Influence of Rust Inhibitors on the Microstructure of a Steel Passive Film in Chloride Concrete
Abstract
:1. Introduction
2. Materials and Methods
2.1. Materials
2.2. Sample Preparation
2.3. Test Parameter Setting
3. Results and Discussion
3.1. Electrochemical Analysis
3.2. XPS Analysis of the Passive Film on the Steel Sample
3.2.1. XPS Scanning Full Spectrum Analysis of the Passive Film
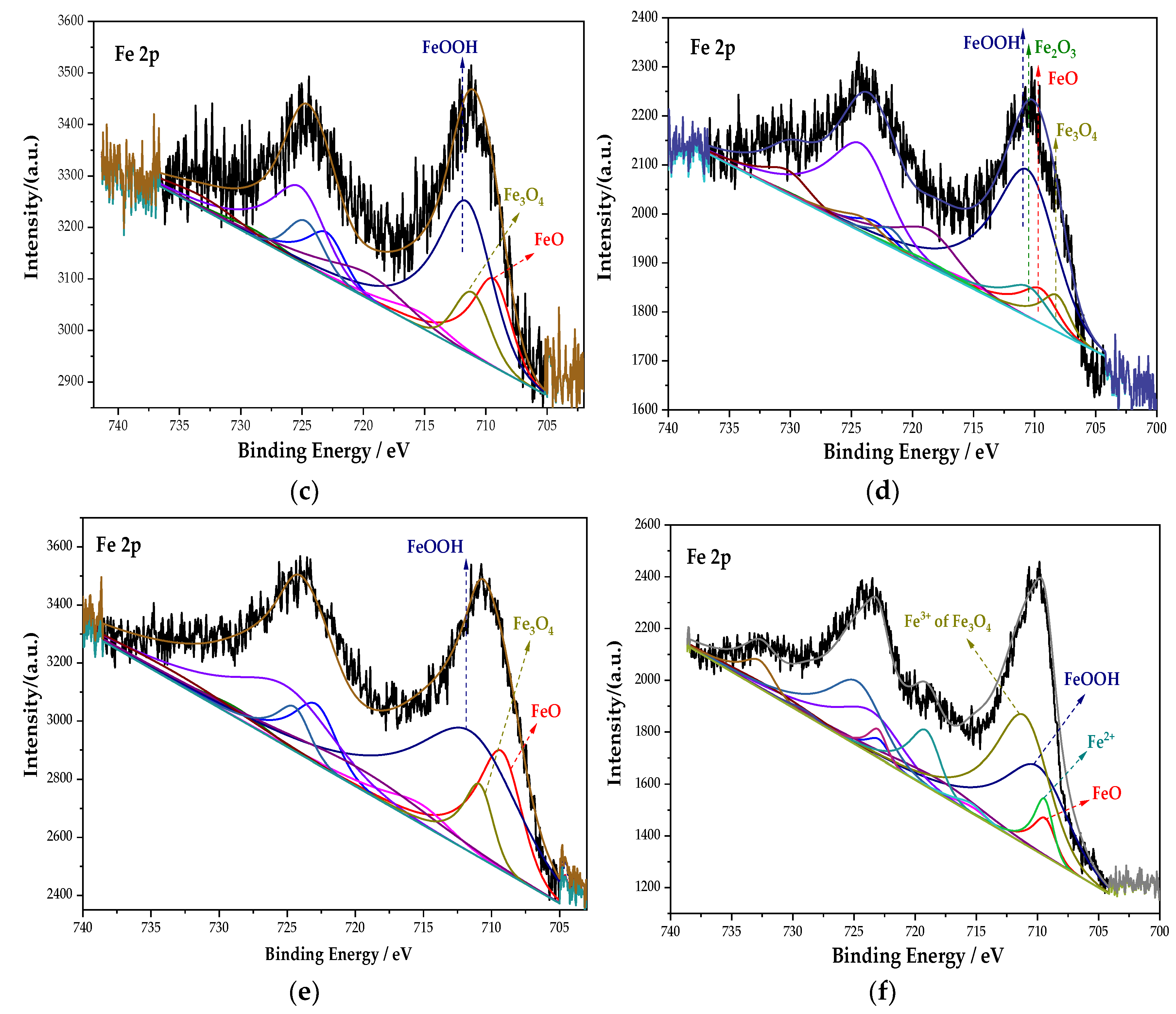
3.2.2. Analysis of the XPS Peak Fitting Spectrum of Fe
3.2.3. Analysis of the XPS Peak Fitting Spectrum of the N Element
3.2.4. Analysis of the XPS Peak Fitting Spectrum of the Cr Element
3.2.5. Analysis of the XPS Peak Fitting Spectrum of the Mo Element
3.3. XRD Analysis of the Sample Passive Film
3.4. Inhibition Efficiency of the Rust Inhibitor
4. Conclusions
Author Contributions
Funding
Institutional Review Board Statement
Informed Consent Statement
Data Availability Statement
Conflicts of Interest
References
- Stephen, S.; Edward, G.; Paul, B.R. Microscale miniaturisation of chloride ion detection sensors for long-term embedding in reinforced concrete structures. Struct. Control. Health Monit. 2021, 28, 2834. [Google Scholar]
- Ueli, M.; Angst, B.E. The size effect in corrosion greatly influences the predicted life span of concrete infrastructures. Sci. Adv. 2017, 3, e1700751. [Google Scholar]
- Shang, H.S.; Yang, J.X.; Huang., Y.; Fan, L.; Wang, R. Study on the bond behavior of steel bars embedded in concrete under the long-term coupling of repeated loads and chloride ion erosion. Constr. Build. Mater. 2022, 323, 126498. [Google Scholar] [CrossRef]
- Li, B.; Yin, H.G.; Mao, X.B.; Li, Y.; Zhang, L.; Liu, R.; Qiu, P. Macroscopic and microscopic fracture features of concrete used in coal mine under chlorine salt erosion. Int. J. Min. Sci. Technol. 2015, 26, 455–459. [Google Scholar] [CrossRef]
- Scott, A.; Alexander, M.G. Effect of supplementary cementitious materials (binder type) on the pore solution chemistry and the corrosion of steel in alkaline environments. Cem. Concr. Res. 2016, 89, 25–55. [Google Scholar] [CrossRef]
- Wang, Y.; Chen, R.; Hu, J.; Zhang, Z.; Huang, H.; Ma, Y.; Wei, J.; Zhang, Z.; Yin, S.; Wang, H.; et al. Surface characteristics and electrochemical behaviors of passive reinforcing steel in alkali-activated slag. Corros. Sci. 2021, 190, 109657. [Google Scholar] [CrossRef]
- Alhozaimy, A.; Hussain, R.R.; Al-Negheimish, A.; Al-Zaid, R.; Singh, D.D.N. Effect of Simulated Concrete Pore Solution Chemistry, Chloride Ions, and Temperature on Passive Layer Formed on Steel Reinforcement. ACI Mater. J. 2014, 111, 411–421. [Google Scholar] [CrossRef]
- Huet, B.; Hostis, V.L.; Miserque, F.; Idrissi, H. Electrochemical behavior of mild steel in concrete: Influence ofp H and carbonate content ofconcrete pore solution. Electrochim. Acta 2010, 51, 172–180. [Google Scholar] [CrossRef]
- Cheewaket, T.; Jaturapitakkul, C.; Chalee, W. Initial corrosion presented by chloride threshold penetration of concrete up to 10year-results under marine site. Constr. Build. Mater. 2012, 37, 693–698. [Google Scholar] [CrossRef]
- Wang, H.; Shi, F.; Shen, J.; Zhang, A.; Zhang, L.; Huang, H.; Liu, J.; Jin, K.; Feng, L.; Tang, Z. Research on the self-sensing and mechanical properties of aligned stainless steel fiber-reinforced reactive powder concrete. Cem. Concr. Compos. 2021, 119, 104001. [Google Scholar] [CrossRef]
- Tristijanto, H.; Ilman, M.N.; Iswanto, P.T. Corrosion Inhibition of Welded of X-52 Steel Pipelines by Sodium Molybdate in 3.5% NaCl Solution. Egypt. J. Pet. 2020, 29, 155–162. [Google Scholar] [CrossRef]
- Liu, J.; Wang, H.; Zhang, A.; Zhang, L.; Han, Y.; Shu, H.; Wang, J. Study on the influence of compound rust inhibitor on corrosion of steel bars in chloride concrete by electrical parameters. Constr. Build. Mater. 2020, 262, 120763. [Google Scholar]
- Gartner, N.; Kosec, T.; Legat, A. The efficiency of a corrosion inhibitor on steel in a simulated concrete environment. Mater. Chem. Phys. 2016, 184, 31–40. [Google Scholar] [CrossRef]
- Söylev, T.A.; Richardson, M.G. Corrosion inhibitors for steel in concrete: State-of-the-art report. Constr. Build. Mater. 2008, 22, 609–622. [Google Scholar] [CrossRef]
- Tavassolian, R.; Moayed, M.H.; Taji, I. Mechanistic Investigation on the Effect of Molybdate on the Critical Pitting Temperature of 2205 Duplex Stainless Steel. J. Electrochem. Soc. 2019, 166, 101–107. [Google Scholar] [CrossRef] [Green Version]
- Soeda, K.; Ichimura, T. Present state of corrosion inhibitors in Japan. Cem. Concr. Compos. 2003, 25, 117–122. [Google Scholar] [CrossRef]
- Holloway, L.; Nairn, K.; Forsyth, M. Concentration monitoring and performance of a migratory corrosion inhibitor in steel-reinforced concrete. Cem. Concr. Res. 2004, 34, 1435–1440. [Google Scholar] [CrossRef]
- Kioumrsi, M.M.; Hendriks, M.A.N.; Kohler, J.; Geiker, M.R. The effect of interference of corrosion pits on the failure probability of a reinforced concrete beam. Eng. Struct. 2016, 114, 113–121. [Google Scholar] [CrossRef]
- Tang, Z. A review of corrosion inhibitors for rust preventative fluids. Curr. Opin. Solid State Mater. Sci. 2019, 23, 100759. [Google Scholar] [CrossRef]
- Odewunmi Nurudeen, A.; Mazumder Mohammad, A.J.; Aldahdooh Mohammed, K.; Ali Shaikh, A. N1,N1,N12,N12-Tetramethyl-N1,N12-dioctyldodecane-1,12-diaminium bromide: Its synthesis and application in inhibition of mild steel corrosion in 15% HCl. J. Mol. Liq. 2021, 338, 116630. [Google Scholar] [CrossRef]
- Okeniyi, J.O.; Omotosho, O.A.; Ajayi, O.O.; Loto, C.A. Effect of potassium-chromate and sodium-nitrite on concrete steel-rebar degradation in sulphate and saline media. Constr. Build. Mater. 2014, 50, 448–456. [Google Scholar] [CrossRef]
- Lin, B.; Zuo, Y. Inhibition of Q235 carbon steel by calcium lignosulfonate and sodium molybdate in carbonated concrete pore solution. Molecules 2019, 24, 518. [Google Scholar] [CrossRef] [PubMed] [Green Version]
- Zhang, L.; Zhang, A.; Li, K.; Wang, Q.; Liu, J.; Wang, H. Influence of Rust Inhibitor on the Corrosion Resistance of Reinforcement in Cement Paste with Chloride. Coatings 2021, 11, 606. [Google Scholar] [CrossRef]
- Ryu, H.S.; Singh, J.K.; Yang, H.M.; Lee, H.S.; Ismail, M.A. Evaluation of corrosion resistance properties of N, N′-Dimethyl ethanolamine corrosion inhibitor in saturated Ca(OH)2 solution with different concentrations of chloride ions by electrochemical experiments. Constr. Build. Mater. 2016, 114, 223–231. [Google Scholar] [CrossRef]
- Liu, R.; Jiang, L.; Xu, J.; Xiong, C.; Song, Z. Influence of carbonation on chloride-induced reinforcement corrosion in simulated concrete pore solutions. Constr. Build. Mater. 2014, 56, 16–20. [Google Scholar] [CrossRef]
- Moreno, M.; Morris, W.; Alvarez, M.; Duffó, G. Corrosion of reinforcing steel in simulated concrete pore solutions: Effect of carbonation and chloride content. Corros. Sci. 2004, 46, 2681–2699. [Google Scholar] [CrossRef]
- Agiriga, C.E.; Oguzie, E.; Chidiebere, A.; Okorocha, N.J.; Chikwe, R.N. Corrosion inhibition action of Landolphia heudelotii on mild steel in acidic media. Pigment Resin Technol. 2020, 49, 387–392. [Google Scholar] [CrossRef]
- Hussain, R.R.; Singh, J.K.; Alhozaimy, A.; Al-Negheimish, A.; Bhattacharya, C.; Pathania, R.S.; Singh, D.D.N. Effect of Reinforcing Bar Microstructure on Passive Film Exposed to Simulated Concrete Pore Solution. ACI Mater. J. 2018, 115, 181–190. [Google Scholar] [CrossRef]
- Ghods, P.; Isgor, B.; Bensebaa, F.; Kingston, D. Angle-resolved XPS study of carbon steel passivity and chloride-induced depassivation in simulated concrete pore solution. Corros. Sci. 2012, 58, 159–167. [Google Scholar] [CrossRef]
- Gaithersburg. NIST X-ray photoelectron spectroscopy database. Natl. Inst. Stand. Technol. 2013, 12, 250–258. [Google Scholar]
- González, J.A.; Feliú, S.; Rodríguez, P.; Ramírez, E.; Alonso, C.; Andrade, C. Some questions on the corrosion of steel in concrete—Part I: When, how and how much steel corrodes. Mater. Struct. 1996, 29, 40–46. [Google Scholar] [CrossRef]
- Wang, Y.-Q.; Kong, G.; Che, C.-S.; Zhang, B. Inhibitive effect of sodium molybdate on the corrosion behavior of galvanized steel in simulated concrete pore solution. Constr. Build. Mater. 2018, 162, 383–392. [Google Scholar] [CrossRef]
- Tang, Y.; Zhang, F.; Hu, S.; Cao, Z.; Wu, Z.; Jing, W. Novel benzimidazole derivatives as corrosion inhibitors of mild steel in the acidic media. Part I: Gravimetric, electrochemical, SEM and XPS studies. Corros. Sci. 2013, 74, 271–282. [Google Scholar] [CrossRef]
- Liu, T.; Li, W.; Zhang, C.; Wang, W.; Dou, W.; Chen, S. Preparation of highly efficient self-healing anticorrosion epoxy coating by integration of benzotriazole corrosion inhibitor loaded 2D-COF. J. Ind. Eng. Chem. 2021, 97, 560–573. [Google Scholar] [CrossRef]
- Khadom, A.A. Protection of Steel Corrosion Reaction by Benzotriazoles: A Historical Background. J. Fail. Anal. Prev. 2015, 15, 794–802. [Google Scholar] [CrossRef]
- Abd El Wanees, S.; Nooh, S.; Farouk, A. Corrosion inhibition of aluminum in sodium hydroxide solutions using some inorganic anions. J. Dispers. Sci. Technol. 2021, 1–16. [Google Scholar] [CrossRef]
- Zhang, H.L.; Shen, J.Y.; Ge, X. A study of in-situ Mossbauer spectroscopy on Fe-Mo oxides for selective oxidation of toluene. Hyperfine Interact. 1992, 69, 859–862. [Google Scholar] [CrossRef]
- Zhou, Y.; Zuo, Y.; Lin, B. The compounded inhibition of sodium molybdate and benzotriazole on pitting corrosion of Q235 steel in NaCl + NaHCO3 solution. Mater. Chem. Phys. 2017, 192, 86–93. [Google Scholar] [CrossRef]














| Elements | C | Si | Mn | P | Al | Cr | Ni | S | Fe |
|---|---|---|---|---|---|---|---|---|---|
| wt% | 0.038 | 0.03 | 0.21 | 0.012 | 0.01 | 0.01 | 0.01 | 0.01 | Balance |
| Rust Inhibitor | Melting Point (°C) | Water Solubility | Density (g/mL) |
|---|---|---|---|
| Na2CrO4 | 792 | Soluble in water | 2.723 |
| Na2MoO4 | 687 | Slightly soluble in water | 3.28 |
| BTA | 98.5 | Slightly soluble in water | 1.574 |
| DMEA | −59 | Slightly soluble in water | 0.89 |
| NaCl | Na2CrO4 | Na2MoO4 | BTA | DMEA | Na2CrO4 + BTA | Na2MoO4 + BTA |
|---|---|---|---|---|---|---|
| 8.42 | 15 | 15 | 15 | 15 | 7.5 + 7.5 | 7.5 + 7.5 |
| Rust Inhibitor | Component | Fe 2p Energy Level | Binding Energy/mV | Peak Area | Relative Content/% |
|---|---|---|---|---|---|
| SNa2CrO4 | FeO | Fe 2p3/2 | 709.4 | 1048.8 | 30.17 |
| Fe 2p1/2 | 723 | 524.4 | |||
| Fe 2p3/2 | 715.4 | 262.2 | |||
| Fe 2p1/2 | 729 | 131.1 | |||
| Fe3O4 | Fe 2p3/2 | 708.3 | 208.7 | 4.8 | |
| Fe 2p1/2 | 721.9 | 104.4 | |||
| FeOOH | Fe 2p3/2 | 711.15 | 2259.2 | 65.03 | |
| Fe 2p1/2 | 724.75 | 1129.6 | |||
| Fe 2p3/2 | 719.15 | 564.8 | |||
| Fe 2p1/2 | 732.75 | 282.4 | |||
| Na2MoO4 | FeO | Fe 2p3/2 | 709.5 | 740.9 | 29.99 |
| Fe 2p1/2 | 723.1 | 370.5 | |||
| Fe 2p3/2 | 715.5 | 185.2 | |||
| Fe 2p1/2 | 729.1 | 92.6 | |||
| Fe3O4 | Fe 2p3/2 | 708.3 | 314.3 | 10.17 | |
| Fe 2p1/2 | 721.9 | 157.2 | |||
| FeOOH | Fe 2p3/2 | 711.6 | 987.8 | 39.96 | |
| Fe 2p1/2 | 725.2 | 493.9 | |||
| Fe 2p3/2 | 719.6 | 246.9 | |||
| Fe 2p1/2 | 733.2 | 123.5 | |||
| Fe2O3 | Fe 2p3/2 | 710.6 | 291.2 | 11.77 | |
| Fe 2p1/2 | 724.2 | 145.6 | |||
| Fe 2p3/2 | 718.6 | 72.8 | |||
| Fe 2p1/2 | 732.2 | 36.4 | |||
| Fe2+ | Fe 2p3/2 | 709.1 | 740.9 | 8.11 | |
| Fe 2p1/2 | 722.7 | 370.5 | |||
| Fe 2p3/2 | 715.1 | 185.2 | |||
| Fe 2p1/2 | 728.7 | 92.6 | |||
| BTA | FeO | Fe 2p3/2 | 709.4 | 630 | 25.06 |
| Fe 2p1/2 | 723 | 315 | |||
| Fe 2p3/2 | 715.4 | 157.5 | |||
| Fe 2p1/2 | 729 | 78.75 | |||
| Fe3O4 | Fe 2p3/2 | 711.1 | 450 | 14.33 | |
| Fe 2p1/2 | 724.7 | 225 | |||
| FeOOH | Fe 2p3/2 | 711.6 | 1523.1 | 60.7 | |
| Fe 2p1/2 | 725.2 | 761.5 | |||
| Fe 2p3/2 | 719.6 | 380.8 | |||
| Fe 2p1/2 | 733.2 | 190.4 | |||
| DMEA | FeO | Fe 2p3/2 | 709.5 | 245 | 9.81 |
| Fe 2p1/2 | 723.1 | 122.5 | |||
| Fe 2p3/2 | 715.5 | 61.2 | |||
| Fe 2p1/2 | 729.1 | 30.6 | |||
| Fe3O4 | Fe 2p3/2 | 708.3 | 200.2 | 6.41 | |
| Fe 2p1/2 | 721.9 | 100.1 | |||
| FeOOH | Fe 2p3/2 | 710.7 | 1747.2 | 73.76 | |
| Fe 2p1/2 | 724.3 | 873.6 | |||
| Fe 2p3/2 | 718.7 | 436.8 | |||
| Fe 2p1/2 | 730.3 | 218.4 | |||
| Fe2O3 | Fe 2p3/2 | 710.6 | 250 | 10.02 | |
| Fe 2p1/2 | 724.2 | 125 | |||
| Fe 2p3/2 | 718.6 | 62.5 | |||
| Fe 2p1/2 | 730.2 | 31.25 | |||
| Na2CrO4 + BTA | FeO | Fe 2p3/2 | 709.3 | 1540.2 | 26.61 |
| Fe 2p1/2 | 722.9 | 770.1 | |||
| Fe 2p3/2 | 715.3 | 385.1 | |||
| Fe 2p1/2 | 728.9 | 192.5 | |||
| Fe3O4 | Fe 2p3/2 | 710.9 | 642.5 | 9.98 | |
| Fe 2p1/2 | 724.5 | 321.2 | |||
| FeOOH | Fe 2p3/2 | 711.6 | 3671.1 | 63.41 | |
| Fe 2p1/2 | 725.2 | 1835.6 | |||
| Fe 2p3/2 | 719.6 | 917.8 | |||
| Fe 2p1/2 | 733.2 | 458.9 | |||
| Na2MoO4 + BTA | FeO | Fe 2p3/2 | 709.39 | 319 | 5.98 |
| Fe 2p1/2 | 722.99 | 159.9 | |||
| Fe 2p3/2 | 715.39 | 80 | |||
| Fe 2p1/2 | 728.99 | 40 | |||
| Fe3O4 | Fe 2p3/2 | 711.11 | 2582.9 | 48.29 | |
| Fe 2p1/2 | 724.71 | 1291.4 | |||
| Fe 2p3/2 | 719.11 | 645.7 | |||
| Fe 2p1/2 | 732.71 | 322.9 | |||
| FeOOH | Fe 2p3/2 | 710 | 2047.1 | 38.26 | |
| Fe 2p1/2 | 723.6 | 1023.5 | |||
| Fe 2p3/2 | 718 | 511.8 | |||
| Fe 2p1/2 | 731.6 | 255.9 | |||
| Fe2+ | Fe 2p3/2 | 709.5 | 400 | 7.48 | |
| Fe 2p1/2 | 723.1 | 200 | |||
| Fe 2p3/2 | 715.5 | 100 | |||
| Fe 2p1/2 | 729.1 | 50 |
| Rust Inhibitor | Component | N 1s Energy Level | Binding Energy/mV | Peak Area | Relative Content/% |
|---|---|---|---|---|---|
| BTA | N–Fe | N 1s | 400.79 | 335.5 | 38.58 |
| -NH- | N 1s | 399.09 | 534.3 | 61.42 | |
| Na2CrO4 + BTA | N–Fe | N 1s | 400.82 | 388.7 | 78.74 |
| -NH- | N 1s | 399.11 | 105 | 21.26 | |
| Na2MoO4 + BTA | N–Fe | N 1s | 400.79 | 323 | 77.15 |
| -NH- | N 1s | 399.11 | 95.7 | 22.85 |
| Rust Inhibitor | Component | Cr 2p Energy Level | Binding Energy/mV | Peak Area | Relative Content/% |
|---|---|---|---|---|---|
| Na2CrO4 | CrO3 | Cr 2p3/2 | 579.21 | 539.5 | 54.62 |
| Cr 2p1/2 | 589.13 | 269.7 | |||
| Cr2O3 | Cr 2p3/2 | 580.08 | 448.1 | 45.38 | |
| Cr 2p1/2 | 590.97 | 224.1 | |||
| Na2CrO4 + BTA | CrO3 | Cr 2p3/2 | 578.31 | 217.3 | 19.59 |
| Cr 2p1/2 | 588.31 | 108.6 | |||
| Cr2O3 | Cr 2p3/2 | 576.51 | 892.1 | 80.41 | |
| Cr 2p1/2 | 586.51 | 446 |
| Rust Inhibitor | Component | Mo 3d Energy Level | Binding Energy/mV | Peak Area | Relative Content/% |
|---|---|---|---|---|---|
| Na2MoO4 | FeMoO4 | Mo 3d5/2 | 232.1 | 233.5 | 66.67 |
| Mo 3d3/2 | 235.3 | 155.8 | |||
| MoO3 | Mo 3d5/2 | 232.92 | 116.8 | 33.33 | |
| Mo 3d3/2 | 236.12 | 77.9 | |||
| Na2MoO4 + BTA | FeMoO4 | Mo 3d5/2 | 232.09 | 157.6 | 71.29 |
| Mo 3d3/2 | 235.29 | 78.8 | |||
| MoO3 | Mo 3d5/2 | 232.39 | 63.5 | 28.71 | |
| Mo 3d3/2 | 235.59 | 31.7 |
| Rust Inhibitor | Na2CrO4 | Na2MoO4 | BTA | DMEA | Na2CrO4 + BTA | Na2MoO4 + BTA |
|---|---|---|---|---|---|---|
| IE% | 93.47 | 94.20 | 94.36 | 93.07 | 95.89 | 96.62 |
Publisher’s Note: MDPI stays neutral with regard to jurisdictional claims in published maps and institutional affiliations. |
© 2022 by the authors. Licensee MDPI, Basel, Switzerland. This article is an open access article distributed under the terms and conditions of the Creative Commons Attribution (CC BY) license (https://creativecommons.org/licenses/by/4.0/).
Share and Cite
Guo, Q.; Li, X.; Lin, N.; Liu, J. Influence of Rust Inhibitors on the Microstructure of a Steel Passive Film in Chloride Concrete. Coatings 2022, 12, 692. https://doi.org/10.3390/coatings12050692
Guo Q, Li X, Lin N, Liu J. Influence of Rust Inhibitors on the Microstructure of a Steel Passive Film in Chloride Concrete. Coatings. 2022; 12(5):692. https://doi.org/10.3390/coatings12050692
Chicago/Turabian StyleGuo, Qun, Xiaozhen Li, Nan Lin, and Junzhe Liu. 2022. "Influence of Rust Inhibitors on the Microstructure of a Steel Passive Film in Chloride Concrete" Coatings 12, no. 5: 692. https://doi.org/10.3390/coatings12050692
APA StyleGuo, Q., Li, X., Lin, N., & Liu, J. (2022). Influence of Rust Inhibitors on the Microstructure of a Steel Passive Film in Chloride Concrete. Coatings, 12(5), 692. https://doi.org/10.3390/coatings12050692

