Studies on the Thermodynamic Properties of C/ph Irradiated by Intense Electron Beams
Abstract
:1. Introduction
2. Experiment
2.1. Experimental Specimen
2.2. The Measuring Method of Impulse
2.3. Experimental Installation
2.4. Experimental Results
3. Numerical Simulation
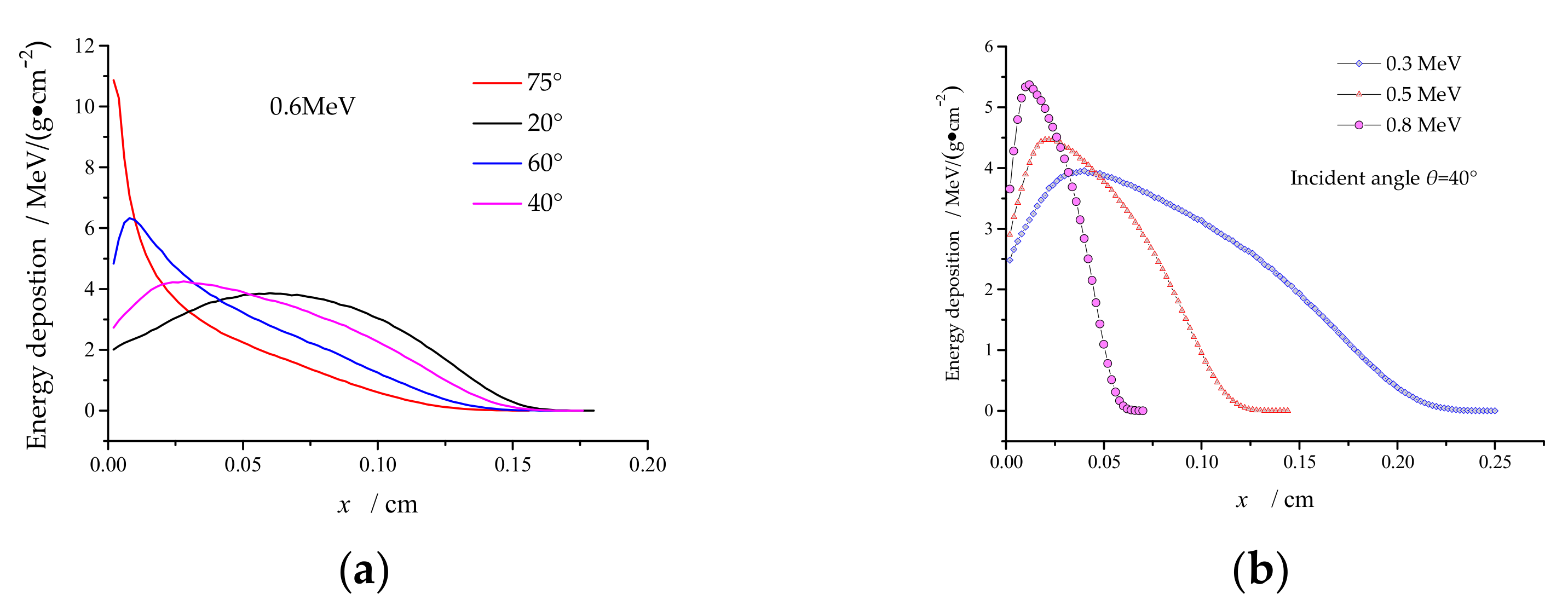
3.1. Energy Deposition
3.2. Theoretical Model
3.3. Results of Numerical Simulation
4. Conclusions
- (1)
- When the energy fluences of the electron beam were in the range of 100 to 400 J·cm−2, the average coupling coefficient of the blow-off impulse of C/ph was 0.42 ± 0.02 Pa·s/(J·cm−2).
- (2)
- When the electron beam with the same energy flux irradiated carbon phenolic and Ly-12 aluminum targets, respectively, the peak value of the thermal shock wave in C/ph was lower than that in Ly-12 aluminum at the same position. This improved C/ph composite had excellent attenuation performance of thermal shock wave. The experimental results were consistent with the theoretical results.
- (3)
- Under the same conditions, the coupling coefficient of C/ph was less than that of Ly12 aluminum, at about 1/3 of the Ly12 aluminum.
- (4)
- According to the incident energy fluence on the C/ph, the impulse load and wave propagation characteristics could be easily understood. The results obtained provide a basis for anti-radiation hardness and survivability assessments of aerospace.
Author Contributions
Funding
Institutional Review Board Statement
Informed Consent Statement
Data Availability Statement
Conflicts of Interest
References
- Office of the Deputy Assistant Secretary of Defense for Nuclear Matters (ODASD(NM)). Nuclear Matters Handbook 2020; National Reconnaissance Office: Washington, DC, USA, 2020.
- Department of Defense. Report of the Defense Science Board Task Force on Nuclear Weapon Effects Test, Evaluation, and Simulation; Military Forces: Washington, DC, USA, 2005.
- Zhou, N.; Qiao, D.J. Materials Dynamics under Pulse Beam Radiation; National Defense Industry Press: Beijing, China, 2002; pp. 13–21. [Google Scholar]
- Qiao, D.J. Thermodynamic Effect and Reinforcing Technology under Pulse X-ray Radiation; National Defense Industry Press: Beijing, China, 2012; pp. 118–196. [Google Scholar]
- Rudic, N.J. Principles and Techniques of Radiation Hardening; Western Periodical Company: North Hollywood, CA, USA, 1976. [Google Scholar]
- Tang, W.H.; Zhang, R.Q.; Zeng, X.W. DRAM-A new hydrocode of dynamic response analysis of materials. In New Models and Numerical Codes for Shock Wave Processes in Condensed Media Proceedings of the International Workshop; Cameron, I.G., Ed.; AWE Hunting Press: Oxford, UK, 1998; pp. 649–653. [Google Scholar]
- Longley, R.W. Analytical Relationships for Estimating the Effects of X-rays on Materials; AFRPL-TR-74-52; Sandia National Laboratories: Albuquerque, NM, USA, 1974.
- Larence, R.J. The equivalence of simple models for radiation induced impulse. In Shock Compression of Condensed Matter; Elsevier Science Publishers B V: New York, NY, USA, 1992; pp. 785–798. [Google Scholar]
- Lin, P. Impulsive coupling characteristics of materials irradiated by electron beam. IOP Conf. Ser. Mater. Sci. Eng. 2018, 397, 12024. [Google Scholar] [CrossRef]
- Wang, D.W.; Gao, Y.; Wang, S.; Wang, J.; Li, H. Study on X-ray induced two-dimensional thermal shock waves in carbon/phenolic. Materials 2021, 14, 3553. [Google Scholar] [CrossRef]
- Li, M.Y.; Sommerer, M.; Werner, E. Experimental and computational study of damage behavior of tungsten under high energy electron beam irradiation. Eng. Fract. Mech. 2015, 135, 64–80. [Google Scholar] [CrossRef] [Green Version]
- Wang, D.W.; Gao, Y.; Chen, W.; Zhang, J.; Wang, S. Equivalent analysis of thermo-dynamic blow-off impulse under X-ray irradiation. Appl. Sci. 2021, 11, 8853. [Google Scholar] [CrossRef]
- Peng, C.X.; Lin, P.; Tan, H.M.; Feng, Z.H. Experimental studies of propagation and attenuation behavior of thermal shock wave in 3-D braided composites radiated by pulsed electron beam with high energy fluence. Mater. Sci. Eng. 2002, 20, 187–191. [Google Scholar]
- Tang, W.H.; Chen, H. The dynamics effect and material parameters of polyester radiated by electron beam. Chin. J. High Press. Phys. 2010, 24, 373–376. [Google Scholar]
- Du, Z.; Zhu, M.; Wang, Z.; Yang, J. Design and application of composite platform with extreme low thermal deformation for satellite. Compos. Struct. 2016, 152, 693–703. [Google Scholar]
- Zhong, J.; Ren, J.; Ma, D. Thermo-elasticity coupling transient response of composite material direction pipe. Shock Vib. 2018, 2018, 6937372. [Google Scholar]
- Min, S.; Chen, X.; Chai, Y.; Lowe, T. Effect of reinforcement continuity on the ballistic performance of composites reinforced with multiply plain weave fabric. Compos. Part B-Eng. 2016, 90, 30–36. [Google Scholar] [CrossRef]
- Liang, X.; Luo, L.J.; Tan, J.; Fang, Z.; Guo, H.J. Current status and trend of thermal protection material for space exploration in America. Mater. Rep. 2016, 30 (Suppl. S1), 551–557. [Google Scholar]
- Weeks, C.A.; Sun, C.T. Modeling non-linear rate-dependent behavior in fiber-reinforced composites. Compos. Sci. Technol. 1998, 58, 603–611. [Google Scholar] [CrossRef]
- Hu, J.; Ren, J.; Ma, W.; Wang, A. Dynamic mechanical properties and constitutive model of honeycomb materials with random defects under impact loading. Shock Vib. 2019, 2019, 1087919. [Google Scholar]
- Lin, P.; Wang, X.J. Experimental studies on the hugoniot for C/ph and its stress wave attenuation. In Proceedings of the ICMEM, Nanjing, China, 26–28 October 2005; pp. 987–990. [Google Scholar]
- Bakulin, V.N.; Ostrik, A.V. The combined thermal and mechanical effect of radiation and shock waves on a multilayer orthotropic shell with a heterogeneous coating. J. Appl. Math. Mech. 2014, 78, 155–162. [Google Scholar] [CrossRef]
- Wang, D.W.; Gao, Y.; Chen, W.; Yang, S.; Zhang, J.; Wang, J.; Wang, S. The blow-off impulse equivalence of typical missile homogeneous Al-alloy under multi-energy composite spectrum electron beam and powerful pulsed X-ray. Materials 2021, 14, 5002. [Google Scholar] [CrossRef]
- Huang, X.; Tang, W.H.; Jiang, B.H.; Guo, X. The Numerical Simulation of 2-D Thermal Shock Wave Induced by X-Ray in Anisotropic Material. J. High-Press. Phys. 2011, 25, 41–47. [Google Scholar]
- Lin, Y.J.; Lin, P. Experimental measurement of thermal shock wave in C/Ph induced by electron beam radiation. Vibroeng. Procedia 2021, 38, 95–100. [Google Scholar] [CrossRef]
- Zhao, G.M. Investigations of Simulation Techniques for Studying Structural Response of Cylindrical Shells under Powerful Pulsed X-ray Radiation. Ph.D. Thesis, National University of Defense Technology, Changsha, China, June 1997; pp. 1–45. [Google Scholar]
- Wang, T.Q.; Zhang, S.F.; Wang, S.W.; Lu, W. Monte carlo transpot of electrons in matter. J. Natl. Univ. Def. Technol. 2000, 22, 81–84. [Google Scholar]
- Wang, Y.; Li, Q.; Li, T.T. Monte carto imaging simulation for X-ray spectrum estimation. High Power Laser Part. Beams 2013, 25, 3017–3020. [Google Scholar] [CrossRef]
- Subbe, R.B. Nuclear Instructure. Nucl. Instrum. Methods. 1976, 44, 155–187. [Google Scholar]
- Berger, H.A.M.; Setzer, S.M. Table of Energy Loses and Range of Electrons and Positions; National Bureau of Standards: Washington, DC, USA, January 1964.
- Wu, D.F.; Xu, X.F.; Zhang, L. A hybrid Monte Carlo model for the energy response functions of X-ray photon counting detector. Nucl. Instrum. Methods Phys. Res. A 2016, 83, 397–406. [Google Scholar] [CrossRef] [Green Version]
- Sun, J.F.; Hu, Y.; Sun, L. An average method for intense pulsed electron beam incident angles. High Power Laser Part. Beams 2015, 27, 140011–140014. [Google Scholar]
- Milov, I.; Lipp, V.; Ilnitsky, D.; Medvedev, N.; Migdal, K.; Zhakhovsky, V.; Bijkerk, F. Similarity in ruthenium damage induced by photons with different energies: From visible light to hard X-rays. Appl. Surf. Sci. 2020, 501, 143973. [Google Scholar] [CrossRef]
- Huang, X.; Tang, W.H. Influences of constitutive models on numerically simulated results of X-ray thermal shock waves in composite materials. Explos. Shock. Wave 2011, 31, 324–330. [Google Scholar]
- Niu, J.C. SPH Simulation of Thermo-Mechanical Effects in Materials under Pulse X-rays Radiation. Master’s Thesis, National University of Defense Technology, Changsha, China, November 2006; pp. 23–65. [Google Scholar]













| Shot No. | Material | Ea /MeV | Φ /J·cm−2 | I /Pa·s | β /Pas/(J·cm−2) |
|---|---|---|---|---|---|
| 1 | C/ph | 0.6 | 315 | 117 | 0.37 |
| 2 | C/ph | 0.6 | 316 | 114 | 0.36 |
| 3 | C/ph | 0.5 | 341 | 138 | 0.41 |
| 4 | C/ph | 0.5 | 201 | 88.0 | 0.44 |
| 5 | C/ph | 0.5 | 210 | 102 | 0.48 |
| 6 | C/ph | 0.5 | 205 | 84.0 | 0.41 |
| 7 | C/ph | 0.6 | 350 | 163 | 0.47 |
| 8 | C/ph | 0.5 | 158 | 58.4 | 0.37 |
| 9 | C/ph | 0.5 | 182 | 99.3 | 0.55 |
| 10 | C/ph | 0.5 | 171 | 68.0 | 0.40 |
| 11 | C/ph | 0.5 | 171 | 62.0 | 0.36 |
| 12 | Ly12 Al | 0.6 | 200 | 229 | 1.15 |
| 13 | Ly12 Al | 0.6 | 202 | 235 | 1.17 |
| ρ0/g·cm−3 | 1.430 | Γ0 | 1.2 | Es/kJ/g | 5.14 |
|---|---|---|---|---|---|
| c0/m·s−1 | 3069 | G/GPa | 6.0 | H | 0.5 |
| s | 1.578 | Y0/GPa | 0.05 | N | 1.53 |
Publisher’s Note: MDPI stays neutral with regard to jurisdictional claims in published maps and institutional affiliations. |
© 2022 by the authors. Licensee MDPI, Basel, Switzerland. This article is an open access article distributed under the terms and conditions of the Creative Commons Attribution (CC BY) license (https://creativecommons.org/licenses/by/4.0/).
Share and Cite
Lin, P.; Chen, R.; Wang, D. Studies on the Thermodynamic Properties of C/ph Irradiated by Intense Electron Beams. Coatings 2022, 12, 1128. https://doi.org/10.3390/coatings12081128
Lin P, Chen R, Wang D. Studies on the Thermodynamic Properties of C/ph Irradiated by Intense Electron Beams. Coatings. 2022; 12(8):1128. https://doi.org/10.3390/coatings12081128
Chicago/Turabian StyleLin, Peng, Ruohan Chen, and Dengwang Wang. 2022. "Studies on the Thermodynamic Properties of C/ph Irradiated by Intense Electron Beams" Coatings 12, no. 8: 1128. https://doi.org/10.3390/coatings12081128
APA StyleLin, P., Chen, R., & Wang, D. (2022). Studies on the Thermodynamic Properties of C/ph Irradiated by Intense Electron Beams. Coatings, 12(8), 1128. https://doi.org/10.3390/coatings12081128
