sauer, M.; Kellens, R.; Reddy, J.; Steier, N.; Hasenpusch, W. Cyano Compounds, Inorganic. Ullmann’s Encycl. Ind. Chem. 2011, 1, 686–688. [Google Scholar] [CrossRef]
- Hamel, J. A Review of Acute Cyanide Poisoning with a Treatment Update. Crit. Care Nurse 2011, 31, 72–82. [Google Scholar] [CrossRef] [PubMed]
- Workplace Exposure Standard (WES) Review. Hydrogen Cyanide. WorkSafe New Zealand (Mahi Haumaru Aotearoa). 2021. Available online: https://www.worksafe.govt.nz/topic-and-industry/monitoring/workplace-exposure-standards-and-biological-exposure-indices/all-substances/view/hydrogen-cyanide (accessed on 19 October 2023).
- Recommendation from the Scientific Committee on Occupational Exposure Limits for Cyanide. 2010. Available online: https://www.ser.nl/api/Mfiles/DownloadFirstDocument?Id=13b586ef-b2ab-4c05-87d5-b5fe1f0f40e9 (accessed on 19 October 2023).
- Deutsche Forschungsgemeinschaft, Commission for the Investigation of Health Hazards of Chemical Compounds in the Work Area. Hydrogen Cyanide, Potassium Cyanide and Sodium Cyanide [MAK Value Documentation, 2003]. MAK-Collect. Occup. Health Saf. 2012, 19, 190–210. [Google Scholar] [CrossRef]
- Dash, R.R.; Balomajumder, C.; Kumar, A. Treatment of Metal Cyanide Bearing Wastewater by Simultaneous Adsorption and Biodegradation (SAB). J. Hazard. Mater. 2008, 152, 387–396. [Google Scholar] [CrossRef]
- Marsden, J.; House, I. The Chemistry of Gold Extraction, 2nd ed.; Society for Mining, Metallurgy, and Exploration: Englewood, CO, USA, 2006; ISBN 978 0 87335 240 6. [Google Scholar]
- Eisler, R.; Wiemeyer, S.N. Cyanide Hazards to Plants and Animals from Gold Mining and Related Water Issues. Rev. Environ. Contam. Toxicol. 2004, 183, 21–54. [Google Scholar] [CrossRef]
- Kanthak, J. The Baia Mare Gold Mine Cyanide Spill: Causes, Impacts and Liability—ReliefWeb. Available online: https://reliefweb.int/report/hungary/baia-mare-gold-mine-cyanide-spill-causes-impacts-and-liability (accessed on 6 January 2022).
- Ho, S.P.; Wang, Y.Y.; Wan, C.C. Electrolytic Decomposition of Cyanide Effluent with an Electrochemical Reactor Packed with Stainless Steel Fiber. Water Res. 1990, 24, 1317–1321. [Google Scholar] [CrossRef]
- Sawyer, D.T.; Day, R.J. Electrochemical Oxidation of Cyanide Ion at Platinum Electrodes. J. Electroanal. Chem. 1963, 5, 195–203. [Google Scholar] [CrossRef]
- Rajeshwar, K.; Ibanez, J.G. Environmental Electrochemistry: Fundamentals and Applications in Pollution Abatement. J. Am. Chem. Soc. 1997, 120, 776. [Google Scholar]
- Tamura, H.; Arikado, T.; Yoneyama, H.; Matsuda, Y. Anodic Oxidation of Potassium Cyanide on Platinum Electrode. Electrochim. Acta 1974, 19, 273–277. [Google Scholar] [CrossRef]
- Dong, K.; Xie, F.; Wang, W.; Chang, Y.; Lu, D.; Gu, X.; Chen, C. The Detoxification and Utilization of Cyanide Tailings: A Critical Review. J. Clean. Prod. 2021, 302, 126946. [Google Scholar] [CrossRef]
- Tran, Q.B.; Lohitnavy, M.; Phenrat, T. Assessing Potential Hydrogen Cyanide Exposure from Cyanide-Contaminated Mine Tailing Management Practices in Thailand’s Gold Mining. J. Environ. Manag. 2019, 249, 109357. [Google Scholar] [CrossRef] [PubMed]
- Alvillo-Rivera, A.; Garrido-Hoyos, S.; Buitrón, G.; Thangarasu-Sarasvathi, P.; Rosano-Ortega, G. Biological Treatment for the Degradation of Cyanide: A Review. J. Mater. Res. Technol. 2021, 12, 1418–1433. [Google Scholar] [CrossRef]
- Valiūnienė, A.; Margarian, Ž.; Plaušinaitienė, V.; Laukžemis, V.; Rekertaitė, A.I. Electrodeposition and Characterization of Pt Coatings on Ti for Electrooxidation of Cyanide. Chemija 2015, 26, 238–243. [Google Scholar]
- Valiuniene, A.; Antanavičius, V.; Margarian, Ž.; Matulaitiene, I.; Valinčius, G. Electrochemical Oxidation of Cyanide Using Platinized Ti Electrodes. Mater. Sci. 2013, 19, 385–389. [Google Scholar] [CrossRef]
- Valiūnienė, A.; Margarian, Ž.; Valiūnas, R. Electrooxidation of Cyanide Ion on a Platinized Ti Electrode. React. Kinet. Mech. Catal. 2015, 115, 449–461. [Google Scholar] [CrossRef]
- Valiūnienė, A.; Baltrūnas, G.; Keršulytė, V.; Margarian, Ž.; Valinčius, G. The Degradation of Cyanide by Anodic Electrooxidation Using Different Anode Materials. Process Saf. Environ. Prot. 2013, 91, 269–274. [Google Scholar] [CrossRef]
- Szpyrkowicz, L.; Kaul, S.N.; Molga, E.; DeFaveri, M. Comparison of the Performance of a Reactor Equipped with a Ti/Pt and an SS Anode for Simultaneous Cyanide Removal and Copper Recovery. Electrochim. Acta 2000, 46, 381–387. [Google Scholar] [CrossRef]
- Szpyrkowicz, L.; Zilio-Grandi, F.; Kaul, S.N.; Polcaro, A.M. Copper Electrodeposition and Oxidation of Complex Cyanide from Wastewater in an Electrochemical Reactor with a Ti/Pt Anode. Ind. Eng. Chem. Res. 2000, 39, 2132–2139. [Google Scholar] [CrossRef]
- Cañizares, P.; Díaz, M.; Domíguez, J.A.; Lobato, J.; Rodrigo, M.A. Electrochemical Treatment of Diluted Cyanide Aqueous Wastes. J. Chem. Technol. Biotechnol. 2005, 80, 565–573. [Google Scholar] [CrossRef]
- Oztekin, Y.; Ramanaviciene, A.; Yazicigil, Z.; Solak, A.O.; Ramanavicius, A. Direct Electron Transfer from Glucose Oxidase Immobilized on Polyphenanthroline-Modified Glassy Carbon Electrode. Biosens. Bioelectron. 2011, 26, 2541–2546. [Google Scholar] [CrossRef]
- Öğütveren, Ü.B.; Törü, E.; Koparal, S. Removal of Cyanide by Anodic Oxidation for Wastewater Treatment. Water Res. 1999, 33, 1851–1856. [Google Scholar] [CrossRef]
- Hofseth, C.S.; Chapman, T.W. Electrochemical Destruction of Dilute Cyanide by Copper-Catalyzed Oxidation in a Flow-Through Porous Electrode. J. Electrochem. Soc. 1999, 146, 199–207. [Google Scholar] [CrossRef]
- Lei, S.; Song, Y. Comparative Study on Electrochemical Treatment of Cyanide Wastewater. Front. Chem. 2021, 9, 153. [Google Scholar] [CrossRef]
- Rao, C.R.K.; Trivedi, D.C. Chemical and Electrochemical Depositions of Platinum Group Metals and Their Applications. Coord. Chem. Rev. 2005, 249, 613–631. [Google Scholar] [CrossRef]
- Dobrosz-Gómez, I.; Gómez García, M.Á.; Gaviria, G.H.; GilPavas, E. Mineralization of Cyanide Originating from Gold Leaching Effluent Using Electro-Oxidation: Multi-Objective Optimization and Kinetic Study. J. Appl. Electrochem. 2020, 50, 217–230. [Google Scholar] [CrossRef]
- Singh, H.; Mishra, B.K. Degradation of Cyanide, Aniline and Phenol in Pre-Treated Coke Oven Wastewater by Peroxide Assisted Electro-Oxidation Process. Water Sci. Technol. 2018, 78, 2214–2227. [Google Scholar] [CrossRef]
- Bhadrinarayana, N.S.; Basha, C.A.; Anantharaman, N. Electrochemical Oxidation of Cyanide and Simultaneous Cathodic Removal of Cadmium Present in the Plating Rinse Water. Ind. Eng. Chem. Res. 2007, 46, 6417–6424. [Google Scholar] [CrossRef]
- Arikado, T.; Iwakura, C.; Yoneyama, H.; Tamura, H. Anodic Oxidation of Potassium Cyanide on the Graphite Electrode. Electrochim. Acta 1976, 21, 1021–1027. [Google Scholar] [CrossRef]
- Wang, H.; Gao, C.; Li, X.; Liu, C.Y.; Yu, T.; Li, Y.; Liu, L.; Wang, H. Electroreduction Recovery of Gold, Platinum and Palladium and Electrooxidation Removal of Cyanide Using a Bioelectrochemical System. Bioresour. Technol. Rep. 2022, 18, 101007. [Google Scholar] [CrossRef]
- Ken, D.S.; Sinha, A. Dimensionally Stable Anode (Ti/RuO2) Mediated Electro-Oxidation and Multi-Response Optimization Study for Remediation of Coke-Oven Wastewater. J. Environ. Chem. Eng. 2021, 9, 105025. [Google Scholar] [CrossRef]
- Chen, Y.; Song, Y.; Chen, Y.; Zhang, X.; Lan, X. Comparative Experimental Study on the Harmless Treatment of Cyanide Tailings through Slurry Electrolysis. Sep. Purif. Technol. 2020, 251, 117314. [Google Scholar] [CrossRef]
- Hossein, M.G.; Sajjadi, S.A.S.; Momeni, M.M. Electrodeposition of Platinum Metal on Titanium and Anodised Titanium from P Salt: Application to Electro-Oxidation of Glycerol. Surf. Eng. 2007, 23, 419–424. [Google Scholar] [CrossRef]
- Sharma, R.; Gyergyek, S.; Andersen, S.M. Environmentally and Industrially Friendly Recycling of Platinum Nanoparticles Through Electrochemical Dissolution–Electrodeposition in Acid-Free/Dilute Acidic Electrolytes. ChemSusChem 2018, 11, 3742–3750. [Google Scholar] [CrossRef] [PubMed]
- Pérez, T.; López, R.L.; Nava, J.L.; Lázaro, I.; Velasco, G.; Cruz, R.; Rodríguez, I. Electrochemical Oxidation of Cyanide on 3D Ti–RuO2 Anode Using a Filter-Press Electrolyzer. Chemosphere 2017, 177, 136. [Google Scholar] [CrossRef] [PubMed]
- Berenguer, R.; Quijada, C.; La Rosa-Toro, A.; Morallón, E. Electro-Oxidation of Cyanide on Active and Non-Active Anodes: Designing the Electrocatalytic Response of Cobalt Spinels. Sep. Purif. Technol. 2019, 208, 42–50. [Google Scholar] [CrossRef]
- Popkirov, G.S.; Schindler, R.N. A New Impedance Spectrometer for the Investigation of Electrochemical Systems. Rev. Sci. Instrum. 1992, 63, 5366–5372. [Google Scholar] [CrossRef]
- Grosfils, P.; Lutsko, J.F. Impact of Surface Roughness on Crystal Nucleation. Crystals 2021, 11, 4. [Google Scholar] [CrossRef]
- Wang, G.; Li, J.; Lv, K.; Zhang, W.; Ding, X.; Yang, G.; Liu, X.; Jiang, X. Surface Thermal Oxidation on Titanium Implants to Enhance Osteogenic Activity and in Vivo Osseointegration. Sci. Rep. 2016, 6, 31769. [Google Scholar] [CrossRef]
- Sul, Y.-T.; Johansson, C.B.; Jeong, Y.; Albrektsson, T. The Electrochemical Oxide Growth Behaviour on Titanium in Acid and Alkaline Electrolytes. Med. Eng. Phys. 2001, 23, 329–346. [Google Scholar] [CrossRef]
- Lendel, V.V.; Lomakina, O.V.; Mel’nychenko, L.Y.; Shaykevich, I.A. Optical Properties of Thin Films of Titanium with Transient Layers on Them. Semicond. Phys. Quantum Electron. Optoelectron. 2010, 13, 231–234. [Google Scholar] [CrossRef]
- Matveev, V.A.; Pleshanov, N.K.; Bulkin, A.P.; Syromyatnikov, V.G. The Study of the Oxidation of Thin Ti Films by Neutron Reflectometry. J. Phys. Conf. Ser. 2012, 340, 012086. [Google Scholar] [CrossRef]
- Fujiwara, A.H. Spectroscopic Ellipsometry: Principles and Applications; John Wiley and Sons: London, UK, 2007; ISBN 0470016086. [Google Scholar]
- Duarte, M.M.E.; Pilla, A.S.; Sieben, J.M.; Mayer, C.E. Platinum Particles Electrodeposition on Carbon Substrates. Electrochem. Commun. 2006, 8, 159–164. [Google Scholar] [CrossRef]
- Choi, K.H.; Kim, H.S.; Lee, T.H. Electrode Fabrication for Proton Exchange Membrane Fuel Cells by Pulse Electrodeposition. J. Power Sources 1998, 75, 230–235. [Google Scholar] [CrossRef]
- Kowal, A.; Doblhofer, K.; Krause, S.; Weinberg, G. Mechanism of Cathodic PtCl62- Reduction to Platinum Clusters on Electrodes Coated with Polyvinylpyridinium Films. J. Appl. Electrochem. 1987, 17, 1246–1253. [Google Scholar] [CrossRef]
- Alpuche-Aviles, M.A.; Farina, F.; Ercolano, G.; Subedi, P.; Cavaliere, S.; Jones, D.J.; Rozière, J. Electrodeposition of Two-Dimensional Pt Nanostructures on Highly Oriented Pyrolytic Graphite (HOPG): The Effect of Evolved Hydrogen and Chloride Ions. Nanomaterials 2018, 8, 668. [Google Scholar] [CrossRef] [PubMed]
- Lu, G.; Zangari, G. Electrodeposition of Platinum on Highly Oriented Pyrolytic Graphite. Part I: Electrochemical Characterization. J. Phys. Chem. B 2005, 109, 7998–8007. [Google Scholar] [CrossRef]
- Beaulieu, L.Y.; Rutenberg, A.D.; Dahn, J.R. Measuring Thickness Changes in Thin Films Due to Chemical Reaction by Monitoring the Surface Roughness with in Situ Atomic Force Microscopy. Microsc. Microanal. 2002, 8, 422–428. [Google Scholar] [CrossRef]
- Website of the Department of Statistics and Data Science of Yale University, Chi-Square Goodness of Fit Test. Available online: http://www.stat.yale.edu/Courses/1997-98/101/chigf.htm (accessed on 6 January 2022).
- Virbickas, P.; Valiūnienė, A.; Baryševa, D.; Popkirov, G.; Ramanavičius, A. Determination of Cyanide Concentration by Chronoamperometry, Cyclic Voltammetry and Fast Fourier Transform Electrochemical Impedance Spectroscopy. J. Electroanal. Chem. 2021, 895, 115449. [Google Scholar] [CrossRef]
- Park, K.; Chang, B.Y.; Hwang, S. Correlation between Tafel Analysis and Electrochemical Impedance Spectroscopy by Prediction of Amperometric Response from EIS. ACS Omega 2019, 4, 19307–19313. [Google Scholar] [CrossRef]
- Vrubel, H.; Moehl, T.; Grätzel, M.; Hu, X. Revealing and Accelerating Slow Electron Transport in Amorphous Molybdenum Sulphide Particles for Hydrogen Evolution Reaction. Chem. Commun. 2013, 49, 8985–8987. [Google Scholar] [CrossRef]
- Wang, X.; Kolen’Ko, Y.V.; Bao, X.Q.; Kovnir, K.; Liu, L. One-Step Synthesis of Self-Supported Nickel Phosphide Nanosheet Array Cathodes for Efficient Electrocatalytic Hydrogen Generation. Angew. Chem. Int. Ed. Engl. 2015, 54, 8188–8192. [Google Scholar] [CrossRef]
- Swamy, T.; Chiang, Y.-M. Electrochemical Charge Transfer Reaction Kinetics at the Silicon-Liquid Electrolyte Interface. J. Electrochem. Soc. 2015, 162, A7129–A7134. [Google Scholar] [CrossRef]
- Goeke, R.S.; Datye, A.K.; Atanassov, P.; St-Pierre, J. Model Electrode Structures for Studies of Electrocatalyst Degradation. ECS Trans. 2010, 33, 361–368. [Google Scholar] [CrossRef]
- Pourbaix, M.J.N. Atlas of Electrochemical Equilibria in Aqueous Solutions, 2nd ed.; National Association of Corrosion Engineers: Houston, TX, USA, 1974; ISBN 0915567989. [Google Scholar]
- Barbir, F. Chapter Three—Fuel Cell Electrochemistry. In PEM Fuel Cells, 2nd ed.; Barbir, F., Ed.; Academic Press: Boston, MA, USA, 2013; pp. 33–72. ISBN 978-0-12-387710-9. [Google Scholar]
- Mom, R.; Frevel, L.; Velasco-Vélez, J.J.; Plodinec, M.; Knop-Gericke, A.; Schlögl, R. The Oxidation of Platinum under Wet Conditions Observed by Electrochemical X-Ray Photoelectron Spectroscopy. J. Am. Chem. Soc. 2019, 141, 6537–6544. [Google Scholar] [CrossRef]
- Sibrell, P.L.; Atkinson, G.B.; Gary, B.; Walters, L.A.; Larry, A. Cyanide Leaching Chemistry of Platinum-Group Metals. Rep. Investig. (United States. Bur. Mines) 1994, 9507. [Google Scholar]
- Cherstiouk, O.V.; Simonov, P.A.; Savinova, E.R. Model Approach to Evaluate Particle Size Effects in Electrocatalysis: Preparation and Properties of Pt Nanoparticles Supported on GC and HOPG. Electrochim. Acta 2003, 48, 3851–3860. [Google Scholar] [CrossRef]
- Liu, Y.; Zeng, Y.; Liu, R.; Wu, H.; Wang, G.; Cao, D. Poisoning of Acetone to Pt and Au Electrodes for Electrooxidation of 2-Propanol in Alkaline Medium. Electrochim. Acta 2012, 76, 174–178. [Google Scholar] [CrossRef]
- Burke, L.D.; O’Leary, W.A. A Study of Isopropanol Oxidation at Platinised Platinum Electrodes in Acid Solution. Proc. R. Ir. Acad. B 1989, 89B, 389–398. [Google Scholar]
- Zayas, T.; Picazo, M.; Salgado, L. Removal of Organic Matter from Paper Mill Effluent by Electrochemical Oxidation. J. Water Resour. Prot. 2011, 3, 32–40. [Google Scholar] [CrossRef][Green Version]









| Method for the Treatment of Cyanide Effluent | Advantages | Disadvantages |
|---|---|---|
| Natural degradation (natural oxidation, decomposition by sunlight, volatilization) [8,15,16]. | Not applicable. | Sensitive to many factors as sunlight, pH, temperature. Relatively slow process. A risk of accidental spill of cyanides. Unpredictable results. Limited effectiveness. Absence of control. |
| Chemical methods (alkaline chlorination, oxidation via hydrogen peroxide) [15,17]. | Low risk of accidental spill of cyanides. Possibility to control processes. | Require chemical regents and sludge disposal to be used, toxic by-products (e.g., ammonia) might be formed. |
| Electrochemical oxidation-based methods [18,19,20,21,22,23]. | Low risk of accidental spill of cyanide or toxic sludge, possibility to collect heavy metals during cyanide oxidation. | Fast inactivation of conventional electrodes. Some electrode materials are very expensive and difficult to manufacture. |
| Biological disposal [15,17]. | Low risk of formation of toxic by-products. | Relatively slow process, depending on the environmental conditions (e.g., temperature). A risk of accidental spill of cyanides. |
| E, V | R0, Ω | CPE, μF | n | Rct, Ω | R2 | |
|---|---|---|---|---|---|---|
| 0.8 | 482.8 | 28.19 | 0.90 | 248,720 | 1.7 × 10−5 | 0.9998 |
| 0.9 | 507.0 | 28.88 | 0.90 | 84,700 | 1.4 × 10−5 | 0.9998 |
| 1 | 502.0 | 28.57 | 0.90 | 23,736 | 3.3 × 10−5 | 0.9996 |
| 1.1 | 504.1 | 25.58 | 0.91 | 14,454 | 2.0 × 10−5 | 0.9998 |
| 1.2 | 522.4 | 23.39 | 0.92 | 5258 | 1.9 × 10−5 | 0.9998 |
| 1.3 | 537.8 | 20.94 | 0.93 | 3324 | 3.7 × 10−5 | 0.9995 |
| 1.4 | 528.4 | 18.56 | 0.94 | 2544 | 3.3 × 10−5 | 0.9996 |
| 1.5 | 522.9 | 17.36 | 0.94 | 2042 | 4.4 × 10−5 | 0.9993 |
| 1.6 | 530.9 | 16.29 | 0.94 | 1430 | 2.9 × 10−5 | 0.9996 |
| 1.7 | 554.7 | 15.34 | 0.93 | 1122 | 3.5 × 10−5 | 0.9996 |
| Electrode | Q1, C | η1, % | Q2, C | η2, % |
|---|---|---|---|---|
| Glass|Ti|Pt | 144 | 91 | 288 | 69 |
| Pt metal [21] | 144 | 84 | 288 | 59 |
| Ti-Pt (500 nm) [21] | 144 | 39 | 288 | 42 |
| Ti-Pt (600 nm) [21] | 144 | 21 | 288 | 39 |
| Ti-Pt (800 nm) [21] | 144 | 38 | 288 | 20 |
| Ti-Pt (1000 nm) [21] | 144 | 37 | 288 | 40 |
| Ti-Pt (600 nm) [20] | 144 | 44 | 288 | 51 |
| Stainless steel [21] | 144 | 34 | 288 | 31 |
Disclaimer/Publisher’s Note: The statements, opinions and data contained in all publications are solely those of the individual author(s) and contributor(s) and not of MDPI and/or the editor(s). MDPI and/or the editor(s) disclaim responsibility for any injury to people or property resulting from any ideas, methods, instructions or products referred to in the content. |
© 2023 by the authors. Licensee MDPI, Basel, Switzerland. This article is an open access article distributed under the terms and conditions of the Creative Commons Attribution (CC BY) license (https://creativecommons.org/licenses/by/4.0/).
Share and Cite
Valiūnienė, A.; Virbickas, P.; Gabriunaite, I.; Margarian, Z.; Levinas, R.; Janarauskiene, D.; Valincius, G. Titanium–Platinum Thin Films as a Tool for the Electrooxidation of Cyanide. Coatings 2023, 13, 1821. https://doi.org/10.3390/coatings13111821
Valiūnienė A, Virbickas P, Gabriunaite I, Margarian Z, Levinas R, Janarauskiene D, Valincius G. Titanium–Platinum Thin Films as a Tool for the Electrooxidation of Cyanide. Coatings. 2023; 13(11):1821. https://doi.org/10.3390/coatings13111821
Chicago/Turabian StyleValiūnienė, Aušra, Povilas Virbickas, Inga Gabriunaite, Zana Margarian, Ramūnas Levinas, Dagne Janarauskiene, and Gintaras Valincius. 2023. "Titanium–Platinum Thin Films as a Tool for the Electrooxidation of Cyanide" Coatings 13, no. 11: 1821. https://doi.org/10.3390/coatings13111821
APA StyleValiūnienė, A., Virbickas, P., Gabriunaite, I., Margarian, Z., Levinas, R., Janarauskiene, D., & Valincius, G. (2023). Titanium–Platinum Thin Films as a Tool for the Electrooxidation of Cyanide. Coatings, 13(11), 1821. https://doi.org/10.3390/coatings13111821

